Next Article in Journal
Cooperative Differential Game-Based Modular Unmanned System Approximate Optimal Control: An Adaptive Critic Design Approach
Previous Article in Journal
Design and Finite Element Analysis of Reducer Housing Based on ANSYS
 
 
Font Type:
Arial Georgia Verdana
Font Size:
Aa Aa Aa
Line Spacing:
Column Width:
Background:
Article

Gluon Condensation as a Unifying Mechanism for Special Spectra of Cosmic Gamma Rays and Low-Momentum Pion Enhancement at the Large Hadron Collider

1
Center for Fundamental Physics and School of Mathematics and Physics, Hubei Polytechnic University, Huangshi 435003, China
2
Department of Physics, East China Normal University, Shanghai 200241, China
3
Institute of Modern Physics, Chinese Academy of Sciences, Lanzhou 730000, China
4
College of Science, Westlake University, Hangzhou 310030, China
*
Author to whom correspondence should be addressed.
Symmetry 2025, 17(10), 1664; https://doi.org/10.3390/sym17101664
Submission received: 1 September 2025 / Revised: 22 September 2025 / Accepted: 26 September 2025 / Published: 6 October 2025
(This article belongs to the Section Physics)

Abstract

Gluons within the proton may accumulate near a critical momentum due to nonlinear QCD effects, leading to a gluon condensation. Surprisingly, the pion distribution predicted by this gluon distribution could answer two puzzles in astronomy and high-energy physics. During ultra-high-energy cosmic ray collisions, gluon condensation may abruptly produce a large number of low-momentum pions, whose electromagnetic decays have the typical broken power law. On the other hand, the Large Hadron Collider (LHC) shows weak but recognizable signs of gluon condensation, which had been mistaken for BEC pions. Symmetry is one of the fundamental laws in natural phenomena. Conservation of energy stems from time symmetry, which is one of the most central principles in nature. In this study, we reveal that the connection between the above two apparently unrelated phenomena can be fundamentally explained from the fundamental principle of conservation of energy, highlighting the deep connection and unifying role symmetry plays in physical processes.

1. Introduction

The proton, a fundamental building block of the universe, is composed of quarks and gluons. The distribution of gluons has long posed a challenge in particle physics. Quantum chromodynamics (QCD) evolution equations predict that, at high energies, gluon densities become extremely large (See Appendix A). Under these conditions, nonlinear effects dominate, giving rise to phenomena such as the color glass condensate (CGC) [1]. However, CGC is not a true physical condensation. Further theoretical advancements introduced the Zhu–Shen–Ruan (ZSR) equation [2]. This equation indicates that, at high energies, the evolution of gluon distributions within nucleons exhibits chaotic behaviour. Such chaos leads to significant shadowing and antishadowing effects [2]. Consequently, a large number of gluons accumulate within a narrow phase space defined by a critical momentum ( x c , k c ) . This phenomenon is known as gluon condensation (GC) [3]. Although GC is consistent with the frameworks of the Standard Model and nonlinear science, its occurrence was unexpected by the scientific community. As a result, identifying experimental evidence for GC has become our primary research objective.
The number of pions is expected to increase markedly when the dense peak of the gluon distribution in the proton enters the proton–proton ( p p ) interaction region. Interestingly, by incorporating the GC distribution (see Figure 1) into the general formula for proton collision cross sections, we can unify previously observed anomalies. These include features in the cosmic gamma-ray spectrum on an astronomical scale and in heavy-ion collisions at the Large Hadron Collider (LHC). This unification points to a previously unrecognized internal structure within the proton. We will detail this approach in Section 2, where we present the relevant formulae used in this work. For further information, please refer to the cited literature.
In many astrophysical processes, protons can be accelerated to extremely high energies. When they collide with other protons or nuclei, they emit gamma rays, which may reveal information about the proton’s interior. The broken power law (BPL) is a simple broken line in double logarithmic coordinates, often observed in high-energy gamma-ray spectra. There are many speculations and uncertainties about its formation [4]. We will demonstrate that the GC model can provide a simple and unique explanation in Section 3.
High-energy heavy-ion collisions have long sought the Bose–Einstein condensation (BEC) of pions. A key feature is the large number of pions occupying low-momentum ( p 0 ) ground states. For instance, Begun and Florkowski used the BEC model to fit LHC (ALICE) data, finding pion coalescence to be 0–2% in central collisions and rising to 19% in peripheral collisions [5]. This contrasts with the traditional view that the central region is more conducive to BEC formation. Consequently, the existence of BEC pions remains widely debated. In Section 4, we show that the GC model can produce similar results to Begun and Florkowski without the strict BEC condition.
Thus, on the deepest level of the proton—the very small x gluon distribution—we have uncovered a possible intrinsic connection between the peculiar shape of the cosmic gamma-ray spectrum (at the astronomical scale) and the low momentum pion anomaly found at the LHC (at the particle scale). We will discuss them in the last section.

2. From CGC to GC

According to the GC model, GC is a result of QCD evolution from CGC [3]. The hadron collisions provide a means to observe this evolutionary process. The production of secondary hadrons, primarily pions, through high-energy proton or nucleus collisions is divided into two steps at the quark–gluon level. This involves (i) the initial gluons from two hadron combine gluon mini-jets and (ii) the hadronization of mini-jets. Now we submit the GC distribution in Figure 1 into a general formula for calculating the differential cross-section of gluon mini-jets [6,7]
d N g d k T 2 d y = 64 N c ( N c 2 1 ) k T 2 q T d q T 0 2 π d ϕ α s ( Ω ) F ( x 1 , 1 4 ( k T + q T ) 2 ) F ( x 2 , 1 4 ( k T q T ) 2 ) ( k T + q T ) 2 ( k T q T ) 2 ,
where Ω = M a x { k T 2 , ( k T + q T ) 2 / 4 , ( k T q T ) 2 / 4 } . The longitudinal momentum fractions of interacting gluons are fixed by kinematics x 1 , 2 = k T e ± y / s ; one can directly obtain the following rapidity and transverse momentum distributions of gluon mini-jets.
Since x 1 , we have
| y m a x | = ln s k T , m i n ,
and
x 1 , 2 , m i n = k T , m i n s e | y m a x | = k T , m i n 2 s .
We indicate that the GC effects begin work from s G C and finish at s m a x . Therefore,
x c k c 2 s G C ,
and
x c k c s m a x .
We use the blue and black curves to describe the results from the GBW distribution (a CGC model) with and without the GC effect, respectively. We were surprised to find the significant difference between two results, and we propose that this difference can unify the anomalies in the cosmic gamma-ray spectrum (at astronomical scale) and heavy-ion collisions (at particle scale) at the Large Hadron Collider (LHC) due to the GC effects.

3. The BPL in Cosmic Gamma Ray Spectra

Let us first focus on the strong GC region (the yellow areas in Figure 2 and Figure 3). The  p A collisions are an extremely common phenomenon in the Universe, and they are the processes of interest to both astronomical observations and accelerator experiments. Following Figure 2 and Figure 3 which were done using origin 10.2.0.188, we need to consider the hadronization of gluon mini-jets. It is a complex problem. Fortunately, GC provides an ingenious solution to bypass the complexity of the hadronization mechanism [8]. We envisage that when a substantial number of condensed gluons at the threshold x c suddenly participate in the p p collisions, it inevitably leads to a dramatic increase in the production of secondary pions. Since pions have mass, their yield N π is inherently constrained. In principle, the condensed gluons engaging in collisions may simultaneously generate a considerable number of secondary on-mass-shell pions at a given interaction energy; they are capable of saturating all available energy, indicating that nearly all kinetic energies in collisions at the center-of-mass (C.M.) frame are utilized in creating the rest pions. This results in almost no relative momentum for the newly-formed pions, leading to the maximum value of N π . While the validity of this saturation approximation will be scrutinized by subsequent observed data, adopting this limit allows us to circumvent the complex hadronization mechanism. Thus, energy conservation and relativistic covariance have
E p + m p = m ˜ p γ 1 + m ˜ p γ 2 + N π m π γ ,
and
S = ( p 1 + p 2 ) 2 = 2 m p 2 + 2 E p m p = ( 2 E ˜ p + N π m π ) 2 ,
where m ˜ p marks the leading particle and γ i is the Lorentz factor. Using the empirical relation [9] 2 E ˜ p = ( 1 / k 1 ) N π m π and m ˜ p γ 1 + m ˜ p γ 2 = ( 1 / k 1 ) N π m π γ , where k 1 / 2 is the inelasticity, we obtain the relationships between the pion yield N π , the proton energy E p , and the pion energy E π , which exhibits the typical power law (PL), i.e., they are the straight lines in double logarithmic coordinates (Figure 4a),
ln N π = 0.5 ln ( E p / GeV ) + a , ln N π = ln ( E π / GeV ) + b ,
with E π [ E π G C , E π m a x ] , where a 0.5 ln ( 2 m p ) / GeV ) ln ( m π / GeV ) + ln k and b ln ( 2 m p / GeV ) 2 ln ( m π / GeV ) + ln k .
Using Equation (8), we obtain
E p = 2 m p m π 2 E π 2 ,
where s 2 m p E p . With this result, we can determine how much proton energy is needed to produce a specific value of E π .
Equation (8) can lead to striking and distinctive features of GC in proton collisions, provided the GC-threshold energy E p G C enters the observable range. For this sake, we examine very high energy cosmic gamma rays. In many astrophysical processes, protons can be accelerated to unprecedentedly high energies, and the gamma-ray spectra released by their collisions with other protons or nuclei may carry special GC information.
Substituting the QED formula of π 0 2 γ with Equation (8) into the gamma-ray spectral energy distribution in the hadronization scenario [4]
Φ γ ( E γ ) = C γ E γ GeV β γ E π m i n d E π E p GeV β p N π ( E p , E π ) d ω π γ ( E π , E γ ) d E γ ,
where the spectral index β γ is the photon loss due to absorption in the medium near the source. The intensity of the proton flux N p is taken by power law E p β p for simplicity. C γ contains the motion factor and the flux dimension; the following analytical solution is obtained after a simple integration. This is a BPL (Figure 4b)
E γ 2 Φ γ G C ( E γ ) 2 e b C γ 2 β p 1 ( E π G C ) 3 E γ E π G C β γ + 2 if E γ E π G C , 2 e b C γ 2 β p 1 ( E π G C ) 3 E γ E π G C β γ 2 β p + 3 if E π G C < E γ < E π c u t , 2 e b C γ 2 β p 1 ( E π G C ) 3 E γ E π G C β γ 2 β p + 3 exp E γ E π c u t + 1 . if E γ E π c u t ,
We refer to this as the GC spectrum, which has been used to explain almost a hundred cases of cosmic gamma-ray spectra, including those from supernova remnants (SNRs), pulsars, active galactic nuclei (AGNs), the Galactic Center, and gamma-ray bursts (GRBs). Of course, GC is not the sole explanation for power-law (PL) features in cosmic gamma-ray spectra. For instance, inverse Compton (IC) scattering also exhibits asymptotic PL behaviour, often described using empirical parametric formulas such as the exponentially cutoff PL: d N / d E = N 0 ( E / E 0 ) Γ exp ( E / E c u t ) or the log-parabola: d N / d E = N 0 ( E / E 0 ) [ α + β log ( E / E 0 ) ] . Therefore, careful comparison reveals their difference from the GC spectrum can test Equation (11).
We take the GRB spectra at TeV scale as an example. They are of particular interest because of the rarity of such events and the extreme environments. Therefore, careful comparison reveals that their difference from the GC spectrum can test Equation (11). This allows protons to be accelerated into the very high energy region to reveal a more complete GC spectrum. Figure 5 is a collection of examples where the intrinsic spectra are corrected from earth observations to account for extragalactic background light (EBL) absorption of photons travelling through cosmic space. Figure 5a,b show the fits of GRB190114C with two different lepton schemes [10]. The solid line is the GC spectrum. It seems difficult to judge which model is better. Note that the IC model requires low-energy (KeV) synchrotron radiation as the source of the initial state, its shape being closely related to the TeV spectrum. The high-energy spectrum predicted by the IC model is governed by the shape of the low-energy spectrum of the synchrotron radiation and does not necessarily exhibit PL asymptotic behaviour. The GC spectrum does not have this constraint. However, a more complete high-energy spectrum of GRB was recently presented for GRB 221009A, as shown in Figure 5c, which clearly favours the the GC spectrum [11]. We also note that Foffano et al. present a BPL similar to that of GC using the lepton scheme (Figure 5d) [12]; however the low- and medium-energy spectra are obviously drawn according to TeV PL, which has no observational fits, making the results questionable.
Remember that the broken point of the GC-spectra in this example, E π G C = 100  GeV, is the signature scale at which GC begins to enter the region of action in heavy nucleus collisions ( p A or A A ) [3]. We will use it below.

4. The BEC of Pions

A primary goal in ultra-relativistic heavy-ion collisions is to investigate new states of matter under extreme conditions, especially during the hadronization phase, where pion condensation remains an intriguing and unresolved puzzle. The collision process can be divided into several stages: initially, the quark–gluon collision phase, where high-energy quarks and gluons interact, producing numerous mini-jets; these mini-jets then gradually form a quark–gluon plasma (QGP) through radiation and rescattering; finally, as the system cools to near-critical temperatures, the QGP undergoes hadronization, resulting in a multitude of hadrons. If the pion chemical potential approaches the pion mass ( μ π m π ) during QGP hadronization, Bose–Einstein statistics predict the macroscopic occupation of pion states with zero momentum ( p 0 ) , known as the BEC of pions.
Theoretically, the simplest way to identify such pions is by directly observing their transverse momentum distribution. However, this method encounters significant experimental and analytical challenges: (i) Particles with very low momentum are difficult to detect accurately. As momentum nears zero, detector efficiency and precision decrease sharply, making it hard to distinguish condensed pions from ordinary low-energy pions; (ii) The ultra-low momentum region is affected by background contributions from secondary particle scattering, decay processes, and instrumental noise, which can obscure potential condensation signatures. Therefore, statistical models are necessary to analyse the observed data.
We discuss the heavy-ion collisions at the Large Hadron Collider (LHC). The GC-threshold energy E π G C 100 GeV in heavy nucleus collisions [3]. Equation (9) requires the incident proton to be accelerated to E p G C 10 6 GeV or s G C 1.4 TeV to allow condensed gluons to enter the collision range. Thus, the scenario discussed by Begun and Florkowski, s = 2.76 TeV P b P b collisions, occurs in Figure 2b and Figure 3b, which is at 2 s G C . Considering that the distribution of pions fragmented from gluon mini-jets will become softer, we can expect that partially localised low-momentum pions to be observed at a large rapidity in the LHC ( P b P b ) collision energy region. This is exactly what is seen by Begun and Florkowski, but it is a GC effect and is not related to BEC.
Let us explain this new discovery.
(i) Why do new pions with the GC effect appear at the edge of rapidity at the LHC? This is a natural consequence of GC kinematics and is well understood and shown in Figure 2b. The mini-jet that appears at the edge of rapidity consists of a large-x gluon and a small-x gluon, so as the collision energy increases, the GC peak at small-x will appear first at the edge of rapidity. Therefore, the data analysed by Begun and Florkowski falls within the range of Figure 2b, i.e., the rapidity edge region.
(ii) The k T distribution in Figure 3b shows that the jets indeed distribute the low momentum region. The reason is as follows. The maxima of the gluon transverse momentum distribution in the GC spectrum, Figure 1, are in a similar region k c 2 Q s 2 . Therefore, the main contribution to Equation (1) comes from ( k T + q T ) 2 ( k T q T ) 2 . Thus, we have k T 0 , as shown in Figure 2b. Considering that the momentum of each pion after fragmentation softens, these pions have low momentum.
(iii) The QGP may alter quark–gluon distributions; tracking the evolution of GC in the initial nucleon state requires minimizing QGP interference during hadronization. Fortunately, in the P b P b collisions at s N N = 2.7 TeV, the GC effect appears in the rapidity edge region. Particles produced in the central rapidity region of heavy ion collisions have weak correlations with particles in the peripheral region. This is due to the following: (a) Mechanism differences. The central region is dominated by QGP collective effects, while the peripheral region is dominated by fragmentation processes, which have different physical origins; (b) Space-time separation. Large rapidity differences lead to the interruption of causal connections, resulting in limited correlation lengths. In fact, the ALICE collaboration measured particle correlations in the central region ( | y | < 0.5 ) and forward region (2.5 < y < 4.0) of P b P b collisions at s N N = 2.76 TeV [13]. The results showed that for large | Δ y | , the correlation function has no modulation in the Δ ϕ direction, with correlation coefficients less than 0.05, indicating negligible correlations. The CMS experiment also reported similar findings [14]. Therefore, we have omitted the possible QGP influence.
(iv) Why is the distribution of low-momentum pions jumpy? The reason lies in the GC peak. When a large number of condensed gluons enter the collision region, the number of pions increases dramatically. This is not only because more gluons in the proton raise the probability of gluon collisions, but also because gluons are the main component of pion.
(v) Why do Begun and Florkowski find weak isospin symmetry breaking in low momentum pions? A large number of pions with a certain energy accumulate in a narrow space during each collision. Due to the overlap of their wave functions, they may transform into each other during the formation time, i.e., π + π 2 π 0 . However, since m π + + m π > 2 m π 0 and the lifetime of π 0 ( 10 16 s) is much shorter than the typical weak decay lifetime of π ± ( 10 6 s– 10 8 s), the equilibrium will be broken, and π 0 will dominate the secondary processes, allowing us to neglect the contribution of π ± . We have observed this effect in the astronomical events. The above is the case of saturation of pion production in very high energy p A collisions. The GC phenomenon in the LHC 2.76 TeV region should occur locally in the large rapidity region, where the above isospin asymmetry is much weaker, as seen by Begun and Florkowski.
(vi) BEC is a macroscopic quantum phenomenon. After undergoing rapid expansion and cooling, a heavy-ion collision system may locally enter a “freeze-out” stage characterized by low effective temperature and high particle density. In this regime, the pion chemical potential approaches its mass, leading to a divergence in the particle number distribution in momentum space, with an accumulation particularly near low momentum, especially the zero-momentum state. GC refers to the possible spontaneous clustering of a large number of gluons inside a hadron into a critical momentum state at extremely high energies (very small Bjorken-x). This phenomenon originates from the chaotic dynamics induced by singular structures in nonlinear small-x evolution equations, where strong shadowing/anti-shadowing feedback drives gluons to condensate into the critical momentum mode in the final stage of evolution.
There are several possible sources of low-momentum pions, each contributing differently to the correlation function. For example:
  • Resonance decay. Long-lived resonances produce a large number of low- p T pions (“halo”) in the final state, which mainly broadens the peak widths [15,16].
  • Coherent hydrodynamic flow. A combination of thermal emission and collective flow leads to an enhanced abundance of low- p T particles. The spectrum at p T 0.3 GeV / c appears nearly exponential [17,18].
  • HBT enhancement due to bosonic symmetry. This results in a single-scale broad peak without δ -spikes [19,20].
  • BEC emission. Inverse particle cascades or coherent fields generate a “coalescence peak” as p T 0 [5,21].
  • GC. As shown in Figure 2 and Figure 3, the GC contribution to the correlation function can be approximately represented as a columnar distribution in the large-rapidity region at LHC energies. We plan to investigate this in our future work.

5. Discussion

Based on the above results, we give the following predictions. The heavy-ion collision energy at the LHC has been upgraded from s N N = 2.76 TeV to 5.36 TeV, corresponding to the transition shown in Figure 2c and Figure 3c, where low-momentum pions exceeding 19 % may be detected in the forward rapidity side region. The p P b collisions at s N N = 8.16 TeV seem to be a stronger effect; however, it is only half as strong as a P b P b collision of the same energy. The GC thresholds are E π G C 1 TeV and 20 TeV for the O–O collisions at s N N 10 TeV and p p collisions at s N N = 300 TeV [3], respectively. Thus, we do not discuss them in this work. Future upgrades, such as the HE-LHC for p P b collisions, where the C.M. energy may exceed 20 TeV, and FCC-hh or SppC up to 70 TeV, may allow us to observe how the GC transitions from weak to strong and to unravel its mysteries. As shown in Figure 2 and Figure 3, with an energy of s N N 100 TeV or more, the GC effect will become very strong and dominate the whole rapidity region. We warn that strong gamma rays similar to artificial miniature gamma-ray bursts can be accidentally generated, which may damage the detector.
Although GC and BEC in heavy-ion collisions have yet to be confirmed by direct experiments, comparing their differences is insightful. BEC conditions necessitate that the chemical potential approaches (but does not exceed) the pion mass, μ π m π . The BEC phase transition is characterized by a significant number of near-zero-momentum ( p 0 ) pions produced in hadron collisions, with a phase space density surpassing the BEC critical threshold, N π λ π 3 > 2.612 . Here, N π represents the pion number density and λ π = h / 2 π m π k B T is the thermal de Broglie wavelength. Additionally, condensed pions should display unique correlations. Although these BEC conditions might arise during QGP hadronization, their experimental verification is highly challenging.
In contrast, the GC model predicts low-momentum pions that are independent of the BEC mechanism, requiring comparatively relaxed conditions. However, it requires that the proton’s energy exceeds the GC threshold. In ultra-high energy cosmic ray events, the unique BPL spectrum of GC can be compared with other models to determine if low-momentum pions dominate. Whether or not the GC effect also satisfies the BEC condition remains a separate question. One possibility is that GC produces enough zero-momentum ( p 2 0 ) pions to contribute to BEC.
Conclusions. In this work, we present, for the first time, a unified explanation for anomalies observed in the cosmic gamma-ray spectrum at astrophysical scales and low-momentum pion clustering at the particle scale in heavy-ion collisions at the LHC, attributing both phenomena to GC. Specifically, (1) by employing energy conservation and relativistic covariance, we circumvent the complexities of the hadronization process and derive an analytical solution for gamma-ray spectra that accurately reproduces the BPL features observed in nearly one hundred astrophysical sources, including supernova remnants and active galactic nuclei; and (2) we demonstrate that the low-momentum pion clustering observed by the ALICE collaboration, previously interpreted as BEC, can instead be understood as a manifestation of GC effects. Importantly, the formation of GC does not require the stringent conditions necessary for BEC, and it can be tested in future high-energy collider experiments such as the HE-LHC and FCC-hh. We also caution about the potential generation of artificial gamma-ray bursts in ultra-high-energy collisions, emphasizing the importance of detector protection. This series of findings indicates that GC constitutes a novel and under-recognized structural phenomenon within the Standard Model framework, opening new avenues in particle physics, astrophysics, and nonlinear dynamics. Not only does this deepen our understanding of the proton’s internal structure, but it also provides a powerful tool for exploring matter behaviour under extreme conditions in the Universe.

Author Contributions

Conceptualization, W.Z., J.R. and X.C.; methodology, W.Z., J.R. and X.C.; software, J.R. and Y.T.; validation, W.Z. and X.C.; formal analysis, W.Z., J.R. and X.C.; investigation, W.Z., J.R. and X.C.; resources, W.Z.; data curation, W.Z.; writing—original draft preparation, W.Z.; writing—review and editing, W.Z., J.R., X.C. and Y.T.; supervision, W.Z.; project administration, W.Z.; funding acquisition, W.Z. All authors have read and agreed to the published version of the manuscript.

Funding

This research received no external funding.

Data Availability Statement

The data presented in this study are available in the article. Further inquiries can be directed to the corresponding author.

Acknowledgments

We thank Fan Wang for the useful discussions and help.

Conflicts of Interest

The authors declare no conflicts of interest.

Abbreviations

The following abbreviations are used in this manuscript:
QCDQuantum chromodynamics
GCGluon Condensation
LHCLarge Hadron Collider
BECBoson Einstein condensation
CGCColor Glass Condensate
BPLBroken Power Law
C.M.Center-of-Mass
SNRSupernova Remnant
GRBGamma-ray Burst
AGNActive Galactic Nuclei
ICInverse Compton
EBLExtragalactic Background Light
QGPQuark–Gluon Plasma
GLRGribov–Levin–Ryskin
MQMuller–Qiu

Appendix A. Small-x GC and the Origin of the Slope Explosion Phenomenon. For the Benefit of Readers Unfamiliar with QCD Evolution Dynamics, We Offer the Following Comment from ChatGPT 5.1

In the high-energy (small-x) region, the parton distribution function of gluons in proton/nucleon is predicted to rise sharply. This steep increase can cause the slope (derivative) of the distribution to diverge at small x, a phenomenon vividly termed slope explosion. This behaviour was first explicitly proposed in the ground breaking 1983 study by Gribov–Levin–Ryskin (GLR) [6]. While studying small-x QCD, the GLR team discovered that, according to linear evolution equations, the gluon density would grow as a power law as x decreased, violating the unitarity bound for scattering cross-sections. They thus proposed the parton saturation theory: when the gluon density becomes sufficiently high, newly produced gluons undergo fusion, counteracting the growth and slowing or even halting the unchecked increase of the gluon distribution. In their paper, GLR derived an evolution equation incorporating nonlinear terms (later known as the GLR equation), providing the first quantitative description of the saturation effect caused by gluon recombination in high-density gluon systems. This effectively predicted that the slope of the small-x gluon distribution would explosively increase without nonlinear effects, while the saturation mechanism would flatten the distribution, preventing slope divergence.
The 1986 study by Mueller–Qiu (MQ) further developed GLR’s ideas. In their paper, Mueller and Qiu independently derived a nonlinear DGLAP evolution equation similar to GLR’s (often referred to as the GLR-MQ equation) [22], which included a gluon fusion term. They also noted that the linear DGLAP equation would lead to a steep rise in the gluon distribution function G ( x , Q 2 ) at small x, violating the physical limit of power-law growth. However, with the addition of the fusion term, the gluon distribution exhibited saturation or shadowing effects at high densities, significantly slowing the growth slope. The MQ work corroborated GLR’s findings: both viewed the uncontrolled slope explosion as a phenomenon requiring suppression through gluon recombination/saturation mechanisms and provided mathematical descriptions.
In the 1990s, experiments at the HERA accelerator measured the steep rise of the proton’s deep inelastic scattering structure function E 2 at small x, confirming the theoretical prediction of slope explosion: F 2 increased rapidly with Q 2 as x 10 4 10 5 , with a large logarithmic slope. This spurred further development of saturation theory. In 1994, L. McLerran and R. Venugopalan proposed the famous CGC model, depicting small-x gluons in high-energy nuclei forming a high-density saturated state [23]. Despite the term condensate, CGC refers to a coherent, classical, and uniform saturated state of gluons, not a strict quantum mechanical condensate. However, this concept vividly reflects that, in the small-x limit, gluons fill phase space with extremely high occupancy, forming a collective state resembling a condensate. The CGC effective theory was systematically developed around 1999 by Iancu, Ferreiro, Jalilian-Marian, Kovner, and others (via the JIMWLK equation and Kovchegov’s BK equation). However, it is worth noting that traditional CGC/BK evolution yields saturation solutions that are typically flattened distributions, without sharp peaks or divergent derivatives—in other words, CGC describes a saturation equilibrium rather than a true “slope explosion” spike.
The idea of slope explosion as a signal of gluons condensing into a peak at a specific momentum was elevated by the work of Chinese scholar W. Zhu and his team in the 21st century. Zhu and his collaborators began refining the GLR-MQ equations in 1999, introducing more complete higher-order loop contributions and stochastic coherence effects (they named the developed evolution equations the Zhu–Ruan–Shen (ZRS) equation and Zhu–Shen–Ruan (ZSR) equation) [2]. In a 2008 paper, Zhu’s team first reported a striking feature of the solution: as the evolution progressed, the gluon distribution exhibited a pronounced peak at a critical transverse momentum, as if a large number of gluons were converging at that momentum. This phenomenon was termed GC by the authors, suggesting that gluons in a high-density, small-x environment undergo behaviour analogous to Bose–Einstein condensation. Mathematically, this manifests as a delta-function-like spike in the distribution function, where the slope at the critical momentum k c becomes infinite. Here, slope explosion acquired a new physical meaning: the derivative of the gluon distribution with respect to momentum approaches divergence at the peak, with the curve rising steeply as if exploding before sharply descending. In 2016–2017, Zhu and his team confirmed the existence of this gluon condensation through more precise ZSR evolution equations. They found that the antishadowing oscillations introduced by nonlinear terms caused violent fluctuations in the gluon distribution, leading to the formation of sharp peaks at critical points. The authors quantitatively described these peaks as δ -function-like distributions and defined the corresponding critical condensation momentum k c . This marked a shift in the understanding of slope explosion: it was no longer merely a pathological growth to be suppressed but a potential signal of a new state of matter—if experiments observed an anomalous peak-like accumulation of gluons at a specific momentum, it would directly confirm gluon condensation. Thus, slope explosion evolved from a theoretical warning to a conjecture about a new condensed phase, reflecting a conceptual progression from saturation to condensation.

References

  1. McLerran, L. The CGC and the Glasma: Two lectures at the Yukawa Institute. Prog. Theor. Phys. Suppl. 2011, 187, 17. [Google Scholar] [CrossRef]
  2. Zhu, W.; Shen, Z.Q.; Ruan, J.H. Chaotic effects in a nonlinear QCD evolution equation. Nucl. Phys. B 2016, 911, 1. [Google Scholar] [CrossRef]
  3. Zhu, W.; Chen, Q.C.; Cui, Z.; Ruan, J.H. The gluon condensation in hadron collisions. Nucl. Phys. B 2022, 984, 115961. [Google Scholar] [CrossRef]
  4. Aharonian, F.A. Very High Energy Cosmic Gamma Radiation: A Crucial Window on the Extreme Universe; World Scientific: Singapore, 2012. [Google Scholar]
  5. Begun, V.; Florkowski, W. Bose–Einstein condensation of pions in heavy-ion collisions at the CERN LHC energies. Phys. Rev. C 2015, 91, 054909. [Google Scholar]
  6. Gribov, L.V.; Levin, E.M.; Ryskin, M.G. Semihard processes in QCD. Phys. Rep. 1983, 100, 1–150. [Google Scholar] [CrossRef]
  7. Szczurek, A. From unintegrated gluon distributions to particle production in nucleon-nucleon collisions at RHIC energies. Acta Phys. Pol. B 2003, 34, 3191–3214. [Google Scholar]
  8. Zhu, W.; Liu, P.; Ruan, J.H.; Wang, F. Possible evidence for the gluon condensation effect in cosmic positron and gamma-ray spectra. Astrophys. J. 2020, 889, 127. [Google Scholar] [CrossRef]
  9. Anisovich, V.V.; Kobrinsky, M.N.; Nyiri, J.; Shabelski, Y.M. Quark Model and High Energy Collisions; World Scientific: Singapore, 1985. [Google Scholar]
  10. Mirzoyan, R. Major change in understanding of GRBs at TeV. In Proceedings of the 36th International Cosmic Ray Conference (ICRC2019), Madison, WI, USA, 24 July–1 August 2019. [Google Scholar]
  11. Zhu, W.; Chen, X.R.; Tang, Y.C. Revealing mysteries in gamma-ray bursts: The role of gluon condensation. Eur. Phys. J. C 2025, 85, 287. [Google Scholar] [CrossRef]
  12. Foffano, L.; Tavani, M.; Piano, G. Theoretical modeling of the exceptional GRB 221009A afterglow. Astrophys. J. Lett. 2024, 973, L44. [Google Scholar] [CrossRef]
  13. Khachatryan, V.; Sirunyan, A.M.; Tumasyan, A.; Adam, W.; Asilar, E.; Bergauer, T.; Brandstetter, J.; Brondolin, E.; Dragicevic, M.; Erö, J.; et al. Event generator tunes obtained from underlying event and multiparton scattering measurements. J. High Energy Phys. 2014, 11, 013. [Google Scholar] [CrossRef] [PubMed]
  14. ALICE Collaboration. Enhanced production of multi-strange hadrons in high-multiplicity proton-proton collisions. Phys. Rev. Lett. 2016, 116, 172302. [Google Scholar]
  15. Wiedemann, U.A.; Heinz, U. Resonance Contributions to HBT Correlation Radii. arXiv 1996, arXiv:nucl-th/9611031. [Google Scholar]
  16. Csörgo, T.; Lörstad, B.; Zimányi, J. Bose–Einstein Correlations for Systems with Large Halo. arXiv 1994, arXiv:hep-ph/9411307. [Google Scholar]
  17. Heinz, U.; Snellings, R. Collective Flow and Viscosity in Relativistic Heavy-Ion Collisions. arXiv 2013, arXiv:1301.2826. [Google Scholar] [CrossRef]
  18. Gale, C.; Jeon, S.; Schenke, B. Hydrodynamic Modeling of Heavy-Ion Collisions. arXiv 2013, arXiv:1301.5893. [Google Scholar] [CrossRef]
  19. Lisa, M.A.; Pratt, S.; Soltz, R.; Wiedemann, U. Femtoscopy in Relativistic Heavy Ion Collisions. arXiv 2005, arXiv:nucl-ex/0505014. [Google Scholar] [CrossRef]
  20. Wiedemann, U.A.; Heinz, U. Particle Interferometry for Relativistic Heavy-Ion Collisions. arXiv 1999, arXiv:nucl-th/9901094. [Google Scholar] [CrossRef]
  21. Begun, V.V.; Gorenstein, M.I. Bose–Einstein Condensation in the Relativistic Pion Gas. arXiv 2008, arXiv:0802.3349. [Google Scholar]
  22. Mueller, A.H.; Qiu, J.W. Gluon recombination and shadowing at small x. Nucl. Phys. B 1986, 268, 427–452. [Google Scholar]
  23. McLerran, L.D.; Venugopalan, R. Computing quark and gluon distribution functions for very large nuclei. Phys. Rev. D 1994, 49, 2233–2241. [Google Scholar] [CrossRef] [PubMed]
Figure 1. The evolution of gluon distribution in a QCD evolution equation from a CGC model to GC, where gluons at x < x c are condensed at a critical momentum ( x c , k c ) . All coordinates are on the logarithmic scale. There are two characteristics of this distribution: a sharp peak at the critical momentum and no gluons present at x < x c .
Figure 1. The evolution of gluon distribution in a QCD evolution equation from a CGC model to GC, where gluons at x < x c are condensed at a critical momentum ( x c , k c ) . All coordinates are on the logarithmic scale. There are two characteristics of this distribution: a sharp peak at the critical momentum and no gluons present at x < x c .
Symmetry 17 01664 g001
Figure 2. Inclusive gluon rapidity distribution in the A A collisions using ZSR equation and input Figure 1 at different energy s . The panels (ai) illustrate different regimes of s , ranging from s G C up to 1000 s G C . The resulting blue curves show the large fluctuations are arisen by GC. The black broken curves indicate the results without the QCD evolution. Using astrophysical cases, we estimate that gluon condensation in heavy-nucleus collisions occurs at s G C 1.4 TeV [3]. Thus, (b,c) correspond to the LHC energy region, where hadronization via a fragmentation model reproduces the results of Begun and Florkowski. Beyond (f), the processes involve ultra-high-energy hadronic collisions producing γ rays. They indicate that condensed gluons generate a vast number of mini-jets, whose pion production nearly saturates the available collision energy, thereby forming the BPL structure in the γ -ray spectra.
Figure 2. Inclusive gluon rapidity distribution in the A A collisions using ZSR equation and input Figure 1 at different energy s . The panels (ai) illustrate different regimes of s , ranging from s G C up to 1000 s G C . The resulting blue curves show the large fluctuations are arisen by GC. The black broken curves indicate the results without the QCD evolution. Using astrophysical cases, we estimate that gluon condensation in heavy-nucleus collisions occurs at s G C 1.4 TeV [3]. Thus, (b,c) correspond to the LHC energy region, where hadronization via a fragmentation model reproduces the results of Begun and Florkowski. Beyond (f), the processes involve ultra-high-energy hadronic collisions producing γ rays. They indicate that condensed gluons generate a vast number of mini-jets, whose pion production nearly saturates the available collision energy, thereby forming the BPL structure in the γ -ray spectra.
Symmetry 17 01664 g002
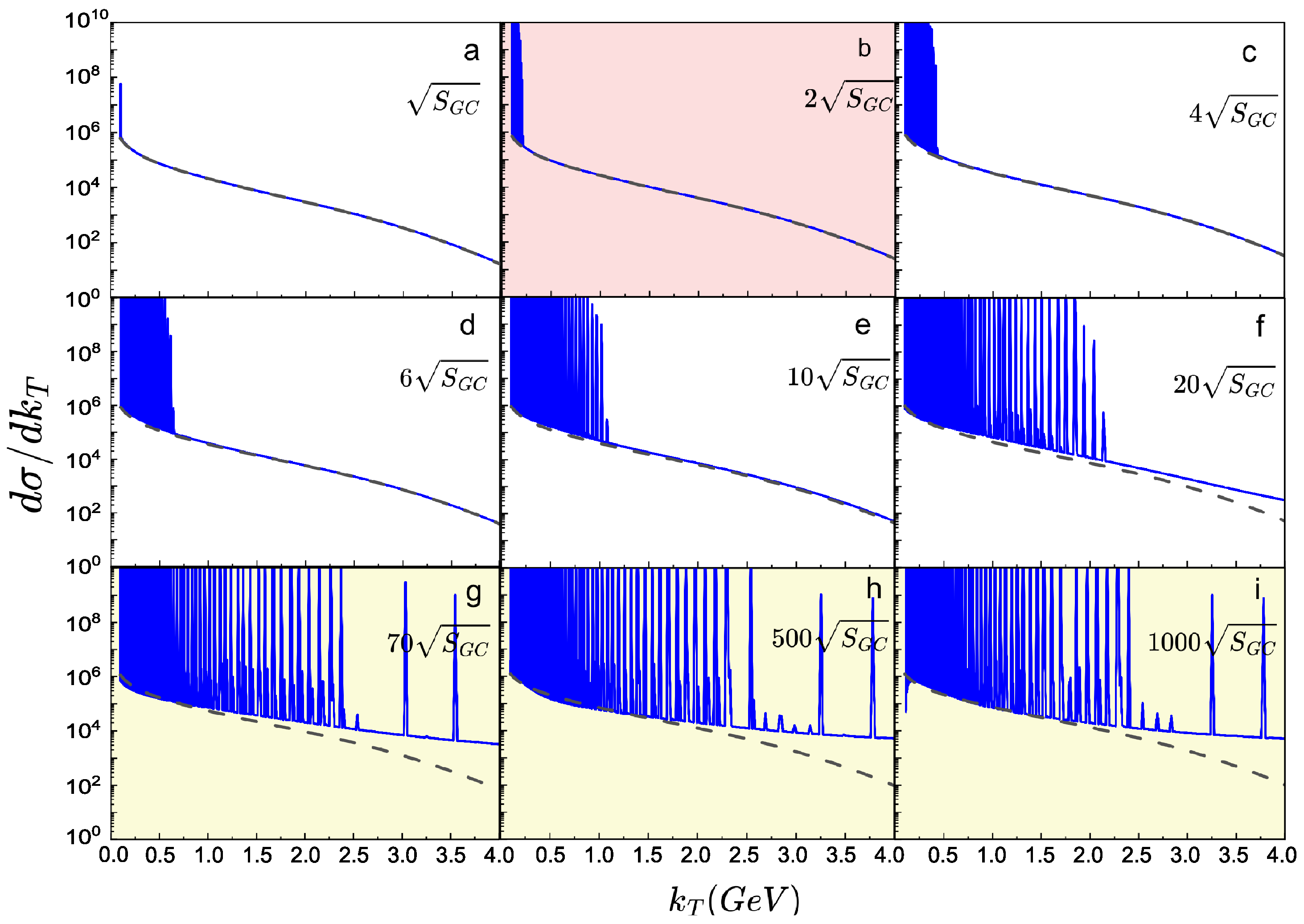
Figure 3. Similar to Figure 2 but for the k T -distributions of the gluon mini-jets in the A A collisions. The panels (ai) illustrate different regimes of s , ranging from s G C up to 1000 s G C .
Figure 3. Similar to Figure 2 but for the k T -distributions of the gluon mini-jets in the A A collisions. The panels (ai) illustrate different regimes of s , ranging from s G C up to 1000 s G C .
Symmetry 17 01664 g003
Figure 4. (a) The solid curve represents the pion multiplicity N π with pion condensation, while the dashed curve represents it without pion condensation. (b) The condensation-spectrum for the VHE gamma-ray spectrum; when the highest proton energy E p does not reach the condensation threshold E p m a x , the gamma spectrum decays exponentially from E π c u t < E π m a x .
Figure 4. (a) The solid curve represents the pion multiplicity N π with pion condensation, while the dashed curve represents it without pion condensation. (b) The condensation-spectrum for the VHE gamma-ray spectrum; when the highest proton energy E p does not reach the condensation threshold E p m a x , the gamma spectrum decays exponentially from E π c u t < E π m a x .
Symmetry 17 01664 g004
Figure 5. Several GRB gamma spectra. (a,b) Comparisons of the GC spectrum (blue solid curves) fitting GRB 190114C with two leptonic scenarios (IC, dashed curves). (c) The GC spectrum fitting GRB 221009A. (d) An IC model fitting GRB 221009A. The fitting procedure was done using iminuit (https://scikit-hep.org/iminuit/index.html, accessed on 31 August 2025).
Figure 5. Several GRB gamma spectra. (a,b) Comparisons of the GC spectrum (blue solid curves) fitting GRB 190114C with two leptonic scenarios (IC, dashed curves). (c) The GC spectrum fitting GRB 221009A. (d) An IC model fitting GRB 221009A. The fitting procedure was done using iminuit (https://scikit-hep.org/iminuit/index.html, accessed on 31 August 2025).
Symmetry 17 01664 g005
Disclaimer/Publisher’s Note: The statements, opinions and data contained in all publications are solely those of the individual author(s) and contributor(s) and not of MDPI and/or the editor(s). MDPI and/or the editor(s) disclaim responsibility for any injury to people or property resulting from any ideas, methods, instructions or products referred to in the content.

Share and Cite

MDPI and ACS Style

Zhu, W.; Ruan, J.; Chen, X.; Tang, Y. Gluon Condensation as a Unifying Mechanism for Special Spectra of Cosmic Gamma Rays and Low-Momentum Pion Enhancement at the Large Hadron Collider. Symmetry 2025, 17, 1664. https://doi.org/10.3390/sym17101664

AMA Style

Zhu W, Ruan J, Chen X, Tang Y. Gluon Condensation as a Unifying Mechanism for Special Spectra of Cosmic Gamma Rays and Low-Momentum Pion Enhancement at the Large Hadron Collider. Symmetry. 2025; 17(10):1664. https://doi.org/10.3390/sym17101664

Chicago/Turabian Style

Zhu, Wei, Jianhong Ruan, Xurong Chen, and Yuchen Tang. 2025. "Gluon Condensation as a Unifying Mechanism for Special Spectra of Cosmic Gamma Rays and Low-Momentum Pion Enhancement at the Large Hadron Collider" Symmetry 17, no. 10: 1664. https://doi.org/10.3390/sym17101664

APA Style

Zhu, W., Ruan, J., Chen, X., & Tang, Y. (2025). Gluon Condensation as a Unifying Mechanism for Special Spectra of Cosmic Gamma Rays and Low-Momentum Pion Enhancement at the Large Hadron Collider. Symmetry, 17(10), 1664. https://doi.org/10.3390/sym17101664

Note that from the first issue of 2016, this journal uses article numbers instead of page numbers. See further details here.

Article Metrics

Back to TopTop