Fluctuation Induced Force in the Nagle–Kardar Model in Ensemble with Conserved Magnetization
Abstract
1. Introduction
2. The Model in Canonical Ensemble
3. On the Phase Diagram in Canonical Ensemble
- the second order phase transition exists when , with ;
- there is a tricritical point in the system at , i.e., , and .
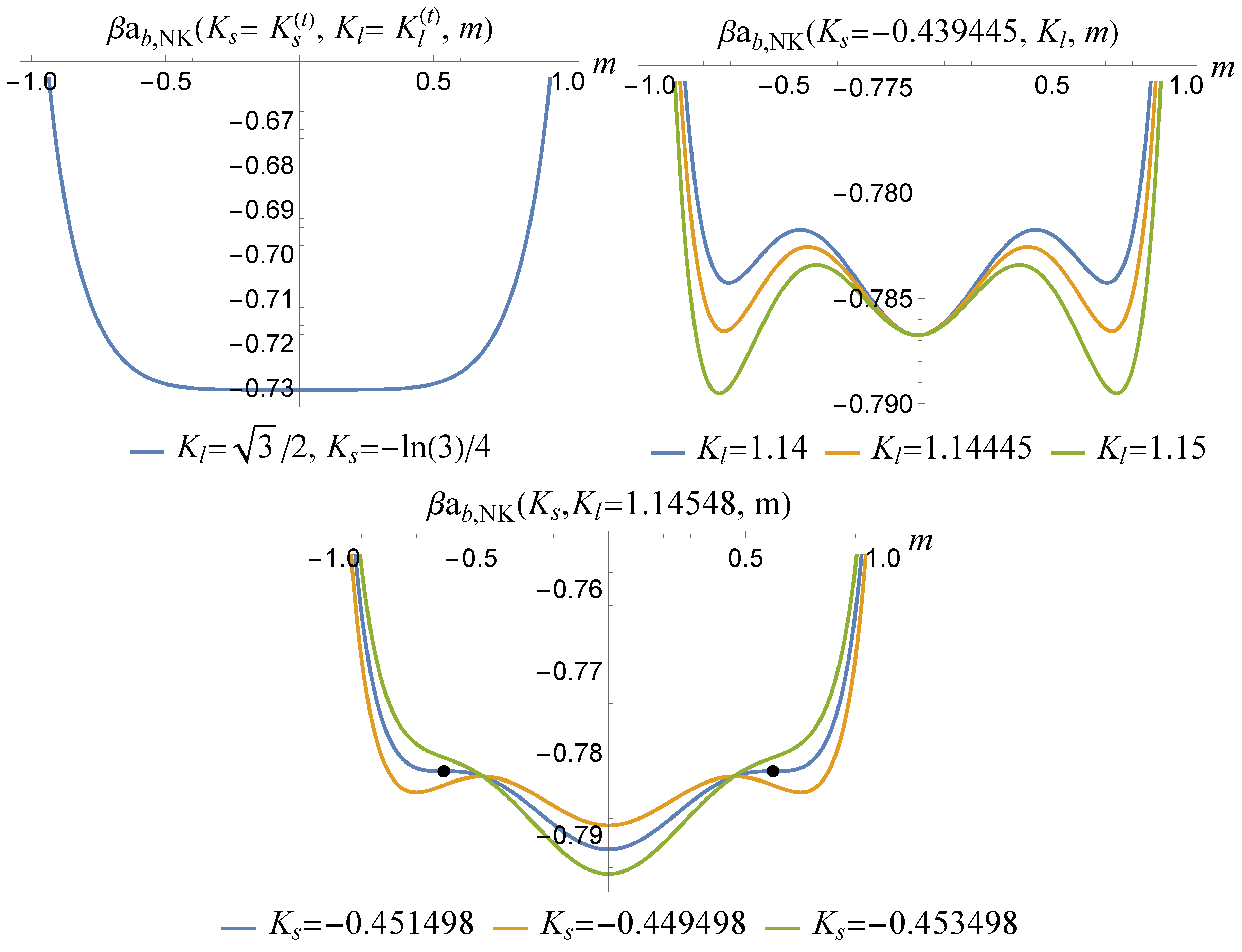
4. On the Stability of the System
5. On the Behavior of the Helmholtz Force
6. Discussion and Concluding Remarks
Author Contributions
Funding
Data Availability Statement
Acknowledgments
Conflicts of Interest
Abbreviations
| CE | canonical ensemble |
| GCE | grand canonical ensemble |
| CCF | critical Casimir force |
| CF | Casimir force |
| HF | Helmholtz force |
| PBC’s | periodic boundary conditions |
References
- Casimir, H.B. On the Attraction Between Two Perfectly Conducting Plates. Proc. K. Ned. Akad. Wet. 1948, 51, 793–796. [Google Scholar]
- Fisher, M.E.; de Gennes, P.G. Phénomènes aux parois dans un mélange binaire critique. C. R. Seances Acad. Sci. Paris Ser. B 1978, 287, 207–209. [Google Scholar]
- Maciołek, A.; Dietrich, S. Collective behavior of colloids due to critical Casimir interactions. Rev. Mod. Phys. 2018, 90, 045001. [Google Scholar] [CrossRef]
- Dantchev, D.; Dietrich, S. Critical Casimir effect: Exact results. Phys. Rep. 2023, 1005, 1–130. [Google Scholar] [CrossRef]
- Gambassi, A.; Dietrich, S. Critical Casimir forces in soft matter. Soft Matter 2024, 20, 3212–3242. [Google Scholar] [CrossRef] [PubMed]
- Dantchev, D. On Casimir and Helmholtz Fluctuation-Induced Forces in Micro- and Nano-Systems: Survey of Some Basic Results. Entropy 2024, 26, 499. [Google Scholar] [CrossRef]
- Barber, M.N. Finite-size Scaling. In Phase Transitions and Critical Phenomena; Domb, C., Lebowitz, J.L., Eds.; Academic: London, UK, 1983; Volume 8, Chapter 2; pp. 146–266. [Google Scholar]
- Privman, V. Finite-size scaling theory. In Finite Size Scaling and Numerical Simulations of Statistical Systems; Privman, V., Ed.; World Scientific: Singapore, 1990; pp. 1–98. [Google Scholar]
- Brankov, J.G.; Dantchev, D.M.; Tonchev, N.S. The Theory of Critical Phenomena in Finite-Size Systems—Scaling and Quantum Effects; World Scientific: Singapore, 2000. [Google Scholar]
- Garcia, R.; Chan, M.H.W. Critical Fluctuation-Induced Thinning of 4He Films near the Superfluid Transition. Phys. Rev. Lett. 1999, 83, 1187–1190. [Google Scholar] [CrossRef]
- Garcia, R.; Chan, M.H.W. Critical Casimir Effect near the 3He–4He Tricritical Point. Phys. Rev. Lett. 2002, 88, 086101. [Google Scholar] [CrossRef] [PubMed]
- Ganshin, A.; Scheidemantel, S.; Garcia, R.; Chan, M.H.W. Critical Casimir Force in 4He Films: Confirmation of Finite-Size Scaling. Phys. Rev. Lett. 2006, 97, 075301. [Google Scholar] [CrossRef] [PubMed]
- Hertlein, C.; Helden, L.; Gambassi, A.; Dietrich, S.; Bechinger, C. Direct measurement of critical Casimir forces. Nature 2008, 451, 172–175. [Google Scholar] [CrossRef] [PubMed]
- Schmidt, F.; Callegari, A.; Daddi-Moussa-Ider, A.; Munkhbat, B.; Verre, R.; Shegai, T.; Käll, M.; Löwen, H.; Gambassi, A.; Volpe, G. Tunable critical Casimir forces counteract Casimir–Lifshitz attraction. Nat. Phys. 2022, 19, 271–278. [Google Scholar] [CrossRef]
- Dantchev, D.; Rudnick, J. Exact expressions for the partition function of the one-dimensional Ising model in the fixed-M ensemble. Phys. Rev. E 2022, 106, L042103. [Google Scholar] [CrossRef] [PubMed]
- Dantchev, D.M.; Tonchev, N.S.; Rudnick, J. Casimir versus Helmholtz forces: Exact results. Ann. Phys. 2023, 459. [Google Scholar] [CrossRef]
- Dantchev, D.; Tonchev, N. A Brief Survey of Fluctuation-induced Interactions in Micro- and Nano-systems and One Exactly Solvable Model as Example. arXiv 2024, arXiv:2403.17109. [Google Scholar]
- Dantchev, D.; Tonchev, N.; Rudnick, J. Casimir and Helmholtz forces in one-dimensional Ising model with Dirichlet (free) boundary conditions. Ann. Phys. 2024, 464, 169647. [Google Scholar] [CrossRef]
- Baker, G.A. Ising model with a long-range interaction in presence of residual short-range interactions. Phys. Rev. 1963, 130, 1406–1411. [Google Scholar] [CrossRef]
- Nagle, J.F. Ising chain with competing interactions. Phys. Rev. A 1970, 2, 2124. [Google Scholar] [CrossRef]
- Kardar, M. Crossover to equivalent-neighbor multicritical behavior in arbitrary dimensions. Phys. Rev. B 1983, 28, 244–246. [Google Scholar] [CrossRef]
- Patelli, A.; Ruffo, S. Statistical mechanics and dynamics of long-range interacting systems. Riv. Mat. Della Univ. Parma 2013, 4, 345–396. [Google Scholar]
- Campa, A.; Dauxois, T.; Fanelli, D.; Ruffo, S. Physics of Long-Range Interacting Systems, 1st ed.; Oxford University Press: Oxford, UK, 2014; Volume xvi, 410p. [Google Scholar]
- Gupta, S.; Ruffo, S. The world of long-range interactions: A bird’s eye view. Int. J. Mod. Phys. A 2017, 32, 1741018. [Google Scholar] [CrossRef]
- Husimi, K. Statistical mechanics of condensation. In Proceedings of the International Conference on Theoretical Physics, Kyoto, Tokyo, 14–24 September 1953; p. 531. [Google Scholar]
- Temperley, H.N.V. The Mayer theory of condensation tested against a simple model of imperfect gas. Proc. Phys. Soc. Lond. 1954, A 67, 233. [Google Scholar] [CrossRef]
- Hoye, J.S. Spin model with antiferromagnetic and ferromagnetic interactions. Phys. Rev. B 1972, 6, 4261. [Google Scholar] [CrossRef]
- Kaufman, M.; Kahana, M. Cayley-tree Ising-model with antiferromagnetic nearest-neighbor and ferromagnetic equivalent-neighbor interactions. Phys. Rev. B 1988, 37, 7638–7642. [Google Scholar] [CrossRef]
- Vieira, A.; Goncalves, L. One-dimensional lattice gas. Condens. Matter Phys. 1995, 5, 210–225. [Google Scholar] [CrossRef]
- Paladin, G.; Pasquini, M.; Serva, M. Ferrimagnetism in a disordered Ising-model. J. Phys. I 1994, 4, 1597–1617. [Google Scholar] [CrossRef]
- Vieira, A.P.; Goncalves, L.L. One-dimensional Ising model with long-range and random short-range interactions. J. Magn. Magn. Mater. 1999, 192, 177–190. [Google Scholar] [CrossRef]
- Boukheddaden, K.; Linares, J.; Spiering, H.; Varret, F. One-dimensional Ising-like systems: An analytical investigation of the static and dynamic properties, applied to spin-crossover relaxation. Eur. Phys. J. B 2000, 15, 317–326. [Google Scholar] [CrossRef]
- Mukamel, D.; Ruffo, S.; Schreiber, N. Breaking of ergodicity and long relaxation times in systems with long-range interactions. Phys. Rev. Lett. 2005, 95, 240604. [Google Scholar] [CrossRef]
- Mukamel, D. Notes on the Statistical Mechanics of Systems with Long-Range Interactions. arXiv 2009, arXiv:0905.1457. [Google Scholar]
- Campa, A.; Dauxois, T.; Ruffo, S. Statistical mechanics and dynamics of solvable models with long-range interactions. Phys. Rep. 2009, 480, 57–159. [Google Scholar] [CrossRef]
- Bouchet, F.; Gupta, S.; Mukamel, D. Thermodynamics and dynamics of systems with long-range interactions. Phys. A 2010, 389, 4389–4405. [Google Scholar] [CrossRef]
- Ostilli, M. Mean-field models with short-range correlations. EPL 2012, 97, 50008. [Google Scholar] [CrossRef]
- Salmon, O.D.R.; de Sousa, J.R.; Neto, M.A. Phase diagrams of a spin-1 Ising system with competing short- and long-range interactions. Phys. Rev. E 2015, 92, 032120. [Google Scholar] [CrossRef] [PubMed]
- Kardar, M.; Kaufman, M. Competing Criticality of Short- and Infinite-Range Interactions on the Cayley Tree. Phys. Rev. Lett. 1983, 51, 1210–1213. [Google Scholar] [CrossRef]
- Cohen, O.; Rittenberg, V.; Sadhu, T. Shared information in classical mean-field models. J. Phys. A 2015, 48, 055002. [Google Scholar] [CrossRef]
- Li, Z.X.; Hou, J.X. Cooling a long-range interacting system faster via applying an external magnetic field. Mod. Phys. Lett. B 2022, 36, 2250100. [Google Scholar] [CrossRef]
- Campa, A.; Gori, G.; Hovhannisyan, V.; Ruffo, S.; Trombettoni, A. Ising chains with competing interactions in the presence of long-range couplings. J. Phys. A 2019, 52, 344002. [Google Scholar] [CrossRef]
- Yang, J.T.; Hou, J.X. Effect of the nearest-neighbor biquadratic interactions on the spin-1 Nagle-Kardar model. Eur. Phys. J. B 2022, 95, 190. [Google Scholar] [CrossRef]
- Salmon, O.D.R.; de Sousa, J.R.; Neto, M.A.; Padilha, I.T.; Azevedo, J.R.V.; Neto, F.D. The spin-3/2 Blume-Capel model with competing short- and long-range interactions. Phys. A-Stat. Mech. Its Appl. 2016, 464, 103–114. [Google Scholar] [CrossRef]
- Yao, Y.C.; Hou, J.X. Phase Diagram of the Nagel-Kardar Model in the Microcanonical-Canonical Crossover. Int. J. Theor. Phys. 2021, 60, 968–975. [Google Scholar] [CrossRef]
- Campa, A.; Gori, G.; Hovhannisyan, V.; Ruffo, S.; Trombettoni, A. Computation of Microcanonical Entropy at Fixed Magnetization Without Direct Counting. J. Stat. Phys. 2021, 184, 21. [Google Scholar] [CrossRef]
- Yang, J.T.; Tang, Q.Y.; Hou, J.X. Ensemble inequivalence in an extended spin-1 Nagle-Kardar model. Chin. J. Phys. 2024, 89, 1325–1332. [Google Scholar] [CrossRef]
- Kislinsky, V.B.; Yukalov, V.I. Crossover between short-term and long-range interactions in the one-dimensional Ising-model. J. Phys. A 1988, 21, 227–232. [Google Scholar] [CrossRef][Green Version]
- Mori, T. Instability of the mean-field states and generalization of phase separation in long-range interacting systems. Phys. Rev. E 2011, 84, 031128. [Google Scholar] [CrossRef] [PubMed]
- Mori, T. Phase transitions in systems with non-additive long-range interactions. J. Stat. Mech: Theory Exp. 2013, 2013, P10003. [Google Scholar] [CrossRef]
- Gallo, M. Thermal fluctuations in metastable fluids. Phys. Fluids 2022, 34, 122011. [Google Scholar] [CrossRef]
- Lulli, M.; Biferale, L.; Falcucci, G.; Sbragaglia, M.; Yang, D.; Shan, X. Metastable and unstable hydrodynamics in multiphase lattice Boltzmann. Phys. Rev. E 2024, 109, 045304. [Google Scholar] [CrossRef]
- Abramowitz, M.; Stegun, I.A. Handbook of Mathematical Functions with Formulas, Graphs, and Mathematical Tables; Dover: New York, NY, USA, 1970. [Google Scholar]
- Dantchev, D.; Tonchev, N.; Rudnick, J. Finite-size Nagle–Kardar model: Casimir force. Phys. Rev. E 2024, 110, L062104. [Google Scholar] [CrossRef]
- Kardar, M. Statistical Physics of Fields; Cambridge University Press: Cambridge, UK, 2007. [Google Scholar]







Disclaimer/Publisher’s Note: The statements, opinions and data contained in all publications are solely those of the individual author(s) and contributor(s) and not of MDPI and/or the editor(s). MDPI and/or the editor(s) disclaim responsibility for any injury to people or property resulting from any ideas, methods, instructions or products referred to in the content. |
© 2024 by the authors. Licensee MDPI, Basel, Switzerland. This article is an open access article distributed under the terms and conditions of the Creative Commons Attribution (CC BY) license (https://creativecommons.org/licenses/by/4.0/).
Share and Cite
Dantchev, D.; Tonchev, N.S.; Rudnick, J. Fluctuation Induced Force in the Nagle–Kardar Model in Ensemble with Conserved Magnetization. Symmetry 2025, 17, 22. https://doi.org/10.3390/sym17010022
Dantchev D, Tonchev NS, Rudnick J. Fluctuation Induced Force in the Nagle–Kardar Model in Ensemble with Conserved Magnetization. Symmetry. 2025; 17(1):22. https://doi.org/10.3390/sym17010022
Chicago/Turabian StyleDantchev, Daniel, Nicholay S. Tonchev, and Joseph Rudnick. 2025. "Fluctuation Induced Force in the Nagle–Kardar Model in Ensemble with Conserved Magnetization" Symmetry 17, no. 1: 22. https://doi.org/10.3390/sym17010022
APA StyleDantchev, D., Tonchev, N. S., & Rudnick, J. (2025). Fluctuation Induced Force in the Nagle–Kardar Model in Ensemble with Conserved Magnetization. Symmetry, 17(1), 22. https://doi.org/10.3390/sym17010022

