An Adaptive Voltage Reference-Based Multi-Objective Optimal Control Method for the Power Flow Symmetry of Multi-Terminal DC Systems with the Large-Scale Integration of Offshore Wind Farms
Abstract
1. Introduction
- (1)
- This paper introduces a comprehensive approach to MTDC system control that balances multiple objectives to maintain the power flow symmetry of MTDC systems. This paper establishes a mirror relationship between the available headroom of DC lines and VSCs and their actual power flow distribution performance. A corresponding index is also established for the MTDC network to demonstrate the enhanced symmetry and stability of system power flow under the varying conditions of offshore wind integration.
- (2)
- The proposed voltage reference-based multi-objective optimal control method allows proportional power sharing according to converter capacity, distributes DC line power proportionally, and regulates the DC voltage at all nodes to their nominal values, achieving three objectives simultaneously without any trade-offs. It is also effective in various contingencies such as power fluctuations and converter outages.
- (3)
- The method employs the NBI framework, which enables precise control over DC line power distribution, VSC power sharing, and DC voltage regulation, overcoming the challenges posed by traditional methods such as control freedom limitations. This approach is particularly useful in scenarios where traditional techniques fail to provide analytic solutions.
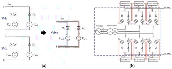
2. Flexible Power Flow Control of MTDC Network Using Normal Boundary Intersection Method
2.1. Adaptive Voltage Reference-Based Multi-Objective Optimal Control Framework
2.2. Power Flow Symmetry of VSC-HVDC System
2.3. Multiple VSC-HVDC Control Objectives
2.4. Multi-Objective Adaptive Droop Control Optimization Model
2.5. Normal Boundary Intersection Method
- (1)
- Specification of the objective function
- (2)
- Generate uniformly distributed points on the utopian surface
- (3)
- Find the Pareto optimal solution
3. Multi-Objective Optimized Decision-Making
- (1)
- Construction of an evaluation matrix : for the three objective functions considered in this study, an evaluation matrix is formulated based on M Pareto optimal solutions.
- (2)
- Normalization of data: due to variations in scale and magnitude among the objective functions, the original data are standardized using the following normalization equation:
- (3)
- Calculation of entropy-based weights for each objective function: The entropy-based weight vector, denoted as , quantifies the variation across solutions for each objective, representing the informational contribution of each objective function. The entropy weight for each objective (i = 1,2,3) is determined using the formula provided in (26):
- (4)
- Using the subjective weights of the scheduler , i = 1, 2, 3, find the corrective weight coefficients . As can be seen, takes into account both the experience of the scheduler and the entropy weights, which reflect the degree of variability of different solutions on the Pareto frontier.
- (5)
- Create a weighted specific evaluation matrix
- (6)
- Determination of double-base points:
- (7)
- Evaluation of the relative closeness for each Pareto optimal solution: the relative closeness of each Pareto optimal solution is calculated to measure its proximity to the ideal solution:
| Algorithm 1: NBI-based for selecting the best droop setting for the multi-objective optimization of the VSC-HVDC system | |
| 1 | Initialize objective functions , and . |
| 2 | Solve for the optimal solution in the case of single-objective optimization , and . |
| 3 | Constitute Utopia plane and Pareto optimal surface for a three-objective case. |
| 4 | For i = 1 to M do: |
| 5 | Objective function specification processing . |
| 6 | Establishment of utopian points and the hypothetical worst point(the bottom point) . |
| 7 | Generate evenly distributed points on the utopian surface: |
| 8 | Pareto optimal solution by quasi-normal vector method . |
| 9 | Converting a multi-objective optimization problem into a single-objective optimization problem with the objective of maximizing the distance between a point on the utopian surface and a point on the corresponding Pareto frontier: |
| 10 | Obtain a series of uniformly distributed Pareto optimal points by solving a series of single-objective optimization problems. |
| 11 | end for |
| 12 | For i=1 to M do: |
| 13 | Establishment of an evaluation matrix: |
| 14 | Specification processing of data: |
| 15 | Calculate the entropy weight of each objective function: |
| 16 | Use of subjective weights of dispatchers: |
| 17 | Create a weighted specific evaluation matrix . |
| 18 | Establishment of double base points and . |
| 19 | Calculate the relative closeness of each Pareto optimal solution and select the Pareto optimal solution with the largest relative closeness as the compromise optimal solution: |
| 20 | end for |
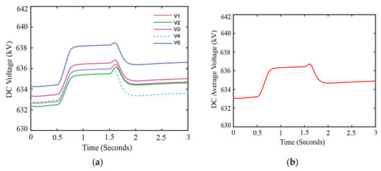
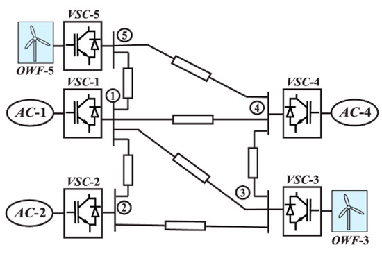
4. Case Studies
4.1. Case1: Power Increase in OWF Generation
4.2. GSVSC Outage
4.3. Analysis of Compromise Optimal Solution of Entropy Weight Two-Basis Point Method
5. Discussion
6. Conclusions
Author Contributions
Funding
Data Availability Statement
Conflicts of Interest
Nomenclature
| MTDC | Multi-Terminal DC |
| VSC | Voltage Source Converter |
| OWF | Offshore Wind Farm |
| VSC-HVDC | Voltage Source Converter-Based High-Voltage Direct Current |
| NBI | Normal Boundary Intersection |
| SMPFE | Symmetry of Power Flow Error |
References
- Wu, M.; Ma, D.; Xiong, K.; Yuan, L. Deep Reinforcement Learning for Load Frequency Control in Isolated Microgrids: A Knowledge Aggregation Approach with Emphasis on Power Symmetry and Balance. Symmetry 2024, 16, 322. [Google Scholar] [CrossRef]
- Wu, D.; Wu, L.; Wen, T.; Li, L. Microgrid Operation Optimization Method Considering Power-to-Gas Equipment: An Improved Gazelle Optimization Algorithm. Symmetry 2024, 1, 83. [Google Scholar]
- Chen, X.; Hu, Q.; Zhang, Y.; Song, M.; Wu, Z.; Xiong, J. POMDP-Based Dispatch Scheme for Residential Distributed Energy Resources Under Customer Fatigue Consideration. IEEE Trans. Smart Grid 2024, 15, 5665–5677. [Google Scholar]
- Zhang, Y.; Zou, B.; Jin, X.; Luo, Y.; Song, M.; Ye, Y.; Hu, Q.; Chen, Q.; Zambroni, A.C. Mitigating power grid impact from proactive data center workload shifts: A coordinated scheduling strategy integrating synergistic traffic-data-power networks. Appl. Energy 2025, 377, 124697. [Google Scholar]
- Zou, B.; Zhang, Y.; Chen, Q.; Hu, Q.; Hu, X.; Shi, J.; Li, Z.; Wang, Q. Low-carbon Economic Schedule of the H2 DRI-EAF Steel Plant Integrated with a Power-to-hydrogen System Driven by Blue Hydrogen and Green Hydrogen. IET Renew. Power Gen. 2024, 18, 3839–3854. [Google Scholar]
- Qian, T.; Liang, Z.; Chen, S.; Hu, Q.; Wu, Z. A Tri-Level Demand Response Framework for EVCS Flexibility Enhancement in Coupled Power and Transportation Networks. IEEE Trans. Smart Grid 2024, 16, 598–611. [Google Scholar]
- Zhang, Y.; Qian, W.; Ye, Y.; Li, Y.; Tang, Y.; Long, Y.; Duan, M. A novel non-intrusive load monitoring method based on ResNet-seq2seq networks for energy disaggregation of distributed energy resources integrated with residential houses. Appl. Energy 2023, 349, 121703. [Google Scholar]
- Hu, J.; Liu, X.; Shahidehpour, M.; Xia, S. Optimal Operation of Energy Hubs with Large-Scale Distributed Energy Resources for Distribution Network Congestion Management. IEEE Trans. Sustain. Energy 2021, 12, 1755–1765. [Google Scholar] [CrossRef]
- Xiao, D.; Lin, Z.; Chen, H.; Hua, W.; Yan, J. Windfall profit-aware stochastic scheduling strategy for industrial virtual power plant with integrated risk-seeking/averse preferences. Appl. Energy 2024, 357, 122460. [Google Scholar] [CrossRef]
- Qian, T.; Liang, Z.; Shao, C.; Guo, Z.; Hu, Q.; Wu, Z. Unsupervised learning for efficiently distributing EVs charging loads and traffic flows in coupled power and transportation systems. Appl. Energy 2025, 377, 124476. [Google Scholar] [CrossRef]
- Popat, M.; Wu, B.; Liu, F.; Zargari, N. Coordinated Control of Cascaded Current-source Converter Based Offshore Wind Farm. IEEE Trans. Sustain. Energy 2012, 3, 557–565. [Google Scholar]
- Xiao, D.; Chen, H.; Cai, W.; Wei, C.; Zhao, Z. Integrated Risk Measurement and Control for Stochastic Energy Trading of a Wind Storage System in Electricity Markets. Prot. Control Mod. Power Syst. 2023, 8, 60. [Google Scholar]
- Zhang, F.; Bieber, L.; Zhang, Y.; Li, W.; Wang, L. A Multi-Port DC Power Flow Controller Integrated with MMC Stations for Offshore Meshed Multi-Terminal HVDC Grids. IEEE Trans. Sustain. Energy 2023, 14, 1676–1691. [Google Scholar] [CrossRef]
- Chang, Y.; Cai, X. Hybrid Topology of a Diode-Rectifier-Based HVDC System for Offshore Wind Farms. IEEE J. Emerg. Sel. Top. Power Electron. 2019, 7, 2116–2128. [Google Scholar] [CrossRef]
- Zhang, Y.; Ge, Y.; Wang, S.; Pan, W.; Feng, Y.; Qiu, P. Research on the Optimal Operation of a Prosumer Micro Energy Network Centred on Data Centres. IET Renew. Power Gen. 2024, 18, 3869–3889. [Google Scholar]
- Castro, L.M.; Acha, E. On the dynamic modeling of marine VSC-HVDC power grids including offshore wind farms. IEEE Trans. Sustain. Energy 2020, 11, 2889–2900. [Google Scholar]
- Kou, P.; Liang, D.; Wu, Z.; Ze, Q.; Gao, L. Frequency Support From a DC-Grid Offshore Wind Farm Connected Through an HVDC Link: A Communication-Free Approach. IEEE Trans. Energy Convers. 2018, 33, 1297–1310. [Google Scholar]
- Nami, A.; Rodriguez-Amenedo, J.L.; Arnaltes, S.; Cardiel-Alvarez, M.A.; Baraciarte, R.A. Control of the Parallel Operation of DR-HVDC and VSC-HVDC for Offshore Wind Power Transmission. IEEE Trans. Power Deliv. 2022, 37, 1682–1691. [Google Scholar]
- Wang, L.; Thi, M.S.-N. Stability Analysis of Four PMSG-Based Offshore Wind Farms Fed to an SG-Based Power System Through an LCC-HVDC Link. IEEE Trans. Ind. Electron. 2013, 60, 2392–2400. [Google Scholar]
- Li, Z.; Yang, L.; Xu, Y. A Dynamics-Constrained Method for Distributed Frequency Regulation in Low-Inertia Power Systems. Appl. Energy 2023, 344, 121256. [Google Scholar]
- Wang, W.; Shi, X.; Wu, G.; Cao, Y. Interaction Between Grid-Forming Converters with AC Grids and Damping Improvement Based on Loop Shaping. IEEE Trans. Power Syst. 2023, 39, 1905–1917. [Google Scholar]
- Abdelwahed, M.A.; El-Saadany, E.F. Power Sharing Control Strategy of Multiterminal VSC-HVDC Transmission Systems Utilizing Adaptive Voltage Droop. IEEE Trans. Sustain. Energy 2016, 8, 605–615. [Google Scholar]
- Liu, H.; Wang, Y.; Wang, M.; Guo, Y.; Wang, J.; Shen, G.; Liao, G. Small-Signal Analysis of DC Microgrid and Multi-Objective Optimization Segmented Droop Control Suitable for Economic Dispatch. J. Mod. Power Syst. Clean. Energy 2020, 8, 564–572. [Google Scholar] [CrossRef]
- Wang, Y.; Wen, W.; Wang, C.; Liu, H.; Zhan, X.; Xiao, X. Adaptive Voltage Droop Method of Multiterminal VSC-HVDC Systems for DC Voltage Deviation and Power Sharing. IEEE Trans. Power Deliv. 2018, 34, 169–176. [Google Scholar]
- Wang, W.; Li, Y.; Cao, Y.; Häger, U.; Rehtanz, C. Adaptive droop control of VSC-MTDC system for frequency support and power sharing. IEEE Trans. Power Syst. 2017, 33, 1264–1274. [Google Scholar]
- Vennelaganti, S.G.; Chaudhuri, N.R. Stability Criterion for Inertial and Primary Frequency Droop Control in MTDC Grids with Implications on Ratio-based Frequency Support. IEEE Trans. Power Syst. 2020, 35, 3541–3551. [Google Scholar]
- Zhang, Y.; Wang, L.; Li, W. Autonomous DC Line Power Flow Regulation Using Adaptive Droop Control in HVDC Grid. IEEE Trans. Power Deliv. 2020, 36, 3550–3560. [Google Scholar]
- Haileselassie, T.M.; Uhlen, K. Impact of DC Line Voltage Drops on Power Flow of MTDC Using Droop Control. IEEE Trans. Power Syst. 2012, 27, 1441–1449. [Google Scholar]
- Shi, N.; Cheng, R.; Liu, L.; Wang, Z.; Zhang, Q.; Reno, M.J. Data-Driven Affinely Adjustable Robust Volt/VAr Control. IEEE Trans. Smart Grid 2024, 15, 247–259. [Google Scholar]
- Wang, Y.; Qiu, F.; Liu, G.; Lei, M.; Yang, C.; Wang, C. Adaptive Reference Power Based Voltage Droop Control for VSC-MTDC Systems. J. Mod. Power Syst. Clean. Energy 2023, 11, 381–388. [Google Scholar]
- Davari, M.; Mohamed, Y.A.-R.I. Robust Droop and DC-Bus Voltage Control for Effective Stabilization and Power Sharing in VSC Multiterminal DC Grids. IEEE Trans. Power Electron. 2018, 33, 4373–4395. [Google Scholar] [CrossRef]
- Wang, P.; Deng, N.; Zhang, X.-P. Droop Control for a Multi-Line Current Flow Controller in Meshed Multi-Terminal HVDC Grid Under Large DC Disturbances. IEEE Power Energy Technol. Syst. J. 2018, 5, 35–46. [Google Scholar]
- Dong, H.; Xu, Z.; Song, P.; Tang, G.; Xu, Q.; Sun, L. Optimized Power Redistribution of Offshore Wind Farms Integrated VSC-MTDC Transmissions After Onshore Converter Outage. IEEE Trans. Ind. Electron. 2017, 64, 8948–8958. [Google Scholar] [CrossRef]
- Sun, K.; Xiao, H.; Pan, J.; Liu, Y. VSC-HVDC Interties for Urban Power Grid Enhancement. IEEE Trans. Power Syst. 2021, 36, 4745–4753. [Google Scholar] [CrossRef]
- Adeuyi, O.D.; Cheah-Mane, M.; Liang, J.; Jenkins, N. Fast Frequency Response from Offshore Multiterminal VSC–HVDC Schemes. IEEE Trans. Power Deliv. 2017, 32, 2442–2452. [Google Scholar]
- Raza, A.; Dianguo, X.; Yuchao, L.; Xunwen, S.; Williams, B.W.; Cecati, C. Coordinated Operation and Control of VSC Based Multiterminal High Voltage DC Transmission Systems. IEEE Trans. Sustain. Energy 2016, 7, 364–373. [Google Scholar] [CrossRef]
- Ambia, M.N.; Meng, K.; Xiao, W.; Al-Durra, A.; Dong, Z.Y. Adaptive Droop Control of Multi-Terminal HVDC Network for Frequency Regulation and Power Sharing. IEEE Trans. Power Syst. 2021, 36, 566–578. [Google Scholar]
- Zhang, Y.; Shotorbani, A.M.; Wang, L.; Li, W. A Combined Hierarchical and Autonomous DC Grid Control for Proportional Power Sharing with Minimized Voltage Variation and Transmission Loss. IEEE Trans. Power Deliv. 2022, 37, 3213–3224. [Google Scholar]
- Rouzbehi, K.; Miranian, A.; Luna, A.; Rodriguez, P. DC Voltage Control and Power Sharing in Multiterminal DC Grids Based on Optimal DC Power Flow and Voltage-Droop Strategy. IEEE J. Emerg. Sel. Top. Power Electron. 2014, 2, 1171–1180. [Google Scholar] [CrossRef]
- Xiao, L.; Xu, Z.; An, T.; Bian, Z. Improved Analytical Model for the Study of Steady State Performance of Droop-Controlled VSC-MTDC Systems. IEEE Trans. Power Syst. 2017, 32, 2083–2093. [Google Scholar] [CrossRef]
- Zhang, Y.; Meng, X.; Shotorbani, A.M.; Wang, L. Minimization of AC-DC Grid Transmission Loss and DC Voltage Deviation Using Adaptive Droop Control and Improved AC-DC Power Flow Algorithm. IEEE Trans. Power Syst. 2021, 36, 744–756. [Google Scholar] [CrossRef]
- Wang, Z.; He, J.; Xu, Y.; Zhang, F. Distributed Control of VSC-MTDC Systems Considering Tradeoff Between Voltage Regulation and Power Sharing. IEEE Trans. Power Syst. 2020, 35, 1812–1821. [Google Scholar] [CrossRef]
- Zhang, Y.; Shotorbani, A.M.; Wang, L.; Li, W. Distributed Voltage Regulation and Automatic Power Sharing in Multi-Terminal HVDC Grids. IEEE Trans. Power Syst. 2020, 35, 3739–3752. [Google Scholar] [CrossRef]
- Li, B.; Li, Q.; Wang, Y.; Wen, W.; Li, B.; Xu, L. A Novel Method to Determine Droop Coefficients of DC Voltage Control for VSC-MTDC System. IEEE Trans. Power Deliv. 2020, 35, 2196–2211. [Google Scholar] [CrossRef]
- Zhang, F.; Gu, W.; Zhang, Y.; Wang, L.; Li, W. General Linearized Model of Voltage Source Converter with Fixed Nodal Admittance Matrix. IEEE Trans. Power Electron. 2024, 39, 12143–12148. [Google Scholar] [CrossRef]
- Gu, Z.; Pan, G.; Gu, W.; Qiu, H.; Lu, S. Robust optimization of scale and revenue for integrated power-to-hydrogen systems within energy, ancillary services, and hydrogen markets. IEEE Trans. Power Syst. 2023, 39, 5008–5023. [Google Scholar] [CrossRef]
- Pan, G.; Gu, W.; Gu, Z.; Lin, J.; Zhou, S.; Wu, Z.; Lu, S. Feasibility of Scaling up the Cost-Competitive and Clean Electrolytic Hydrogen Supply in China. Engineering 2024, 39, 154–165. [Google Scholar] [CrossRef]
- Kirakosyan, A.; El-Saadany, E.F.; Moursi, M.S.E.; Al Hosani, K. DC Voltage Regulation and Frequency Support in Pilot Voltage Droop-Controlled Multiterminal HVdc Systems. IEEE Trans. Power Deliv. 2018, 33, 1153–1164. [Google Scholar] [CrossRef]
- Zhang, Y.; Qian, W.; Shao, J.; Zhang, F.; Wang, L.; Hu, Q.; Li, W. Adaptive Voltage Reference Based Controls of Converter Power Sharing and Pilot Voltage in HVDC System for Large-Scale Offshore Wind Integration. IEEE Open J. Power Energy 2024, 11, 55–67. [Google Scholar] [CrossRef]
- Zhang, C.; Xu, Y.; Zhang, R. Multi-Objective Adaptive Robust Voltage/VAR Control for High-PV Penetrated Distribution Networks. IEEE Trans. Smart Grid 2020, 11, 5288–5300. [Google Scholar] [CrossRef]
- Pan, C.; Shao, C.; Hu, B.; Xie, K.; Li, C.; Ding, J. Modeling the Reserve Capacity of Wind Power and the Inherent Decision-Dependent Uncertainty in the Power System Economic Dispatch. IEEE Trans. Power Syst. 2023, 38, 4404–4417. [Google Scholar] [CrossRef]
- Roman, C.; Rosehart, W. Evenly Distributed Pareto Points in Multi-Objective Optimal Power Flow. IEEE Trans. Power Syst. 2006, 21, 1011–1012. [Google Scholar] [CrossRef]

















| DC Cable | 1 to 2 | 1 to 3 | 1 to 4 | 1 to 5 | 2 to 3 | 3 to 4 | 4 to 5 |
|---|---|---|---|---|---|---|---|
| 160 | 400 | 250 | 320 | 320 | 320 | 500 | |
| (MW) | 430 | 430 | 430 | 430 | 430 | 430 | 430 |
| Parameter | R(Ω/km) | L(mH/km) | C(μF/km) |
| Value | 0.0200 | 0.1463 | 0.2662 |
| VSC No. | 1 | 2 | 3 | 4 | 5 |
|---|---|---|---|---|---|
| (kV) | 630 | 630 | 630 | 630 | 630 |
| (MW) | 400 | 400 | 800 | 400 | 900 |
| (in P.U.)) | 0.08 | 0.06 | 0 | 0.04 | 0 |
| 350 | 500 | 400 |
| Type | ||||
| Half-bridge Full-bridge | 8.80 | 4.00 6.70 | 0.47 0.96 |
| Case | VSC | Line | Voltage |
|---|---|---|---|
| 1 | 0.2175 | 0.5649 | 0.2176 |
| 2 | 0.5492 | 0.2285 | 0.2223 |
| Case | VSC Power (SME1%) | Line Power (SME2%) | Voltage Deviation (SME3%) |
|---|---|---|---|
| 1 | 1.8214 | 17.1932 | 1.6557 |
| 2 | 10.8443 | 3.0794 | 3.8345 |
Disclaimer/Publisher’s Note: The statements, opinions and data contained in all publications are solely those of the individual author(s) and contributor(s) and not of MDPI and/or the editor(s). MDPI and/or the editor(s) disclaim responsibility for any injury to people or property resulting from any ideas, methods, instructions or products referred to in the content. |
© 2025 by the authors. Licensee MDPI, Basel, Switzerland. This article is an open access article distributed under the terms and conditions of the Creative Commons Attribution (CC BY) license (https://creativecommons.org/licenses/by/4.0/).
Share and Cite
Zhang, Y.; Feng, Y.; Xu, T.; Li, Y.; Du, X.; Yuan, C.; Chen, H. An Adaptive Voltage Reference-Based Multi-Objective Optimal Control Method for the Power Flow Symmetry of Multi-Terminal DC Systems with the Large-Scale Integration of Offshore Wind Farms. Symmetry 2025, 17, 105. https://doi.org/10.3390/sym17010105
Zhang Y, Feng Y, Xu T, Li Y, Du X, Yuan C, Chen H. An Adaptive Voltage Reference-Based Multi-Objective Optimal Control Method for the Power Flow Symmetry of Multi-Terminal DC Systems with the Large-Scale Integration of Offshore Wind Farms. Symmetry. 2025; 17(1):105. https://doi.org/10.3390/sym17010105
Chicago/Turabian StyleZhang, Yuanshi, Yiwen Feng, Tongxin Xu, Yilei Li, Xinye Du, Chaoyang Yuan, and Hongrui Chen. 2025. "An Adaptive Voltage Reference-Based Multi-Objective Optimal Control Method for the Power Flow Symmetry of Multi-Terminal DC Systems with the Large-Scale Integration of Offshore Wind Farms" Symmetry 17, no. 1: 105. https://doi.org/10.3390/sym17010105
APA StyleZhang, Y., Feng, Y., Xu, T., Li, Y., Du, X., Yuan, C., & Chen, H. (2025). An Adaptive Voltage Reference-Based Multi-Objective Optimal Control Method for the Power Flow Symmetry of Multi-Terminal DC Systems with the Large-Scale Integration of Offshore Wind Farms. Symmetry, 17(1), 105. https://doi.org/10.3390/sym17010105
