Electromagnetic Field and Variable Inertia Analysis of a Dual Mass Flywheel Based on Electromagnetic Control
Abstract
1. Introduction
2. Electromagnetic Analysis of the Devices
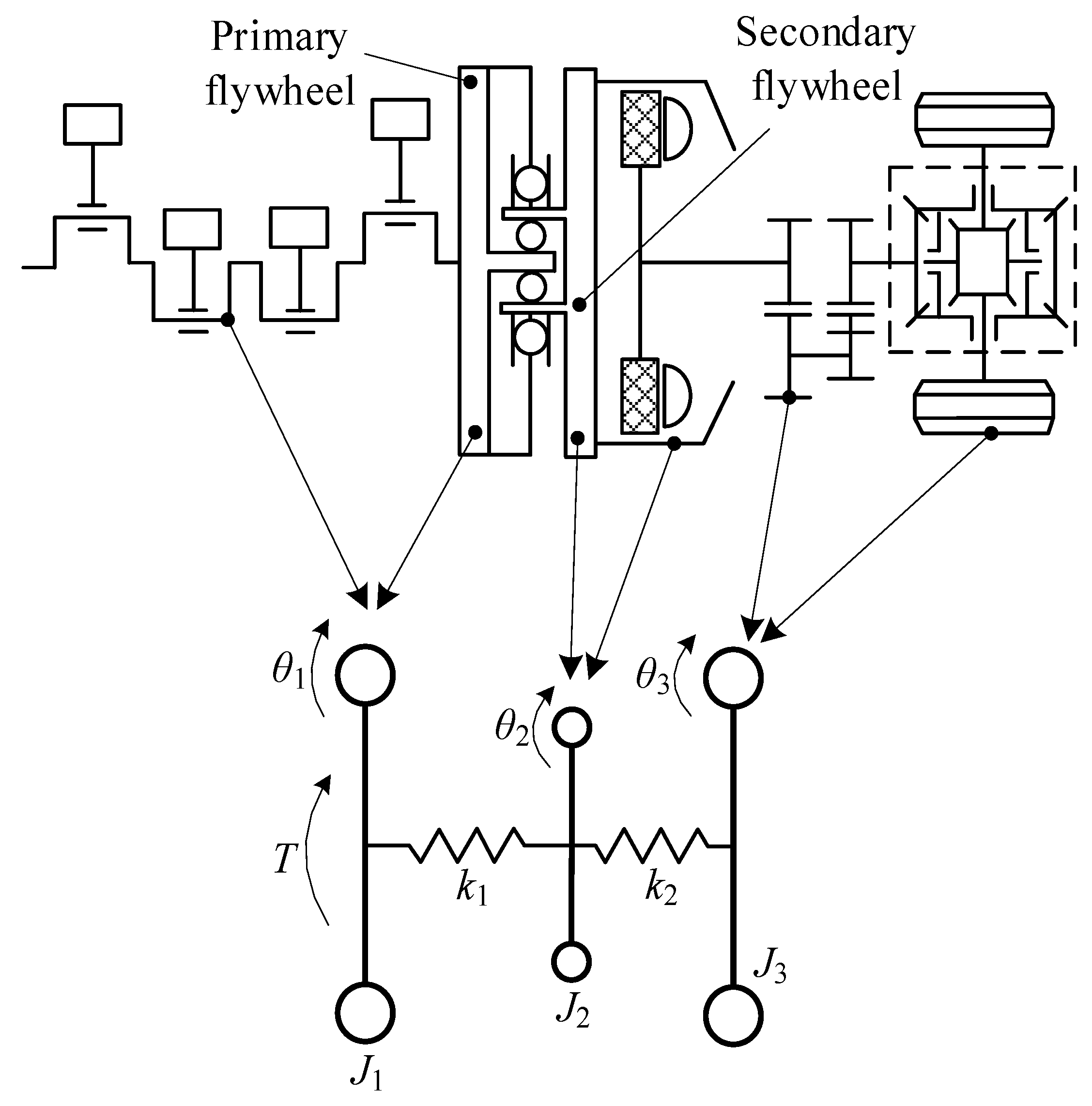
2.1. The Structure of the Variable Inertia DMF
2.2. Analysis of Electromagnetic Forces
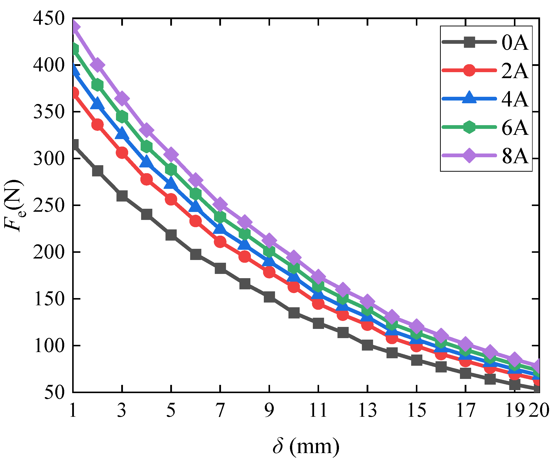
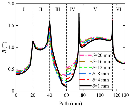
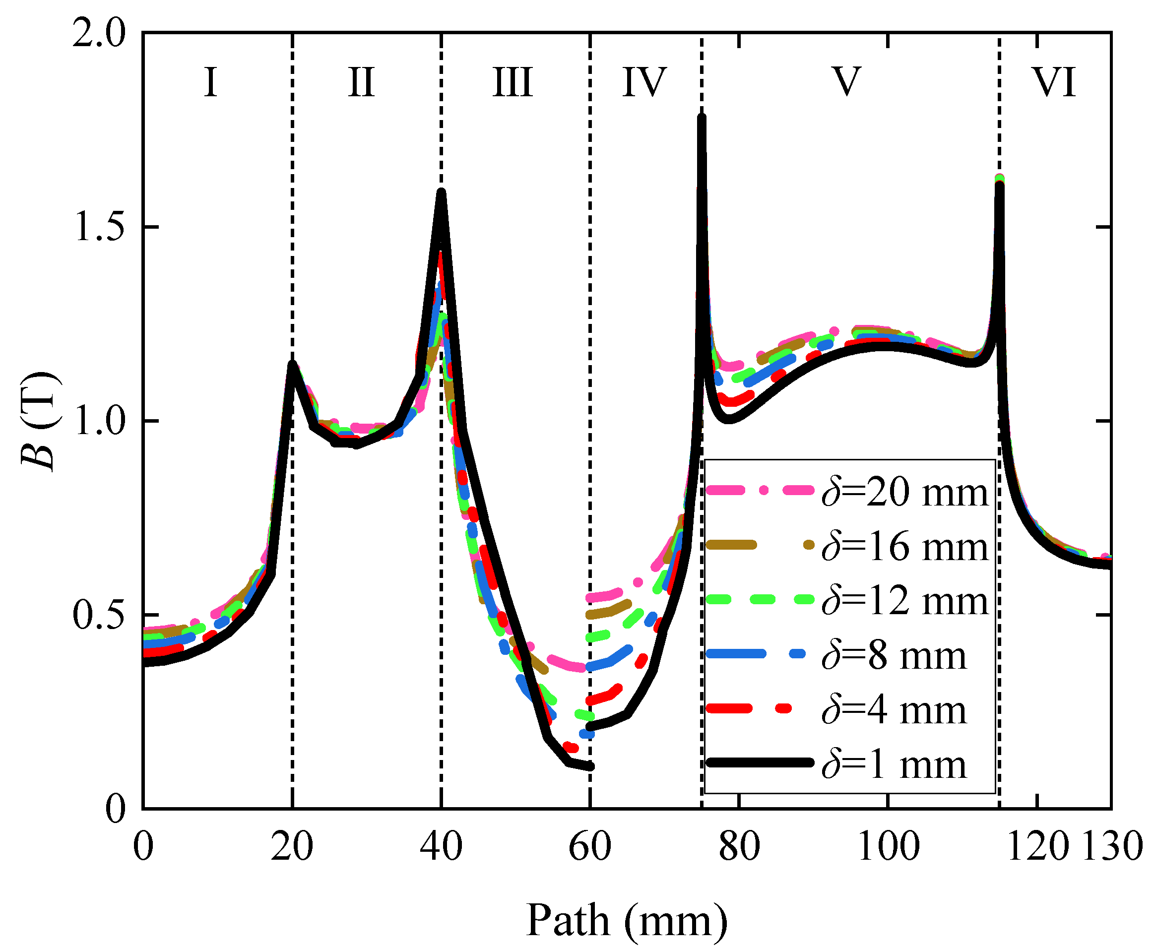
2.3. Electromagnetic Field Simulation Analysis
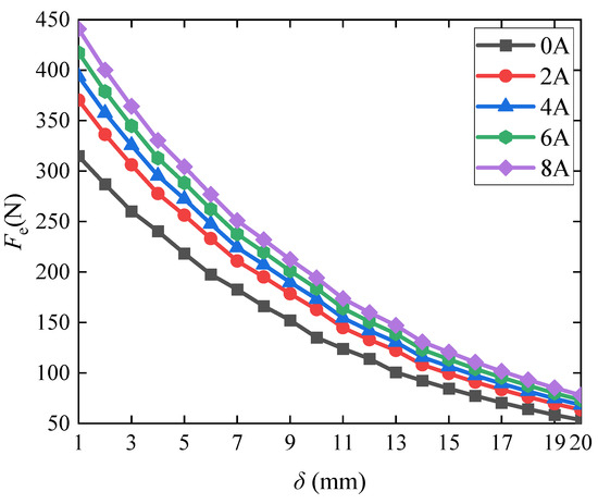
2.4. The Electromagnetic Force Test
3. Analysis of the Moment of Inertia
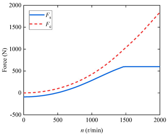
3.1. Analysis of Forces
3.2. Calculation of the Moment of Inertia
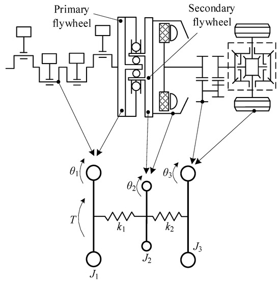
4. Analysis of the Intrinsic Frequency of Variable Inertia DMF
- (1)
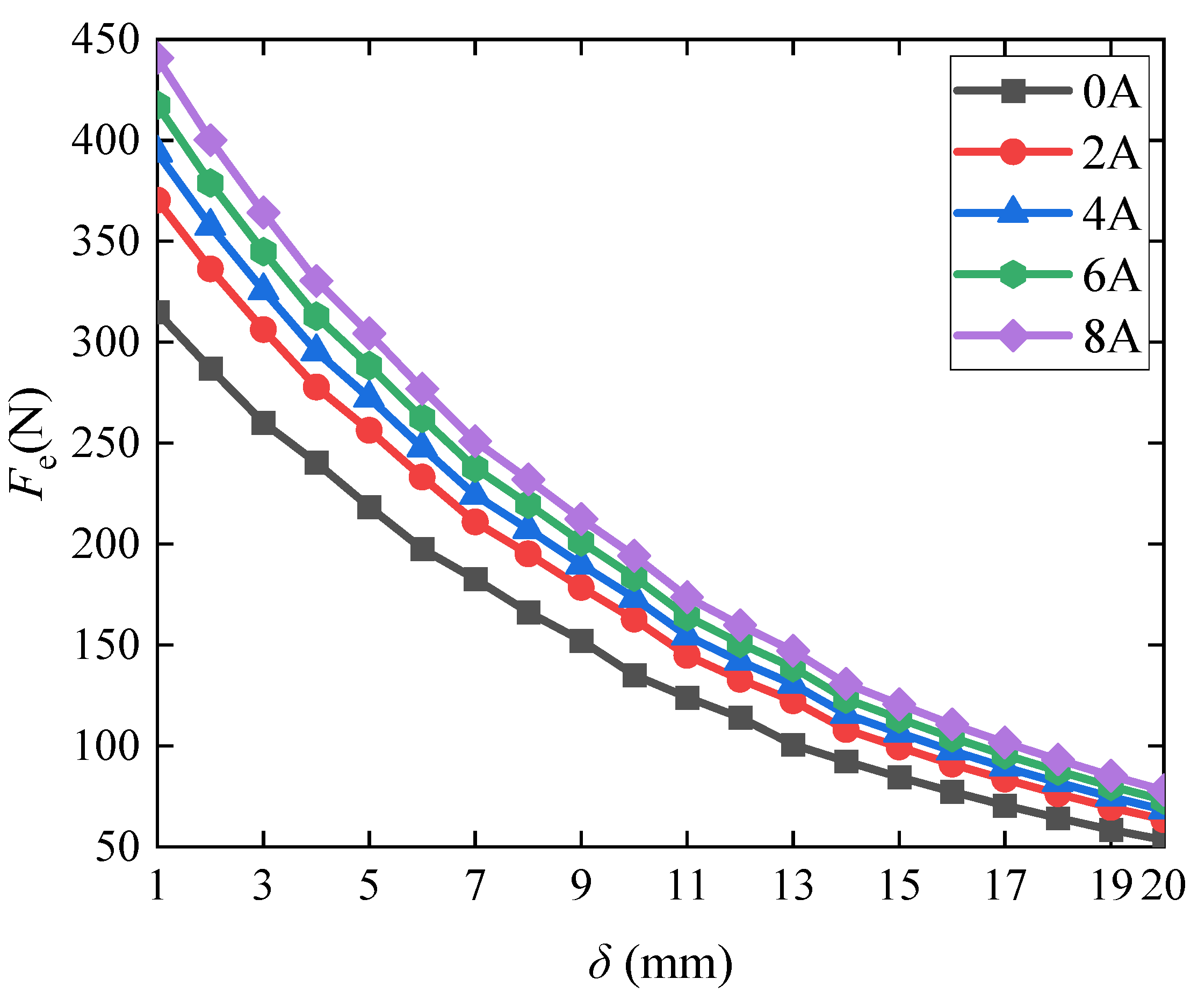
- A variable inertia DMF based on an electromagnetic device is proposed. The electromagnetic device is analyzed by finite element simulation of electromagnetic field, and the relationship between the electromagnetic force with air gap and current is obtained. The results show that the electromagnetic force becomes larger as the current I in the coil increases, while the electromagnetic force decreases gradually with the increase in the air gap δ. The electromagnetic force of the device was tested and the test results were compared with the analysis results, which showed that the maximum error value of the two was 3.57%, verifying the accuracy of the finite element analysis
- (2)
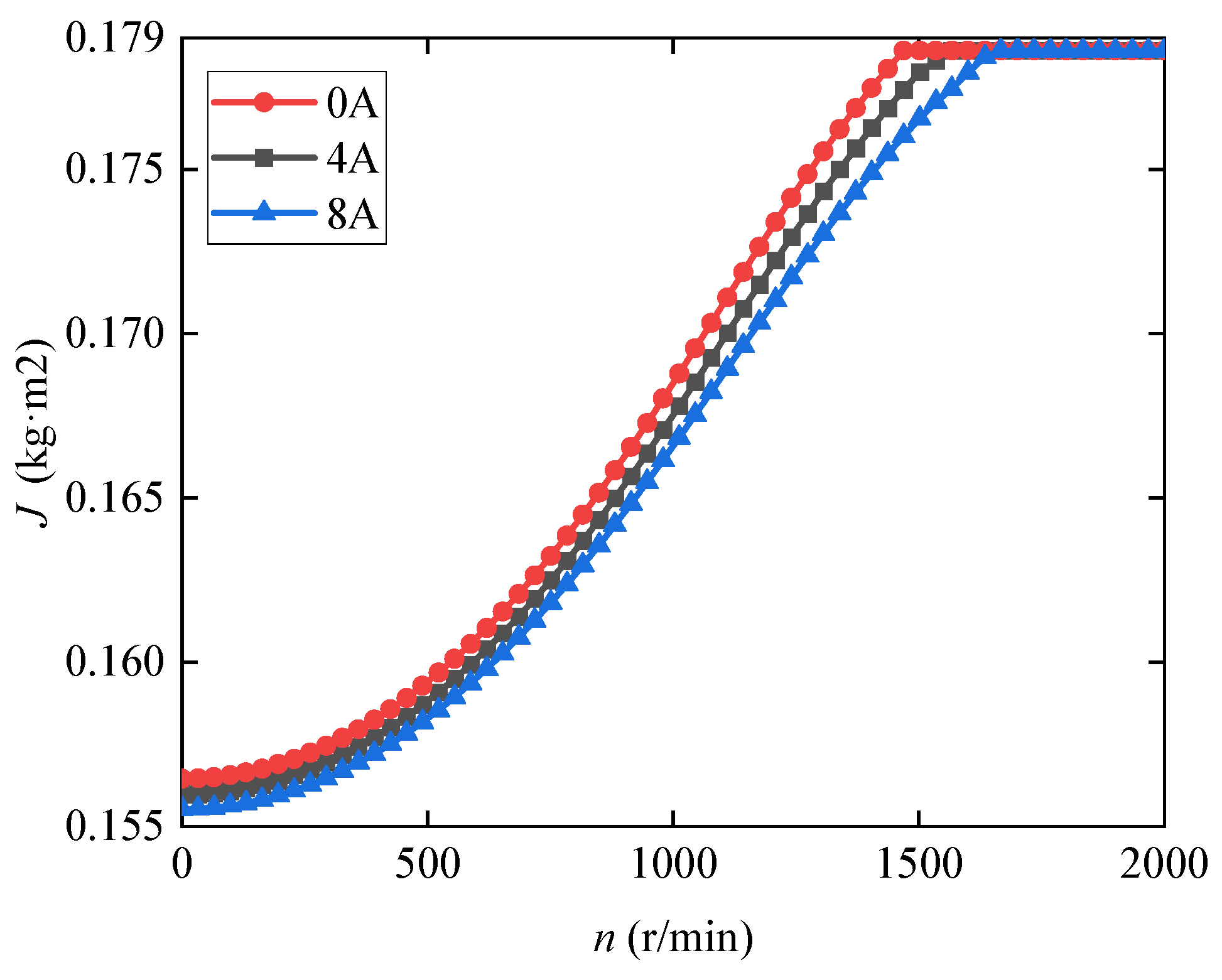
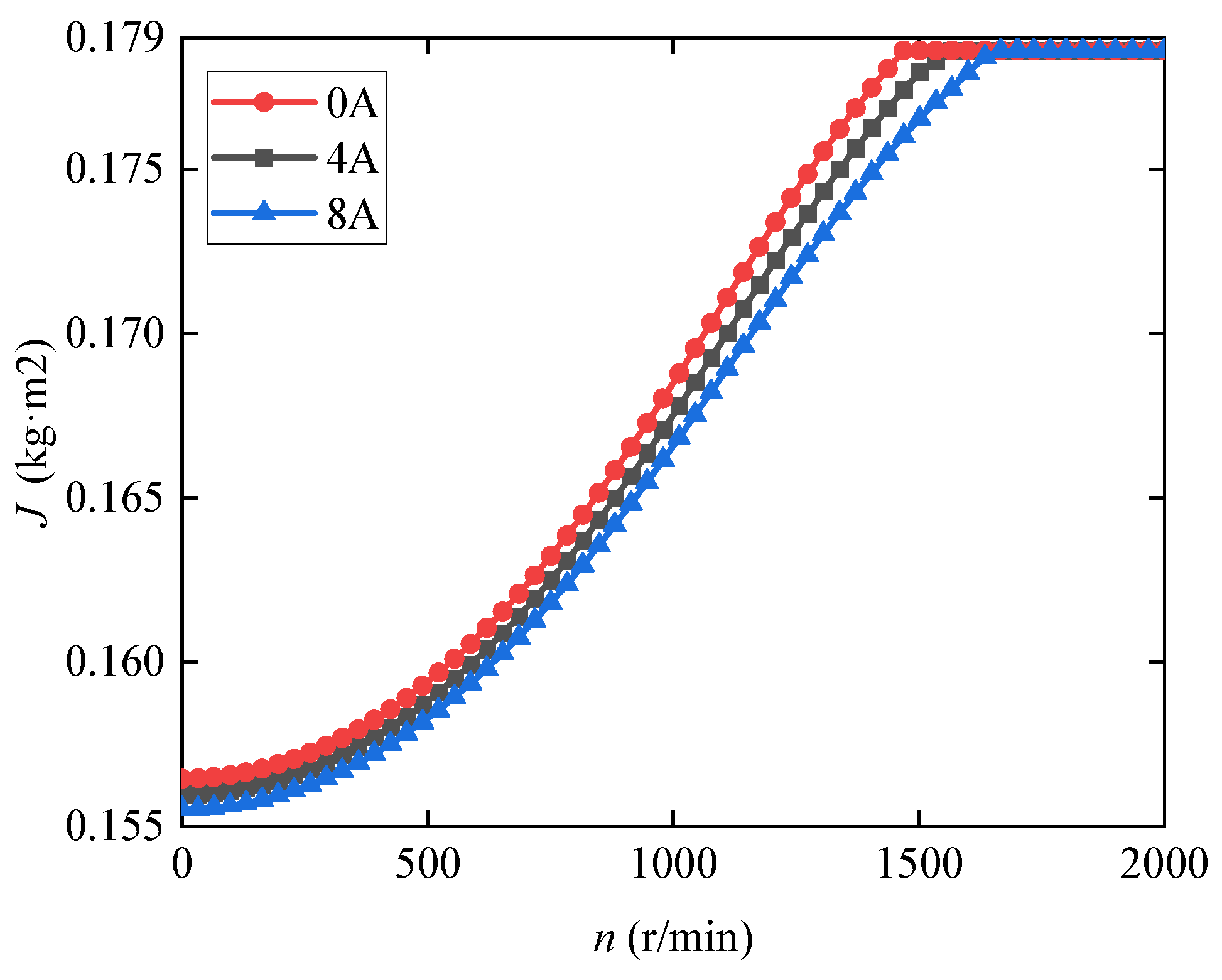
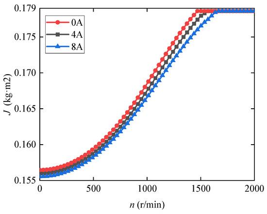
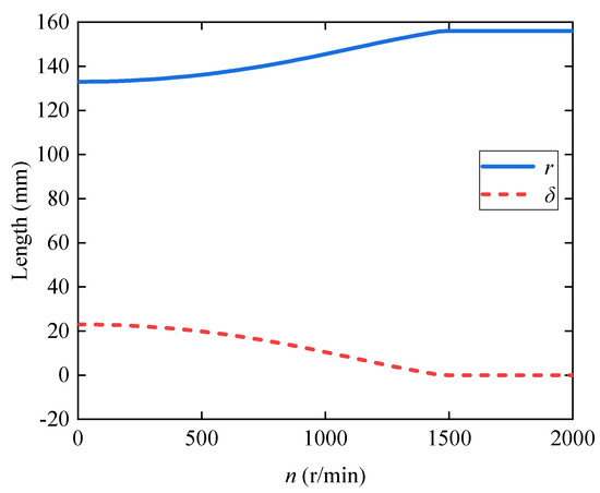
- A mechanical model of the electromagnetic device was developed to analyze the forces on the electromagnetic device during rotation. The results show that the moment of inertia of the variable inertia DMF is directly related to the rotational speed and current, and its moment of inertia can be adjusted by changing the current. The moment of inertia of variable inertia DMF varies over a range of 15.07% of the maximum rotational inertia, and this work provides a theoretical reference for the control and attenuation of rotor system vibration.
- (3)
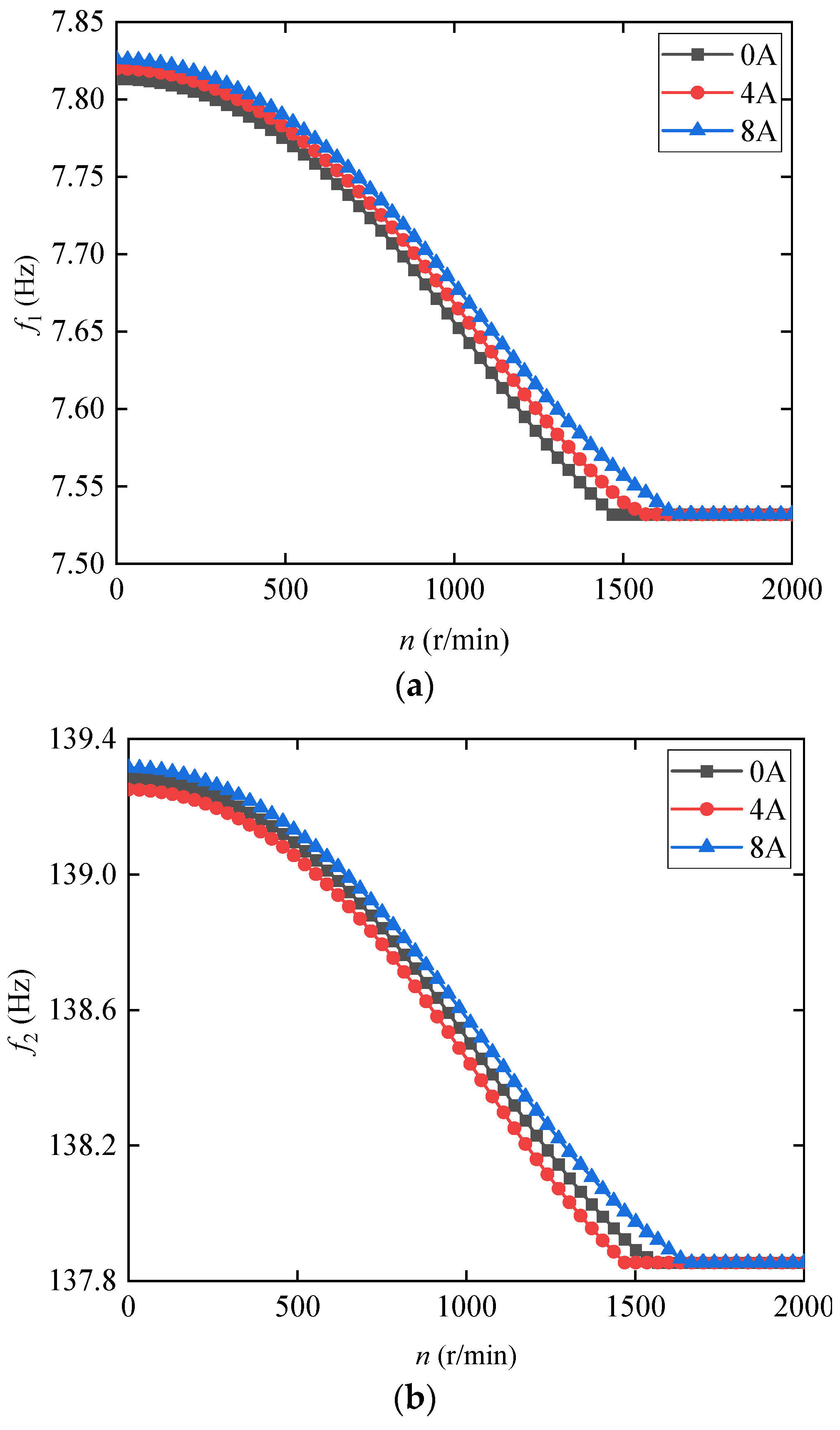
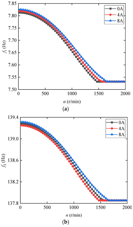
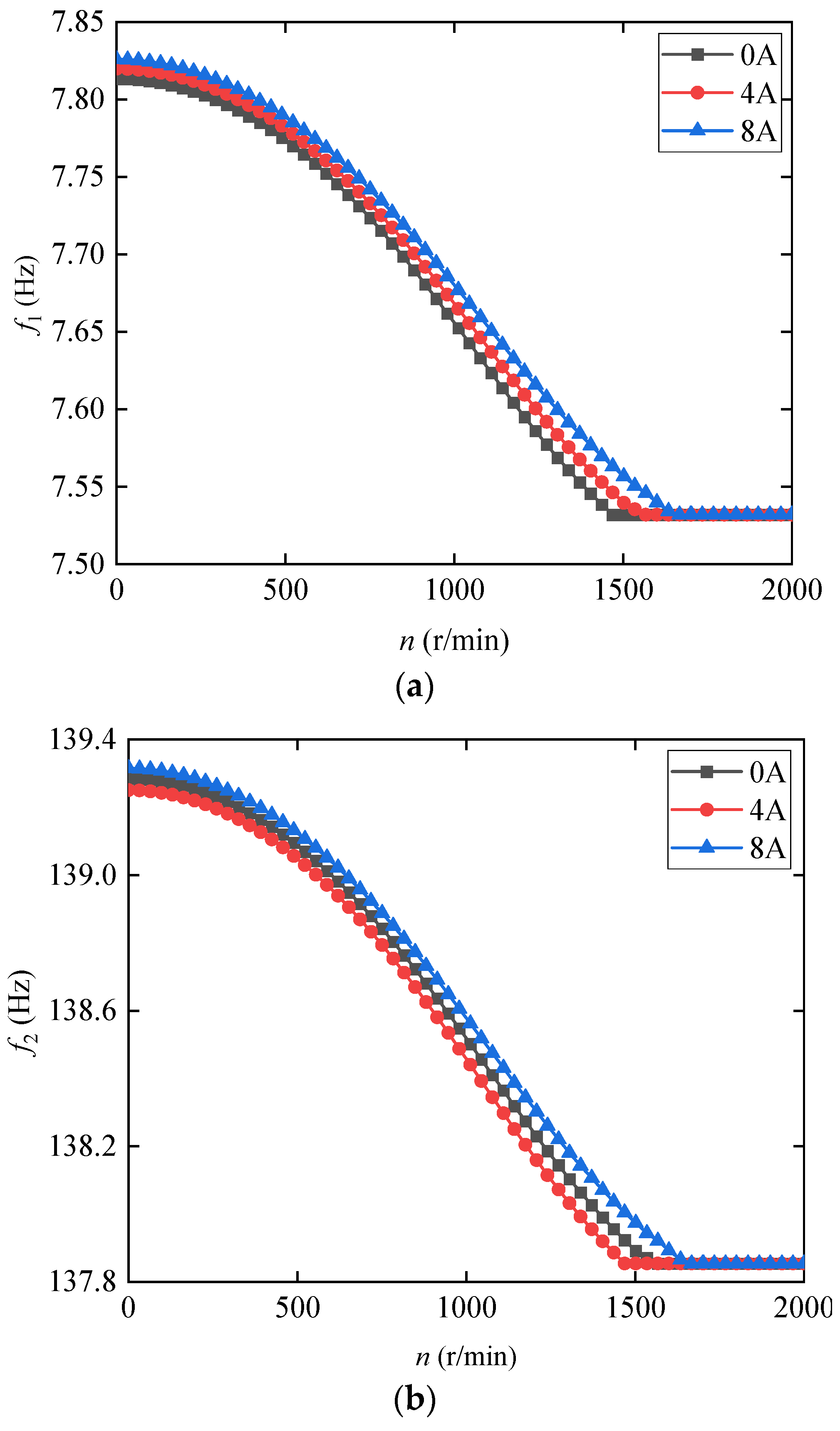
- An analytical model of the intrinsic frequency characteristics of an automotive driveline has been established, and the effects of the variable inertia of the electromagnetic device on the first-order and second-order resonant frequencies of the system have been analyzed at different currents. The results show that the first- and second-order resonant frequencies f1 and f2 of the system decrease as the speed increases. As a result, it allows the engine to run at a lower idling speed, which can reduce energy consumption.
Author Contributions
Funding
Data Availability Statement
Conflicts of Interest
References
- Lee, H.; Shim, J. Multi-objective optimization of a dual mass flywheel with centrifugal pendulum vibration absorbers in a single-shaft parallel hybrid electric vehicle powertrain for torsional vibration reduction. Mech. Syst. Signal Process. 2022, 163, 108152. [Google Scholar] [CrossRef]
- He, L.; Xia, C.; Chen, S.; Guo, J.; Liu, Y. Parametric investigation of dual-mass flywheel based on driveline start-up torsional vibration control. Shock. Vib. 2019, 2019, 3171698. [Google Scholar] [CrossRef]
- Zeng, L.; Song, L.; Zhou, J. Design and elastic contact analysis of a friction bearing with shape constraint for promoting the torque characteristics of a dual mass flywheel. Mech. Mach. Theory 2015, 92, 356–374. [Google Scholar] [CrossRef]
- Tang, X.; Hu, X.; Yang, W.; Yu, H. Novel torsional vibration modeling and assessment of a power-split hybrid electric vehicle equipped with a dual-mass flywheel. IEEE Trans. Veh. Technol. 2017, 67, 1990–2000. [Google Scholar] [CrossRef]
- Szpica, D. Modelling of the operation of a Dual Mass Flywheel (DMF) for different engine-related distortions. Math. Comput. Model. Dyn. Syst. 2018, 24, 643–660. [Google Scholar] [CrossRef]
- Schaper, U.; Sawodny, O.; Mahl, T.; Blessing, U. Modeling and torque estimation of an automotive Dual Mass Flywheel. Am. Control. Conf. St. Louis 2009, 12, 1207–1212. [Google Scholar]
- Gharehbolagh, G.; Bastami, A.; Safarpour, P.; Abbaszadeh, Y. Nonlinear analysis of torsional vibrations of dual mass flywheel in a three-cylinder engine. Proc. Inst. Mech. Eng. Part K J. Multi-Body Dyn. 2023, 1, 3–15. [Google Scholar] [CrossRef]
- Mahl, T.; Sawodny, O. Modelling of an automotive dual mass flywheel. IFAC Proc. Vol. 2010, 43, 517–523. [Google Scholar] [CrossRef]
- Quattromani, G.; Palermo, A.; Pulvirenti, F.; Sabbioni, E.; Cheli, F. Nonlinear 3D Dynamic Model of an Automotive Dual Mass Flywheel. In Proceedings of the 35th IMAC, Garden Grove, CA, USA; 2017; Volume 319, pp. 131–142. [Google Scholar]
- Zu, Q.; Shi, W.-K.; Chen, Z.; Shi, W. Torsional Vibration Semiactive Control of Drivetrain Based on Magnetorheological Fluid Dual Mass Flywheel. Math. Probl. Eng. 2015, 2, 608737. [Google Scholar] [CrossRef]
- Wang, Y.; Qin, X.; Huang, S.; Deng, S. Design and analysis of a multi-stage torsional stiffness dual mass flywheel based on vibration control. Appl. Acoust. 2016, 104, 172–181. [Google Scholar] [CrossRef]
- Chen, Z.; Chen, Z.; Mao, Y.; Shi, W.; Zhang, G. Control research of power train torsional vibration based on magneto-rheological fluid dual mass flywheel. SAE Tech. Pap. 2014, 1, 2867. [Google Scholar]
- Song, L.; Zhao, X.; He, Z.; Luo, S.; Tian, H.; Fan, Z. Analysis model and inherent characteristics of torsional vibration of the dual mass flywheel-circumferential short spring introduced friction. J. Mech. Eng. 2009, 45, 99–105. [Google Scholar] [CrossRef]
- Xu, T.; Liang, M.; Li, C. Design and analysis of a shock absorber with variable moment of inertia for passive vehicle suspensions. J. Sound Vib. 2015, 355, 66–85. [Google Scholar] [CrossRef]
- Yang, Y.; Chen, P.; Liu, Q. A wave energy harvester based on coaxial mechanical motion rectifier and variable inertia flywheel. Appl. Energy 2021, 302, 117528. [Google Scholar] [CrossRef]
- Dong, X.; Xi, J.; Chen, P.; Li, W. Magneto-rheological variable inertia flywheel. Smart Mater. Struct. 2018, 27, 115015. [Google Scholar] [CrossRef]
- Aneke, M.; Wang, M. Energy storage technologies and real-life applications-A state of the art review. Appl. Energy 2016, 179, 350–377. [Google Scholar] [CrossRef]
- Kondoh, J.; Funamoto, T.; Nakanishi, T.; Arai, R. Energy characteristics of a fixed-speed flywheel energy storage system with direct grid-connection. Energy 2018, 165, 701–708. [Google Scholar] [CrossRef]
- Kushwaha, P.; Ghoshal, S.; Dasgupta, K. Dynamic analysis of a hydraulic motor drive with variable inertia flywheel. Proc. Inst. Mech. Eng. Part I J. Syst. Control. Eng. 2019, 234, 734–747. [Google Scholar] [CrossRef]
- Li, Q.; Li, X.; Mi, J. Tunable wave energy converter using variable inertia flywheel. IEEE Trans. Sustain. Energy 2020, 12, 1265–1274. [Google Scholar] [CrossRef]
- Zhang, Y.; Zhang, X.; Qian, T.; Hu, R. Modeling and simulation of a passive variable inertia flywheel for diesel generator. Energy Rep. 2020, 6, 58–68. [Google Scholar] [CrossRef]
- Kawase, Y.; Ito, S. Analysis of attractive force of pull-type single phase AC electromagnetics. IEEE Trans. Magn. 1990, 26, 1046–1049. [Google Scholar] [CrossRef]
- Wu, S.; Cheng, C.; Jiao, Z. Design and Experimental Study of Proportional Valve Linear Bidirectional Electromagnetics. J. Mech. Eng. 2014, 22, 200–206. [Google Scholar] [CrossRef]
- Markevicius, V.; Navikas, D.; Cepenas, M. Magnetic Field Simulation in Embedded System with Magneto-Resistive Sensor. Electron. Electr. Eng. 2011, 105, 105–108. [Google Scholar] [CrossRef]
- Zeng, L.; Wan, Z.; Li, G. Design and Analysis of a Moment of Inertia Adjustment Device. Machines 2024, 12, 204. [Google Scholar] [CrossRef]
- Chen, H.; Li, Y.; Long, Z.; Chang, W. Optimal design and characteristic analysis of hybrid magnet in maglev system. J. Syst. Simul. 2010, 22, 837–840. [Google Scholar]
- Yang, S.; Xu, T.; Li, C.; Liang, M.; Baddour, N. Design, Modeling and Testing of a Two-Terminal Mass Device with a Variable Inertia Flywheel. J. Mech. Des. 2016, 138, 095001. [Google Scholar] [CrossRef]
- Song, L.; Zeng, L.; Zhang, S.; Zhou, J.D.; Niu, H.E. Design and analysis of a dual mass flywheel with continuously variable stiffness based on compensation principle. Mech. Mach. Theory 2014, 79, 124–140. [Google Scholar] [CrossRef]


















| Parameter | Value | Parameter | Value |
|---|---|---|---|
| Permanent magnet 1 diameter d1 (mm) | 30 | Permanent magnet 2 diameter d2 (mm) | 40 |
| Permanent magnet 1 heights h1 (mm) | 40 | Permanent magnet 1 heights h2 (mm) | 20 |
| Sleeve1 outside diameter d3 (mm) | 24 | Sleeve2 outside diameter d4 (mm) | 50 |
| Sleeve1 heights h3 (mm) | 24 | Sleeve2 heights h4 (mm) | 44 |
| Parameter | Value | Parameter | Value |
|---|---|---|---|
| Air permeability µ0 (H/m) | 1.25 × 10–5 | Permanent magnet remanence Br (T) | 1.43 |
| Permeability of stainless steel | 1.09 | Coercivity of Permanent magnets Hc (kA/m) | 10,430 |
Disclaimer/Publisher’s Note: The statements, opinions and data contained in all publications are solely those of the individual author(s) and contributor(s) and not of MDPI and/or the editor(s). MDPI and/or the editor(s) disclaim responsibility for any injury to people or property resulting from any ideas, methods, instructions or products referred to in the content. |
© 2024 by the authors. Licensee MDPI, Basel, Switzerland. This article is an open access article distributed under the terms and conditions of the Creative Commons Attribution (CC BY) license (https://creativecommons.org/licenses/by/4.0/).
Share and Cite
Niu, H.; Zeng, L.; Wei, C.; Wan, Z. Electromagnetic Field and Variable Inertia Analysis of a Dual Mass Flywheel Based on Electromagnetic Control. Symmetry 2024, 16, 1234. https://doi.org/10.3390/sym16091234
Niu H, Zeng L, Wei C, Wan Z. Electromagnetic Field and Variable Inertia Analysis of a Dual Mass Flywheel Based on Electromagnetic Control. Symmetry. 2024; 16(9):1234. https://doi.org/10.3390/sym16091234
Chicago/Turabian StyleNiu, Hongen, Liping Zeng, Cuicui Wei, and Zihao Wan. 2024. "Electromagnetic Field and Variable Inertia Analysis of a Dual Mass Flywheel Based on Electromagnetic Control" Symmetry 16, no. 9: 1234. https://doi.org/10.3390/sym16091234
APA StyleNiu, H., Zeng, L., Wei, C., & Wan, Z. (2024). Electromagnetic Field and Variable Inertia Analysis of a Dual Mass Flywheel Based on Electromagnetic Control. Symmetry, 16(9), 1234. https://doi.org/10.3390/sym16091234

