Inverse Boundary Conditions Interface Problems for the Heat Equation with Cylindrical Symmetry
Abstract
1. Introduction
2. Direct and Inverse Problems
2.1. Direct (Forward) Problem
2.2. Inverse Problems
3. Well-Posedness of the Direct Problem
4. Numerical Solution of the Direct Problem
5. Numerical Solution of the Inverse Problems
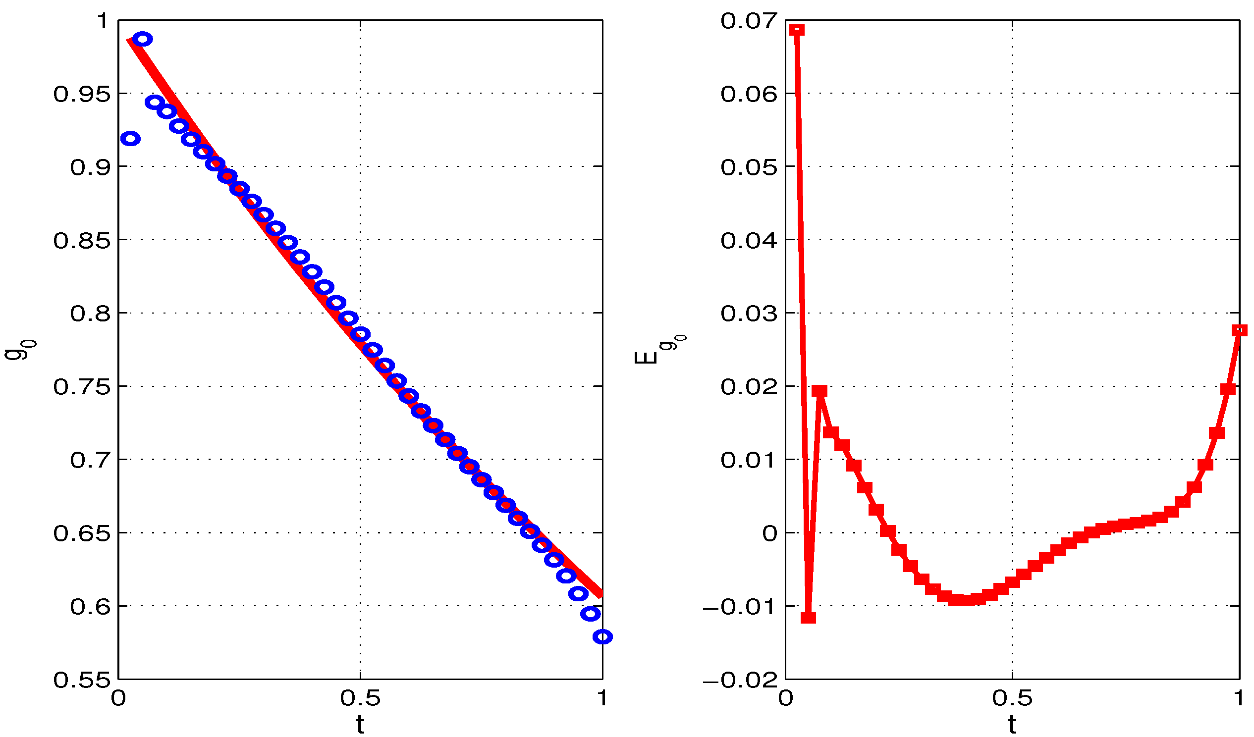
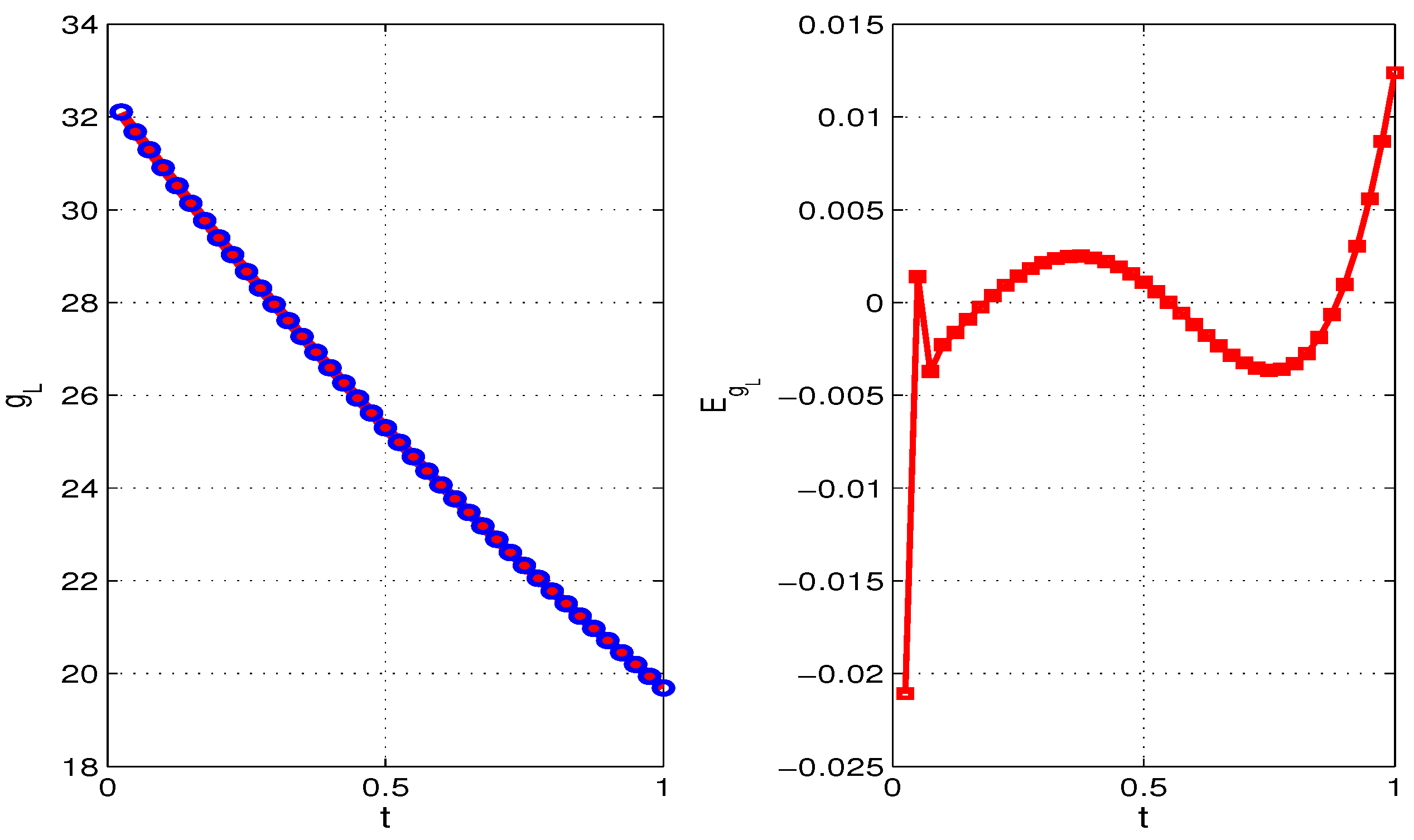
6. Computational Examples
7. Conclusions
Author Contributions
Funding
Data Availability Statement
Acknowledgments
Conflicts of Interest
References
- Abdollahi, A.N.; Rostamy, D. Identifying an unknown time-dependent boundary source in time-fractional diffusion equation with a non-local boundary condition. J. Comput. Appl. Math. 2019, 355, 3–50. [Google Scholar]
- Alifanov, O.M. Inverse Heat Transfer Problems, 1st ed.; Springer: Berlin/Heidelberg, Germany, 1994; 348p. [Google Scholar]
- Ammari, H.; Garnier, J.; Kang, H.; Nguen, L.; Seppecher, L. Multi-Wave Medical Imaging: Mathematical Modelling and Imaging Reconstruction; World Scientific: London, UK, 2017. [Google Scholar]
- Badia, A.; Ha-Duong, T. On an inverse source problem for the heat equation. Application to a pollution detection problem. J. Inverse-Ill-Posed Probl. 2002, 10, 585–599. [Google Scholar]
- Bogachev, I.V.; Nedin, R.D.; Vatulin, A.O.; Vavrugan, O.V. Identification of inhomogeneous elastic properties of isotropic cylinder. ZAMM Z. Angew. Math. Mech. 2017, 97, 358–364. [Google Scholar]
- Cannon, J.R. Determination of an a unknown heat source from overspecified boundary data. SIAM J. Numer. Anal. 1968, 5, 275–286. [Google Scholar]
- Cheng, W.; Liu, Y.-L.; Yang, F. A modified regularization method for a spherically symmetric inverse heat conduction problem. Symmetry 2022, 14, 2102. [Google Scholar] [CrossRef]
- Demir, A.; Ozbilge, E. Identification of the unknown boundary condition in a linear parabolic equation. J. Inequal. Appl. 2013, 96, 1–7. [Google Scholar]
- Duckstein, S.L.; Yakowitz, S. Instability in aquifer identification: Theory and case studies. Water Resour. Res. 1980, 16, 1045–1064. [Google Scholar]
- Dzhonova-Atanasova, D.; Semkov, K.; Petrova, T.; Darakchiev, S.; Stefanova, K.; Nakov, S.; Popov, R. Liquid distribution in a semi-industrial packed column-experimental theory. Food Sci. Aplied Biotechnol. 2018, 1, 19–25. [Google Scholar]
- Liu, K.; Zhao, Y. Inverse moving source problems for parabolic equations. Appl. Math. Lett. 2024, 155, 109114. [Google Scholar]
- Marchuk, G.I. Mathematical modelling in environmental problems. Stud. Math. Its Appl. 1986, 16, 1986. [Google Scholar]
- Okubo, A. Diffusion and Ecological Problems: Mathematical Models; Springer: Berlin/Heidelberg, Germany; New York, NY, USA, 1980. [Google Scholar]
- Oulmelk, A.; Afraites, L.; Hadri, A.; Zaky, M.A.; Hendy, A.S. Alternating direction multiplier method to estimate an unknown source term in the time-fractional diffusion equation. Comput. Math. Appl. 2024, 156, 195–206. [Google Scholar]
- Rundell, W.; Yin, H.-M. A parabolic inverse problem with an unknown boundary condition. J. Differ. Equ. 1990, 86, 234–242. [Google Scholar]
- Hasanov, A.H.; Romanov, V.G. Introduction to Inverse Problems for Differential Equations, 1st ed.; Springer: Cham, Swizerland, 2017; 261p. [Google Scholar]
- Isakov, V. Inverse Problems for Partial Differential Equations, 3rd ed.; Springer: Cham, Swizerland, 2017; p. 406. [Google Scholar]
- Kabanikhin, S.I. Inverse and Ill-Posed Problems; DeGruyer: Berlin, Germany, 2011. [Google Scholar]
- Lesnic, D. Inverse Problems with Applications in Science and Engineering; CRC Press: Abingdon, UK, 2021; p. 349. [Google Scholar]
- Samarskii, A.A.; Vabishchevich, P.N. Numerical Methods for Solving Inverse Problems in Mathematical Physics; de Gruyter: Berlin, Germany, 2007; 438p. [Google Scholar]
- Razzaghi, H.; Kowsary, F.; Layeghi, M. Inverse boundary problem in estimating heat transfer coefficient of a round pulsating bubbly jet: Design of experiment. Appl. Math. Sci. Eng. 2022, 30, 210–234. [Google Scholar]
- Reddy, K.D.; Reddy, B.K. Estimation of inlet conditions of fluid flow in a thick pipe using inverse technique. Fluid Mech. Fluid Power 2024, 6, 11–19. [Google Scholar]
- Wei, T.; Li, Y.S. An inverse boundary problem for one-dimensional heat equation with a multilayer domain. Eng. Anal. Bound. Elem. 2009, 33, 225–232. [Google Scholar]
- Rundell, W.; Xub, X.; Zuo, L. The determination of an unknown boundary condition in a fractional diffusion equation. Appl. Anal. 2013, 92, 1511–1526. [Google Scholar]
- Ozbilge, E. Determination of the unknown boundary condition of the inverse parabolic problems via semigroup method. Bound Value Probl. 2013, 2013, 2. [Google Scholar]
- Vasil’ev, V.I.; Su, L. Numerical method for solving boundary inverse problem for one-dimensional parabolic equation. Math. Model. 2017, 24, 108–117. [Google Scholar]
- Koleva, M.N.; Vulkov, L.G. Numerical identification of external boundary conditions for time fractional parabolic equations on disjoint domains. Fractal Fract. 2023, 7, 326. [Google Scholar] [CrossRef]
- Koleva, M.N.; Vulkov, L.G. Numerical reconstruction of time-dependent boundary conditions to 2D heat equation on disjoint rectangles at integral observations. Mathematics 2024, 12, 1499. [Google Scholar] [CrossRef]
- Koleva, M.N.; Vulkov, L.G. Reconstruction of boundary conditions of a parabolic-hyperbolic transmission problem, In New Trends in the Applications of Differential Equations in Sciences; Slavova, A., Ed.; Springer Proceedings in Mathematics & Statistics; Springer: Cham, Swizerland, 2024; Volume 449, pp. 433–443. [Google Scholar]
- Abidin, M.Z.; Marwan, M.; Ullah, N.; Mohamed Zidan, A. Well-posedness in variable-exponent function spaces for the three-dimensional micropolar fluid equations. J. Math. 2023, 1, 4083997. [Google Scholar]
- Wu, J.; He, X.; Li, X. Finite-time stabilization of time-varying nonlinear systems based on a novel differential inequality approach. Appl. Math. Comput. 2022, 240, 126895. [Google Scholar]
- Wang, P.; Wang, Y.; Jiang, C.; Li, T. Convergence of solutions for functional integro-differential equations with nonlinear boundary conditions. Adv. Differ. Equ. 2019, 521, 521. [Google Scholar]
- Johnston, S.T.; Simpson, M.J. Exact solutions for diffusive transport on heterogeneous growing domains. arXiv 2023, arXiv:2304.09451. [Google Scholar]
- Chernogorova, T.; Ewing, R.E.; Iliev, O.; Lazarov, R. On the discretization of interface problems with perfect and imperfect contact. In Conference Numerical Treatment of Multiphase Flows in Porous Media, Proceedings of the International Workshop, Beijing, China, 21–25 August 2000; Springer: Berlin/Heidelberg, Germany, 2000; Volume 2–6, pp. 93–103. [Google Scholar]
- Ewing, R.; Iliev, O.; Lazarov, R.; Rybak, I.; Willems, J. A simplified method for upscaling composite materials with high contrast of the conductivity. SIAM J. Sci. Comput. 2009, 31, 2568–2586. [Google Scholar]
- Lazarov, R.D.; Makarov, V.L. Difference scheme of second-order of accuracy for the axisymmetric Poisson equation in generalized solutions. J. USSR Comput. Math. Math. Phys. 1981, 21, 95–107. [Google Scholar]
- Zimmerman, R.A.; Jankowski, T.A.; Tartakovsky, D.M. Analytical models of axisymmetric reaction–diffusion phenomena in composite media. Int. J. Heat Mass Transf. 2016, 99, 425–431. [Google Scholar]
- Zhang, Z.; Zhang, Y.-X. A fast iterative method for identifying the radiogenic source for the helium production-diffusion equation. Appl. Math. Sci. Eng. 2022, 30, 521–540. [Google Scholar]
- El-Gebeily, M.; Knuliev, Y.A. Identification of well-thinning and cracks in pipes utilizing vibration models and wavelets. Inverse Probl. Eng. Appl. Math. Model. 2016, 40, 5335–5348. [Google Scholar]
- Yang, L.; Yu, J.-N.; Luo, G.-W.; Deng, Z.-C. Numerical identification of source terms for a two dimensional heat conduction problem in polar coordinate system. Appl. Math. Model. 2013, 37, 939–957. [Google Scholar]
- Chegis, R.Y. A scheme of increased order of accuracy in the case of cylindrical and spherical symmetry. Comput. Math. Math. Phys. 1994, 34, 323–331. (In Russian) [Google Scholar]
- Samarskii, A. The Theory of Difference Schems; Marcel Dekker: New York, NY, USA, 2001. [Google Scholar]
- Samarskii, A.A. Tikhovov. A.N. Equations of Mathematical Physics; Courier Corporation: Chelmsford, MA, USA, 2013; 800p. [Google Scholar]
- Ladyženskaja, O.A.; Solonnikov, V.A.; Ural’cev, N.N. Linear and Quasilinear Equations of Parabolic Type. Transl. Math. Monogr. 1968, 23, 648. [Google Scholar]
- Andreev, V.K. On inequalities of the Friedrichs type for combined domains. J. Sib. Fed. Univ. Math. Phys. 2009, 2, 146–157. [Google Scholar]
- Varga, R.S. Matrix Iterative Analysis, 2nd ed.; Springer: Berlin/Heidelberg, Germany, 2000; p. 358. [Google Scholar]








| J | ||||||||
|---|---|---|---|---|---|---|---|---|
| 30 | 5.1356 × 10−2 | 5.1356 × 10−2 | 4.3835 × 10−2 | 4.8458 × 10−2 | ||||
| 60 | 1.2944 × 10−2 | 1.9882 | 1.2944 × 10−2 | 1.9882 | 1.1176 × 10−2 | 1.9717 | 1.2016 × 10−2 | 2.0118 |
| 120 | 3.2557 × 10−3 | 1.9913 | 3.2556 × 10−3 | 1.9913 | 2.8523 × 10−3 | 1.9702 | 2.9957 × 10−3 | 2.0040 |
| 240 | 8.1772 × 10−4 | 1.9933 | 8.1772 × 10−4 | 1.9933 | 7.2696 × 10−4 | 1.9722 | 7.4882 × 10−4 | 2.0002 |
| 480 | 2.0520 × 10−4 | 1.9946 | 2.0520 × 10−4 | 1.9946 | 1.8488 × 10−4 | 1.9753 | 1.8739 × 10−4 | 1.9986 |
| 960 | 5.1458 × 10−5 | 1.9956 | 5.1457 × 10−5 | 1.9956 | 4.6914 × 10−5 | 1.9785 | 4.6913 × 10−5 | 1.9980 |
| J | ||||||||
|---|---|---|---|---|---|---|---|---|
| 30 | 6.2045 × 10−2 | 5.4563 × 10−2 | 6.0694 × 10−2 | 5.0790 × 10−2 | ||||
| 60 | 1.5682 × 10−2 | 1.9842 | 1.3650 × 10−2 | 1.9990 | 1.4837 × 10−2 | 2.0324 | 1.2518 × 10−2 | 2.0205 |
| 120 | 3.9612 × 10−3 | 1.9851 | 3.4131 × 10−3 | 1.9998 | 3.6648 × 10−3 | 2.0174 | 3.1063 × 10−3 | 2.0107 |
| 240 | 1.0004 × 10−3 | 1.9853 | 8.5331 × 10−4 | 1.9999 | 9.1049 × 10−4 | 2.0090 | 7.7366 × 10−4 | 2.0054 |
| 480 | 2.5264 × 10−4 | 1.9855 | 2.1333 × 10−4 | 2.0000 | 2.2689 × 10−4 | 2.0046 | 1.9305 × 10−4 | 2.0027 |
| 960 | 6.3794 × 10−5 | 1.9856 | 5.3333 × 10−5 | 2.0000 | 5.6630 × 10−5 | 2.0024 | 4.8216 × 10−5 | 2.0014 |
| 0.01 | 2.2141 × 10−3 | 1.0083 × 10−2 | 1.1401 × 10−3 | 7.7277 × 10−3 | 1.8319 × 10−1 | 4.3869 × 10−2 |
| 0.03 | 6.1225 × 10−3 | 2.6653 × 10−2 | 3.2143 × 10−3 | 2.0666 × 10−2 | 6.6437 × 10−1 | 1.6369 × 10−1 |
| 0.05 | 1.0031 × 10−2 | 4.3224 × 10−2 | 5.2888 × 10−3 | 3.3605 × 10−2 | 1.1456 | 2.8357 × 10−1 |
| 0.1 | 1.9802 × 10−2 | 8.4650 × 10−2 | 1.0475 × 10−2 | 6.5954 × 10−2 | 2.3486 | 5.8330 × 10−1 |
| 0.03 | 0.001 | 1.051 × 10−1 | 4.042 × 10−3 | 2.287 × 10−2 | 2.770 × 10−3 | 1.768 × 10−1 | 3.826 × 10−2 | 7.408 × 10−3 | 1.645 × 10−3 |
| 0.01 | 0.003 | 2.763 × 10−2 | 1.239 × 10−2 | 6.186 × 10−3 | 8.439 × 10−3 | 6.863 × 10−2 | 1.404 × 10−2 | 2.107 × 10−2 | 4.680 × 10−3 |
| 0.05 | 0.005 | 1.630 × 10−1 | 2.081 × 10−1 | 3.568 × 10−2 | 1.417 × 10−2 | 2.980 × 10−1 | 6.130 × 10−2 | 3.490 × 10−2 | 7.833 × 10−3 |
Disclaimer/Publisher’s Note: The statements, opinions and data contained in all publications are solely those of the individual author(s) and contributor(s) and not of MDPI and/or the editor(s). MDPI and/or the editor(s) disclaim responsibility for any injury to people or property resulting from any ideas, methods, instructions or products referred to in the content. |
© 2024 by the authors. Licensee MDPI, Basel, Switzerland. This article is an open access article distributed under the terms and conditions of the Creative Commons Attribution (CC BY) license (https://creativecommons.org/licenses/by/4.0/).
Share and Cite
Koleva, M.N.; Vulkov, L.G. Inverse Boundary Conditions Interface Problems for the Heat Equation with Cylindrical Symmetry. Symmetry 2024, 16, 1065. https://doi.org/10.3390/sym16081065
Koleva MN, Vulkov LG. Inverse Boundary Conditions Interface Problems for the Heat Equation with Cylindrical Symmetry. Symmetry. 2024; 16(8):1065. https://doi.org/10.3390/sym16081065
Chicago/Turabian StyleKoleva, Miglena N., and Lubin G. Vulkov. 2024. "Inverse Boundary Conditions Interface Problems for the Heat Equation with Cylindrical Symmetry" Symmetry 16, no. 8: 1065. https://doi.org/10.3390/sym16081065
APA StyleKoleva, M. N., & Vulkov, L. G. (2024). Inverse Boundary Conditions Interface Problems for the Heat Equation with Cylindrical Symmetry. Symmetry, 16(8), 1065. https://doi.org/10.3390/sym16081065

