OPT-FRAC-CHN: Optimal Fractional Continuous Hopfield Network
Abstract
1. Introduction
- Introduction of the fractional version of the continuous Hopfield network (CHN);
- Memory augmentation of the CHN by using quadratic fractional numerical schema with a domain local truncating error;
- Introduction of an optimal time step algorithm to solve the fractional CHN model differential equation;
- Solving the optimal regime problem using the FRAC-CHN neural network, the quadratic fractional schema, and the optimal time step algorithm to solve the optimal diet problem.
2. Methodology
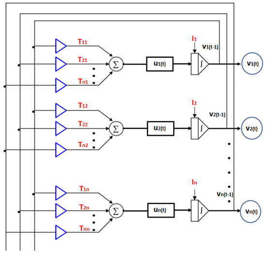
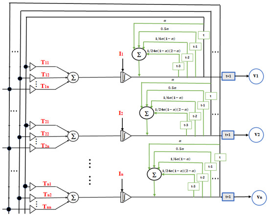
- Optimal fractional continuous Hopfield network: First, we give the fractional state differential equation that generalizes the ordinary model given by Equation (1) introduced in [17,18,19,20,21]. Second, we use the quadratic scheme to approximate the fractional derivative of the proposed model given by Equation (17). Third, to ensure a maximal decrease of the fractional energy function, we calculate the optimal step using an explicit equation; see Equation (13). Then, we give the approximation error majoration in the case of the fractional CHN; see Equations (11) and (17). Fourth, we build a suitable energy function, see Equation (14), to solve the optimal diet problem using the optimal fractional recurrent neural network [5,15]. In this regard, the objective function and the constraints of the mathematical model (see Equation (14)), introduced in [35,36,37,38,39,40], are combined using penalty parameters to control the feasibility and optimality of the resulted regime. Fifth, we give the algorithms of the algorithms associated with the CHN (Algorithm 1), OPT-CHN (Algorithm 2), FRAC-CHN (Algorithm 3), and OPT-FRAC-CHN (Algorithm 4).
- Experimentation and implementation details: In this stage, the properties of the decreasing energy function and convergence have been verified by a first series of computational experiments based on 100 random CHNs of different sizes [30]. In addition, we use the OPT-FRAC-CHN to solve the optimal feeding problem [35,36,37]:
- -
- Constraints and objective function parameters are extracted from a set of 177 Moroccan foods described based on 20 nutrients;
- -
| Algorithm 1 CHN algorithm |
| Fractional order: ; |
| Time step: ; |
| Initial outputs: , , , and ; |
| Generate the initial population |
| while do do |
| end whileend while |
| return Equilibrium point |
| Algorithm 2 OPT-CHN algorithm |
| Fractional order: ; |
| Initial time step: ; |
| Initial outputs: , , , and ; |
| Generate the initial population |
| while do do |
| ; |
| ; |
| ; |
| n |
| end whileend while |
| return Equilibrium point |
| Algorithm 3 FRAC-CHN algorithm |
| Fractional order: ; |
| Time step: ; |
| Initial outputs: , , , and ; |
| Generate the initial population |
| while do do |
| ; |
| ; |
| end whileend while |
| return Equilibrium point |
| Algorithm 4 OPT-FRAC-CHN algorithm |
| Fractional order: ; |
| Initial time step: ; |
| Initial outputs: , , , and ; |
| Generate the initial population |
| while do do |
| ; |
| ; |
| ; |
| end whileend while |
| return Equilibrium point |
3. Fractional Calculus Basics
3.1. Fractional Derivative
3.2. Quadratic Scheme for Fractional Derivative Approximation
4. Optimal Fractional Continuous Hopfield Network
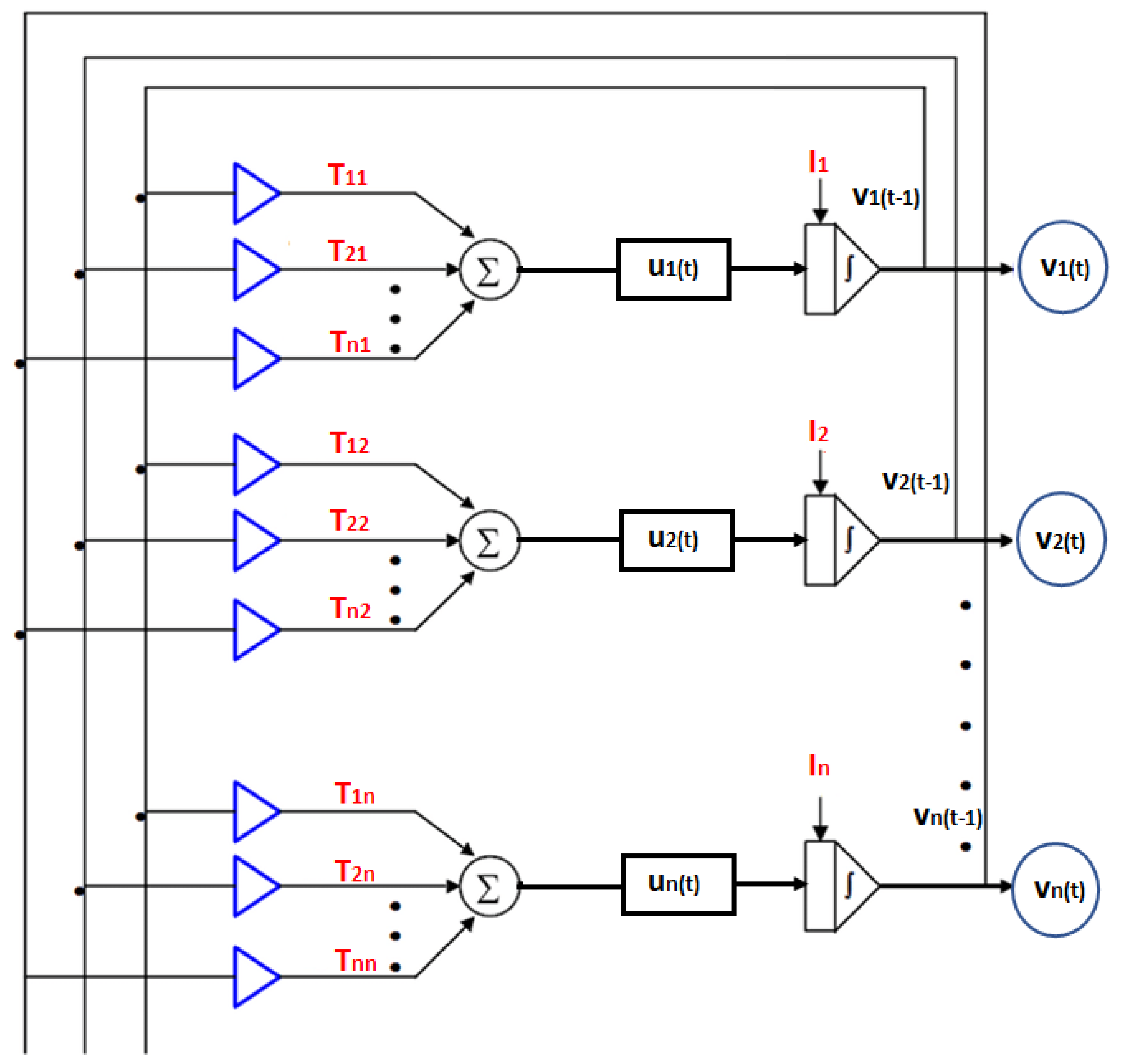
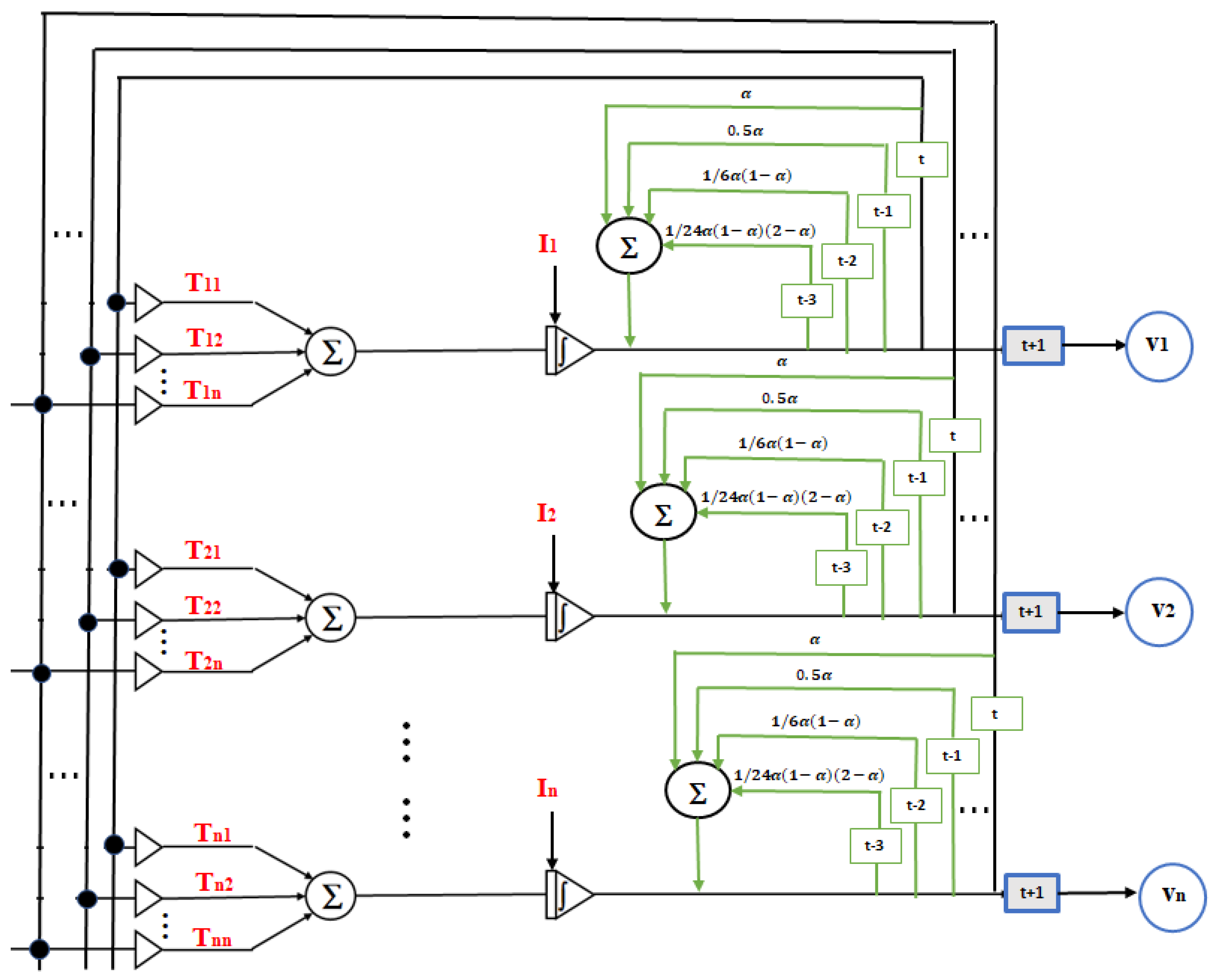
4.1. Fractional Continuous Hopfield Network
- By adding and subtracting the term, we obtain
- .
- Using the triangle inequality and knowing that (thus , we obtain the following inequality:
- .
- As , , we have , and , .
- We set and ; as we know that , we get the following inequality:
- We have .
- Then, we get the following result:
- , . □
- We suppose that is a polynomial of q degree considering the vector v:Thus, is a polynomial of degree . □
- As is a polynomial on v and , then , where is a constant depending only on , and (the slope of the neuron activation function). Let us define .
- Then, we have the desired result. □
4.2. Fractional Continuous Hopfield Network with Optimal Time Step
- Thus,
4.3. Application: OPT-FRAC-CHN to Optimal Diet Problem
- d is the number of foods;
- is the vector of the foods serving sizes;
- g is the vector formed by the foods’ glycemic load;
- A is the matrix of the favorable nutrients, b is the vector of the favorable nutrient requirements, E is the vector of unfavorable nutrients, and f is the maximum number of positive nutrients that the diet must contain,
- and are penalty parameters that achieve the balance between the objective function components. In practice, if the CHN will focus on the objective function to the detriment of the constraints; otherwise, the constraints will attract more of the CHN’s attention [13,16,35,37,38]. u is the vector of ones from .
4.4. Proposed Algorithm
5. Experimentation and Implementation Details
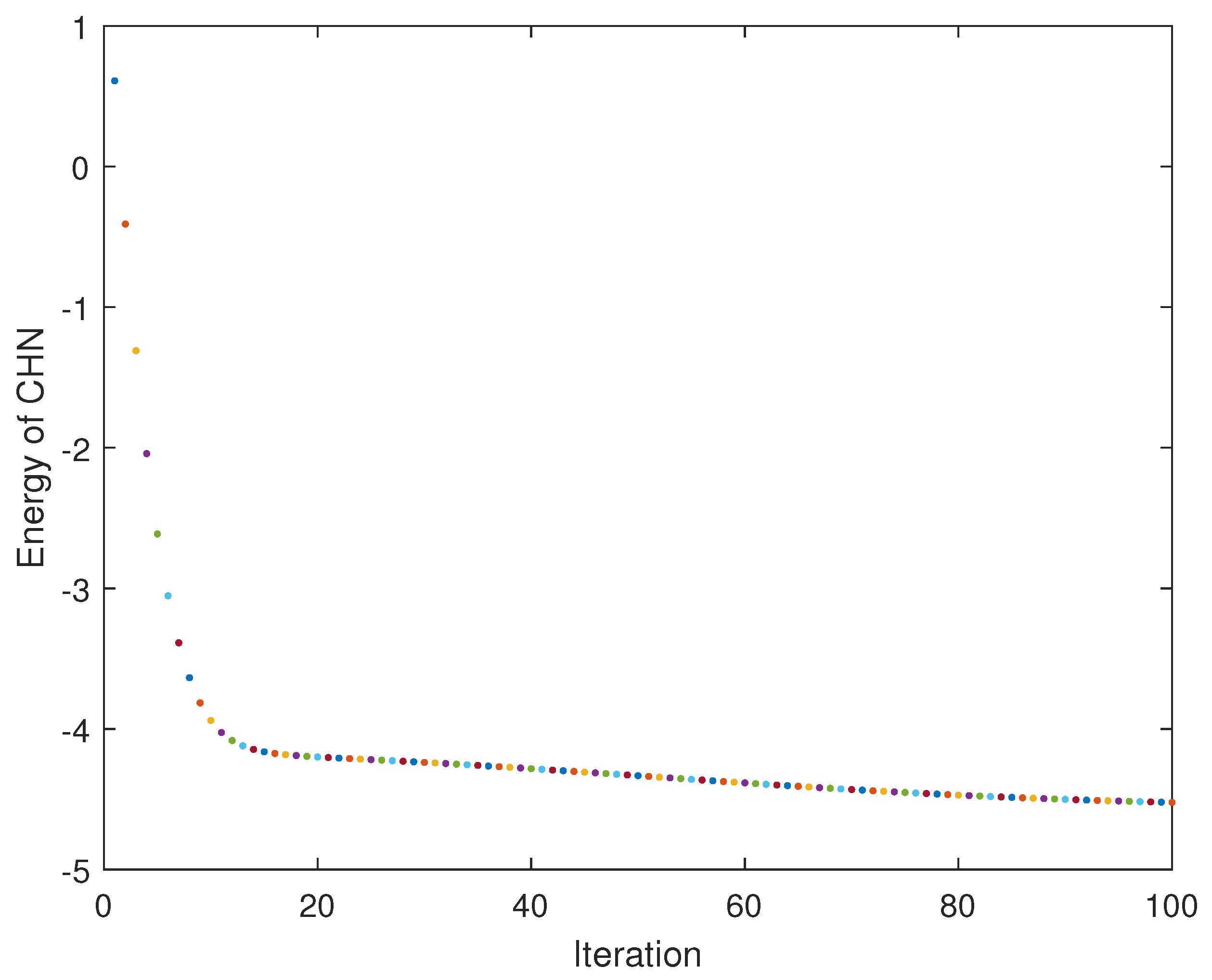
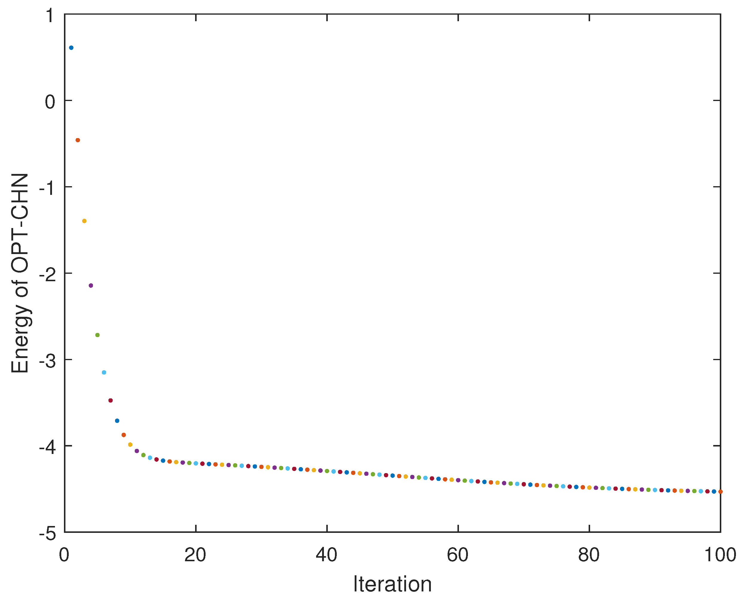
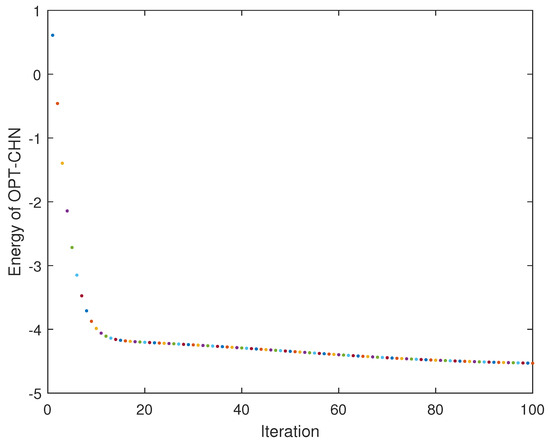
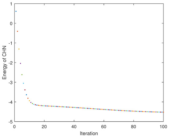
5.1. Testing and Comparison on Random Instances
5.2. Optimal Diet Using OPT-FRAC-CHN
5.3. Limitations
6. Conclusions
Author Contributions
Funding
Data Availability Statement
Acknowledgments
Conflicts of Interest
Abbreviations
| EP | Equilibrium point |
| QKSP | Quadratic Knap Sac Problem |
| FC | Fractional calculus. |
| CHN | Continuous Hopfield network |
| T, I | Parameters of CHN network |
| OPT-CHN | Optimal continuous Hopfield network |
| FRAC-CHN | Fractional continuous Hopfield network |
| FC | Fractional Calculus |
| OPT-FRAC-CHN | Continuous Hopfield network |
| WHO | World Health Organization |
| FAO | Food and Agriculture Organization of the United Nations |
| A | Column of positive nutrients of 177 foods |
| E | Column of negative nutrients of 177 foods |
| g | Vector of the glycemic load of 177 foods |
| b | Vector of positive nutrient requirements |
| f | Vector of negative nutrient requirements |
References
- Zhou, Y.; Pang, T.; Liu, K.; Mahoney, M.W.; Yang, Y. Temperature balancing, layer-wise weight analysis, and neural network training. arXiv 2023, arXiv:2312.00359. [Google Scholar]
- Du, M.; Behera, A.K.; Vaikuntanathan, S. Active oscillatory associative memory. J. Chem. Phys. 2024, 160, 055103. [Google Scholar] [CrossRef] [PubMed]
- Abdulrahman, A.; Sayeh, M.; Fadhil, A. Enhancing the analog to digital converter using proteretic hopfield neural network. Neural Comput. Appl. 2024, 36, 5735–5745. [Google Scholar] [CrossRef]
- Rbihou, S.; Haddouch, K.; El moutaouakil, K. Optimizing hyperparameters in Hopfield neural networks using evolutionary search. OPSEARCH 2024, 1–29. [Google Scholar] [CrossRef]
- El Alaoui, M.; El Moutaouakil, K.; Ettaouil, M. A multi-step method to calculate the equilibrium point of the Continuous Hopfield Networks: Application to the max-stable problem. Wseas Trans. Syst. Control 2017, 12, 418–425. [Google Scholar]
- Uykan, Z. On the Working Principle of the Hopfield Neural Networks and its Equivalence to the GADIA in Optimization. IEEE Trans. Neural Netw. Learn. Syst. 2019, 31, 3294–3304. [Google Scholar] [CrossRef] [PubMed] [PubMed Central]
- Del Re, E.; Fantacci, R.; Ronga, L. A dynamic channel allocation technique based on Hopfield neural networks. IEEE Trans. Veh. Technol. 1996, 45, 26–32. [Google Scholar] [CrossRef]
- Kumar, A.; Shukla, R.K.; Shukla, R.S. Enhancement of Energy Optimization in Semi Joint Multipath Routing Protocol using QoS Based on Mobile Ad-Hoc Networks. In Proceedings of the 2023 2nd Edition of IEEE Delhi Section Flagship Conference (DELCON), Rajpura, India, 24–26 February 2023; pp. 1–5. [Google Scholar] [CrossRef]
- Hong, Q.; Fu, H.; Liu, Y.; Zhang, J. In-memory computing circuit implementation of complex-valued hopfield neural network for efficient portrait restoration. IEEE Trans. Comput.-Aided Des. Integr. Circuits Syst. 2023, 42, 3338–3351. [Google Scholar] [CrossRef]
- Wang, H.; Long, A.; Yu, L.; Zhou, H. An efficient approach of graph isomorphism identification using loop theory and hopfield neural networks. Multimed. Tools Appl. 2024, 83, 22545–22566. [Google Scholar] [CrossRef]
- Ziane, M.; Sara, C.; Fatima, B.; Abdelhakim, C.; EL Moutaouakil, K. Portfolio selection problem: Main knowledge and models (A systematic review). Stat. Optim. Inf. Comput. 2024, 12, 799–816. [Google Scholar] [CrossRef]
- Senhaji, K.; Moutaouakil, K.E.; Ettaouil, M. Portfolio selection problem: New multicriteria approach for the mean-semivariance model. In Proceedings of the 2016 3rd International Conference on Logistics Operations Management (GOL), Fez, Morocco, 23–25 May 2016; pp. 1–6. [Google Scholar] [CrossRef]
- El Moutaouakil, K.; El Ouissari, A.; Olaru, A.; Palade, V.; Ciorei, M. OPT-RNN-DBSVM: OPTimal Recurrent Neural Network and Density-Based Support Vector Machine. Mathematics 2023, 11, 3555. [Google Scholar] [CrossRef]
- El Moutaouakil, K.; El Ouissari, A. Opt-RNN-DBFSVM: Optimal recurrent neural network density based fuzzy support vector machine. Rairo Oper. Res. 2023, 57, 2804–7303. [Google Scholar] [CrossRef]
- Moutaouakil, K.E.; Touhafi, A. A New Recurrent Neural Network Fuzzy Mean Square Clustering Method. In Proceedings of the 2020 5th International Conference on Cloud Computing and Artificial Intelligence: Technologies and Applications (CloudTech), Marrakesh, Morocco, 24–26 November 2020; pp. 1–5. [Google Scholar]
- El Moutaouakil, K.; Yahyaouy, A.; Chellak, S.; Baizri, H. An Optimized Gradient Dynamic-Neuro-Weighted-Fuzzy Clustering Method: Application in the Nutrition Field. Int. J. Fuzzy Syst. 2022, 24, 3731–3744. [Google Scholar] [CrossRef]
- Hopfield, J.J. Neurons with graded response have collective computational properties like those of two-states neurons. Proc. Natl. Acad. Sci. USA 1984, 81, 3088–3092. [Google Scholar] [CrossRef] [PubMed]
- Ghosh, A.; Pal, N.R.; Pal, S.K. Object background classfcation using Hopfield type neural networks. Int. J. Pattern Recognit. Artiffcial Intell. 1992, 6, 989–1008. [Google Scholar] [CrossRef]
- Nasrabadi, N.M.; Choo, C.Y. Hopfield network for stereo vision correspondence. IEEE Trans. Neural Netw. 1992, 3, 5–13. [Google Scholar] [CrossRef] [PubMed]
- Wasserman, P.D. Neural Computing: Theory and Practice; Van Nostrand Reinhold: New York, NY, USA, 1989. [Google Scholar]
- Wu, J.K. Neural Networks and Simulation Methods; Marcel Dekker: New York, NY, USA, 1994. [Google Scholar]
- Smith, K.A. Neural networks for combinatorial optimization: A review of more than a decade of research. Informs J. Comput. 1999, 11, 15–34. [Google Scholar] [CrossRef]
- Joya, G.; Atencia, M.A. Sandoval, F. Hopfield neural networks for optimization: Study of the different dynamics. Neurocomputing 2002, 43, 219–237. [Google Scholar] [CrossRef]
- Wang, L. On the dynamics of discrete-time, continuous-state Hopfield neural networks. IEEE Trans. Circuits Syst. Analog. Digit. Signal Process. 1998, 45, 747–749. [Google Scholar] [CrossRef]
- Hopfield, J.J.; Tank, D.W. Neural computation of decisions in optimization problems. Biol. Cybern. 1985, 52, 1–25. [Google Scholar] [CrossRef]
- Talavan, P.M.; Yanez, J. Parameter setting of the Hopfield network applied to TSP. Neural Netw. 2002, 15, 363–373. [Google Scholar] [CrossRef] [PubMed]
- Fazzino, S.; Caponetto, R.; Patanè, L. A new model of Hopfield network with fractional-order neurons for parameter estimation. Nonlinear Dyn. 2021, 104, 2671–2685. [Google Scholar] [CrossRef] [PubMed]
- Talaván, P.M.; Yáñez, J. The generalized quadratic knapsack problem. A neuronal network approach. Neural Netw. 2006, 19, 416–428. [Google Scholar] [CrossRef] [PubMed]
- Demidowitsch, B.P.; Maron, I.A.; Schuwalowa, E.S. Metodos Numericos de Analisis; Paraninfo: Madrid, Spain, 1980. [Google Scholar]
- Talaván, P.M.; Yáñez, J. A continuous Hopfield network equilibrium points algorithm. Comput. Oper. Res. 2005, 32, 2179–2196. [Google Scholar] [CrossRef]
- Danca, M.-F. Hopfield neuronal network of fractional order: A note on its numerical integration. Chaos Solitons Fractals 2021, 151, 111219. [Google Scholar] [CrossRef]
- An, T.V.; Phu, N.D.; Van Hoa, N. The stabilization of uncertain dynamic systems involving the generalized Riemann–Liouville fractional derivative via linear state feedback control. Fuzzy Sets Syst. 2023, 472, 108697. [Google Scholar] [CrossRef]
- Shana, Y.; Lva, G. New criteria for blow up of fractional differential equations. Filomat 2024, 38, 1305–1315. [Google Scholar]
- Pandey, R.K.; Agrawal, O.P. Comparison of four numerical schemes for isoperimetric constraint fractional variational problems with A-operator. In Proceedings of the International Design Engineering Technical Conferences and Computers and Information in Engineering Conference, Boston, MA, USA, 2–5 August 2015; American Society of Mechanical Engineers: New York, NY, USA, 2015; Volume 57199, pp. 317–324. [Google Scholar]
- Donati, M.; Menozzi, D.; Zighetti, C.; Rosi, A.; Zinetti, A.; Scazzina, F. Towards a sustainable diet combining economic, environmental and nutritional objectives. Appetite 2016, 106, 48–57. [Google Scholar] [CrossRef]
- Bas, E. A robust optimization approach to diet problem with overall glycemic load as objective function. Appl. Math. Model. 2014, 38, 4926–4940. [Google Scholar] [CrossRef]
- El Moutaouakil, K.; Ahourag, A.; Chakir, S.; Kabbaj, Z.; Chellack, S.; Cheggour, M.; Baizri, H. Hybrid firefly genetic algorithm and integral fuzzy quadratic programming to an optimal Moroccan diet. Math. Model. Comput. 2023, 10, 338–350. [Google Scholar] [CrossRef]
- Ahourag, A.; Chellak, S.; Cheggour, M.; Baizri, H.; Bahri, A. Quadratic Programming and Triangular Numbers Ranking to an Optimal Moroccan Diet with Minimal Glycemic Load. Stat. Optim. Inf. Comput. 2023, 11, 85–94. [Google Scholar]
- El Moutaouakil, K.; Ahourag, A.; Chellak, S.; Baïzri, H.; Cheggour, M. Fuzzy Deep Daily Nutrients Requirements Representation. Rev. Intell. Artif. 2022, 36. [Google Scholar] [CrossRef]
- El Moutaouakil, K.; Baizri, H.; Chellak, S. Optimal fuzzy deep daily nutrients requirements representation: Application to optimal Morocco diet problem. Math. Model. Comput. 2022, 9, 607–615. [Google Scholar] [CrossRef]
- Kumar, K.; Pandey, R.K.; Sharma, S. Approximations of fractional integrals and Caputo derivatives with application in solving Abel’s integral equations. J. King Saud Univ.-Sci. 2019, 31, 692–700. [Google Scholar]
- World Health Organization. Diet and Physical Activity: A Public Health Priority; World Health Organization: Geneva, Switzerland, 2021. [Google Scholar]
- World Health Organization. WHO and FAO Announce Global Initiative to Promote Consumption of Fruit and Vegetables; World Health Organization: Geneva, Switzerland, 2003. [Google Scholar]















| Method | Time Step | Fraction Order | Glycemic Load | Positive Gap (Microgram) | Negative Gap (Microgram) |
|---|---|---|---|---|---|
| FRAC-CHN | 0.001 | 0.5 | 367.17 | 4400.03 | 2261.45 |
| OPT-FRAC-CHN | Optimal | 0.5 | 23.96 | 2039.13 | 609.57 |
| Frac-CHN | 0.001 | 0.55 | 415.42 | 5853.80 | 2899.12 |
| OPT-FRAC-CHN | Optimal | 0.55 | 37.65 | 1190.53 | 342.13 |
| FRAC-CHN | 0.001 | 0.56 | 442.66 | 6554.35 | 4837.73 |
| OPT-FRAC-CHN | Optimal | 0.56 | 42.78 | 902.58 | 244.40 |
| FRAC-CHN | 0.001 | 0.57 | 1093.55 | 24404.71 | 15717.35 |
| OPT-FRAC-CHN | Optimal | 0.57 | 43.99 | 864.32 | 244.17 |
| FRAC-CHN | 0.001 | 0.58 | 43.04 | 3366.09 | 720.05 |
| OPT-FRAC-CHN | Optimal | 0.58 | 47.84 | 732.78 | 203.43 |
| FRAC-CHN | 0.001 | 0.59 | 1642.23 | 2508.25 | 1764.04 |
| OPT-FRAC-CHN | Optimal | 0.59 | 54.82 | 562.62 | 148.48 |
| FRAC-CHN | 0.001 | 0.6 | 23.92 | 3385.86 | 1046.27 |
| OPT-FRAC-CHN | Optimal | 0.6 | 49.58 | 459.62 | 138.06 |
| FRAC-CHN | 0.001 | 0.61 | 899.69 | 2037.15 | 8098.13 |
| OPT-FRAC-CHN | Optimal | 0.61 | 73.66 | 359.97 | 98.16 |
| CHN | 0.001 | Ordinary | 0.00 | 5036.28 | 1795.06 |
| OPT–CHN | Optimal | Ordinary | 0.00 | 5036.28 | 1795.06 |
Disclaimer/Publisher’s Note: The statements, opinions and data contained in all publications are solely those of the individual author(s) and contributor(s) and not of MDPI and/or the editor(s). MDPI and/or the editor(s) disclaim responsibility for any injury to people or property resulting from any ideas, methods, instructions or products referred to in the content. |
© 2024 by the authors. Licensee MDPI, Basel, Switzerland. This article is an open access article distributed under the terms and conditions of the Creative Commons Attribution (CC BY) license (https://creativecommons.org/licenses/by/4.0/).
Share and Cite
El Moutaouakil, K.; Bouhanch, Z.; Ahourag, A.; Aberqi, A.; Karite, T. OPT-FRAC-CHN: Optimal Fractional Continuous Hopfield Network. Symmetry 2024, 16, 921. https://doi.org/10.3390/sym16070921
El Moutaouakil K, Bouhanch Z, Ahourag A, Aberqi A, Karite T. OPT-FRAC-CHN: Optimal Fractional Continuous Hopfield Network. Symmetry. 2024; 16(7):921. https://doi.org/10.3390/sym16070921
Chicago/Turabian StyleEl Moutaouakil, Karim, Zakaria Bouhanch, Abdellah Ahourag, Ahmed Aberqi, and Touria Karite. 2024. "OPT-FRAC-CHN: Optimal Fractional Continuous Hopfield Network" Symmetry 16, no. 7: 921. https://doi.org/10.3390/sym16070921
APA StyleEl Moutaouakil, K., Bouhanch, Z., Ahourag, A., Aberqi, A., & Karite, T. (2024). OPT-FRAC-CHN: Optimal Fractional Continuous Hopfield Network. Symmetry, 16(7), 921. https://doi.org/10.3390/sym16070921

