Theoretical Advances in Beta and Double-Beta Decay
Abstract
1. Introduction
2. Nuclear Matrix Elements
3. Electron Wave Functions
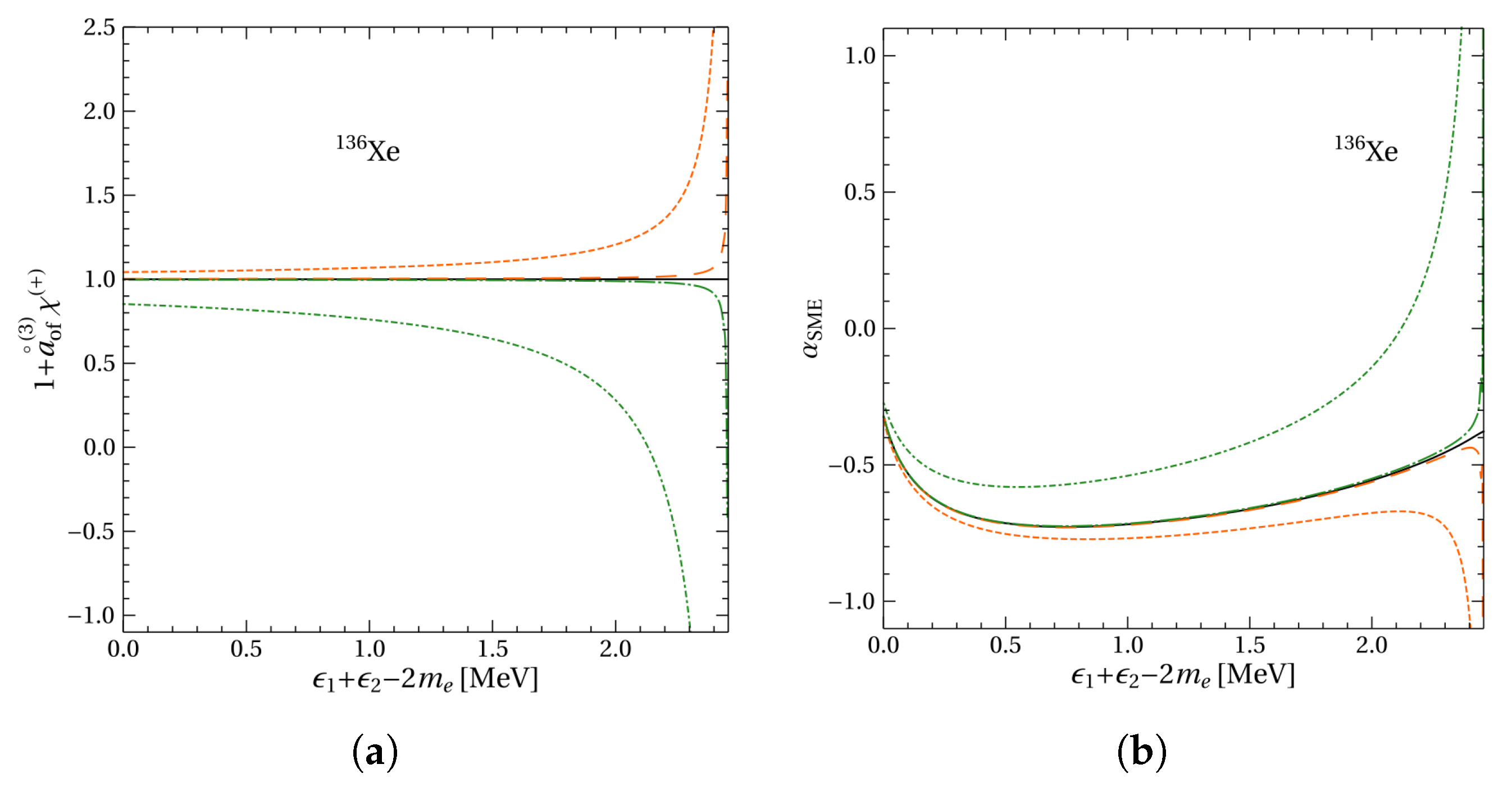
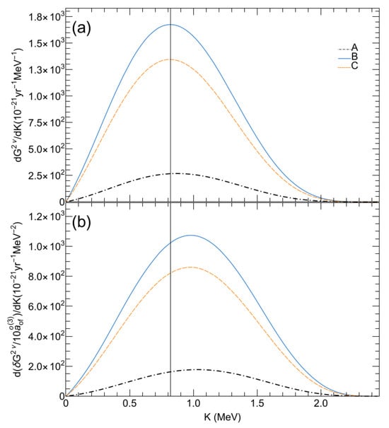
4. Lorentz Violation in the Neutrino Sector
5. Decay Rates for EC Processes
6. Conclusions
Author Contributions
Funding
Data Availability Statement
Conflicts of Interest
References
- Algora, A.; Tain, J.L.; Rubio, B.; Fallot, M.; Gelletly, W. Beta-decay studies for applied and basic nuclear physics. Eur. Phys. J. A 2021, 57, 83. [Google Scholar] [CrossRef]
- Mueller, A.C.; Sherrill, B.M. Nuclei at the Limits of Particle Stability. Annu. Rev. Nucl. Part. Sci. 1993, 43, 529–583. [Google Scholar] [CrossRef]
- Langanke, K.; Wiescher, M. Nuclear reactions and stellar processes. Rep. Prog. Phys. 2001, 64, 1657. [Google Scholar] [CrossRef]
- Thielemann, F.K.; Dillmann, I.; Farouqi, K.; Fischer, T.; Fröhlich, C.; Kelic-Heil, A.; Korneev, I.; Kratz, K.-L.; Langake, K.; Liebendorfer, M.; et al. The r-, p-, and νp-Process. J. Phys. Conf. Ser. 2010, 202, 012006. [Google Scholar] [CrossRef]
- Doi, M.; Kotani, T.; Takasugi, E. Double-beta decay and Majorana neutrino. Prog. Theor. Phys. Suppl. 1985, 83, 1. [Google Scholar] [CrossRef]
- Tomoda, T. Double beta decay. Rep. Prog. Phys. 1991, 54, 53. [Google Scholar] [CrossRef]
- Suhonen, J.; Civitarese, O. Weak-interaction and nuclear-structure aspects of nuclear double beta decay. Phys. Rep. 1998, 300, 123–214. [Google Scholar] [CrossRef]
- Vergados, J.D.; Ejiri, H.; Simkovic, F. Theory of neutrinoless double-beta decay. Rep. Prog. Phys. 2012, 75, 106301. [Google Scholar] [CrossRef] [PubMed]
- Dolinski, M.J.; Poon, A.W.P.; Rodejohann, W. Neutrinoless Double-Beta Decay: Status and Prospects. Annu. Rev. Nucl. Part. Sci. 2019, 69, 219–251. [Google Scholar] [CrossRef]
- Barabash, A. Double Beta Decay Experiments: Recent Achievements and Future Prospects. Universe 2023, 9, 290. [Google Scholar] [CrossRef]
- Gove, N.B.; Martin, M.J. Log-f tables for beta decay. Nucl. Data Tables 1971, 10, 205. [Google Scholar] [CrossRef]
- Caurier, E.; Martínez-Pinedo, G.; Nowacki, F.; Poves, A.; Zuker, A.P. The shell model as a unified view of nuclear structure. Rev. Mod. Phys. 2005, 77, 427. [Google Scholar] [CrossRef]
- Horoi, M.; Stoica, S. Shell model analysis of the neutrinoless double-β decay of 48Ca. Phys. Rev. C 2010, 81, 024321. [Google Scholar] [CrossRef]
- Horoi, M.; Brown, B.A. Shell-Model Analysis of the 136Xe Double Beta Decay Nuclear Matrix Elements. Phys. Rev. Lett. 2013, 110, 222502. [Google Scholar] [CrossRef] [PubMed]
- Horoi, M.; Neacsu, A. Shell model predictions for 124Sn double-β decay. Phys. Rev. C 2016, 93, 024308. [Google Scholar] [CrossRef]
- Neacsu, A.; Horoi, M. Shell model studies of the 130Te neutrinoless double-β decay. Phys. Rev. C 2015, 91, 024309. [Google Scholar] [CrossRef]
- Sen’kov, R.A.; Horoi, M. Accurate shell-model nuclear matrix elements for neutrinoless double-β decay. Phys. Rev. C 2014, 90, 051301(R). [Google Scholar] [CrossRef]
- Fang, D.-L.; Faessler, A.; Rodin, V.; Šimkovic, F. Neutrinoless double-β decay of deformed nuclei within quasiparticle random-phase approximation with a realistic interaction. Phys. Rev. C 2011, 83, 034320. [Google Scholar] [CrossRef]
- Kortelainen, M.; Suhonen, J. Improved short-range correlations and 0νββ nuclear matrix elements of 76Ge and 82Se. Phys. Rev. C 2007, 75, 051303(R). [Google Scholar] [CrossRef]
- Rodin, V.; Faessler, A.; Simkovic, F.; Vogel, P. Assessment of uncertainties in QRPA 0νββ-decay nuclear matrix elements. Nucl. Phys. A 2006, 766, 107. [Google Scholar] [CrossRef]
- Šimkovic, F.; Pantis, G.; Vergados, J.D.; Faessler, A. Additional nucleon current contributions to neutrinoless double β decay. Phys. Rev. C 1999, 60, 055502. [Google Scholar] [CrossRef]
- Stoica, S.; Klapdor-Kleingrothaus, H. Critical view on double-beta decay matrix elements within Quasi Random Phase Approximation-based methods. Nucl. Phys. A 2001, 694, 269. [Google Scholar] [CrossRef]
- Barea, J.; Iachello, F. Neutrinoless double-β decay in the microscopic interacting boson model. Phys. Rev. C 2009, 79, 044301. [Google Scholar] [CrossRef]
- Rodriguez, T.R.; Martinez-Pinedo, G. Energy Density Functional Study of Nuclear Matrix Elements for Neutrinoless ββ Decay. Phys. Rev. Lett. 2010, 105, 252503. [Google Scholar] [CrossRef]
- Rath, P.K.; Chandra, R.; Chaturvedi, K.; Lohani, P.; Raina, P.K.; Hirsch, J.G. Neutrinoless ββ decay transition matrix elements within mechanisms involving light Majorana neutrinos, classical Majorons, and sterile neutrinos. Phys. Rev. C 2013, 88, 064322. [Google Scholar] [CrossRef]
- Novario, S.; Gysbers, P.; Engel, J.; Hagen, G.; Jansen, G.R.; Morris, T.D.; Navrátil, P.; Papenbrock, T.; Quaglioni, S. Coupled-Cluster Calculations of Neutrinoless Double-β Decay in 48Ca. Phys. Rev. Lett. 2021, 126, 182502. [Google Scholar] [CrossRef] [PubMed]
- Griffin, J.J.; Wheeler, J.A. Collective Motions in Nuclei by the Method of Generator Coordinates. Phys. Rev. 1957, 108, 311. [Google Scholar] [CrossRef]
- Stroberg, S.R.; Hergert, H.; Bogner, S.K.; Holt, J.D. Nonempirical Interactions for the Nuclear Shell Model: An Update. Annu. Rev. Nucl. Part. Sci. 2019, 69, 307–362. [Google Scholar] [CrossRef]
- Engel, J.; Menéndez, J. Status and future of nuclear matrix elements for neutrinoless double-beta decay: A review. Rep. Prog. Phys. 2017, 80, 046301. [Google Scholar] [CrossRef] [PubMed]
- Cirigliano, V.; Davoudi, Z.; Engel, J.; Furnstahl, R.J.; Hagen, G.; Heinz, U.; Hergert, H.; Horoi, M.; Johnson, C.W.; Lovato, A.; et al. Towards precise and accurate calculations of neutrinoless double-beta decay. J. Phys. G 2022, 49, 120502. [Google Scholar] [CrossRef]
- Cirigliano, V.; Dekens, W.; De Vries, J.; Graesser, M.L.; Mereghetti, E.; Pastore, S.; Van Kolck, U. New Leading Contribution to Neutrinoless Double-β Decay. Phys. Rev. Lett. 2018, 120, 202001. [Google Scholar] [CrossRef] [PubMed]
- Feng, X.; Jin, L.-C.; Wang, Z.-Y.; Zhang, Z. Finite-volume formalism in the 2HI+HI→2 transition: An application to the lattice QCD calculation of double beta decays. Phys. Rev. D 2021, 103, 034508. [Google Scholar] [CrossRef]
- Davoudi, Z.; Kadam, S.V. Path from Lattice QCD to the Short-Distance Contribution to 0νββ Decay with a Light Majorana Neutrino. Phys. Rev. Lett. 2021, 126, 152003. [Google Scholar] [CrossRef] [PubMed]
- Yao, J.M.; Bally, B.; Engel, J.; Wirth, R.; Rodríguez, T.R.; Hergert, H. Ab Initio Treatment of Collective Correlations and the Neutrinoless Double Beta Decay of 48Ca. Phys. Rev. Lett. 2020, 124, 232501. [Google Scholar] [CrossRef] [PubMed]
- Belley, A. Ab Initio Neutrinoless Double-Beta Decay Matrix Elements for 48Ca, 76Ge, and 82Se. Phys. Rev. Lett. 2021, 126, 042502. [Google Scholar] [CrossRef] [PubMed]
- Patel, D.; Srivastava, P.C.; Kota, V.K.B.; Sahu, R. Large-scale shell-model study of two-neutrino double beta decay of 82Se, 94Zr, 108Cd, 124Sn, 128Te, 130Te, 136Xe, and 150Nd. Nucl. Phys. A 2024, 1042, 122808. [Google Scholar] [CrossRef]
- Horoi, M.; Neacsu, A.; Stoica, S. Statistical analysis for the neutrinoless double-β-decay matrix element of 48Ca. Phys. Rev. C 2022, 106, 054302. [Google Scholar] [CrossRef]
- Horoi, M.; Neacsu, A.; Stoica, S. Predicting the neutrinoless double-β-decay matrix element of 136Xe using a statistical approach. Phys. Rev. C 2023, 107, 045501. [Google Scholar] [CrossRef]
- Barabash, A. Precise Half-Life Values for Two-Neutrino Double-β Decay: 2020 Review. Universe 2020, 6, 159. [Google Scholar] [CrossRef]
- Mccutchan, E. Nuclear Data Sheets for A = 136. Nucl. Data Sheets 2018, 157, 331. [Google Scholar] [CrossRef]
- Frekers, D.; Puppe, P.; Thies, J.H.; Ejiri, H. Gamow–Teller strength extraction from (3He, t) reactions. Nucl. Phys. A 2013, 916, 219. [Google Scholar] [CrossRef]
- Pritychenko, B.; Birch, M.; Singh, B.; Horoi, M. Tables of E2 transition probabilities from the first 2+ states in even–even nuclei. At. Data Nucl. Data Tables 2016, 107, 1. [Google Scholar] [CrossRef]
- Shimizu, N.; Menéndez, J.; Yako, K. Double Gamow-Teller Transitions and its Relation to Neutrinoless ββ Decay. Phys. Rev. Lett. 2018, 120, 142502. [Google Scholar] [CrossRef]
- Romeo, B.; Menéndez, J.; Garay, C.P. γγ decay as a probe of neutrinoless ββ decay nuclear matrix elements. Phys. Lett. B 2022, 827, 136965. [Google Scholar] [CrossRef]
- Konopinski, E.J. The Theory of Beta Radio Activity; Clarendon P.: Oxford, UK, 1996. [Google Scholar]
- Primakoff, H.; Rosen, S.P. Double beta decay. Rep. Prog. Phys. 1959, 22, 121. [Google Scholar] [CrossRef]
- Kotila, J.; Iachello, F. Phase-space factors for double-β decay. Phys. Rev. C 2012, 85, 034316. [Google Scholar] [CrossRef]
- Mirea, M.; Pahomi, T.; Stoica, S. Values of the Phase Space Factors Involved in Double Beta Decay. Rom. Rep. Phys. 2015, 67, 872. [Google Scholar]
- Stoica, S.; Mirea, M. New calculations for phase space factors involved in double-β decay. Phys. Rev. C 2013, 88, 037303. [Google Scholar] [CrossRef]
- Salvat, F.; Fernández-Varea, J.M. Radial: A Fortran subroutine package for the solution of the radial Schrödinger and Dirac wave equations. Comput. Phys. Commun. 2019, 240, 165. [Google Scholar] [CrossRef]
- Niţescu, O.; Ghinescu, S.; Stoica, S. Lorentz violation effects in 2νββ decay. J. Phys. G 2020, 47, 055112. [Google Scholar] [CrossRef]
- Niţescu, O.; Dvornický, R.; Šimkovic, F. Exchange correction for allowed β decay. Phys. Rev. C 2023, 107, 025501. [Google Scholar] [CrossRef]
- Colladay, D.; Kostelecký, V.A. Lorentz-violating extension of the standard model. Phys. Rev. D 1998, 58, 116002. [Google Scholar] [CrossRef]
- Kostelecký, V.A.; Mewes, M. Lorentz and CPT violation in the neutrino sector. Phys. Rev. D 2004, 70, 031902(R). [Google Scholar] [CrossRef]
- MiniBooNE Collaboration; Aguilar-Arevalo, A.A.; Anderson, C.E.; Bazarko, A.O.; Brice, S.J.; Brown, B.C.; Bugel, L.; Cao, J.; Coney, L.; Conrad, J.M.; et al. Test of Lorentz and CPT violation with short baseline neutrino oscillation excesses. Phys. Lett. B 2013, 718, 1303–1308. [Google Scholar] [CrossRef]
- Abe, K.; Haga, Y.; Hayato, Y.; Ikeda, M.; Iyogi, K.; Kameda, J.; Super-Kamiokande Collaboration. Test of Lorentz invariance with atmospheric neutrinos. Phys. Rev. D 2015, 91, 052003. [Google Scholar] [CrossRef]
- Adamson, P.; The MINOS Collaboration. Search for Lorentz invariance and CPT violation with muon antineutrinos in the MINOS Near Detector. Phys. Rev. D 2012, 85, 031101. [Google Scholar] [CrossRef]
- Díaz, J.S. Limits on Lorentz and CPT violation from double beta decay. Phys. Rev. D 2014, 89, 036002. [Google Scholar] [CrossRef]
- Albert, J.B.; Barbeau, P.S.; Beck, D.; Belov, V.; Breidenbach, M.; Brunner, T.; EXO-200 Collaboration. First search for Lorentz and CPT violation in double beta decay with EXO-200. Phys. Rev. D 2016, 93, 072001. [Google Scholar] [CrossRef]
- Azzolini, O.; Beeman, J.W.; Bellini, F.; Beretta, M.; Biassoni, M.; Brofferio, C. First search for Lorentz violation in double beta decay with scintillating calorimeters. Phys. Rev. D 2019, 100, 092002. [Google Scholar] [CrossRef]
- Arnold, R.; Augier, C.; Barabash, A.S.; Basharina-Freshville, A.; Blondel, S.; Blot, S.; Bongrand, M.; Boursette, D.; Brudanin, V.; Busto, J.; et al. Detailed studies of 100Mo two-neutrino double beta decay in NEMO-3. Eur. Phys. J. C 2019, 79, 440. [Google Scholar] [CrossRef]
- Agostini, M.; Alexander, A.; Araujo, G.; Bakalyarov, A.M.; Balata, M.; Barabanov, I.; Baudis, L.; Bauer, C.; Belogurov, S.; Bettini, A.; et al. Search for exotic physics in double-beta decays with GERDA Phase II. J. Cosmol. Astropart. Phys. 2022, 12, 012. [Google Scholar] [CrossRef]
- Ghinescu, S.; Niţescu, O.; Stoica, S. Investigation of the Lorentz invariance violation in two-neutrino double-beta decay. Phys. Rev. D 2022, 105, 055032. [Google Scholar] [CrossRef]
- Niţescu, O.; Ghinescu, S.; Mirea, M.; Stoica, S. Probing Lorentz violation in 2νββ using single electron spectra and angular correlations. Phys. Rev. D 2021, 103, L031701. [Google Scholar] [CrossRef]
- Arnold, R.; Augier, C.; Baker, J.; Barabash, A.S.; Basharina-Freshville, A.; Bongrand, M.; Brudanin, V.; Caffey, A.J.; Cebrian, S.; Chapon, A.; et al. Probing new physics models of neutrinoless double beta decay with SuperNEMO. Eur. Phys. J. C 2010, 70, 927. [Google Scholar] [CrossRef]
- Gates, J.M.; Garcia, M.A.; Gregorich, K.E.; Düllmann, C.E.; Dragojević, I.; Dvorak, J.; Eichler, R.; Folden, C.M.; Lovelend, W.; Nelson, S.L.; et al. Synthesis of rutherfordium isotopes in the 238U(26Mg, xn)264-xRf reaction and study of their decay properties. Phys. Rev. C 2008, 77, 034603. [Google Scholar] [CrossRef]
- Broda, R.; Cassette, P.; Kossert, K. Radionuclide metrology using liquid scintillation counting. Metrologia 2007, 44, S36. [Google Scholar] [CrossRef]
- Bezak, E.; Lee, B.Q.; Kibédi, T.; Stuchbery, A.E.; Robertson, K.A. Auger radiation targeted into DNA: A therapy perspective. Eur. J. Nucl. Med. Mol. Imaging 2006, 33, 1352. [Google Scholar]
- Langanke, K.; Martínez-Pinedo, G.; Zegers, R.G.T. Electron capture in stars. Rep. Prog. Phys. 2021, 84, 066301. [Google Scholar] [CrossRef] [PubMed]
- Faverzani, M.; Alpert, B.; Backer, D.; Bennet, D.; Biasotti, M.; Brofferio, C.; Ceriale, V.; Ceruti, G.; Corsini, D.; Day, K.P.; et al. The HOLMES Experiment. J. Low Temp. Phys. 2016, 184, 922. [Google Scholar] [CrossRef]
- Aprile, E.; Abe, K.; Agostini, F.; Maouloud, S.A.; Alfonsi, M.; Althueser, L.; XENON Collaboration. Double-weak decays of 124Xe and 136Xe in the XENON1T and XENONnT experiments. Phys. Rev. C 2022, 106, 024328. [Google Scholar] [CrossRef]
- Sevestrean, V.A.; Niţescu, O.; Ghinescu, S.; Stoica, S. Self-consistent calculations for atomic electron capture. Phys. Rev. A 2023, 108, 012810. [Google Scholar] [CrossRef]
- Bambynek, W.; Behrens, H.; Chen, M.H.; Crasemann, B.; Fitzpatrick, M.L.; Ledingham, K.W.D.; Genz, H.; Mutterer, M.; Intemann, R.L. Orbital electron capture by the nucleus. Rev. Mod. Phys 1977, 49, 77. [Google Scholar] [CrossRef]
- Mougeot, X. BetaShape: A new code for improved analytical calculations of beta spectra. EPJ Web Conf. 2017, 146, 12015. [Google Scholar] [CrossRef]
- Atomic and Nuclear Data—Laboratoire National Henri Becquerel. Available online: http://www.lnhb.fr/home/nuclear-data/nuclear-data-table/ (accessed on 20 November 2022).
- Mougeot, X.; Mouawad, L.; Andoche, A.; Hervieux, P.A. Influence of the atomic modeling on the electron capture process. arXiv 2021, arXiv:2111.15321. [Google Scholar]
- Krieger, J.B.; Li, Y.; Iafrate, G.J. Systematic approximations to the optimized effective potential: Application to orbital-density-functional theory. Phys. Rev. A 1992, 46, 5453. [Google Scholar] [CrossRef] [PubMed]





| D | D | D | D | P | P | D | |||
|---|---|---|---|---|---|---|---|---|---|
| 1 | 0.8 | 0.78 | 0.74 | 0.72 | 0.38 | 0.25 | −0.18 | −0.42 | |
| 0.8 | 1 | 0.47 | 0.43 | 0.42 | 0.52 | 0.44 | −0.049 | −0.24 | |
| D | 0.78 | 0.47 | 1 | 0.95 | 0.96 | 0.53 | 0.34 | −0.54 | −0.79 |
| D | 0.74 | 0.43 | 0.95 | 1 | 0.99 | 0.5 | 0.32 | −0.56 | −0.84 |
| D | 0.72 | 0.42 | 0.96 | 0.99 | 1 | 0.55 | 0.35 | −0.55 | −0.88 |
| D | 0.38 | 0.52 | 0.53 | 0.5 | 0.55 | 1 | 0.76 | −0.23 | −0.58 |
| P | 0.25 | 0.44 | 0.34 | 0.32 | 0.35 | 0.76 | 1 | −0.25 | −0.43 |
| P | −0.18 | −0.049 | −0.54 | −0.56 | −0.55 | −0.23 | −0.25 | 1 | 0.65 |
| D | −0.42 | −0.24 | −0.79 | −0.84 | −0.88 | −0.58 | −0.43 | 0.65 | 1 |
| [39] | [40] | [40] | [40] | [41] | [41] | [42] | [42] | ||
| Data | N/A | 0.018 | 0.819 | 2.207 | 1.867 | 0.012 | 0.15 | 0.286 | 0.413 |
| SVD | 1.763 | 0.025 | 0.662 | 2.157 | 1.389 | 0.001 | 0.163 | 0.154 | 0.342 |
| GCN | 2.645 | 0.069 | 0.842 | 2.196 | 1.873 | 0.009 | 0.545 | 0.121 | 0.194 |
| jj55t | 2.314 | 0.06 | 0.917 | 2.502 | 2.113 | 0.004 | 0.512 | 0.096 | 0.158 |
| Isotope | [76] | Quantity | BS [76] | KLI [76] | [72] | RD [75] |
|---|---|---|---|---|---|---|
| (keV) | Frozen Orbitals | |||||
| 861.89 (7) | 0.105 (8) | 0.0509 (20) | 0.11053 (3) | 0.101 (13) | ||
| 421.64 (14) | 0.09800 (40) | 0.09078 (16) | 0.1046 (2) | 0.102 (10) | ||
| 542.2 (10) | 0.11219 (31) | 0.09590 (19) | 0.1076 (6) | 0.1066 (16) | ||
| 0.88419 (34) | 0.90005 (21) | 0.8870 (5) | 0.8896 (17) | |||
| 231.21 (18) | 0.11629 (31) | 0.10073 (20) | 0.1121 (3) | 0.1110 (15) | ||
| 0.01824 (12) | 0.014824 (45) | 0.01909 (5) | 0.01786 (29) 1 | |||
| 0.1568 (11) | 0.14716 (49) | 0.1704 (4) | 0.1556 (26) 1 | |||
| 127.1 (18) | 0.8148 (14) | 0.8164 (12) | 0.810 (7) | 0.812 (3) | ||
| 0.2274 (12) | 0.2250 (12) | 0.2344 (101) | 0.2315 (8) | |||
| 150.28 (6) | 0.79927 (41) | 0.80376 (23) | 0.7983 (18) | 0.8011 (17) | ||
| 312.6 (3) | 0.3913 (25) | 0.4242 (49) | 0.409 (7) | 0.432 (6) | ||
| 0.0965 (9) | 0.1002 (11) | 0.100 (2) | 0.102 (3) 1 | |||
| 0.2465 (20) | 0.2362 (24) | 0.244 (1) | 0.261 (9) 1 |
Disclaimer/Publisher’s Note: The statements, opinions and data contained in all publications are solely those of the individual author(s) and contributor(s) and not of MDPI and/or the editor(s). MDPI and/or the editor(s) disclaim responsibility for any injury to people or property resulting from any ideas, methods, instructions or products referred to in the content. |
© 2024 by the authors. Licensee MDPI, Basel, Switzerland. This article is an open access article distributed under the terms and conditions of the Creative Commons Attribution (CC BY) license (https://creativecommons.org/licenses/by/4.0/).
Share and Cite
Sevestrean, V.-A.; Stoica, S. Theoretical Advances in Beta and Double-Beta Decay. Symmetry 2024, 16, 390. https://doi.org/10.3390/sym16040390
Sevestrean V-A, Stoica S. Theoretical Advances in Beta and Double-Beta Decay. Symmetry. 2024; 16(4):390. https://doi.org/10.3390/sym16040390
Chicago/Turabian StyleSevestrean, Vasile-Alin, and Sabin Stoica. 2024. "Theoretical Advances in Beta and Double-Beta Decay" Symmetry 16, no. 4: 390. https://doi.org/10.3390/sym16040390
APA StyleSevestrean, V.-A., & Stoica, S. (2024). Theoretical Advances in Beta and Double-Beta Decay. Symmetry, 16(4), 390. https://doi.org/10.3390/sym16040390

