Next Article in Journal
Theoretical Advances in Beta and Double-Beta Decay
Previous Article in Journal
A Symmetric Kernel Smoothing Estimation of the Time-Varying Coefficient for Medical Costs
 
 
Font Type:
Arial Georgia Verdana
Font Size:
Aa Aa Aa
Line Spacing:
Column Width:
Background:
Article

Optimal Economic Research of Microgrids Based on Multi-Strategy Integrated Sparrow Search Algorithm under Carbon Emission Constraints

1
Faculty of Information Engineering and Automation, Kunming University of Science and Technology, Kunming 650500, China
2
Guangdong Key Laboratory of Modern Control Technology, Institute of Intelligent Manufacturing, GDAS, Guangzhou 510030, China
*
Authors to whom correspondence should be addressed.
Symmetry 2024, 16(4), 388; https://doi.org/10.3390/sym16040388
Submission received: 5 March 2024 / Revised: 18 March 2024 / Accepted: 21 March 2024 / Published: 26 March 2024
(This article belongs to the Section Engineering and Materials)

Abstract

In the global transition towards sustainable energy, microgrids are emerging as a core component of distributed energy systems and a pivotal technology driving this transformation. By integrating renewable energy sources such as solar and wind power, microgrids not only enhance energy efficiency and reduce reliance on traditional energy sources but also bolster grid stability and mitigate the risk of widespread power outages. Consequently, microgrids demonstrate significant potential in improving the reliability of power supply and facilitating flexibility in energy consumption. However, the operational planning and optimization of microgrids are faced with complex challenges characterized by multiple objectives and constraints, making the reduction in operational costs a focal point of research. This study fully considers an operational model for a microgrid that incorporates distributed energy resources and comprehensive costs, integrating a battery storage system to ensure three-phase balance. The microgrid model includes photovoltaic power generation, wind power generation, fuel cells, micro-gas turbines, energy storage systems, and loads. The objectives of operating and maintaining this microgrid primarily involve optimizing dispatch, energy consumption, and pollution emissions, aiming to reduce carbon emissions and minimize total costs. To achieve these goals, the study introduces a carbon emission constraint strategy and proposes an improved Multi-Strategy Integrated Sparrow Search Algorithm (MISSA). By applying the MISSA to solve the operational problems of the microgrid and comparing it with other algorithms, the results demonstrate the effectiveness of the carbon emission constraint strategy in the microgrid’s operation. Furthermore, the results prove that the MISSA can achieve the lowest comprehensive operational costs for the microgrid, confirming its effectiveness in addressing the operational challenges of the microgrid.

1. Introduction

In today’s 21st century, the world is facing unprecedented energy and environmental challenges [1,2,3,4]. With population growth, the acceleration of industrialization, and the advance of urbanization, energy demand continues to rise, while traditional centralized power systems are increasingly struggling to meet these challenges. Phenomena such as energy security, environmental degradation, and climate variability are becoming increasingly pronounced [5,6,7,8]. Moreover, due to their limited flexibility and single-generation topology, traditional power grids are no longer able to satisfy user demands for reliability and security. The surge in energy demand has led to increased focus on clean and decentralized energy alternatives, including wind and solar photovoltaic energy, which are gradually replacing traditional power generation methods, and the integration of large-scale clean energy sources into the power systems. Therefore, there is an urgent need for a new approach to energy supply and management to address these challenges. Against this backdrop, microgrids (MGs) have emerged as a new type of distributed energy system [9,10,11], with their unique advantages and potential becoming a significant direction for global energy transition and power system modernization.
A microgrid is a small-scale but self-sufficient electrical network system [12,13,14,15,16] that can operate in either connected or completely independent modes by integrating various distributed energy sources, such as solar, wind, hydro, biomass, and storage technologies, to supply power to specific areas. It effectively mitigates the instability and unpredictability of wind and photovoltaic power, playing a crucial role in improving energy quality and ensuring continuous load supply within microgrids. The core strengths of microgrids lie in their flexibility, reliability, and environmental friendliness. They are capable of maintaining local power supply during large grid failures, enhancing the resilience of the power system. Furthermore, microgrids can promote the efficient use of renewable energy, reduce greenhouse gas emissions, and contribute to global emission reduction targets [17,18,19].
However, there are still many challenges [20,21,22] in the research and application of microgrids. Achieving efficient integration, intelligent control, and seamless interaction with the main grid are the technical focuses of current research. The construction and operation costs, return on investment, and policy support are key economic factors affecting the promotion and application of microgrids. Ensuring the minimized environmental impact of microgrids while promoting renewable energy utilization is also an environmental topic that requires in-depth exploration.
The study of optimal operation for microgrids is a complex nonlinear optimization problem that involves numerous interrelated variables and constraints. These variables include power generation, electricity load, the state of energy storage systems, the efficiency of energy conversion, and external factors such as weather variations, equipment performance fluctuations, and geographical location. The interactions among these factors are often nonlinear and are frequently accompanied by uncertainty and randomness, making the operational planning of microgrids extremely complex. Due to the difficulty of accurately describing these complex relationships with traditional linear mathematical models, advanced optimization techniques and simulation tools are required to address these issues. In this context, metaheuristic algorithms offer an effective solution, as they are capable of handling high-dimensional, nonlinear problems and can adapt to the complexity and uncertainty of the problem at hand.
Consequently, a growing body of researchers is turning to metaheuristic approaches to tackle the complex challenges associated with the operational optimization and strategic planning of microgrids. These algorithms offer a robust framework for simulating and optimizing the intricate dynamics of microgrid systems, which are characterized by variable renewable energy inputs, storage capacities, and fluctuating demand patterns. By leveraging the computational efficiency and adaptability of metaheuristic methods, researchers aim to develop innovative solutions that enhance the economic viability, operational efficiency, and environmental sustainability of microgrids.
Yang et al. [23] established a bi-level microgrid demand response optimization model that considers the uncertainty of source load. To address the instability of renewable energy and load demand, a hybrid scenario reduction strategy that combines Latin hypercube sampling and probability distance was introduced. Then, a two-tier model was developed—a top-level optimization model aimed at minimizing demand response costs and a lower-level optimization model aimed at minimizing overall system costs. Finally, a Teaching Crow Search Algorithm that combines the Teaching Optimization Algorithm with the Crow Search Method was proposed to solve the bi-level optimization model, obtaining the optimal economic cost for the microgrid. Wang et al. [24] focused on the economy of microgrid clusters and established an optimal scheduling model that comprehensively considers the degradation cost of energy storage batteries, the compensation cost of demand-side controllable load scheduling, the cost of electricity transactions between microgrids, and the cost of electricity transactions between microgrids and the distribution network of the microgrid cluster, thereby improving the economy of the microgrid. Dou et al. [25] proposed a system that combines photovoltaic power generation with cogeneration to enhance photoelectric absorption capacity. A time-of-use pricing strategy was adopted to guide users to change their electricity consumption habits and participate in demand response, and a demand response model was established. Then, Particle Swarm Optimization (PSO) was used to achieve economic dispatch of the microgrid with the goal of minimizing its operation cost. Nagarajan et al. [26] proposed a combined cost optimization method to minimize operation costs and emission levels while meeting microgrid load demands. In this context, a new improved mayfly algorithm combined with Levy flight was proposed to solve the combined economic emission scheduling problems encountered in microgrids. An isolated mode microgrid test system was considered, and the simulation results were considered for 24 h under different power demands. The minimization of power generation and the lowest economic cost were achieved for the microgrid. Faraji et al. [27] proposed a new probabilistic scenario-based optimization scheduling and operation method for PMGs. Monte Carlo Simulation (MCS) was used to generate different scenarios, and clustering algorithms such as k-means, k-medoids, and the Differential Evolution Algorithm (DEA) were used to cluster the scenarios. By comparing the results for various scenario reduction algorithms and MCS algorithms, the effectiveness of the developed probabilistic optimization method for PMG operation was verified. The obtained results were compared with those of other existing deterministic methods, highlighting the advantages of the proposed method. Utkarsh et al. [28] studied multiple interconnected smart microgrids and developed an effective strategy for the internal device scheduling and energy trading. The convergence of the proposed distributed algorithm was analyzed, benchmark tests were conducted with state-of-the-art distributed algorithms, and numerical simulations were performed in different scenarios, indicating that the proposed distributed strategy can be applied to real-world microgrids. Raghav et al. [29] proposed a Demand Side Management (DSM) that can regulate consumers’ energy use without violating grid pricing policies. At the same time, a Quantum Teaching-Based Learning Algorithm (QTLA) was designed to handle the non-convex cost functions of the microgrid and optimize its total operation cost. Karthik et al. [30] proposed an Interior Search Algorithm (ISA) to solve the economic load distribution problem in microgrids. The ISA is an aesthetic search algorithm inspired by internal design and decoration. The efficacy of the ISA has been verified on a simple microgrid test system that includes wind turbines, fuel cells, and diesel generators. The simulation results show that the superiority of the obtained solutions is considered. Liu et al. [31] established a microgrid scheduling model with comprehensive costs in grid-connected mode, considering the symmetry of renewable energy and microgrid systems, as well as the coordinated control based on battery storage systems. The model incorporates MG operation costs, interaction costs, and pollutant emission costs. An improved Whale Optimization Algorithm with adaptive weight strategy and Levy flight trajectory was proposed to solve the optimal operation planning problem of MGs.
Therefore, this study proposes a novel Multi-Strategy Integrated Sparrow Search Algorithm (MISSA) to address the microgrid problem, which enhances global search capabilities by introducing nonlinear weight factors and improving the algorithmic formulation. This method not only improves the performance of the algorithm in solving nonlinear optimization problems but also enhances its robustness in dealing with complex constraints. Additionally, this study introduces a microgrid operational strategy that considers carbon emission constraints, enhancing the environmental sustainability of microgrids by limiting their carbon emissions. Subsequently, to validate the effectiveness of the improved sparrow search algorithm, a series of standard test functions were solved, and the results were compared with those of existing intelligent optimization algorithms, demonstrating the superiority of the improved algorithm. Finally, the microgrid simulation verifies the superiority of the algorithm in the microgrid optimization operation model and the effectiveness of the carbon emission constraint strategy, providing constructive suggestions for improving microgrid operational strategies and algorithmic enhancement strategies.

2. Microgrid Model

This study is dedicated to enhancing the operational reliability of microgrids and reducing environmental pollution, with a focus on the integrated application of fuel cells (as a representative of dispatchable distributed energy resources), lithium-ion batteries (as a typical energy storage system), micro-gas turbines (as a representative of dispatchable distributed energy resources), as well as photovoltaic and wind power generation (as representatives of renewable energy sources) within microgrids. Additionally, this research takes into account the interconnected operation mode of microgrids with a large grid, known as grid-connected mode. In this mode, microgrids can exchange and share energy with the large grid, thereby improving energy utilization efficiency, reducing energy costs, and ensuring the stability and reliability of power supply. Figure 1 presents the standard structure of a microgrid operating in grid-connected mode, including the integration methods of various energy sources, energy flow paths, and control systems, providing references and guidance for the design and operation of microgrids. In Figure 1, PCC denotes the point of common coupling, FC represents the fuel cell, MT stands for the micro-turbine, ESS indicates the energy storage system, PV refers to photovoltaic generation, WT signifies the wind turbine, and EMS stands for the energy management system.

2.1. Objective Function of Microgrid

Microgrid operational planning is a complex and critical process that involves a comprehensive consideration of the operational approach for the microgrid system. The essence of this planning lies in designing a detailed operational strategy and action plan based on the unique characteristics and operational requirements of the microgrid. The fundamental objective is to maximize economic benefits during the operation of the microgrid, thereby ensuring power supply and simultaneously delivering the highest economic returns to investors. To achieve this objective, this paper proposes a microgrid operational planning method that aims to minimize operational costs and pollution emission costs, effectively reducing the overall maintenance and operational costs of the microgrid system. Operational costs and pollution emission costs are two significant factors affecting the economic efficiency of the microgrid. By minimizing these costs, we can ensure power supply while mitigating the negative impact on the environment to the greatest extent possible, thereby achieving a win–win situation for economic and environmental benefits. This objective is reflected in the proposed mathematical model, specifically in Equation (1).
min C a l l = c 1 + c 2
In the proposed equation, C a l l denotes the total cost of the microgrid, c 1 represents the operational cost function of the microgrid, and c 2 corresponds to the microgrid’s emission cost function.
The operating cost function c 1 is defined by Equation (2):
c 1 = t T C E S S ( t ) + C P V ( t ) + C W T ( t ) + C F C ( t ) + C M T ( t )
In the proposed equation, C E S S ( t ) represents the periodic maintenance cost for the lithium-ion battery at time t, C P V ( t ) denotes the maintenance cost for the photovoltaic array during time t, C W T ( t ) is the upkeep cost for the wind turbine over time period t, C F C ( t ) reflects the combined fuel and maintenance expenses for the hydrogen fuel cell at time t, and C M T ( t ) indicates the combined fuel and maintenance costs for the micro-gas turbine at time t.
The computation of pollution emission costs relates to the financial outlay required for managing and mitigating the environmental impact caused by the release of pollutants. Within this context, distributed energy sources like micro-gas turbines in the microgrid generate pollutants, including CO2, SO2, CO, and NOx. c 2 represents the pollution emission cost function, formulated according to the mathematical model defined by Equation (3), with Equation (4) providing the computation cost for various pollutants emitted by the MT.
c 2 = t T C M T . a l l ( t )
C M T . a l l ( t ) = ( C E . C O 2 + C E . S O 2 + C E . C O + C E . N O X ) · P M T ( t )
In the proposed equation, C M T . a l l ( t ) signifies the cost associated with the emissions produced by the micro-gas turbine (MT) over a specific time interval t, while P M T ( t ) indicates the power generation level of the micro-turbine during that corresponding time period.

2.2. Model of Distributed Energy Resources

Solar photovoltaic technology harnesses sunlight by means of the photovoltaic effect, where semiconductor materials convert solar radiation directly into electricity. At the core of this setup lies the solar cell, which serves as the basic building block. These cells are connected and encapsulated to create extensive photovoltaic panels. When integrated with essential components such as power electronics, these panels form a functional photovoltaic power system. The electrical power generated by PV systems is largely dependent on the availability of sunlight and the surrounding air temperature. Herein, the mathematical expressions are represented as shown in Equation (5).
P P V = P S T C S P V [ 1 + δ ( T e T S T C ) ] G S T C A · E P V
In the proposed equation, P P V refers to the real-time power output of the photovoltaic panel, while P S T C indicates the panel’s power output as measured under standard test conditions. S P V represents the current light irradiance, and G S T C is the light irradiance during standard test conditions. The parameter δ represents the temperature coefficient of power, T e is the current ambient temperature, T S T C is the temperature maintained during standard testing, and A signifies the area of the photovoltaic panel and is used to denote the overall energy conversion efficiency of the panel.
Wind turbines (WTs) operate on the principle of converting the kinetic energy of the wind into electrical energy. This is achieved by the wind causing the turbine’s blades to rotate, with the resulting motion transmitted through a gearbox to a generator, which converts it into electricity. The relevant mathematical relationships are encapsulated in Equation (6).
P W T = 0 , 0 v s . v s , v e v s . P r a t e v v s v r v e , v s v s . v r P r a t e , v r v s . v e
In the proposed equation, P W T denotes the power generated by the wind turbine, P r a t e refers to the rated power capacity of the turbine, v indicates the current wind speed, v r is the wind speed at which the turbine reaches its rated power, v s marks the wind speed at which the turbine begins to generate power, and v e signifies the wind speed at which the turbine shuts down to prevent damage.
A fuel cell (FC) is a power generation device that converts chemical energy into electrical energy directly. Its operation is based on electrochemical reactions between fuel and oxygen, resulting in the production of water and the release of electrical energy. Characterized by high efficiency, environmental cleanliness, and low noise, fuel cells are considered one of the key technologies for future energy conversion and storage. Consequently, the application of fuel cell technology in the microgrid sector holds significant potential, and it is poised to become one of the crucial technologies for achieving clean, efficient, and reliable energy supply. The output expressions for this are represented in Equations (7) and (8).
P F C = e · V F C
C F C = a k · P F C 2 ( t ) + b k · P F C ( t ) + c k
In the proposed equation, P F C denotes the power output of the fuel cell. V F C and C F C are the cost parameters associated with the fuel cell’s electricity generation, whereas a k , b k , and c k are the coefficients of the cost function.
Micro-gas turbines (MTs) offer numerous benefits, such as high efficiency, low emissions, dependability, and adaptable system design. They are particularly useful as backup power sources for microgrids during times of inadequate electricity supply, thereby enhancing the resilience of the microgrid’s energy provision. The relevant mathematical relationships are encapsulated in Equations (9) and (10).
P M T = V M G · L N G · η M T t
C M T = k · P M T ( t )
In the proposed equation, C M T denotes the cost of fuel for the micro-turbine, P M T refers to the power output of the diesel generator, and k is the coefficient that determines the fuel cost.
Lithium-ion batteries act as energy storage systems (ESSs) within microgrids, capable of both storing and releasing energy. They play a crucial role in stabilizing the power supply and energy levels within the microgrid, ensuring the three-phase symmetry of the system as well as providing an effective means to manage voltage and frequency levels. The relevant mathematical formulations are detailed in Equations (11) and (12).
S O C t = C e c = 1 I d t C
S O C ( t + 1 ) = ( 1 E s o r ) S O C ( t ) + P c h η c h S O C ( t + 1 ) = ( 1 E s o r ) S O C ( t ) P d i s η c h
In the proposed equation, S O C t denotes the state of charge of the lithium-ion battery at time t, C e signifies the available energy remaining, C indicates the overall energy capacity, S O C ( t + 1 ) represents the state of charge at the subsequent time step t + 1 , E s o r refers to the self-discharge rate of the battery, P c h denotes the power input during charging, and η c h represents the charging efficiency. Similarly, P d i s indicates the power output during discharging, and η d i s denotes the discharging efficiency of the battery.

2.3. Limitations and Specifications of the Devices

In the microgrid framework, the need to maintain system stability and operational security is governed by the inherent limitations of the equipment. To ensure the reliable delivery of electrical power, each generation unit must operate within defined parameter boundaries. A critical requirement for microgrid operation is the achievement of a balance in power supply and demand. This balance is mathematically expressed in Equation (13):
P a l l ( t ) P E S S ( t ) + P L G ( t ) = P l o a d ( t )
In the proposed equation, P a l l ( t ) refers to the aggregate power produced by the distributed renewable energy sources within the microgrid at time t. P L G ( t ) is used to indicate the power exchange occurring between the microgrid and the primary grid at the same time interval t. P E S S ( t ) represents the power flow either into or out of the lithium-ion battery energy storage system within the microgrid during time period t, depending on whether the battery is being charged or discharged.
Additionally, both fuel cells (FCs) and micro-gas turbines (MTs) must operate within their specified power output ranges and comply with ramp rate restrictions. These operational boundaries are defined in Equations (14) and (15).
P i min P i ( t ) P i max
P i ( t ) P i ( t 1 ) p i Δ t
In the proposed equation, P i ( t ) denotes the power output of the i-th distributed energy resource at time t. P i min and P i max are the minimum and maximum permissible power output levels for the i-th resource. p i refers to the maximum allowed ramp rate for the controllable generation unit over the i-th time period, and Δ t represents the length of the time increment.
Additionally, the power exchange between the microgrid and the large grid is bounded by certain limitations, which are mathematically represented in Equation (16).
P L G . min P g r i d ( t ) P L G . max
In the proposed equation, P L G . max and P L G . min denote the maximum and minimum thresholds for the power exchange between the microgrid and the large grid.
Furthermore, the operation of lithium-ion batteries is governed by constraints related to their charging and discharging power boundaries, as well as their capacity limits. These operational constraints are detailed in Equations (17) and (18).
0 P c h ( t ) P c h . max 0 P d i s ( t ) P d i s . max
S O C min ( t ) S O C ( t ) S O C max ( t )
In the proposed equation, P c h ( t ) and P d i s ( t ) indicate the power levels at which the lithium battery is being charged and discharged at time t. Meanwhile, P c h . max and P d i s . max represent the maximum power thresholds for charging and discharging the battery. Additionally, S O C max ( t ) and S O C min ( t ) define the maximum and minimum allowable state of charge for the battery during the time period t.

3. Solution Algorithm

The Sparrow Search Algorithm (SSA) [32] mimics the food-seeking habits of sparrows. In this behavioral model, sparrows are categorized into two groups: leaders and followers, maintaining a watchful interaction with each other. In a bird flock, followers often compete for food resources with higher yield from their companions to enhance their own hunting success. Simultaneously, all individuals remain vigilant of the surroundings to guard against predators. Within the SSA, leaders exhibit a broader search scope compared to followers. The positioning update for the exploratory individuals is determined by Equation (19) at each iteration.
X i , j t + 1 = X i , j t · e x p ( i α · i t e r max ) , i f R 2 < S T X i , j t + Q · L , i f R 2 S T
In the proposed equation, X i , j marks the position of a sparrow, i indicates the current iteration, i t e r max defines the total number of iterations, α is a random value within the interval [0, 1], R 2 represents the alertness threshold between 0 and 1, and S T is the safety threshold ranging from 0.5 to 1. Q is a random variable following a standard normal distribution, and L is a matrix of size 1 × d where every entry is equal to 1.
When R 2 is less than S T , it indicates a absence of predators, allowing leaders to conduct a widespread search. However, if R 2 is greater than or equal to S T , it signals the presence of predators, prompting all sparrows to respond accordingly. Should a leader locate a superior food source, the followers will swiftly move from their current positions to contest for the resource. Upon successfully securing the food, they gain immediate access; failure to do so requires them to proceed with the actions described by Equation (20).
X i , j t + 1 = Q · e x p ( X w o r s t t X i , j t i 2 ) , i f i > n 2 X P t + i + | X i , j t X P t + i | · A + · L ,   o t h e r w i s e
In the proposed equation, X P t + i indicates the location of the most successful producer at iteration t + i . X w o r s t t signifies the current worst global position observed. The variable A refers to the total number of individuals in the population. L represents a matrix of size 1 × d, where each element is randomly assigned a value of either 1 or −1.
When the iteration count i exceeds n 2 , it suggests that the follower with the lowest fitness level should relocate to search for food elsewhere. Assuming that between 10% and 20% of the population becomes alerted to a potential threat, the starting positions of these alerted individuals are randomly re-initialized within the population, as detailed in Equation (21).
X i , j t + 1 = X b e s t t + β · | X i , j t X b e s t t | , i f f i > f g X i , j t + K · ( X i , j t X w o r s t t f i f W + ω ) , i f f i = f g
In the proposed equation, X b e s t t denotes the current optimal global position. The variable β is a step size control parameter that is sampled from a normal distribution with a mean of 0 and a variance of 1. K is a random integer chosen between 1 and 1. f represents the fitness score, while f i and f g correspond to the current individual best and worst fitness levels, respectively. ω is a parameter introduced to avoid division by zero. If f i exceeds f g , it suggests the sparrow is positioned at the fringes of the population. Conversely, when f i equals f g , it indicates that a sparrow in the central region of the population has detected danger and must move towards other sparrows to evade predation. In this scenario, K indicates the sparrow’s movement direction and also acts as the step control parameter.

4. MISSA

The Sparrow Search Algorithm exhibits a tendency for sparrows to aggregate around the best current solution, potentially trapping the algorithm in local optima and thus limiting its global exploration capabilities. To counteract this, a suggested modification shifts the movement from the vicinity of the current best solution to a direct movement towards the best position. Furthermore, a variable weight factor is incorporated to bolster the algorithm’s global search performance. This weight factor is specified in Equation (22), and the complete revised equation is given in Equation (23).
Δ = Δ min + Δ max / 2 + Δ min + Δ max cos ( t π / MaxIter )
X i , j t + 1 = X i , j t · ( 1 + Δ · Q ) , i f R 2 < S T X i , j t + L Q , i f R 2 S T
The incorporation of the weight factor not only strengthens the algorithm’s global exploration abilities but also adaptively modifies the equilibrium between global and local search strategies throughout the iterative process. Equation (20) is retained, and Equation (21) is modified to ensure that each sparrow approaches its follower in all dimensions, which is formulated as shown in Equation (24).
X i , j t + 1 = X b e s t t + β · ( X i , j t X b e s t t ) , i f f i > f g X b e s t t + β · ( X w o r s t t X b e s t t ) , i f f i = f g
The enhanced segment of the algorithm removes the more complex elements from the original method. If f i equals f g , the sparrow occupying the best position will relocate to a random point situated between the best and worst positions.
Throughout the allotted number of iterations, the positions of each individual are repeatedly updated in accordance with the previously mentioned formula. Consequently, a practical optimal solution is identified, fulfilling the objective of optimal planning. The progression of the MISSA is depicted in Figure 2.
Algorithm 1 gives the pseudo-code of MISSA 1.
Algorithm 1 Pseudo-code of MISSA
Require:
  • T: the maximum number of iterations
  • P D : the number of leaders
  • S D : the number of sparrows who perceive danger
  • R 2 : the alert threshold
  • n: the number of sparrows
  • Create a population of n sparrows and specify their associated attributes
  • Parameters
Ensure:  X b e s t , f g
     1:
while  ( t < T )   do
     2:
    Assess the fitness levels and identify the current highest-performing individual as well as the current lowest-performing individual
     3:
     R 2 = r a n d ( 1 )
     4:
    for do i = 1:PD
     5:
        Apply Equation (23) to modify the position of the sparrow;
     6:
    end for
     7:
    for do i = (PD + 1):n
     8:
        Apply Equation (21) to modify the position of the sparrow;
     9:
    end for
    10:
    fordo   l = 1:SD
    11:
        Apply Equation (24) to modify the position of the sparrow;
    12:
    end for
    13:
    Obtain the sparrow’s latest position.
    14:
    If the new position is superior to the previous one, replace it.
    15:
    t = t + 1
    16:
end while
    17:
return  X b e s t , f g

Comparative Proof of Test Functions

This section evaluates the effectiveness of the proposed MISSA. Ten benchmark functions from CEC2017 [33] are utilized to evaluate the MISSA’s performance. The experimental outcomes of the MISSA are contrasted with those of the Sparrow Search Algorithm (SSA), Particle Swarm Optimization (PSO) [34], Whale Optimization Algorithm (WOA) [35], Sooty Tern Optimization Algorithm (STOA) [36], Weight Sparrow Search Algorithm (WSSA) [37], and Improved Sparrow Search Algorithm (ISSA) [38]. Simultaneously, a comparison is made with the Crow Search Algorithm (CSA), Interior Search Algorithm (ISA), and Improved Whale Optimization Algorithm (IWOA) mentioned in the aforementioned literature [25,30,31], respectively. Table 1 lists the test functions from CEC2017, while Table 2 displays the average results of the MISSA when compared to the SSA, WSSA, and ISSA across the ten different benchmark functions. Convergence plots for the MISSA, SSA, WSSA, and ISSA are presented in Figure 3 and Figure 4. The right side of each figure shows the function landscape views of F 1 ( x ) and F 9 ( x ) from CEC2017, respectively.
Table 2 illustrates that the MISSA outperforms in most of the test functions, achieving smaller function values. Figure 3 and Figure 4 depict that the MISSA significantly enhances the convergence rate and accuracy compared to the SSA, WSSA, and ISSA. Based on Table 2, it can be observed that the MISSA exhibits superior optimization capabilities compared to the original algorithm and the other improved SSA in the CEC2017 test functions, and its optimization capabilities are significantly better than those of other algorithms in most cases. Figure 3 and Figure 4 demonstrate that the MISSA has the fastest optimization speed in the CEC2017 test functions, indicating that the MISSA has the fastest convergence rate.
Table 3 presents the test results of the MISSA compared with PSO, the WOA, and the STOA, while Figure 5 and Figure 6 illustrate the convergence comparison plots during the iterative process.
Table 3 indicates that the MISSA outperforms the other algorithms in optimizing the functions F 1 ( x ) , F 2 ( x ) , F 3 ( x ) , F 4 ( x ) , F 7 ( x ) , F 9 ( x ) , and F 11 ( x ) . Therefore, it can be concluded that the MISSA exhibits superior optimization capabilities compared to PSO, the STOA, and the WOA in the CEC2017 test functions. Consequently, the MISSA demonstrates a significant advantage in optimization capabilities over other algorithms in the CEC2017 test functions. This evidence proves the superiority of the MISSA over other algorithms and justifies its application in the microgrid model proposed in this paper.
Additionally, the iterative comparative analysis of the CEC2017 test functions as depicted in Figure 5 and Figure 6 clearly reveals the performance disparities among different algorithms. Specifically, the MISSA exhibits a superior convergence speed in the test functions, rapidly identifying the optimal solution, and also excels in achieving high-precision solutions, outperforming other algorithms. Conversely, PSO and the STOA tend to converge to local optima, struggling to conduct an effective global search.
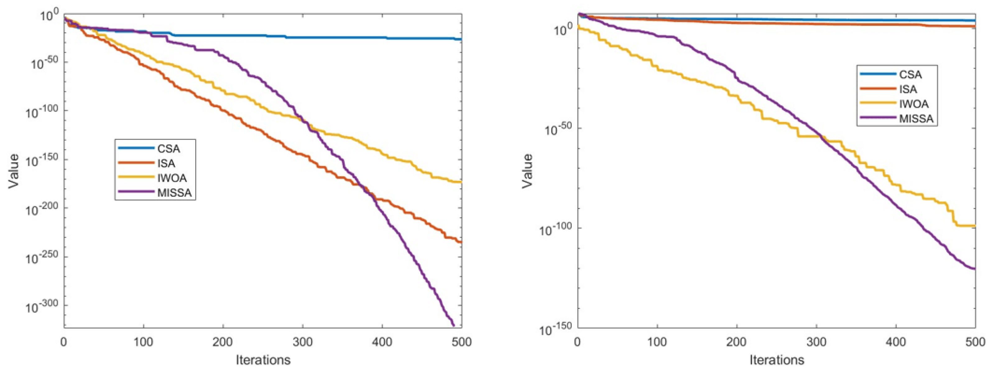
Table 4 presents the test results of the MISSA compared with the CSA, ISA, and IWOA, while Figure 7 illustrate the convergence comparison plots during the iterative process.
According to Table 4 and Figure 7, it is still evident that the MISSA has an advantage on the CEC2017 test functions. Compared to the other algorithms, it is capable of finding the smallest optimal values with the highest accuracy. Additionally, its convergence speed is significantly faster than that of the other algorithms.
Therefore, it can be concluded that the MISSA performs exceptionally well across all categories of the CEC2017 test functions, outperforming other compared algorithms in terms of convergence speed, convergence accuracy, and algorithmic stability. This comprehensive superiority demonstrates the outstanding performance and efficiency of the MISSA in solving optimization problems, while also proving that the MISSA converges quickly, finds results with high precision, and exhibits stable convergence.
Although the MISSA has shown significant improvements compared to other algorithms overall, it can be observed from the modification formula that our improvement method changes the leap of the sparrow search to movement. Therefore, the MISSA may fall into local optima in some cases and fail to find better values.

5. Analysis of Microgrid Instances

The focus of this study is on a grid-tied microgrid system, where the challenge of optimal system operation is addressed and investigated through the application of the MISSA. Within the microgrid architecture explored in this paper, the microgrid is interfaced with the main power grid, incorporating renewable energy resources such as photovoltaic (PV) and wind turbine (WT) systems. The microgrid incorporates distributed and controllable energy generation sources like fuel cells (FCs) and micro-turbines (MTs), while the energy storage component is denoted by the energy storage system (ESS), which caters to the energy needs of 29 residential consumers.

5.1. Relevant Parameters

Utilizing the dataset from reference [39], and consistent with the previously outlined mathematical framework, data on the 24 h unregulated electrical load for an average summer day in a given location [40] were extracted, along with corresponding power output data. All computational analyses for this research were performed utilizing MATLAB software, and the version used is R2022a.
The pricing for electricity procurement and sale by the microgrid at various times is tabulated in Table 5. The characteristics of each distributed energy resource are listed in Table 6, and the expenses associated with pollutant emissions are itemized in Table 7. Based on the time-of-use electricity tariffs and the data in Figure 5, the peak demand periods are identified as 11:00 to 16:00 and 18:00 to 21:00; the standard demand periods are from 07:00 to 10:00, 16:00 to 18:00, and 21:00 to 24:00; and the off-peak demand periods are from 00:00 to 07:00.
Table 5 illustrates that the time-of-use electricity prices for purchasing and selling electricity between the grid-connected microgrid and the large grid exhibit distinct temporal characteristics. The day is divided into three different pricing periods: peak hours, off-peak hours, and normal hours, each with varying electricity prices. During peak hours, the electricity price is the highest; during off-peak hours, the price is the lowest; and during normal hours, the price is at a moderate level. Time-of-use pricing encourages users to consume more electricity during lower-priced periods, which helps to optimize the load distribution of the power system and enhance the operational efficiency and economic benefits of the grid.
The parameters listed in Table 5 play a decisive role in the design and operation of the microgrid. To meet the specific needs of the microgrid and adapt to different application environments, it is necessary to select appropriate distributed energy resources and energy storage solutions. In actual operation, dynamic adjustments should be made to the operation modes and power output of the devices within the microgrid based on real-time energy demand and market transaction conditions in order to achieve the best balance between economic benefits and system reliability.
The accuracy and suitability of the microgrid pollutant emission coefficients and corresponding abatement cost parameters listed in Table 6 are crucial for evaluating the microgrid’s environmental impact and taking environmental protection actions. Pollutant emission coefficients can accurately indicate the types and quantities of pollutants generated during the operation of micro-turbines (MTs), providing key data support for environmental protection and aiding in the more effective management and reduction in environmental pollution.

5.2. Analysis of Demand Response Results

From Figure 8 and Table 8, it can be observed that in the scenario where carbon emissions are not restricted in microgrid operation, the overall operating cost of the microgrid is lower. However, due to a higher volume of purchased traded electricity, carbon emissions are higher, resulting in the highest pollution emission cost. Furthermore, due to the imposed restrictions on carbon emissions in the microgrid, the overall cost increases with the proportion of carbon emission restrictions.
Carbon trading is a market mechanism aimed at reducing greenhouse gas emissions. Imposing limits on the emission of greenhouse gases on organizations or nations encourages them to take measures to reduce emissions. This paper, through the imposition of carbon emission quotas, establishes four different carbon emission limitation conditions. Among them, Scheme 1 Figure 9a imposes no limitations on carbon emissions, Scheme 2 Figure 9b limits carbon emissions by 5% of the total, Scheme 3 Figure 9c limits carbon emissions by 10% of the total, and Scheme 4 Figure 9d limits carbon emissions by 15% of the total.
Scheme 1 exhibits the lowest overall cost, but it involves the highest level of interaction with the large grid, resulting in the highest pollution emissions. While scheme 1 maximizes the economic efficiency of the microgrid, it does so at the expense of environmental considerations. Schemes 2, 3, and 4 all experience an increase in overall cost compared to scheme 1. While scheme 4 minimizes the interaction between the microgrid and the large grid, it comes with a significant increase in overall cost.
Therefore, by considering both the overall cost, pollution emissions, and the interaction between the microgrid and the large grid, scheme 3 strikes a balance between improving the economic and environmental aspects of the microgrid while maintaining a reasonable level of interaction with the large grid. This makes it the optimal operating plan for microgrid operation. Thus, with the carbon trading mechanism, it is feasible to implement optimization scheduling methods that effectively control carbon emissions in microgrids.

5.3. Analysis of Optimization Results

From 21:00 to 24:00, the load demand begins to decrease, leading to a reduction in the output power of the micro-gas turbine, hydrogen fuel cell, and batteries. Operating the microgrid within a 10% carbon emission limit: Figure 8 illustrates that between midnight and 7:00 a.m., the microgrid system experiences a decrease in overall load demand. During this interval, the cost of purchasing electricity from the primary grid is lower compared to the cost of electricity generated by non-renewable distributed generation sources. It is, therefore, advantageous to acquire electricity from the primary grid to satisfy the load demand while concurrently recharging the batteries.
From 7:00 to 10:00 a.m., which is a standard usage period, the tariffs for buying and selling electricity to and from the primary grid are not substantially different from the cost of electricity produced by non-renewable distributed generation sources.
Between 10:00 a.m. and 4:00 p.m., the load demand keeps increasing, reaching its peak concurrent with the primary grid’s high-demand hours. At this juncture, photovoltaic power generation hits its peak output, but the batteries start to discharge to meet the heightened demand.
From 4:00 to 6:00 p.m., the primary grid transitions to a moderate usage phase, and the output of photovoltaic power generation begins to diminish.
From 6:00 to 9:00 p.m., during the apex of daily electricity consumption, photovoltaic power generation is largely inactive. As a result, the micro-turbine, fuel cells, and batteries are all operated at elevated power settings.
Between 9:00 p.m. and midnight, the load demand decreases, causing the output power of the micro-turbine, fuel cells, and batteries to decrease accordingly.
To validate the effectiveness of the MISSA, 20 iterations of the MISSA were conducted and compared with 20 iterations of the SSA, PSO, the STOA, and the WOA. The results were averaged for each algorithm. The best fitness curve obtained from 20 runs of the MISSA is shown in Figure 10, while the worst fitness curve is depicted in Figure 11. Table 9 presents the fitness values for the worst, best, and average objective functions obtained after running each algorithm 20 times.
Based on Figure 10 and Figure 11, it is clear that the MISSA exhibits the fastest convergence speed among the algorithms tested for the optimal problem established in the microgrid model. In both the best and worst iteration operations, the optimal values found by the MISSA were significantly lower than those of the other algorithms. Moreover, the MISSA was generally able to quickly identify the optimal cost, indicating its superiority in tackling the microgrid’s optimal operation problem.
Observations from Table 9 indicate that the worst and best costs achieved by the MISSA are lower compared to the other algorithms. The average costs computed by the MISSA are reduced by 5.25%, 6.07%, 6.19%, and 4.42% in comparison to the SSA, PSO, WOA, and STOA, respectively. These results suggest that the proposed MISSA used in this study is capable of reducing the operational costs of the microgrid, effectively solving the optimal operation planning problem for this microgrid.

6. Conclusions

As electricity demand continues to rise, traditional large-scale power grids sometimes struggle to fully meet user needs. Microgrids, as distributed energy systems composed of renewable energy sources, can effectively alleviate this pressure. In this paper, we propose a grid-connected microgrid model that integrates wind turbines (WTs), photovoltaics (PV), micro-turbines (MTs), fuel cells (FCs), and an energy storage system (ESS), with batteries ensuring system symmetry. After construction of an optimization model for the microgrid, focusing on minimizing carbon emission constraints and operational costs, the simulation experiments yielded the following conclusions:
  • To address complex optimization problems, a multi-strategy integrated sparrow search algorithm (MISSA) metaheuristic is proposed. To validate the algorithm’s effectiveness and superiority, a comparative analysis was conducted from multiple perspectives. Initially, the modified algorithm was compared with the original algorithm’s formulation to analyze its theoretical advantages. Subsequently, to fairly assess the performance of different algorithms, a set of standard test functions, CEC2017, was used to compare the improved algorithm in terms of its ability to find optimal values, stability, and convergence speed, which are all shown to be superior to other compared algorithms, thus verifying the effectiveness of the algorithmic improvements.
  • For solving the optimization problem of a single microgrid system, a strategy considering carbon emission constraints is proposed. In the context of grid-connected operation of the microgrid with the main grid, a comprehensive optimization function is established with the goal of reducing operational costs by considering fuel expenses, operational and maintenance expenditures, and the costs of electricity exchange between the microgrid and the main grid. Through the simulation of the microgrid optimization model using the multi-strategy integrated sparrow search algorithm, the optimization results indicate that within a carbon trading scheme, complex scheduling techniques can effectively manage the microgrid’s carbon emissions, thereby enhancing its environmental sustainability. Additionally, choosing a metaheuristic algorithm closely matched to the microgrid’s characteristics can significantly reduce operational costs. The MISSA outperforms other algorithms, exhibiting lower maximum and minimum costs. On average, the MISSA calculates costs that are 5.25%, 6.07%, 6.19%, and 4.42% lower than the SSA, PSO, WOA, and STOA, respectively.
Although this study provides a preliminary analysis of the optimization scheduling of microgrids and their clusters, and some results have been achieved, there is still much room for improvement. Future work can expand and strengthen existing research from several perspectives: decisions should be made based on specific application scenarios and requirements when selecting and adjusting metaheuristic algorithms to solve microgrid problems. Furthermore, this study focuses on the optimal operation strategy for a single microgrid with the lowest operational cost as the target. Future research can explore more optimization objectives, such as balancing the lowest cost with minimized carbon emissions by considering environmental factors or optimizing while ensuring power supply security and reliability. This means that in addition to economic efficiency, future research can also consider the environmental impact of microgrids and how to reduce the burden on the environment while ensuring power supply. At the same time, research can be extended to include long-term planning of microgrids, equipment upgrades, market mechanisms, and policy support, among other aspects, to achieve sustainable development and multi-objective optimization of microgrid systems.

Author Contributions

Conceptualization, Y.Z.; methodology, Y.Z. and S.Y.; software, Y.Z.; validation, Y.Z., S.L. and Z.Z.; formal analysis, Y.Z., S.Y. and S.L.; writing—original draft preparation, Y.Z.; writing—review and editing, Y.Z.; visualization, Y.Z.; supervision, S.Z. and Z.Z.; project administration, Z.Z. and S.Z.; funding acquisition Z.Z. All authors have read and agreed to the published version of the manuscript.

Funding

This research was funded by the National Natural Science Foundation of China (52105325), the Key-Area Research and Development Program of Huizhou City (2022BQ010001), the Natural Science Foundation of Guangdong Province, China (Grant Nos. 2023A1515011700, 2023A1515012758) and the GDAS’ Project of Science and Technology Development (Grant No. 2022GDASZH-2022010108).

Data Availability Statement

Data are contained within the article.

Conflicts of Interest

The authors declare no conflicts of interest.

References

  1. Li, X.; Fang, L. Research on economic dispatch of large power grid based on granular computing. In Proceedings of the 2016 IEEE PES Asia-Pacific Power and Energy Engineering Conference (APPEEC), Xi’an, China, 25–28 October 2016; IEEE: Piscataway, NJ, USA, 2016; pp. 1130–1133. [Google Scholar] [CrossRef]
  2. Qin, X.; Su, L.; Jiang, Y.; Zhou, Q.; Chen, J.; Xu, X.; Chi, Y.; An, N. Study on inertia support capability and its impact in large scale power grid with increasing penetration of renewable energy sources. In Proceedings of the 2018 International Conference on Power System Technology (POWERCON), Guangzhou, China, 6–8 November 2018; IEEE: Piscataway, NJ, USA, 2018; pp. 1018–1024. [Google Scholar] [CrossRef]
  3. Liu, L.; Wei, K.; Ge, X. GIC in Future Large-Scale Power Grids: An analysis of the problem. IEEE Electrif. Mag. 2015, 3, 52–59. [Google Scholar] [CrossRef]
  4. Du, W.; Tuffner, F.K.; Schneider, K.P.; Lasseter, R.H.; Xie, J.; Chen, Z.; Bhattarai, B. Modeling of grid-forming and grid-following inverters for dynamic simulation of large-scale distribution systems. Atmosphere 2021, 12, 1086. [Google Scholar] [CrossRef]
  5. Maciejczyk, P.; Chen, L.; Thurston, G. The role of fossil fuel combustion metals in PM2. 5 air pollution health associations. IEEE Trans. Power Deliv. 2020, 36, 2035–2045. [Google Scholar] [CrossRef]
  6. Perera, F. Pollution from fossil-fuel combustion is the leading environmental threat to global pediatric health and equity: Solutions exist. Int. J. Environ. Res. Public Health 2018, 15, 16. [Google Scholar] [CrossRef]
  7. Perera, F. Multiple threats to child health from fossil fuel combustion: Impacts of air pollution and climate change. Environ. Health Perspect. 2017, 125, 141–148. [Google Scholar] [CrossRef] [PubMed]
  8. Fu, X.; Sun, J.; Huang, M.; Tian, Z.; Yan, H.; Iu, H.H.; Hu, P.; Zha, X. Large-signal stability of grid-forming and grid-following controls in voltage source converter: A comparative study. IEEE Trans. Power Electron. 2020, 36, 7832–7840. [Google Scholar] [CrossRef]
  9. Zhang, Y.; Jin, L.; Wang, Y.; Liu, H. The Exploration and Application Research of Emerging Technologies in Operation and Maintenance of Large Power Grid Enterprises. In Proceedings of the IOP Conference Series: Materials Science and Engineering, Beijing, China, 11–13 May 2019; IOP Publishing: Bristol, UK, 2019; p. 055090. [Google Scholar] [CrossRef]
  10. Ghasemi, A.; Enayatzare, M. Optimal energy management of a renewable-based isolated microgrid with pumped-storage unit and demand response. Renew. Energy 2018, 123, 460–474. [Google Scholar] [CrossRef]
  11. Zia, M.F.; Elbouchikhi, E.; Benbouzid, M. Microgrids energy management systems: A critical review on methods, solutions, and prospects. Appl. Energy 2018, 222, 1033–1055. [Google Scholar] [CrossRef]
  12. Mengelkamp, E.; Gärttner, J.; Rock, K.; Kessler, S.; Orsini, L.; Weinhardt, C. Designing microgrid energy markets: A case study: The Brooklyn Microgrid. Appl. Energy 2018, 210, 870–880. [Google Scholar] [CrossRef]
  13. Kaur, A.; Kaushal, J.; Basak, P. A review on microgrid central controller. Renew. Sustain. Energy Rev. 2016, 55, 338–345. [Google Scholar] [CrossRef]
  14. Wan, X.; Lian, H.; Ding, X.; Peng, J.; Wu, Y.; Li, X. Hierarchical multiobjective dispatching strategy for the microgrid system using modified MOEA/D. Complexity 2020, 2020, 472580. [Google Scholar] [CrossRef]
  15. Tian, L.; Cheng, L.; Guo, J.; Wu, K. System modeling and optimal dispatching of multi-energy microgrid with energy storage. J. Mod. Power Syst. Clean Energy 2020, 8, 809–819. [Google Scholar] [CrossRef]
  16. Jiang, H.; Ning, S.; Ge, Q. Multi-objective optimal dispatching of microgrid with large-scale electric vehicles. IEEE Access 2019, 1, 145880–145888. [Google Scholar] [CrossRef]
  17. Hosseini, S.M.; Carli, R.; Dotoli, M. Robust optimal energy management of a residential microgrid under uncertainties on demand and renewable power generation. IEEE Trans. Autom. Sci. Eng. 2020, 18, 618–637. [Google Scholar] [CrossRef]
  18. Muhtadi, A.; Pandit, D.; Nguyen, N.; Mitra, J. Distributed energy resources based microgrid: Review of architecture, control, and reliability. IEEE Trans. Ind. Appl. 2021, 57, 2223–2235. [Google Scholar] [CrossRef]
  19. Al-Ismail, F.S. DC microgrid planning, operation, and control: A comprehensive review. IEEE Access 2021, 9, 36154–36172. [Google Scholar] [CrossRef]
  20. Ali, S.; Zheng, Z.; Aillerie, M.; Sawicki, J.; Pera, M.; Hissel, D. A review of DC Microgrid energy management systems dedicated to residential applications. Energies 2021, 14, 4308. [Google Scholar] [CrossRef]
  21. Akinyele, D.; Olabode, E.; Amole, A. Review of fuel cell technologies and applications for sustainable microgrid systems. Inventions 2020, 5, 42. [Google Scholar] [CrossRef]
  22. Beheshtaein, S.; Cuzner, R.M.; Forouzesh, M.; Savaghebi, M.; Guerrero, J.M. DC microgrid protection: A comprehensive review. IEEE J. Emerg. Sel. Top. Power Electron. 2019, 1, 1. [Google Scholar] [CrossRef]
  23. Yang, S.; Guo, N.; Zhang, S.M. Economic optimization of microgrid with demand response under source-load uncertainty. Energy Sources Part Econ. Plan. Policy 2023, 18, 2280591. [Google Scholar] [CrossRef]
  24. Wang, P.; Zhang, Y.; Yang, H. Research on Economic Optimization of Microgrid Cluster Based on Chaos Sparrow Search Algorithm. Comput. Intell. Neurosci. 2021, 1, 5556780. [Google Scholar] [CrossRef] [PubMed]
  25. Dou, C.; Zhou, X.; Zhang, T.; Xu, S. Economic Optimization Dispatching Strategy of Microgrid for Promoting Photoelectric Consumption Considering Cogeneration and Demand Response. Mod. Power Syst. Clean Energy 2020, 8, 557–563. [Google Scholar] [CrossRef]
  26. Nagarajan, K.; Rajagopalan, A.; Angalaeswari, S.; Natrayan, L.; Mammo, W.D. Combined Economic Emission Dispatch of Microgrid with the Incorporation of Renewable Energy Sources Using Improved Mayfly Optimization Algorithm. Comput. Intell. Neurosci. 2022, 1, 6461690. [Google Scholar] [CrossRef] [PubMed]
  27. Faraji, J.; Hamed, H.; Abbas, K. Optimal probabilistic scenario-based operation and scheduling of prosumer microgrids considering uncertainties of renewable energy sources. Energy Sci. Eng. 2020, 8, 3942–3960. [Google Scholar] [CrossRef]
  28. Utkarsh, k.; Srinivasan, D.; Trivedi, A.; Zhang, W.; Reindl, T. Distributed Model-Predictive Real-Time Optimal Operation of a Network of Smart Microgrids. IEEE Trans. Smart Grid 2019, 10, 2833–2845. [Google Scholar] [CrossRef]
  29. Raghav, L.P.; Rangu, S.K.; Raju, D.K.; Dhenuvakonda, K.R.; Singh, A. Optimal energy management of microgrids-integrated nonconvex distributed generating units with load dynamics. Int. J. Energy Res. 2021, 45, 18919. [Google Scholar] [CrossRef]
  30. Karthik, N.; Parvathy, A.K.; Arul, R.; Jayapragash, R.; Narayanan, S. Economic load dispatch in a microgrid using Interior Search Algorithm. In Proceedings of the 2019 Innovations in Power and Advanced Computing Technologies (i-PACT), Vellore, India, 22–23 March 2019; IEEE: Piscataway, NJ, USA, 2019; pp. 1–6. [Google Scholar] [CrossRef]
  31. Liu, Y.; Yang, S.; Li, D.; Zhang, S. Improved Whale Optimization Algorithm for Solving Microgrid Operations Planning Problems. Symmetry 2022, 15, 36. [Google Scholar] [CrossRef]
  32. Xue, J.; Shen, B. A novel swarm intelligence optimization approach: Sparrow search algorithm. Syst. Sci. Control Eng. 2020, 15, 22–34. [Google Scholar] [CrossRef]
  33. Wu, G.; Mallipeddi, R.; Suganthan, P.N. Problem Definitions and Evaluation Criteria for the CEC 2017 Competition on Constrained Real-Parameter Optimization; Technical Report; National University of Defense Technology: Changsha, China; Kyungpook National University: Daegu, Republic of Korea; Nanyang Technological University: Singapore, 2017. [Google Scholar]
  34. James, K.; Russell, E. Particle swarm optimization. In Proceedings of the ICNN’95—International Conference on Neural Networks, Perth, WA, Australia, 6 August 1995; IEEE: Piscataway, NJ, USA, 1995; pp. 1942–1948. [Google Scholar] [CrossRef]
  35. Seyedali, M.; Andrew, L. The whale optimization algorithm. Adv. Eng. Softw. 2016, 95, 51–67. [Google Scholar] [CrossRef]
  36. Gaurav, D.; Amandeep, K. STOA: A bio-inspired based optimization algorithm for industrial engineering problems. Eng. Appl. Artif. Intell. 2019, 82, 148–174. [Google Scholar] [CrossRef]
  37. Yue, X.; Ma, G.; Gao, X.; Lu, Y. A sparrow search algorithm with intelligent weight factors and mutation operators and applications to image classification. J. Intell. Fuzzy Syst. 2022, 43, 3627–3653. [Google Scholar] [CrossRef]
  38. Zhang, W.; Liu, S.; Ren, C. Mixed Strategy Improved Sparrow Search Algorithm. J. Comput. Eng. Appl. 2021, 57, 74. [Google Scholar] [CrossRef]
  39. Seel, J.; Mills, A.; Millstein, D.; Gorman, W.; Jeong, S. Solar-to-Grid Public Data File for Utility-scale (UPV) and Distributed Photovoltaics (DPV) Generation, Capacity Credit, and Value. 2020. Available online: https://data.openei.org/submissions/2881 (accessed on 30 November 2022).
  40. Thibedeau, J. July 2014 Green Machine Florida Canyon Hourly Data. 2014. Available online: https://gdr.openei.org/submissions/431 (accessed on 30 November 2022).
Figure 1. A typical structure of a grid-connected microgrid.
Figure 1. A typical structure of a grid-connected microgrid.
Symmetry 16 00388 g001
Figure 2. Flow chart of MISSA.
Figure 2. Flow chart of MISSA.
Symmetry 16 00388 g002
Figure 3. The evaluated experimental results of F 1 ( x ) .
Figure 3. The evaluated experimental results of F 1 ( x ) .
Symmetry 16 00388 g003
Figure 4. The evaluated experimental results of F 9 ( x ) .
Figure 4. The evaluated experimental results of F 9 ( x ) .
Symmetry 16 00388 g004
Figure 5. The evaluated experimental results of F 4 ( x ) .
Figure 5. The evaluated experimental results of F 4 ( x ) .
Symmetry 16 00388 g005
Figure 6. The evaluated experimental results of F 5 ( x ) .
Figure 6. The evaluated experimental results of F 5 ( x ) .
Symmetry 16 00388 g006
Figure 7. The evaluated experimental results of F 2 ( x ) and F 11 ( x ) .
Figure 7. The evaluated experimental results of F 2 ( x ) and F 11 ( x ) .
Symmetry 16 00388 g007
Figure 8. The load demand and the electricity generation from WT and PV.
Figure 8. The load demand and the electricity generation from WT and PV.
Symmetry 16 00388 g008
Figure 9. Output of a distributed power supply with 0%, 5%, 10%, and 15% carbon emission restriction.
Figure 9. Output of a distributed power supply with 0%, 5%, 10%, and 15% carbon emission restriction.
Symmetry 16 00388 g009
Figure 10. Utilizing the MISSA to control the best operating cost curve of microgrids.
Figure 10. Utilizing the MISSA to control the best operating cost curve of microgrids.
Symmetry 16 00388 g010
Figure 11. Utilizing the MISSA to control the worst operating cost curve of microgrids.
Figure 11. Utilizing the MISSA to control the worst operating cost curve of microgrids.
Symmetry 16 00388 g011
Table 1. The equation of the selected test function.
Table 1. The equation of the selected test function.
AlgorithmEquation
F 1 ( x ) x 2 + 10 6 i = 2 D x i 2
F 2 ( x ) i = 1 D x i i + 1
F 3 ( x ) i = 1 D x i 2 + ( i = 1 D 0.5 x i ) 2 + ( i = 1 D 0.5 x i ) 4
F 4 ( x ) i = 1 D 1 ( 100 ( x i 2 x i + 1 ) 2 + ( x i 1 2 ) )
F 5 ( x ) i = 1 D ( x i 2 10 cos ( 2 π x i ) + 10 )
F 7 ( x ) min ( i = 1 D ( x i ^ μ 0 ) 2 ) , d D + s i = 1 D ( x i ^ μ 1 ) 2 ) + 10 ( D i = 1 D cos ( 2 π z i ^ ) )
F 9 ( x ) sin 2 ( π w 1 ) + i = 1 D 1 ( w i 1 ) 2 ( 1 + 10 sin 2 ( π w i + 1 ) ) + ( w D 1 ) 2 ( 1 + sin 2 ( 2 π w D ) )
F 11 ( x ) i = 1 D ( 10 6 ) i 1 D 1 x i 2
Table 2. Comparison of average outcomes of the MISSA for eight selected testing functions with the SSA, WSSA, and ISSA.
Table 2. Comparison of average outcomes of the MISSA for eight selected testing functions with the SSA, WSSA, and ISSA.
AlgorithmsSSAWSSAISSAMISSA
F 1 ( x ) 3.19 × 10 73 5.41 × 10 75 1.15 × 10 86 6.36 × 10 156
F 2 ( x ) 7.25 × 10 215 5.66 × 10 224 4.77 × 10 225 8.10 × 10 325
F 3 ( x ) 4.33 × 10 87 9.15 × 10 56 6.83 × 10 35 2.97 × 10 144
F 4 ( x ) 5.65 × 10 3 1.55 × 10 4 3.64 × 10 4 7.37 × 10 6
F 5 ( x ) 2.79 × 10 12 6.31 × 10 12 3.14 × 10 11 6.54 × 10 13
F 7 ( x ) 3.66 × 10 2 3.33 × 10 2 2.44 × 10 2 5.24 × 10 4
F 9 ( x ) 9.15 × 10 9 8.41 × 10 9 5.84 × 10 9 2.34 × 10 11
F 11 ( x ) 5.11 × 10 79 4.36 × 10 22 1.93 × 10 49 3.33 × 10 139
Table 3. Comparison of average outcomes of the MISSA for eight selected testing functions with the PSO, the STOA, and the WOA.
Table 3. Comparison of average outcomes of the MISSA for eight selected testing functions with the PSO, the STOA, and the WOA.
AlgorithmsPSOSTOAWOAMISSA
F 1 ( x ) 5.69 × 10 3 6.94 × 10 2 1.11 × 10 83 6.36 × 10 156
F 2 ( x ) 7.92 × 10 170 8.33 × 10 109 7.63 × 10 310 8.10 × 10 325
F 3 ( x ) 2.95 × 10 4 7.91 × 10 4 1.15 × 10 123 2.97 × 10 144
F 4 ( x ) 2.44 × 10 3 9.34 × 10 3 2.36 × 10 1 7.37 × 10 6
F 5 ( x ) 3.91 × 10 2 2.65 × 10 2 1.91 × 10 13 6.54 × 10 13
F 7 ( x ) 4.22 × 10 0 7.36 × 10 0 9.64 × 10 2 5.24 × 10 4
F 9 ( x ) 9.31 × 10 2 9.11 × 10 2 4.65 × 10 2 2.34 × 10 11
F 11 ( x ) 6.15 × 10 6 4.83 × 10 6 9.71 × 10 106 3.33 × 10 139
Table 4. Comparison of average outcomes of the MISSA for eight selected testing functions with the CSA, ISA, and IWOA.
Table 4. Comparison of average outcomes of the MISSA for eight selected testing functions with the CSA, ISA, and IWOA.
AlgorithmsCSAISAIWOAMISSA
F 1 ( x ) 4.51 × 10 2 3.49 × 10 10 9.25 × 10 91 6.36 × 10 156
F 2 ( x ) 1.33 × 10 27 4.26 × 10 172 5.09 × 10 170 8.10 × 10 325
F 3 ( x ) 5.56 × 10 2 2.02 × 10 51 6.91 × 10 123 2.97 × 10 144
F 4 ( x ) 1.94 × 10 1 3.84 × 10 1 8.45 × 10 2 7.37 × 10 6
F 5 ( x ) 8.33 × 10 1 5.61 × 10 4 3.21 × 10 10 6.54 × 10 13
F 7 ( x ) 3.97 × 10 0 5.07 × 10 0 7.07 × 10 3 5.24 × 10 4
F 9 ( x ) 5.14 × 10 1 7.68 × 10 1 9.54 × 10 9 2.34 × 10 11
F 11 ( x ) 3.93 × 10 3 1.98 × 10 0 1.65 × 10 95 3.33 × 10 139
Table 5. Electricity market cost.
Table 5. Electricity market cost.
TypesPrice/[USD·(kWh)−1]
Peak PeriodThrough PeriodNormal Period
Buy0.840.210.42
Sell0.420.100.21
Table 6. Generation characteristics.
Table 6. Generation characteristics.
TypesMinimum
Power/(kW)
Maximum
Power/(kW)
Maintenance
Costs/(USD/kW)
Climb
Rates/(kW/min)
WT02000.036/
PV02000.036/
FC52500.2533
MT152800.8810
ESS−2002000.0085
LG−3003000.001/
Table 7. Pollutant emission factors.
Table 7. Pollutant emission factors.
Types of PollutantPollution Costs (USD/kg)Emission Factors of MT/(kg/kWh)
CO20.00410.184
SO20.8759.3 × 10−7
NOx1.256.19 × 10−4
CO0.1451.7 × 10−4
Table 8. Optimization results under different carbon emission restrictions.
Table 8. Optimization results under different carbon emission restrictions.
SchemesCost/(USD)Pollution
Cost/(USD)
Purchased
Electricity (kWh)
Scheme 12602.71231.291829.34
Scheme 22621.59208.331706.94
Scheme 32651.39189.321623.41
Scheme 42769.56182.931577.56
Table 9. Best, worst, and average costs.
Table 9. Best, worst, and average costs.
TypesCost (USD)
Best CostWorst CostAverage Cost
SSA2511.532581.682550.71
MISSA2339.942519.762423.41
PSO2550.562584.912570.83
WOA2563.452583.252573.29
STOA2486.142559.862530.46
Disclaimer/Publisher’s Note: The statements, opinions and data contained in all publications are solely those of the individual author(s) and contributor(s) and not of MDPI and/or the editor(s). MDPI and/or the editor(s) disclaim responsibility for any injury to people or property resulting from any ideas, methods, instructions or products referred to in the content.

Share and Cite

MDPI and ACS Style

Zhao, Y.; Yang, S.; Liu, S.; Zhang, S.; Zhong, Z. Optimal Economic Research of Microgrids Based on Multi-Strategy Integrated Sparrow Search Algorithm under Carbon Emission Constraints. Symmetry 2024, 16, 388. https://doi.org/10.3390/sym16040388

AMA Style

Zhao Y, Yang S, Liu S, Zhang S, Zhong Z. Optimal Economic Research of Microgrids Based on Multi-Strategy Integrated Sparrow Search Algorithm under Carbon Emission Constraints. Symmetry. 2024; 16(4):388. https://doi.org/10.3390/sym16040388

Chicago/Turabian Style

Zhao, Yuhao, Sen Yang, Songlin Liu, Shouming Zhang, and Zhenyu Zhong. 2024. "Optimal Economic Research of Microgrids Based on Multi-Strategy Integrated Sparrow Search Algorithm under Carbon Emission Constraints" Symmetry 16, no. 4: 388. https://doi.org/10.3390/sym16040388

APA Style

Zhao, Y., Yang, S., Liu, S., Zhang, S., & Zhong, Z. (2024). Optimal Economic Research of Microgrids Based on Multi-Strategy Integrated Sparrow Search Algorithm under Carbon Emission Constraints. Symmetry, 16(4), 388. https://doi.org/10.3390/sym16040388

Note that from the first issue of 2016, this journal uses article numbers instead of page numbers. See further details here.

Article Metrics

Back to TopTop