Charged Lepton-Flavour Violation
Abstract
1. Introduction
2. Experiments and Experimental Techniques
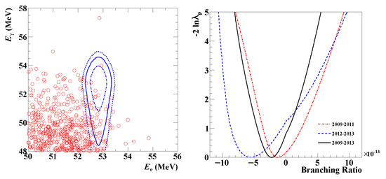
2.1. MEG and MEG II
2.2. SINDRUM and Mu3e
2.3. SINDRUM II and Future Experiments
2.4. The B-Factories and Belle II
2.5. LHCb
2.6. ATLAS and CMS
3. Lepton-Flavour Violation in Purely Leptonic Decays
3.1. Muon Decays
3.1.1.
3.1.2.
3.1.3.

3.2. Tau Decays
3.2.1.
3.2.2.
4. Lepton-Flavour Violation in Hadron Decays
4.1. Lepton-Flavour Violating b-Hadron Decays
4.1.1. Final States Including Light Leptons
4.1.2. Final States Including Leptons
4.2. Lepton-Flavour Violating c-Hadron Decays
4.3. Kaon Decays
5. Lepton-Flavour Violation in Electroweak Boson Decays
5.1. Decays
5.2. Decays
6. Summary and Conclusions
| Process | Limit | CL | Experiment | Ref. |
|---|---|---|---|---|
| 90% | MEG | [31] | ||
| 90% | SINDRUM | [15] | ||
| 90% | SINDRUM II | [44] | ||
| 90% | SINDRUM II | [45] | ||
| 90% | SINDRUM II | [16] | ||
| 90% | BaBar | [53] | ||
| 90% | Belle | [54] | ||
| 90% | Belle | [59] | ||
| 90% | Belle | [59] | ||
| 90% | Belle | [59] | ||
| 90% | Belle | [59] | ||
| 90% | Belle | [59] | ||
| 90% | Belle | [59] | ||
| 90% | LHCb | [70] | ||
| 90% | LHCb | [70] | ||
| 90% | LHCb | [71] | ||
| 90% | LHCb | [71] | ||
| 90% | LHCb | [71] | ||
| 90% | LHCb | [72] | ||
| 90% | LHCb | [72] | ||
| 90% | LHCb | [76] | ||
| 90% | LHCb | [76] | ||
| 90% | Belle | [78] | ||
| 90% | LHCb | [79] | ||
| 90% | LHCb | [79] | ||
| 90% | LHCb | [82] | ||
| 90% | LHCb | [83] | ||
| 90% | LHCb | [83] | ||
| 90% | LHCb | [83] | ||
| 90% | LHCb | [83] | ||
| 90% | BNL | [27] | ||
| 90% | KTeV | [28] | ||
| 90% | KTeV | [86] | ||
| 90% | KTeV | [86] | ||
| 90% | NA62 | [87] | ||
| 95% | ATLAS | [89] | ||
| 95% | ATLAS | [91] | ||
| 95% | ATLAS | [91] | ||
| 95% | ATLAS | [92] | ||
| 95% | ATLAS | [94] | ||
| 95% | CMS | [93] |
Author Contributions
Funding
Acknowledgments
Conflicts of Interest
References
- Fukuda, Y.; Hayakawa, T.; Ichihara, E.; Inoue, K.; Ishihara, K.; Ishino, H.; Itow, Y.; Kajita, T.; Kameda, J.; Kasuga, S.; et al. Evidence for oscillation of atmospheric neutrinos. Phys. Rev. Lett. 1998, 81, 1562–1567. [Google Scholar] [CrossRef]
- Ahmad, Q.R.; Allen, R.C.; Andersen, T.C.; Anglin, J.D.; Bühler, G.; Barton, J.C.; Beier, E.W.; Bercovitch, M.; Bigu, J.; Biller, S.; et al. Measurement of the rate of νe+d→p+p+e− interactions produced by 8B solar neutrinos at the Sudbury Neutrino Observatory. Phys. Rev. Lett. 2001, 87, 071301. [Google Scholar] [CrossRef] [PubMed]
- Petcov, S.T. The Processes μ→e+γ,μ→e+,ν′→ν+γ in the Weinberg-Salam Model with Neutrino Mixing. Sov. J. Nucl. Phys. 1977, 25, 340. [Google Scholar]
- Bilenky, S.M.; Petcov, S.T.; Pontecorvo, B. Lepton Mixing, μ→eγ Decay and Neutrino Oscillations. Phys. Lett. B 1977, 67, 309. [Google Scholar] [CrossRef]
- Marciano, W.J.; Sanda, A.I. Exotic Decays of the Muon and Heavy Leptons in Gauge Theories. Phys. Lett. B 1977, 67, 303–305. [Google Scholar] [CrossRef]
- Lee, B.W.; Pakvasa, S.; Shrock, R.E.; Sugawara, H. Muon and Electron Number Nonconservation in a V-A Gauge Model. Phys. Rev. Lett. 1977, 38, 937. [Google Scholar] [CrossRef]
- Lee, B.W.; Shrock, R.E. Natural Suppression of Symmetry Violation in Gauge Theories: Muon—Lepton and Electron Lepton Number Nonconservation. Phys. Rev. D 1977, 16, 1444. [Google Scholar] [CrossRef]
- Ardu, M.; Pezzullo, G. Introduction to Charged Lepton Flavor Violation. Universe 2022, 8, 299. [Google Scholar] [CrossRef]
- Calibbi, L.; Signorelli, G. Charged Lepton Flavour Violation: An Experimental and Theoretical Introduction. Riv. Nuovo Cim. 2018, 41, 71–174. [Google Scholar] [CrossRef]
- Bernstein, R.H.; Cooper, P.S. Charged Lepton Flavor Violation: An Experimenter’s Guide. Phys. Rept. 2013, 532, 27–64. [Google Scholar] [CrossRef]
- Hernandez Villanueva, M. Experimental review of Lepton Flavor Violation searches. In Proceedings of the 20th Conference on Flavor Physics and CP Violation, Oxford, MS, USA, 23–27 May 2022; Volume 8. [Google Scholar]
- Mihara, S.; Miller, J.P.; Paradisi, P.; Piredda, G. Charged Lepton Flavor-Violation Experiments. Ann. Rev. Nucl. Part. Sci. 2013, 63, 531–552. [Google Scholar] [CrossRef]
- Renga, F. Experimental searches for muon decays beyond the Standard Model. Rev. Phys. 2019, 4, 100029. [Google Scholar] [CrossRef]
- Adam, J.; Bai, X.; Baldini, A.M.; Baracchini, E.; Bemporad, C.; Boca, G.; Cattaneo, P.W.; Cavoto, G.; Cei, F.; Cerri, C.; et al. The MEG detector for μ+→e+γ decay search. Eur. Phys. J. C 2013, 73, 2365. [Google Scholar] [CrossRef]
- Bellgardt, U.; Otter, G.; Eichler, R.; Felawka, L.; Niebuhr, C.; Walter, H.K.; Bertl, W.; Lordong, N.; Martino, J.; Egli, S.; et al. Search for the Decay μ+→e+e+e−. Nucl. Phys. B 1988, 299, 1–6. [Google Scholar] [CrossRef]
- Bertl, W.H.; Engfer, R.; Hermes, E.A.; Kurz, G.; Kozlowski, T.; Kuth, J.; Otter, G.; Rosenbaum, F.; Ryskulov, N.M.; van der Schaaf, A.; et al. A Search for muon to electron conversion in muonic gold. Eur. Phys. J. C 2006, 47, 337–346. [Google Scholar] [CrossRef]
- Baldini, A.M.; Baracchini, E.; Bemporad, C.; Berg, F.; Biasotti, M.; Boca, G.; Cattaneo, P.W.; Cavoto, G.; Cei, F.; Chiappini, M.; et al. The design of the MEG II experiment. Eur. Phys. J. C 2018, 78, 380. [Google Scholar] [CrossRef]
- Arndt, K.; Augustin, H.; Baesso, P.; Berger, N.; Berg, F.; Betancourt, C.; Bortoletto, D.; Bravar, A.; Briggl, K.; vom Bruch, D.; et al. Technical design of the phase I Mu3e experiment. Nucl. Instrum. Meth. A 2021, 1014, 165679. [Google Scholar] [CrossRef]
- Bartoszek, L.; Barnes, E.; Miller, J.P.; Mott, J.; Palladino, A.; Quirk, J.; Roberts, B.L.; Crnkovic, J.; Polychronakos, V.; Tishchenko, V.; et al. Mu2e Technical Design Report. Technical Report FERMILAB-DESIGN-2014-01. arXiv 2014, arXiv:1501.05241. [Google Scholar] [CrossRef]
- Abramishvili, R.; Adamov, G.; Akhmetshin, R.R.; Allin, A.; Angélique, J.C.; Anishchik, V.; Aoki, M.; Aznabayev, D.; Bagaturia, I.; Ban, G.; et al. COMET Phase-I Technical Design Report. PTEP 2020, 2020, 033C01. [Google Scholar] [CrossRef]
- Teshima, N. Status of the DeeMe Experiment, an Experimental Search for μ-e Conversion at J-PARC MLF. PoS 2020, NuFact2019, 082. [Google Scholar] [CrossRef]
- Aubert, B.; Bazana, A.; Bouchama, A.; Boutignya, D.; De Bonisa, I.; Faviera, J.; Gaillarda, J.-M.; Jeremiea, A.; Karyotakisa, Y.; Le Flour, T.; et al. The BaBar detector. Nucl. Instrum. Meth. A 2002, 479, 1–116. [Google Scholar] [CrossRef]
- Abashian, A.; Gotowa, K.; Morgana, N.; Piilonena, L.; Schrenka, S.; Abeb, K.; Adachib, I.; Alexanderb, J.P.; Aokib, K.; Beharib, S.; et al. The Belle Detector. Nucl. Instrum. Meth. A 2002, 479, 117–232. [Google Scholar] [CrossRef]
- Alves, A.A., Jr.; Andrade Filho, L.M.; Barbosa, A.F.; Bediaga, I.; Cernicchiaro, G.; Guerrer, G.; Lima Jr, H.P.; Machado, A.A.; Magnin, J.; Marujo, F.; et al. The LHCb Detector at the LHC. JINST 2008, 3, S08005. [Google Scholar] [CrossRef]
- Abe, T.; Adachi, I.; Adamczyk, K.; Ahn, S.; Aihara, H.; Akai, K.; Aloi, M.; Andricek, L.; Aoki, K.; Arai, Y.; et al. Belle II Technical Design Report. arXiv 2010, arXiv:1011.0352. [Google Scholar]
- Aaij, R.; Abdelmotteleb, A.S.W.; Abellan Beteta, C.; Abudinén, F.; Achard, C.; Ackernley, T.; Adeva, B.; Adinolfi, M.; Adlarson, P.; Afsharnia, H.; et al. The LHCb upgrade I. arXiv 2023, arXiv:2305.10515. [Google Scholar]
- Ambrose, D.; Arroyo, C.; Bachman, M.; Connor, D.; Eckhause, M.; Graessle, S.; Hancock, A.D.; Hartman, K.; Hebert, M.; Hoff, C.H.; et al. New limit on muon and electron lepton number violation from →μ±e∓ decay. Phys. Rev. Lett. 1998, 81, 5734–5737. [Google Scholar] [CrossRef]
- Alavi-Harati, A.; Alexopoulos, T.; Arenton, M.; Arisaka, K.; Barbosa, R.F.; Barker, A.R.; Barrio, M.; Bellantoni, L.; Bellavance, A.; Blucher, E.; et al. Measurements of the Decay KL→e+e−μ+μ−. Phys. Rev. Lett. 2003, 90, 141801. [Google Scholar] [CrossRef] [PubMed]
- Aad, G.; Abat, E.; Abdallah, J.; Abdelalim, A.A.; Abdesselam, A.; Abdinov, O.; Abi, B.A.; Abolins, M.; Abramowicz, H.; Acerbi, E.; et al. The ATLAS Experiment at the CERN Large Hadron Collider. JINST 2008, 3, S08003. [Google Scholar] [CrossRef]
- Chatrchyan, S.; Hmayakyan1, G.; Khachatryan, V.; Sirunyan, A.M.; Adam, W.; Bauer, T.; Bergauer, T.; Bergauer, H.; Dragicevic, M.; Erö, J.; et al. The CMS Experiment at the CERN LHC. JINST 2008, 3, S08004. [Google Scholar] [CrossRef]
- Baldini, A.M.; Bao, Y.; Baracchini, E.; Bemporad, C.; Berg, F.; Biasotti, M.; Boca, G.; Cascella, M.; Cattaneo, P.W.; Cavoto, G.; et al. Search for the lepton flavour violating decay μ+→e+γ with the full dataset of the MEG experiment. Eur. Phys. J. C 2016, 76, 434. [Google Scholar] [CrossRef]
- Afanaciev, K.; Baldini, A.M.; Ban, S.; Baranov, V.; Benmansour, H.; Biasotti, M.; Boca, G.; Cattaneo, P.W.; Cavoto, G.; Cei, F.; et al. A search for μ+→e+γ with the first dataset of the MEG II experiment. Eur. Phys. J. C 2024, 84, 216. [Google Scholar] [CrossRef]
- Blondel, A.; Bravar, A.; Pohl, M.; Bachmann, S.; Berger, N.; Kiehn, M.; Schöning, A.; Wiedner, D.; Windelband, B.; Eckert, P.; et al. Research Proposal for an Experiment to Search for the Decay μ→eee. arXiv 2013, arXiv:1301.6113. [Google Scholar]
- Augustin, H.; Perić, I.; Schöning, A.; Weber, A. The MuPix sensor for the Mu3e experiment. Nucl. Instrum. Meth. A 2020, 979, 164441. [Google Scholar] [CrossRef]
- Aiba, M.; Amato, A.; Antognini, A.; Ban, S.; Berger, N.; Caminada, L.; Chislett, R.; Crivelli, P.; Crivellin, A.; Dal Maso, G.; et al. Science Case for the new High-Intensity Muon Beams HIMB at PSI. arXiv 2021, arXiv:2111.05788. [Google Scholar]
- Van der Schaaf, A. SINDRUM II. SciPost Phys. Proc. 2021, 5, 008. [Google Scholar] [CrossRef]
- Kou, E.; Urquijo, P.; Altmannshofer, W.; Beaujean, F.; Bell, G.; Beneke, M.; Bigi, I.I.; Bishara, F.; Blanke, M.; Bobeth, C.; et al. The Belle II Physics Book. PTEP 2019, 2019, 123C01. [Google Scholar] [CrossRef]
- Natochii, A.; Browder, T.E.; Cao, L.; Cautero, G.; Dreyer, S.; Frey, A.; Gabrielli, A.; Giuressi, D.; Ishibashi, T.; Jin, Y.; et al. Measured and projected beam backgrounds in the Belle II experiment at the SuperKEKB collider. Nucl. Instrum. Meth. A 2023, 1055, 168550. [Google Scholar] [CrossRef]
- Aaij, R.; Adeva, B.; Adinolfi, M.; Ajaltouni, Z.; Akar, S.; Albrecht, J.; Alessio, F.; Alexander, M.; Ali, S.; Alkhazov, G.; et al. Measurement of the b-quark production cross-section in 7 and 13 TeV pp collisions. Phys. Rev. Lett. 2017, 118, 052002. [Google Scholar] [CrossRef]
- Aaij, R.; Abellán Beteta, C.; Adeva, B.; Adinolfi, M.; Affolder, A.; Ajaltouni, Z.; Akar, S.; Albrecht, J.; Alessio, F.; Alexander, M.; et al. Measurements of prompt charm production cross-sections in pp collisions at = 13 TeV. JHEP 2016, 3, 159. [Google Scholar] [CrossRef]
- Framework TDR for the LHCb Upgrade II: Opportunities in Flavour Physics, and Beyond, in the HL-LHC Era. 2021. Technical Report CERN-LHCC-2021-012, LHCB-TDR-023. 2021. Available online: https://inspirehep.net/literature/2071542 (accessed on 1 February 2024).
- Snowmass White Paper Contribution: Physics with the Phase-2 ATLAS and CMS Detectors. ATLAS Public Note ATL-PHYS-PUB-2022-018. 2022. Available online: https://cds.cern.ch/record/2805993 (accessed on 1 February 2024).
- The Phase-2 Upgrade of the CMS Muon Detectors.Technical Report CERN-LHCC-2017-012, CMS-TDR-016, CERN, Geneva. 2017. Available online: https://cds.cern.ch/record/2283189 (accessed on 1 February 2024).
- Dohmen, C.; Groth, K.-D.; Heer, B.; Honecker, W.; Otter, G.; Steinrücken, B.; Wintz, P.; Djordjadze, V.; Hofmann, J.; Kozlowski, T.; et al. Test of lepton flavor conservation in μ→e conversion on titanium. Phys. Lett. B 1993, 317, 631–636. [Google Scholar] [CrossRef]
- Honecker, W.; Dohmen, C.; Haan, H.; Junker, D.; Otter, G.; Starlinger, M.; Wintz, P.; Hofmann, J.; Bertl, W.; Egger, J.; et al. Improved limit on the branching ratio of μ→e conversion on lead. Phys. Rev. Lett. 1996, 76, 200–203. [Google Scholar] [CrossRef]
- Raidal, M.; van der Schaaf, A.; Bigi, I.; Mangano, M.L.; Semertzidis, Y.; Abel, S.; Albino, S.; Antusch, S.; Arganda, E.; Bajc, B.; et al. Flavour physics of leptons and dipole moments. Eur. Phys. J. C 2008, 57, 13–182. [Google Scholar] [CrossRef]
- Arganda, E.; Herrero, M.J. Testing supersymmetry with lepton flavor violating τ and μ decays. Phys. Rev. D 2006, 73, 055003. [Google Scholar] [CrossRef]
- Calibbi, L.; Faccia, A.; Masiero, A.; Vempati, S.K. Lepton flavour violation from SUSY-GUTs: Where do we stand for MEG, PRISM/PRIME and a super flavour factory. Phys. Rev. D 2006, 74, 116002. [Google Scholar] [CrossRef]
- Aaij, R.; Abellán Beteta, C.; Adeva, B.; Adinolfi, M.; Adrover, C.; Affolder, A.; Ajaltouni, Z.; Albrecht, J.; Alessio, F.; Alexander, M.; et al. Searches for violation of lepton flavour and baryon number in tau lepton decays at LHCb. Phys. Lett. B 2013, 724, 36–45. [Google Scholar] [CrossRef]
- Banerjee, S.; Cirigliano, V.; Dam, M.; Deshpande, A.; Fiorini, L.; Fuyuto, K.; Gal, C.; Husek, T.; Mereghetti, E.; Monsálvez-Pozo, K.; et al. Snowmass 2021 White Paper: Charged lepton flavor violation in the tau sector. arXiv 2022, arXiv:2203.14919. [Google Scholar]
- Brignole, A.; Rossi, A. Anatomy and phenomenology of mu-tau lepton flavor violation in the MSSM. Nucl. Phys. B 2004, 701, 3–53. [Google Scholar] [CrossRef][Green Version]
- Ellis, J.R.; Hisano, J.; Raidal, M.; Shimizu, Y. A New parametrization of the seesaw mechanism and applications in supersymmetric models. Phys. Rev. D 2002, 66, 115013. [Google Scholar] [CrossRef]
- Aubert, B.; Karyotakis, Y.; Lees, J.P.; Poireau, V.; Prencipe, E.; Prudent, X.; Tisserand, V.; Garra Tico, J.; Grauges, E.; Martinelli, M.; et al. Searches for Lepton Flavor Violation in the Decays τ+→e+γ and τ+→μ+γ. Phys. Rev. Lett. 2010, 104, 021802. [Google Scholar] [CrossRef]
- Uno, K.; Hayasaka, K.; Inami, K.; Adachi, I.; Aihara, H.; Asner, D.M.; Atmacan, H.; Aushev, T.; Ayad, R.; Babu, V.; et al. Search for lepton-flavor-violating tau-lepton decays to ℓγ at Belle. JHEP 2021, 10, 19. [Google Scholar] [CrossRef]
- Bevan, A.J.; Golob, B.; Mannel, T.H.; Prell, S.; Yabsley, B.D.; Aihara, H.; Anulli, F.; Arnaud, N.; Aushev, T.; Beneke, M.; et al. The Physics of the B Factories. Eur. Phys. J. C 2014, 74, 3026. [Google Scholar] [CrossRef]
- Aggarwal, L.; Banerjee, S.; Bansal, S.; Bernlochner, F.; Bertemes, M.; Bhardwaj, V.; Bondar, A.; Browder, T.E.; Cao, L.; Campajola, M.; et al. Snowmass White Paper: Belle II physics reach and plans for the next decade and beyond. arXiv 2022, arXiv:2207.06307. [Google Scholar]
- Abada, A.; Abbrescia, M.; AbdusSalam, S.S.; Abdyukhanov, I.; Abelleira Fernandez, J.; Abramov, A.; Aburaia, M.; Acar, A.O.; Adzic, P.R.; Agrawal, P.; et al. FCC-ee: The Lepton Collider. Eur. Phys. J. Spec. Top. 2019, 228, 261–623. [Google Scholar] [CrossRef]
- Lees, J.P.; Poireau, V.; Prencipe, E.; Tisserand, V.; Garra Tico, J.; Grauges, E.; Martinelli, M.; Palano, A.; Pappagallo, M.; Eigen, G.; et al. Limits on tau Lepton-Flavor Violating Decays in three charged leptons. Phys. Rev. D 2010, 81, 111101. [Google Scholar] [CrossRef]
- Hayasaka, K.; Inami, K.; Miyazaki, Y.; Arinstein, K.; Aulchenko, V.; Aushev, T.; Bakich, A.M.; Bay, A.; Belous, K.; Bhardwaj, V.; et al. Search for Lepton Flavor Violating τ Decays into Three Leptons with 719 Million Produced τ+τ− Pairs. Phys. Lett. B 2010, 687, 139–143. [Google Scholar] [CrossRef]
- Aaij, R.; Adeva, B.; Adinolfi, M.; Affolder, A.; Ajaltouni, Z.; Akar, S.; Albrecht, J.; Alessio, F.; Alexander, M.; Ali, S.; et al. Search for the lepton flavour violating decay τ−→μ−μ+μ−. JHEP 2015, 2, 121. [Google Scholar] [CrossRef]
- Aad, G.; Abbott, B.; Abdallah, J.; Abdinov, O.; Aben, R.; Abolins, M.; AbouZeid, O.S.; Abramowicz, H.; Abreu, H.; Abreu, R.; et al. Probing lepton flavour violation via neutrinoless τ→3μ decays with the ATLAS detector. Eur. Phys. J. C 2016, 76, 232. [Google Scholar] [CrossRef]
- Hayrapetyan, A.; Tumasyan, A.; Adam, W.; Andrejkovic, J.W.; Bergauer, T.; Chatterjee, S.; Damanakis, K.; Dragicevic, M.; Hussain, P.S.; Jeitler, M.; et al. Search for the lepton flavor violating τ→ 3μ decay in proton-proton collisions at = 13 TeV. arXiv 2023, arXiv:2312.02371. [Google Scholar] [CrossRef]
- Bediaga, I.; Cruz Torres, M.; De Miranda, J.M.; Gomes, A.; Massafferri, A.; Molina Rodriguez, J.; dos Reis, A.C.; Soares Lavra, I.; Tourinho Jadallah Aoude, R.; Amato, S.; et al. Physics case for an LHCb Upgrade II - Opportunities in flavour physics, and beyond, in the HL-LHC era. arXiv 2018, arXiv:1808.08865v4. [Google Scholar] [CrossRef]
- Prospects for Lepton Flavour Violation Measurements in τ→3μ Decays with the ATLAS Detector at the HL-LHC. Technical Report ATL-PHYS-PUB-2018-032, CERN, Geneva. 2018. Available online: https://atlas.web.cern.ch/Atlas/GROUPS/PHYSICS/PUBNOTES/ATL-PHYS-PUB-2018-032 (accessed on 20 December 2023).
- Crivellin, A.; Hofer, L.; Matias, J.; Nierste, U.; Pokorski, S.; Rosiek, J. Lepton-flavour violating B decays in generic Z′ models. Phys. Rev. D 2015, 92, 054013. [Google Scholar] [CrossRef]
- Crivellin, A.; Müller, D.; Signer, A.; Ulrich, Y. Correlating lepton flavor universality violation in B decays with μ→eγ using leptoquarks. Phys. Rev. D 2018, 97, 015019. [Google Scholar] [CrossRef]
- de Medeiros Varzielas, I.; Hiller, G. Clues for flavor from rare lepton and quark decays. JHEP 2015, 6, 072. [Google Scholar] [CrossRef]
- Hiller, G.; Loose, D.; Schönwald, K. Leptoquark Flavor Patterns & B Decay Anomalies. JHEP 2016, 12, 027. [Google Scholar] [CrossRef]
- Hiller, G.; Loose, D.; Nišandžić, I. Flavorful leptoquarks at hadron colliders. Phys. Rev. D 2018, 97, 075004. [Google Scholar] [CrossRef]
- Aaij, R.; Adeva, B.; Adinolfi, M.; Ajaltouni, Z.; Akar, S.; Albrecht, J.; Alessio, F.; Alexander, M.; Alfonso Albero, A.; Ali, S.; et al. Search for the lepton-flavour violating decays →e±μ∓. JHEP 2018, 3, 078. [Google Scholar] [CrossRef]
- Aaij, R.; Abdelmotteleb, A.S.W.; Abellán Beteta, C.; Abudinén, F.; Ackernley, T.; Adeva, B.; Adinolfi, M.; Afsharnia, H.; Agapopoulou, C.; Aidala, C.A.; et al. Search for the lepton-flavour violating decays B0→ K*0μ±e∓ and →ϕμ±e∓. JHEP 2023, 6, 073. [Google Scholar] [CrossRef]
- Aaij, R.; Abellán Beteta, C.; Ackernley, T.; Adeva, B.; Adinolfi, M.; Aidala, C.A.; Ajaltouni, Z.; Akar, S.; Albicocco, P.; Albrecht, J.; et al. Search for Lepton-Flavor Violating Decays B+→K+μ±e∓. Phys. Rev. Lett. 2019, 123, 241802. [Google Scholar] [CrossRef] [PubMed]
- Aubert, B.; Barate, R.; Bona, M.; Boutigny, D.; Couderc, F.; Karyotakis, Y.; Lees, J.P.; Poireau, V.; Tisserand, V.; Zghiche, A.; et al. Measurements of branching fractions, rate asymmetries, and angular distributions in the rare decays B→Kℓ+ℓ− and B→K*ℓ+ℓ−. Phys. Rev. D 2006, 73, 092001. [Google Scholar] [CrossRef]
- Choudhury, S.; Sandilya, S.; Trabelsi, K.; Giri, A.; Aihara, H.; Al Said, S.; Asner, D.M.; Atmacan, H.; Aulchenko, V.; Aushev, T.; et al. Test of lepton flavor universality and search for lepton flavor violation in B→Kℓℓ decays. JHEP 2021, 3, 105. [Google Scholar] [CrossRef]
- Aubert, B.; Bona, M.; Boutigny, D.; Karyotakis, Y.; Lees, J.P.; Poireau, V.; Prudent, X.; Tisserand, V.; Zghiche, A.; Garra Tico, J.; et al. Search for the rare decay B→πl+l−. Phys. Rev. Lett. 2007, 99, 051801. [Google Scholar] [CrossRef]
- Aaij, R.; Abellán Beteta, C.; Adeva, B.; Adinolfi, M.; Aidala, C.A.; Ajaltouni, Z.; Akar, S.; Albicocco, P.; Albrecht, J.; Alessio, F.; et al. Search for the lepton-flavour-violating decays →τ±μ∓ and B0→τ±μ∓. Phys. Rev. Lett. 2019, 123, 211801. [Google Scholar] [CrossRef]
- Aubert, B.; Bona, M.; Karyotakis, Y.; Lees, J.P.; Poireau, V.; Prudent, X.; Tisserand, V.; Zghiche, A.; Garra Tico, J.; Grauges, E.; et al. Searches for the decays B0→ℓ±τ∓ and B+→ℓ+ν (l = e, μ) using hadronic tag reconstruction. Phys. Rev. D 2008, 77, 091104. [Google Scholar] [CrossRef]
- Atmacan, H.; Schwartz, A.J.; Kinoshita, K.; Adachi, I.; Adamczyk, K.; Aihara, H.; Al Said, S.; Asner, D.M.; Aulchenko, V.; Aushev, T.; et al. Search for B0→τ±ℓ∓ (ℓ=e,μ) with a hadronic tagging method at Belle. Phys. Rev. D 2021, 104, L091105. [Google Scholar] [CrossRef]
- Aaij, R.; Abdelmotteleb, A.S.W.; Abellán Beteta, C.; Abudinén, F.; Ackernley, T.; Adeva, B.; Adinolfi, M.; Afsharnia, H.; Agapopoulou, C.; Aidala, C.A.; et al. Search for the lepton-flavour violating decays B0→K*0τ±μ∓. JHEP 2023, 6, 143. [Google Scholar] [CrossRef]
- Aaij, R.; Abellán Beteta, C.; Ackernley, T.; Adeva, B.; Adinolfi, M.; Afsharnia, H.; Aidala, C.A.; Aiola, S.; Ajaltouni, Z.; Akar, S.; et al. Search for the lepton flavour violating decay B+→K+μ−τ+ using decays. JHEP 2020, 6, 129. [Google Scholar] [CrossRef]
- Lees, J.P.; Poireau, V.; Tisserand, V.; Garra Tico, J.; Grauges, E.; Milanes, D.A.; Palano, A.; Pappagallo, M.; Eigen, G.; Stugu, B.; et al. A search for the decay modes B±→h±τℓ. Phys. Rev. D 2012, 86, 012004. [Google Scholar] [CrossRef]
- Aaij, R.; Abellán Beteta, C.; Adeva, B.; Adinolfi, M.; Affolder, A.; Ajaltouni, Z.; Akar, S.; Albrecht, J.; Alessio, F.; Alexander, M.; et al. Search for the lepton-flavour violating decay D0→e±μ∓. Phys. Lett. B 2016, 754, 167–175. [Google Scholar] [CrossRef]
- Aaij, R.; Abellán Beteta, C.; Ackernley, T.; Adeva, B.; Adinolfi, M.; Afsharnia, H.; Aidala, C.A.; Aiola, S.; Ajaltouni, Z.; Akar, S.; et al. Searches for 25 rare and forbidden decays of D+ and mesons. JHEP 2021, 6, 044. [Google Scholar] [CrossRef]
- Lees, J.P.; Poireau, V.; Tisserand, V.; Grauges, E.; Palano, A.; Eigen, G.; Brown, D.N.; Kolomensky, Y.G.; Fritsch, M.; Koch, H.; et al. Search for lepton-flavor-violating decays D0→X0e±μ∓. Phys. Rev. D 2020, 101, 112003. [Google Scholar] [CrossRef]
- Lees, J.P.; Poireau, V.; Tisserand, V.; Grauges, E.; Palano, A.; Eigen, G.; Brown, D.N.; Kolomensky, Y.G.; Fritsch, M.; Koch, H.; et al. Search for Rare or Forbidden Decays of the D0 Meson. Phys. Rev. Lett. 2020, 124, 071802. [Google Scholar] [CrossRef] [PubMed]
- Abouzaid, E.; Arenton, M.; Barker, A.R.; Bellantoni, L.; Bellavance, A.; Blucher, E.; Bock, G.J.; Cheu, E.; Coleman, R.; Corcoran, M.D.; et al. Search for lepton flavor violating decays of the neutral kaon. Phys. Rev. Lett. 2008, 100, 131803. [Google Scholar] [CrossRef] [PubMed]
- Cortina Gil, E.; Kleimenova, A.; Minucci, E.; Padolski, S.; Petrov, P.; Shaikhiev, A.; Volpe, R.; Numao, T.; Petrov, Y.; Velghe, B.; et al. A search for the K+→μ−νe+e+ decay. Phys. Lett. B 2023, 838, 137679. [Google Scholar] [CrossRef]
- Cortina Gil, E.; Jerhot, J.; Lurkin, N.; Numao, T.; Velghe, B.; Wong, V.W.S.; Bryman, D.; Bician, L.; Hives, Z.; Husek, T.; et al. HIKE, High Intensity Kaon Experiments at the CERN SPS: Letter of Intent. arXiv 2022, arXiv:2211.16586. [Google Scholar] [CrossRef]
- Aad, G.; Abbott, B.; Abdallah, J.; Abdel Khalek, S.; Abdinov, O.; Aben, R.; Abi, B.; Abolins, M.; AbouZeid, O.S.; Abramowicz, H.; et al. Search for the lepton flavor violating decay Z→eμ in pp collisions at TeV with the ATLAS detector. Phys. Rev. D 2014, 90, 072010. [Google Scholar] [CrossRef]
- Aad, G.; Abbott, B.; Abbott, D.C.; Abed Abud, A.; Abeling, K.; Abhayasinghe, D.K.; Abidi, S.H.; Abou Zeid, O.S.; Abraham, N.L.; Abramowicz, H.; et al. Search for charged-lepton-flavour violation in Z-boson decays with the ATLAS detector. Nat. Phys. 2021, 17, 819–825. [Google Scholar] [CrossRef]
- Aad, G.; Abbott, B.; Abbott, D.C.; Abed Abud, A.; Abeling, K.; Abhayasinghe, D.K.; Abidi, S.H.; Abramowicz, H.; Abreu, H.; Abulaiti, Y.; et al. Search for lepton-flavor-violation in Z-boson decays with τ-leptons with the ATLAS detector. Phys. Rev. Lett. 2022, 127, 271801. [Google Scholar] [CrossRef] [PubMed]
- Aad, G.; Abbott, B.; Abbott, D.C.; Abed Abud, A.; Abeling, K.; Abhayasinghe, D.K.; Abidi, S.H.; Abou Zeid, O.S.; Abraham, N.L.; Abramowicz, H.; et al. Search for the Higgs boson decays H→ee and H→eμ in pp collisions at = 13 TeV with the ATLAS detector. Phys. Lett. B 2020, 801, 135148. [Google Scholar] [CrossRef]
- Sirunyan, A.M.; Tumasyan, A.; Adam, W.; Andrejkovic, J.W.; Bergauer, T.; Chatterjee, S.; Dragicevic, M.; Escalante Del Valle, A.; Frühwirth, R.; Jeitler, M.; et al. Search for lepton-flavor violating decays of the Higgs boson in the μτ and eτ final states in proton-proton collisions at = 13 TeV. Phys. Rev. D 2021, 104, 032013. [Google Scholar] [CrossRef]
- Aad, G.; Abbott, B.; Abbott, D.C.; Abeling, K.; Abidi, S.H.; Aboulhorma, A.; Abramowicz, H.; Abreu, H.; Abulaiti, Y.; Abusleme Hoffman, A.C.; et al. Searches for lepton-flavour-violating decays of the Higgs boson into eτ and μτ in = 13 TeV pp collisions with the ATLAS detector. JHEP 2023, 7, 166. [Google Scholar] [CrossRef]














Disclaimer/Publisher’s Note: The statements, opinions and data contained in all publications are solely those of the individual author(s) and contributor(s) and not of MDPI and/or the editor(s). MDPI and/or the editor(s) disclaim responsibility for any injury to people or property resulting from any ideas, methods, instructions or products referred to in the content. |
© 2024 by the authors. Licensee MDPI, Basel, Switzerland. This article is an open access article distributed under the terms and conditions of the Creative Commons Attribution (CC BY) license (https://creativecommons.org/licenses/by/4.0/).
Share and Cite
Frau, G.; Langenbruch, C. Charged Lepton-Flavour Violation. Symmetry 2024, 16, 359. https://doi.org/10.3390/sym16030359
Frau G, Langenbruch C. Charged Lepton-Flavour Violation. Symmetry. 2024; 16(3):359. https://doi.org/10.3390/sym16030359
Chicago/Turabian StyleFrau, Giulia, and Christoph Langenbruch. 2024. "Charged Lepton-Flavour Violation" Symmetry 16, no. 3: 359. https://doi.org/10.3390/sym16030359
APA StyleFrau, G., & Langenbruch, C. (2024). Charged Lepton-Flavour Violation. Symmetry, 16(3), 359. https://doi.org/10.3390/sym16030359

