Monopole and Seniority Truncations in the Large-Scale Configuration Interaction Shell Model Approach
Abstract
1. Introduction
2. The Nuclear Configuration Interaction Shell Model
2.1. M-Scheme Algorithms
2.2. Angular Momentum Projection and the NuShellX Code
3. Truncation
3.1. Monopole-Based Truncation
3.2. Seniority Truncation
4. Model Space and the Effective Interaction
4.1. Lead Isotopes
4.2. Tin and Xenon Isotopes
5. Results and Discussion
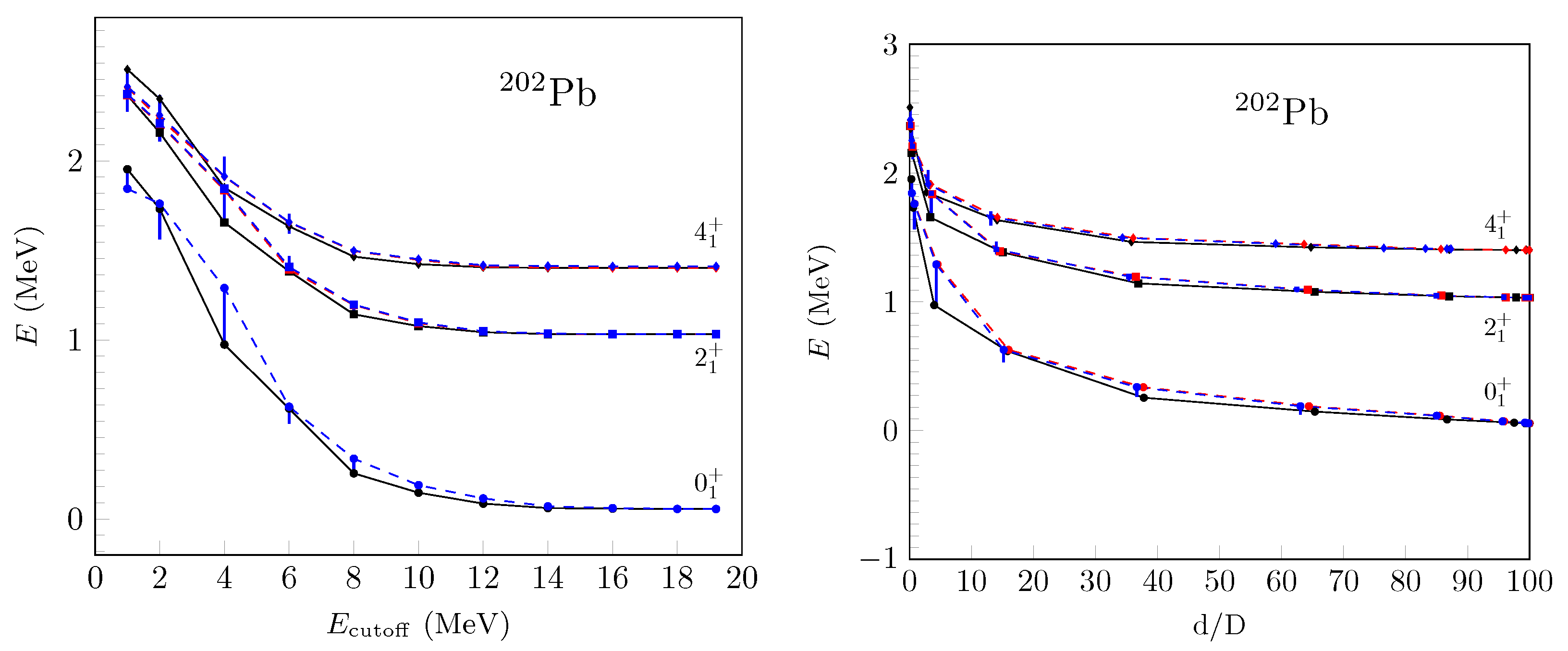
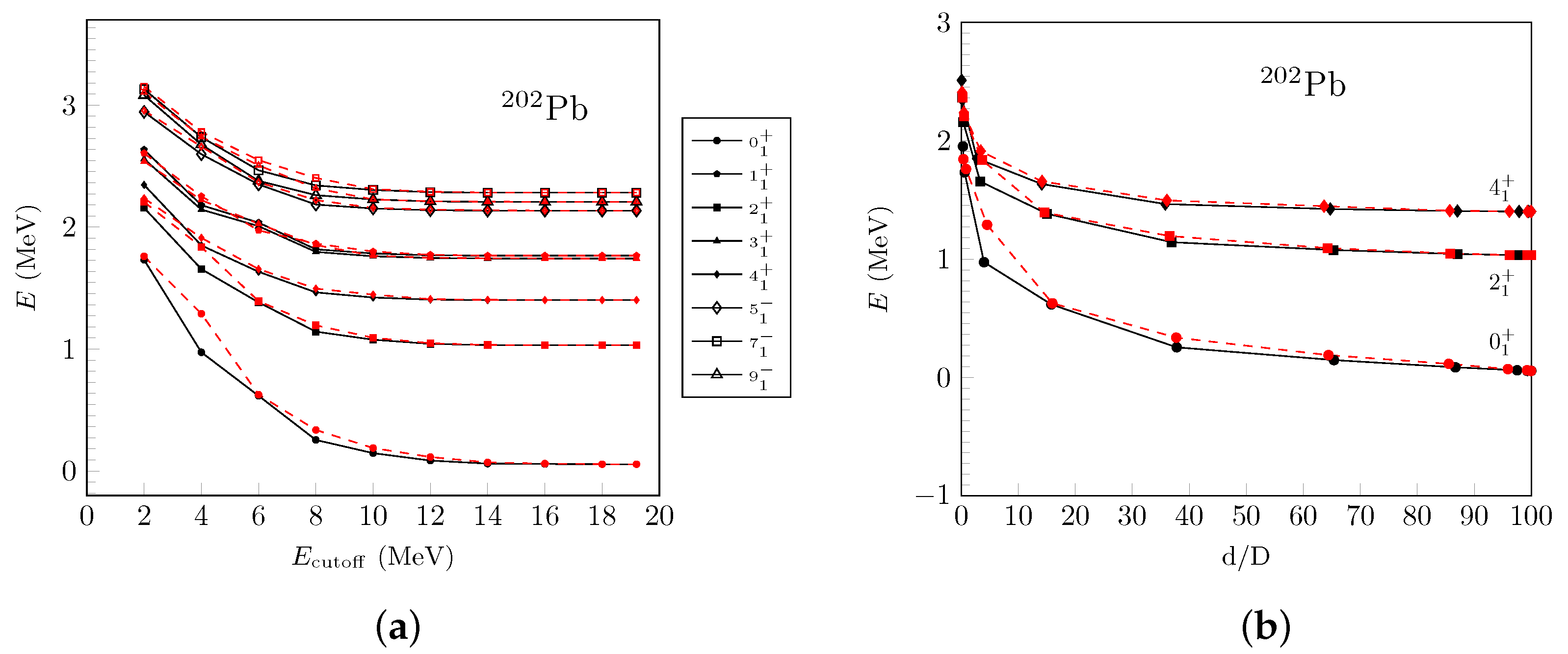
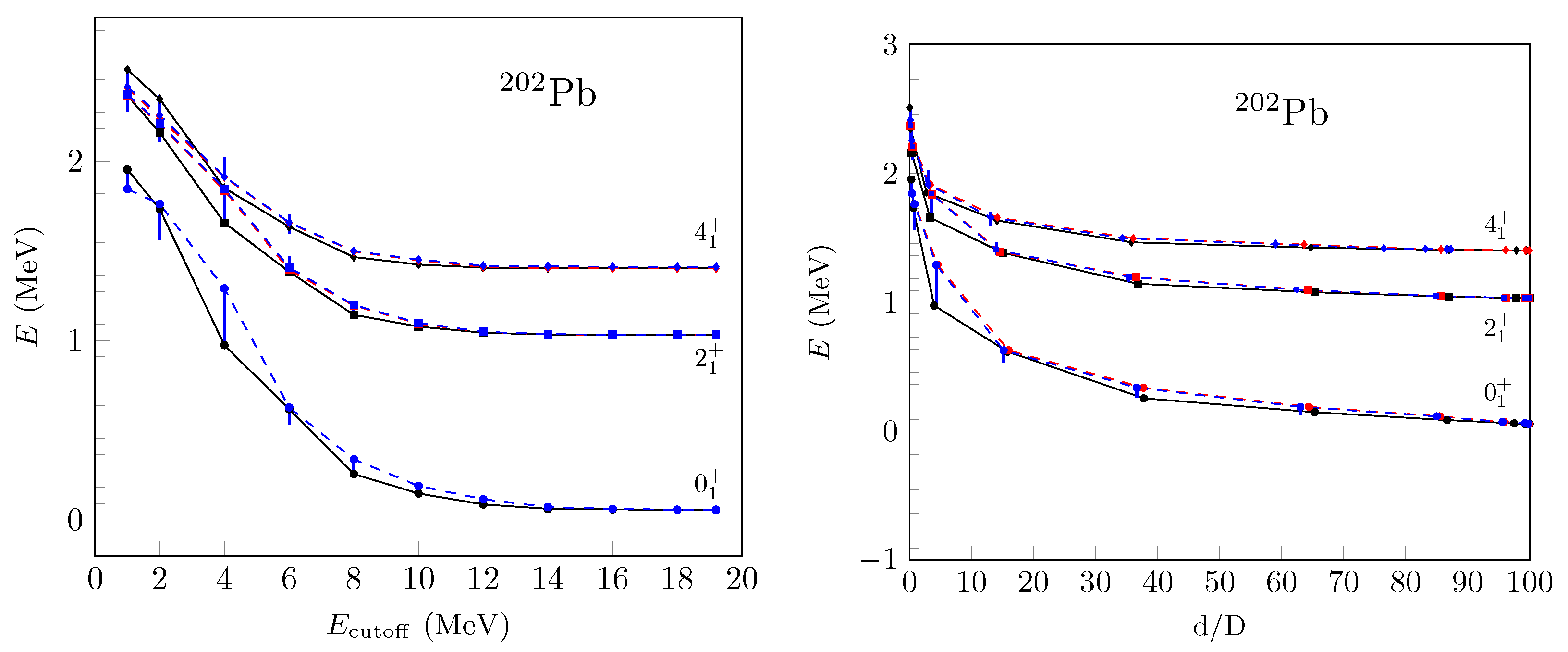
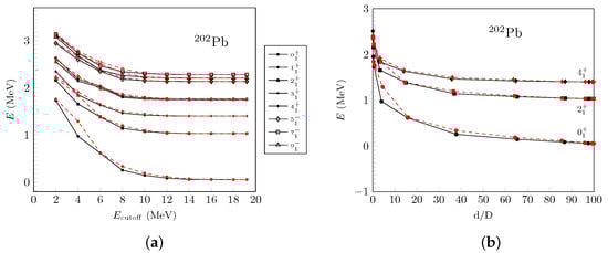
5.1. The Energy Spectra of 202Pb
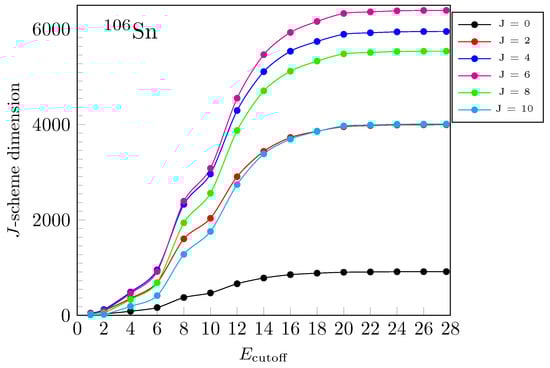
5.2. The Energy Spectra and for 106Sn
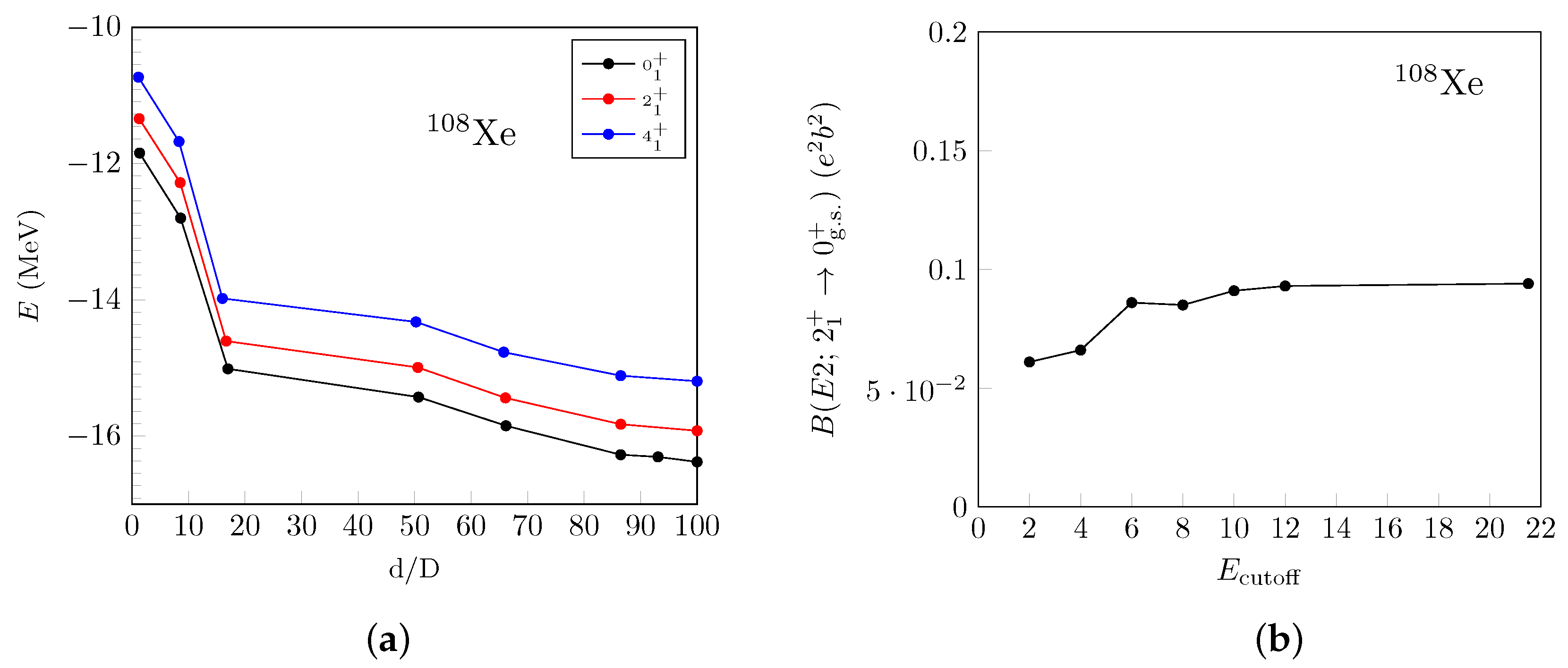
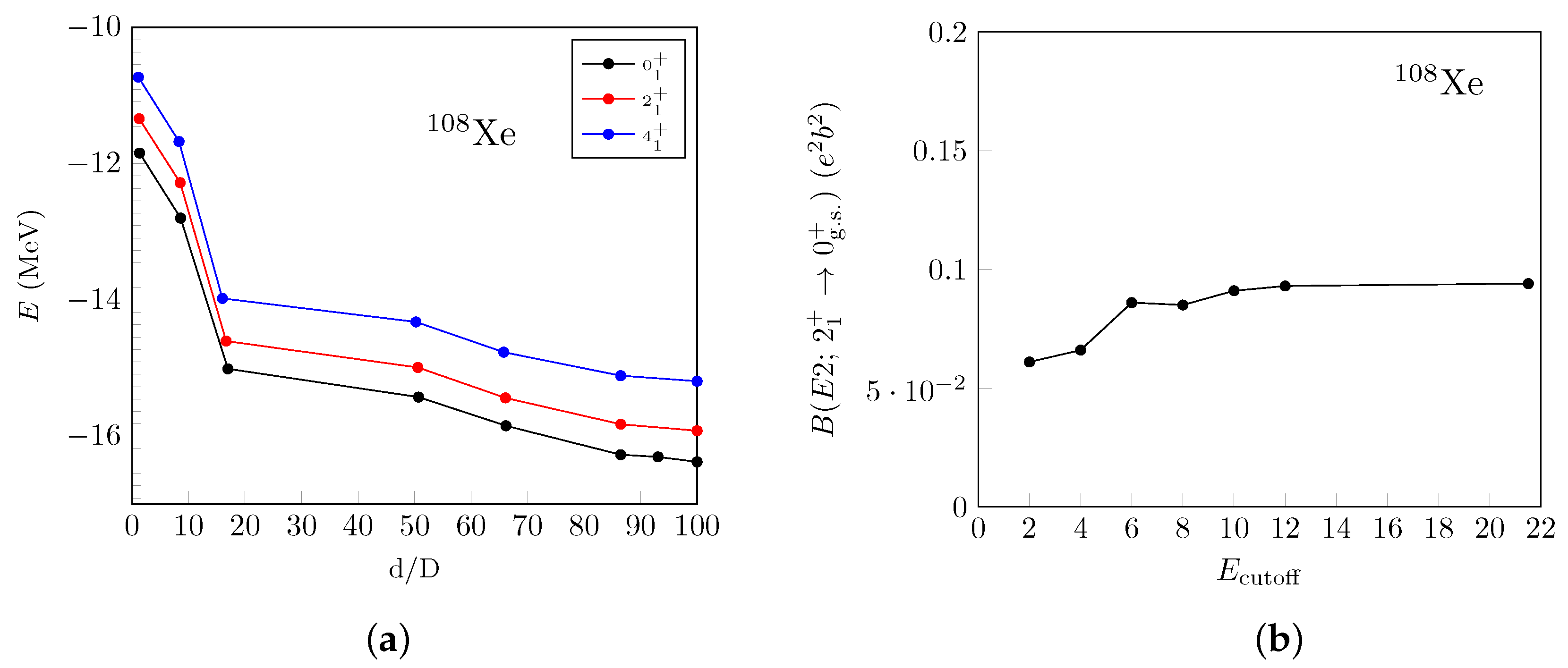
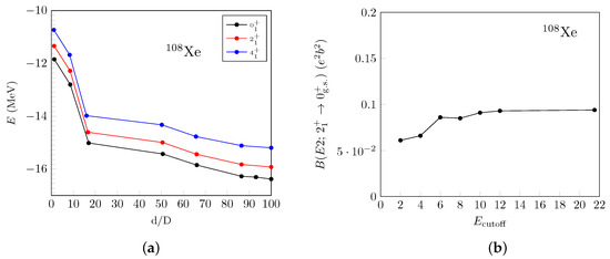
5.3. The Energy Spectra and for 108Xe
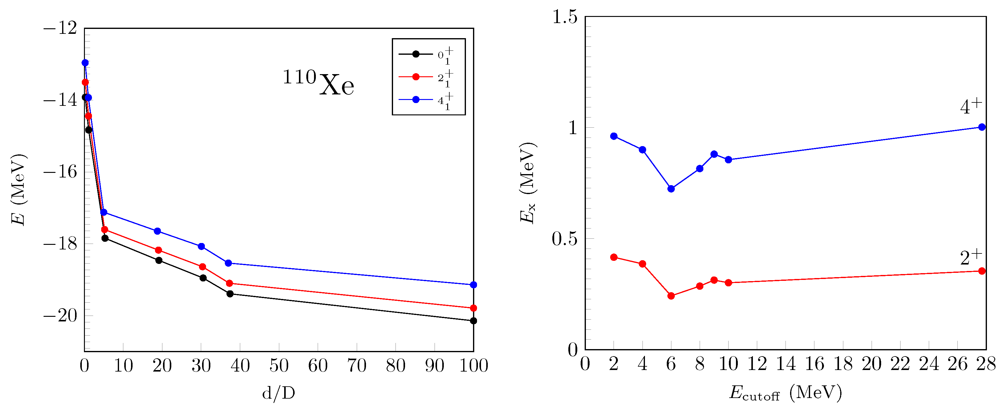
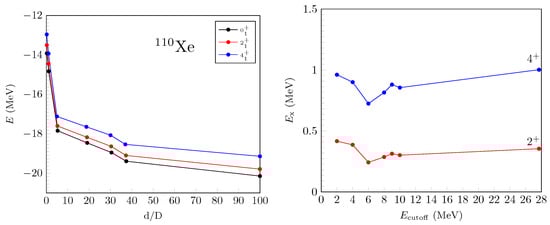
5.4. The Energy Spectra and for 110Xe
6. Conclusions
Author Contributions
Funding
Data Availability Statement
Acknowledgments
Conflicts of Interest
References
- Hergert, H.; Bogner, S.; Morris, T.; Schwenk, A.; Tsukiyama, K. The In-Medium Similarity Renormalization Group: A novel ab initio method for nuclei. Phys. Rep. 2016, 621, 165–222. [Google Scholar] [CrossRef]
- Stroberg, S.R.; Hergert, H.; Holt, J.D.; Bogner, S.K.; Schwenk, A. Ground and excited states of doubly open-shell nuclei from ab initio valence-space Hamiltonians. Phys. Rev. C 2016, 93, 051301. [Google Scholar] [CrossRef]
- Parzuchowski, N.M.; Stroberg, S.R.; Navrátil, P.; Hergert, H.; Bogner, S.K. Ab initio electromagnetic observables with the in-medium similarity renormalization group. Phys. Rev. C 2017, 96, 034324. [Google Scholar] [CrossRef]
- Stroberg, S.R.; Henderson, J.; Hackman, G.; Ruotsalainen, P.; Hagen, G.; Holt, J.D. Systematics of E2 strength in the sd shell with the valence-space in-medium similarity renormalization group. Phys. Rev. C 2022, 105, 034333. [Google Scholar] [CrossRef]
- Pieper, S.C.; Pandharipande, V.R.; Wiringa, R.B.; Carlson, J. Realistic models of pion-exchange three-nucleon interactions. Phys. Rev. C 2001, 64, 014001. [Google Scholar] [CrossRef]
- Pervin, M.; Pieper, S.C.; Wiringa, R.B. Quantum Monte Carlo calculations of electroweak transition matrix elements in A = 6, 7 nuclei. Phys. Rev. C 2007, 76, 064319. [Google Scholar] [CrossRef]
- Marcucci, L.E.; Pervin, M.; Pieper, S.C.; Schiavilla, R.; Wiringa, R.B. Quantum Monte Carlo calculations of magnetic moments and M1 transitions in A ⩽ 7 nuclei including meson-exchange currents. Phys. Rev. C 2008, 78, 065501. [Google Scholar] [CrossRef]
- Jansen, G.R.; Engel, J.; Hagen, G.; Navratil, P.; Signoracci, A. Ab Initio Coupled-Cluster Effective Interactions for the Shell Model: Application to Neutron-Rich Oxygen and Carbon Isotopes. Phys. Rev. Lett. 2014, 113, 142502. [Google Scholar] [CrossRef]
- Hagen, G.; Papenbrock, T.; Dean, D.J.; Hjorth-Jensen, M. Ab initio coupled-cluster approach to nuclear structure with modern nucleon-nucleon interactions. Phys. Rev. C 2010, 82, 034330. [Google Scholar] [CrossRef]
- Hagen, G.; Hjorth-Jensen, M.; Jansen, G.R.; Papenbrock, T. Emergent properties of nuclei from ab initio coupled-cluster calculations. Phys. Scr. 2016, 91, 063006. [Google Scholar] [CrossRef]
- Barrett, B.R.; Navrátil, P.; Vary, J.P. Ab initio no core shell model. Prog. Part. Nucl. Phys. 2013, 69, 131–181. [Google Scholar] [CrossRef]
- Epelbaum, E.; Krebs, H.; Lee, D.; Meißner, U.G. Ab Initio Calculation of the Hoyle State. Phys. Rev. Lett. 2011, 106, 192501. [Google Scholar] [CrossRef] [PubMed]
- SHAVITT, I. The history and evolution of configuration interaction. Mol. Phys. 1998, 94, 3–17. [Google Scholar] [CrossRef]
- Brussaard, P.J.; Glaudemans, P.W.M. Shell-Model Applications in Nuclear Spectroscopy; North-Holland Publishing Company: Amsterdam, The Netherlands, 1977. [Google Scholar]
- Caurier, E.; Martínez-Pinedo, G.; Nowacki, F.; Poves, A.; Zuker, A.P. The shell model as a unified view of nuclear structure. Rev. Mod. Phys. 2005, 77, 427–488. [Google Scholar] [CrossRef]
- Brown, B.A.; Wildenthal, B.H. Status of the Nuclear Shell Model. Annu. Rev. Nucl. Part. Sci. 1988, 38, 29–66. [Google Scholar] [CrossRef]
- Tsunoda, Y.; Otsuka, T. Configuration Interaction Approach to Atomic Nuclei: The Shell Model. In Handbook of Nuclear Physics; Tanihata, I., Toki, H., Kajino, T., Eds.; Springer Nature: Singapore, 2020; pp. 1–49. [Google Scholar] [CrossRef]
- Heyde, K. From Nucleons to the Atomic Nucleus: Perspectives in Nuclear Physics; Springer: Berlin/Heidelberg, Germany, 1998. [Google Scholar]
- Roth, R.; Langhammer, J. Padé-resummed high-order perturbation theory for nuclear structure calculations. Phys. Lett. B 2010, 683, 272–277. [Google Scholar] [CrossRef]
- Tichai, A.; Arthuis, P.; Duguet, T.; Hergert, H.; Somà, V.; Roth, R. Bogoliubov many-body perturbation theory for open-shell nuclei. Phys. Lett. B 2018, 786, 195–200. [Google Scholar] [CrossRef]
- Honma, M.; Mizusaki, T.; Otsuka, T. Diagonalization of Hamiltonians for Many-Body Systems by Auxiliary Field Quantum Monte Carlo Technique. Phys. Rev. Lett. 1995, 75, 1284–1287. [Google Scholar] [CrossRef] [PubMed]
- Otsuka, T.; Honma, M.; Mizusaki, T. Structure of the N = Z = 28 Closed Shell Studied by Monte Carlo Shell Model Calculation. Phys. Rev. Lett. 1998, 81, 1588–1591. [Google Scholar] [CrossRef]
- Shimizu, N. Recent Progress of Shell-Model Calculations, Monte Carlo Shell Model, and Quasi-Particle Vacua Shell Model. Physics 2022, 4, 1081–1093. [Google Scholar] [CrossRef]
- Shimizu, N.; Mizusaki, T. Variational Monte Carlo method for shell-model calculations in odd-mass nuclei and restoration of symmetry. Phys. Rev. C 2018, 98, 054309. [Google Scholar] [CrossRef]
- Gao, Z.C. Variation after projection calculations for high-spin states. Phys. Lett. B 2022, 824, 136795. [Google Scholar] [CrossRef]
- Lin, W.; Zhou, E.; Yao, J.; Hergert, H. Quantum-Number Projected Generator Coordinate Method for 21Ne with a Chiral Two-Nucleon-Plus-Three-Nucleon Interaction. Symmetry 2024, 16, 409. [Google Scholar] [CrossRef]
- Mayer, M.G. On Closed Shells in Nuclei. Phys. Rev. 1948, 74, 235–239. [Google Scholar] [CrossRef]
- Mayer, M.G. On Closed Shells in Nuclei. II. Phys. Rev. 1949, 75, 1969–1970. [Google Scholar] [CrossRef]
- Haxel, O.; Jensen, J.H.D.; Suess, H.E. On the “Magic Numbers” in Nuclear Structure. Phys. Rev. 1949, 75, 1766. [Google Scholar] [CrossRef]
- Mayer, M.G. Nuclear Configurations in the Spin-Orbit Coupling Model. I. Empirical Evidence. Phys. Rev. 1950, 78, 16–21. [Google Scholar] [CrossRef]
- Kuo, T.; Brown, G. Structure of finite nuclei and the free nucleon-nucleon interaction: An application to 18O and 18F. Nucl. Phys. 1966, 85, 40–86. [Google Scholar] [CrossRef]
- Honma, M.; Otsuka, T.; Brown, B.A.; Mizusaki, T. Effective interaction for pf-shell nuclei. Phys. Rev. C 2002, 65, 061301. [Google Scholar] [CrossRef]
- Cohen, S.; Kurath, D. Effective interactions for the 1p shell. Nucl. Phys. 1965, 73, 1–24. [Google Scholar] [CrossRef]
- Brown, B.A.; Richter, W.A. New “USD” Hamiltonians for the sd shell. Phys. Rev. C 2006, 74, 034315. [Google Scholar] [CrossRef]
- Yuan, C.; Suzuki, T.; Otsuka, T.; Xu, F.; Tsunoda, N. Shell-model study of boron, carbon, nitrogen, and oxygen isotopes with a monopole-based universal interaction. Phys. Rev. C 2012, 85, 064324. [Google Scholar] [CrossRef]
- Cole, B.; Watt, A.; Whitehead, R. Three-body forces and shell-model binding energies. Phys. Lett. B 1975, 57, 24–26. [Google Scholar] [CrossRef]
- Andreozzi, F.; Sartoris, G. Effective three-body interactions in the f72 shell. Nucl. Phys. A 1976, 270, 388–398. [Google Scholar] [CrossRef]
- Lanczos, C. An iteration method for the solution of the eigenvalue problem of linear differential and integral operators. J. Res. Natl. Bur. Stand. Sect. B 1950, 45, 255–282. [Google Scholar] [CrossRef]
- Johnson, C.W.; Ormand, W.E.; Krastev, P.G. Factorization in large-scale many-body calculations. Comput. Phys. Commun. 2013, 184, 2761–2774. [Google Scholar] [CrossRef]
- Shimizu, N.; Mizusaki, T.; Utsuno, Y.; Tsunoda, Y. Thick-restart block Lanczos method for large-scale shell-model calculations. Comput. Phys. Commun. 2019, 244, 372–384. [Google Scholar] [CrossRef]
- deShalit, A.; Talmi, I. Nuclear Shell Theory; Dover: Mineola, NY, USA, 1963. [Google Scholar]
- Xu, Z.; Qi, C.; Blomqvist, J.; Liotta, R.; Wyss, R. Multistep shell model description of spin-aligned neutron–proton pair coupling. Nucl. Phys. A 2012, 877, 51–58. [Google Scholar] [CrossRef]
- Jiao, L.F.; Sun, Z.H.; Xu, Z.X.; Xu, F.R.; Qi, C. Correlated-basis method for shell-model calculations. Phys. Rev. C 2014, 90, 024306. [Google Scholar] [CrossRef]
- LÖWDIN, P.O. Angular Momentum Wavefunctions Constructed by Projector Operators. Rev. Mod. Phys. 1964, 36, 966–976. [Google Scholar] [CrossRef]
- Langanke, K.; Maruhn, J.A.; Koonin, S.E. (Eds.) Computational Nuclear Physics 1: Nuclear Structure; Springer: Berlin/Heidelberg, Germany, 1991. [Google Scholar] [CrossRef]
- Qi, C.; Xu, F.R. Modern shell-model diagonalizations with realistic NN forces. arXiv 2007, arXiv:nucl-th/0701036. [Google Scholar] [CrossRef]
- Caurier, E.; Nowacki, F. Present Status of Shell Model Techniques. Acta Phys. Pol. B 1999, 30, 705. [Google Scholar]
- Rae, W.D.M. NuShellX. Available online: http://www.garsington.eclipse.co.uk/ (accessed on 20 October 2023).
- Horoi, M.; Brown, B.A.; Zelevinsky, V. Truncation method for shell model calculations. Phys. Rev. C 1994, 50, R2274–R2277. [Google Scholar] [CrossRef]
- Horoi, M.; Volya, A.; Zelevinsky, V. Chaotic Wave Functions and Exponential Convergence of Low-Lying Energy Eigenvalues. Phys. Rev. Lett. 1999, 82, 2064. [Google Scholar] [CrossRef]
- Horoi, M.; Brown, B.A.; Zelevinsky, V. Applying the exponential convergence method: Shell-model binding energies of 0f7/2 nuclei relative to 40Ca. Phys. Rev. C 2002, 65, 027303. [Google Scholar] [CrossRef]
- Dukelsky, J.; Pittel, S.; Dimitrova, S.S.; Stoitsov, M.V. Density matrix renormalization group method and large-scale nuclear shell-model calculations. Phys. Rev. C 2002, 65, 054319. [Google Scholar] [CrossRef]
- Pittel, S.; Sandulescu, N. Density matrix renormalization group and the nuclear shell model. Phys. Rev. C 2006, 73, 014301. [Google Scholar] [CrossRef]
- Rotureau, J.; Michel, N.; Nazarewicz, W.; Płoszajczak, M.; Dukelsky, J. Density Matrix Renormalization Group Approach for Many-Body Open Quantum Systems. Phys. Rev. Lett. 2006, 97, 110603. [Google Scholar] [CrossRef]
- Tichai, A.; Knecht, S.; Kruppa, A.; Legeza, Ö.; Moca, C.; Schwenk, A.; Werner, M.; Zarand, G. Combining the in-medium similarity renormalization group with the density matrix renormalization group: Shell structure and information entropy. Phys. Lett. B 2023, 845, 138139. [Google Scholar] [CrossRef]
- Andreozzi, F.; Iudice, N.L.; Porrino, A. An importance sampling algorithm for generating exact eigenstates of the nuclear Hamiltonian. J. Phys. G Nucl. Part. Phys. 2003, 29, 2319. [Google Scholar] [CrossRef]
- Stumpf, C.; Braun, J.; Roth, R. Importance-truncated large-scale shell model. Phys. Rev. C 2016, 93, 021301. [Google Scholar] [CrossRef]
- Bianco, D.; Andreozzi, F.; Lo Iudice, N.; Porrino, A.; Dimitrova, S. An upgraded version of an importance sampling algorithm for large scale shell model calculations. J. Phys. Conf. Ser. 2010, 205, 012002. [Google Scholar] [CrossRef]
- Coraggio, L.; Gargano, A.; Itaco, N. Double-step truncation procedure for large-scale shell-model calculations. Phys. Rev. C 2016, 93, 064328. [Google Scholar] [CrossRef]
- Qi, C. Seniority and truncation schemes for the nuclear configuration interaction approach. Rom. J. Phys. 2015, 60, 782–791. [Google Scholar]
- Poves, A.; Zuker, A. Theoretical spectroscopy and the fp shell. Phys. Rep. 1981, 70, 235–314. [Google Scholar] [CrossRef]
- Qi, C.; Jia, L.Y.; Fu, G.J. Large-scale shell-model calculations on the spectroscopy of N < 126 Pb isotopes. Phys. Rev. C 2016, 94, 014312. [Google Scholar] [CrossRef]
- Wong, S.S.M. Truncation of the nuclear shell-model space using spectral strength distribution. Nucl. Phys. A 1978, 295, 275–288. [Google Scholar] [CrossRef]
- Wong, S.S.M. Nuclear Statistical Spectroscopy; Oxford University Press: New York, NY, USA, 1986. [Google Scholar]
- Chang, F.S.; French, J.B.; Thio, T.H. Distribution methods for nuclear energies, level densities, and excitation strengths. Ann. Phys. 1971, 66, 137. [Google Scholar] [CrossRef]
- Talmi, I. Simple Models of Complex Nuclei: The Shell Model and Interacting Boson Model; Beitrage zur Wirtschaftsinformatik; Harwood Academic Publishers: Reading, UK, 1993. [Google Scholar]
- Qi, C.; Wang, X.B.; Xu, Z.X.; Liotta, R.J.; Wyss, R.; Xu, F.R. Alternate proof of the Rowe-Rosensteel proposition and seniority conservation. Phys. Rev. C 2010, 82, 014304. [Google Scholar] [CrossRef]
- Qi, C. Partial conservation of seniority in the j = 9/2 shell: Analytic and numerical studies. Phys. Rev. C 2011, 83, 014307. [Google Scholar] [CrossRef]
- Qi, C.; Xu, Z.; Liotta, R. Analytic proof of partial conservation of seniority in j = 9/2 shells. Nucl. Phys. A 2012, 884–885, 21–35. [Google Scholar] [CrossRef]
- Xu, Z.X.; Qi, C. Shell evolution and its indication on the isospin dependence of the spin–orbit splitting. Phys. Lett. B 2013, 724, 247–252. [Google Scholar] [CrossRef]
- Jia, L.Y. Practical calculation scheme for generalized seniority. J. Phys. G Nucl. Part. Phys. 2015, 42, 115105. [Google Scholar] [CrossRef]
- Jia, L.Y.; Qi, C. Generalized-seniority pattern and thermal properties in even Sn isotopes. Phys. Rev. C 2016, 94, 044312. [Google Scholar] [CrossRef]
- Maheshwari, B.; Jain, A.K.; Singh, B. Asymmetric behavior of the B(E2↑;0+ → 2+) values in 104–130Sn and generalized seniority. Nucl. Phys. A 2016, 952, 62–69. [Google Scholar] [CrossRef]
- Jiang, H.; Qi, C.; Lei, Y.; Liotta, R.; Wyss, R.; Zhao, Y.M. Nucleon pair approximation description of the low-lying structure of 108,109Te and 109I. Phys. Rev. C 2013, 88, 044332. [Google Scholar] [CrossRef]
- Jiang, H.; Lei, Y.; Qi, C.; Liotta, R.; Wyss, R.; Zhao, Y.M. Magnetic moments of low-lying states in tin isotopes within the nucleon-pair approximation. Phys. Rev. C 2014, 89, 014320. [Google Scholar] [CrossRef]
- Qi, C.; Xu, Z.X. Monopole-optimized effective interaction for tin isotopes. Phys. Rev. C 2012, 86, 044323. [Google Scholar] [CrossRef]
- Machleidt, R. High-precision, charge-dependent Bonn nucleon-nucleon potential. Phys. Rev. C 2001, 63, 024001. [Google Scholar] [CrossRef]
- Hjorth-Jensen, M.; Kuo, T.T.; Osnes, E. Realistic effective interactions for nuclear systems. Phys. Rep. 1995, 261, 125–270. [Google Scholar] [CrossRef]
- Available online: http://www.nuclear.kth.se/cqi/sn100/ (accessed on 14 April 2024).
- Vaman, C.; Andreoiu, C.; Bazin, D.; Becerril, A.; Brown, B.A.; Campbell, C.M.; Chester, A.; Cook, J.M.; Dinca, D.C.; Gade, A.; et al. Z = 50 Shell Gap near 100Sn from Intermediate-Energy Coulomb Excitations in Even-Mass 106–112Sn Isotopes. Phys. Rev. Lett. 2007, 99, 162501. [Google Scholar] [CrossRef]
- Banu, A.; Gerl, J.; Fahlander, C.; Górska, M.; Grawe, H.; Saito, T.R.; Wollersheim, H.-J.; Caurier, E.; Engeland, T.; Gniady, A.; et al. 108Sn studied with intermediate-energy Coulomb excitation. Phys. Rev. C 2005, 72, 061305. [Google Scholar] [CrossRef]
- Möller, P.; Mumpower, M.; Kawano, T.; Myers, W. Nuclear properties for astrophysical and radioactive-ion-beam applications (II). At. Data Nucl. Data Tables 2019, 125, 1–192. [Google Scholar] [CrossRef]
- Data Extracted Using the NNDC World Wide Web Site from the ENSDF. Available online: https://www.nndc.bnl.gov/ensdf/ (accessed on 10 September 2024).
- Sahoo, S.; Srivastava, P.C.; Shimizu, N.; Utsuno, Y. Nuclear structure properties of 193–200Hg isotopes within large-scale shell model calculations. Phys. Rev. C 2024, 110, 024306. [Google Scholar] [CrossRef]
- Sandzelius, M.; Hadinia, B.; Cederwall, B.; Andgren, K.; Ganioğlu, E.; Darby, I.G.; Dimmock, M.R.; Eeckhaudt, S.; Grahn, T.; Greenlees, P.T.; et al. Identification of Excited States in the Tz = 1 Nucleus 110Xe: Evidence for Enhanced Collectivity near the N = Z = 50 Double Shell Closure. Phys. Rev. Lett. 2007, 99, 022501. [Google Scholar] [CrossRef]











| 2 | 2 | −0.0500 |
| 2 | 1 | 0.0504 |
| 2 | 2 | 0.00625 |
| 2 | 0 | 0.0394 |
| 2 | 1 | 0.0467 |
| 2 | 0 | 0.0242 |
| 1 | 1 | 0.00833 |
| 1 | 2 | 0.0241 |
| 1 | 0 | 0.0176 |
| 1 | 1 | 0.0141 |
| 1 | 0 | 0.0886 |
| 2 | 2 | −0.0913 |
| 2 | 0 | 0.0822 |
| 2 | 1 | 0.0149 |
| 2 | 0 | 0.0613 |
| 0 | 0 | −0.00357 |
| 0 | 1 | 0.114 |
| 0 | 0 | 0.00020 |
| 1 | 1 | −0.00661 |
| 1 | 0 | 0.0482 |
| 0 | 0 | 0.0923 |
| 0 | 0 | 0.000 |
| 0 | 1 | −0.151 |
| 0 | 1 | −0.139 |
| 0 | 2 | −0.028 |
| 0 | 0 | −0.261 |
| 1 | 1 | −0.121 |
| 1 | 1 | −0.607 |
| 1 | 2 | 0.203 |
| 1 | 0 | −0.016 |
| 1 | 1 | 0.179 |
| 1 | 2 | −0.768 |
| 1 | 0 | −0.116 |
| 2 | 2 | −0.749 |
| 2 | 0 | −0.013 |
| 0 | 0 | −0.244 |
Disclaimer/Publisher’s Note: The statements, opinions and data contained in all publications are solely those of the individual author(s) and contributor(s) and not of MDPI and/or the editor(s). MDPI and/or the editor(s) disclaim responsibility for any injury to people or property resulting from any ideas, methods, instructions or products referred to in the content. |
© 2024 by the authors. Licensee MDPI, Basel, Switzerland. This article is an open access article distributed under the terms and conditions of the Creative Commons Attribution (CC BY) license (https://creativecommons.org/licenses/by/4.0/).
Share and Cite
Choudhary, P.; Qi, C. Monopole and Seniority Truncations in the Large-Scale Configuration Interaction Shell Model Approach. Symmetry 2024, 16, 1685. https://doi.org/10.3390/sym16121685
Choudhary P, Qi C. Monopole and Seniority Truncations in the Large-Scale Configuration Interaction Shell Model Approach. Symmetry. 2024; 16(12):1685. https://doi.org/10.3390/sym16121685
Chicago/Turabian StyleChoudhary, Priyanka, and Chong Qi. 2024. "Monopole and Seniority Truncations in the Large-Scale Configuration Interaction Shell Model Approach" Symmetry 16, no. 12: 1685. https://doi.org/10.3390/sym16121685
APA StyleChoudhary, P., & Qi, C. (2024). Monopole and Seniority Truncations in the Large-Scale Configuration Interaction Shell Model Approach. Symmetry, 16(12), 1685. https://doi.org/10.3390/sym16121685

