Next Article in Journal
PCCDiff: Point Cloud Completion with Conditional Denoising Diffusion Probabilistic Models
Previous Article in Journal
Implementing the MOLS Table for n Up to 500
 
 
Font Type:
Arial Georgia Verdana
Font Size:
Aa Aa Aa
Line Spacing:
Column Width:
Background:
Article

Online Trajectory Optimization of an ASV Based on an Improved RBFNN

School of Mechanical Engineering, Nanjing University of Science and Technology, Nanjing 210094, China
*
Author to whom correspondence should be addressed.
Symmetry 2024, 16(12), 1679; https://doi.org/10.3390/sym16121679
Submission received: 5 November 2024 / Revised: 7 December 2024 / Accepted: 11 December 2024 / Published: 18 December 2024
(This article belongs to the Special Issue Application of Image Processing with Symmetry/Asymmetry)

Abstract

Optimization based on conventional neural networks can only guarantee calculation speed. However, the accuracy of network prediction is also a key index in online trajectory optimization. This paper proposes a novel online trajectory optimization approach based on an Improved Radial Basis Function Neural Network (IRBFNN). First, multiple optimal trajectories for different variations of Air-Breathing Supersonic Vehicles (ASVs) are generated, considering attitude, and collected as the dataset. Then, an IRBFNN is trained to predict trajectories online with the above dataset, in which an enhanced loss function is introduced to improve prediction accuracy. Finally, numerical simulations are presented to demonstrate the feasibility and superiority of the proposed online trajectory optimization method. The open-source code of the proposed method is shared in the form of a link to showcase its implementation.

1. Introduction

An Air-Breathing Supersonic Vehicle (ASV) is a new type of aircraft that can achieve supersonic flight by utilizing air-breathing engine technology. In contrast to traditional engines, an air-breathing engine can maintain stable combustion and thrust during supersonic flight and be used for high-speed military reconnaissance, long-range strikes, aerial transportation, and other missions [1,2]. The complex flight environments ASVs must travel through cause them to deviate from the corresponding flight trajectory, so their flight path diverges from the target mission path [3,4,5]. Therefore, the key to solving this problem is to quickly generate new trajectories that conform to the flight mission. However, the high speed of ASVs makes it a challenge to ensure precision and real-time performance when generating trajectories.
The trajectory optimization problem is actually an optimal control problem that involves determining the control laws that optimize a certain performance index while satisfying various constraints. Trajectory optimization methods can be offline and online. Currently, most efforts toward offline trajectory optimization fall short of completing actual combat missions for aircraft. Moreover, the design of an offline trajectory may lose its reference value under some extreme uncertainties. Therefore, determining how to effectively tackle online optimization problems is a hotspot in research on trajectory optimization. The traditional online optimization method for aircraft is to plan a new optimal trajectory based on the current real-time flight state, which can be achieved using traditional analytical and numerical methods [6]. At present, the direct method using a numerical solution is commonly utilized to solve such problems [7,8,9]. Reddien employed a method based on orthogonal meeting points to solve the optimal control problem [10], and then the pseudospectral method was applied to nonlinear systems described by ordinary differential equations [11]. However, the number of subintervals (h) and the order of the interpolation polynomials (p) in the traditional pseudospectral method must be preset before trajectory optimization. In the optimization process, h and p remain unchanged, which increases the cost of calculation. In response to this problem, some scholars have studied the hp-adaptive pseudospectral method. Compared with the traditional pseudospectral method, the hp-adaptive pseudospectral method can adaptively adjust the number of subintervals (h) and the order of interpolation polynomials (p) in the trajectory optimization process, reducing the computational complexity and time required for optimization and improving optimization efficiency. Therefore, the hp-adaptive pseudospectral method has been widely used to solve trajectory optimization problems, such as trajectory optimization for asteroid landing [12], trajectory optimization for aircraft cooperation [13], trajectory optimization for intelligent vehicles [14], etc., and is especially useful in optimizing the trajectories of aircraft [15,16].
However, when dealing with trajectory optimization problems using the pseudospectral method, Fourier transform is applied, which complicates the computational process and makes it extremely time-consuming. As a result, it is difficult to effectively tackle online optimization problems using this method [17]. To address this issue, some researchers have utilized successive convex optimization methods [18]. Unfortunately, this approach struggles in solving some trajectory optimization problems that are large-scale, high-dimensional, and non-convex, thereby influencing real-time performance. On the other hand, existing approaches to solving online trajectory optimization problems related to aircraft mainly adopt the traditional mass model. Although the above model is widely used because it involves simple calculations, the optimization results cannot accurately reflect the actual dynamic characteristics of aircraft [19]. Hence, it is essential to further research online optimization problems.
With the advancement of intelligence and modernization, machine learning technology is increasingly becoming mainstream, and it can effectively solve real-time problems. The use of neural networks is not only a technique for implementing machine learning but also the foundation of deep learning. The development of the McCulloch–Pitts neural model (MP) and the Hebbian learning rule (HEBB) laid the foundation for the development of neural networks. Subsequently, some researchers carried out logical inversion to transform the interpolation computations involved in Radial Basis Functions (RBFs), resulting in RBF Neural Networks (RBFNNs). Inspired by this, Hardy proposed the Radial Basis Theory [20]. Moody and Darken proposed an RBFNN [21]. In terms of practical applications, neural networks have been developed in the fields of aircraft wake recognition [22], trajectory tracking [23], attitude control [24], and other engineering fields. Additionally, they can be applied in online trajectory optimization for aircraft based on their nonlinear mapping capability. With this capability, complex computations can be transferred to the offline phase, reducing the time required for online optimization [25]. Furthermore, an RBFNN is a network with a simple structure, fast convergence, and the ability to approximate arbitrary functions. RBFNNs have been proven to be capable of universal approximation performance for nonlinear networks. RBFNNs are globally applicable and can approximate any nonlinear function with arbitrary precision, ensuring real-time performance for complex trajectory optimization problems.
The optimal control method based on RBFNNs has been widely used in robotics fields such as systems control [26], trajectory tracking [27] and trajectory prediction [28], but it is infrequently used in the trajectory optimization of aircraft. In the training of an RBFNN, the loss function is typically designed using the Mean Squared Error (MSE) [29,30,31]. Although traditional RBFNN training based on the MSE can allow real-time performance, accuracy is still lacking. Particularly for the online trajectory optimization problem in the dive phase, the terminal accuracy directly affects the precision strike capability of aircraft [32,33]. In terms of these issues, this paper proposes a novel online trajectory optimization method based on an Improved RBFNN (IRBFNN). The specific contributions of this paper are summarized as follows:
(i) An ASV trajectory is optimized online considering attitude, making it different from the traditional online mass model.
(ii) A novel online trajectory optimization method is proposed, combining an RBFNN with the hp-adaptive pseudospectral method to solve the trajectory optimization problem with higher accuracy.
(iii) An enhanced loss function is designed during RBFNN training to improve the accuracy of online generation.
The remainder of this paper is organized as follows: Section 2 presents an optimal control model considering attitude. Section 3 proposes a novel online trajectory optimization method based on an IRBFNN. This section mainly concerns three aspects: the collection of offline samples, the application of the RBFNN, and the design of the improved loss function. In Section 4, numerical simulations are performed to demonstrate the effectiveness and superiority of the proposed method. Finally, Section 5 provides some relative conclusions.

2. Problem Formulation

This paper mainly focuses on the trajectory optimization problem regarding the dive phase of an ASV, that is, the unpowered phase, wherein the ASV is only driven by its own gravity.

2.1. Dynamical Model

Due to the low speed and long flight times of an aircraft, the Earth’s rotation will affect and deviate its geographical position and speed vector, but these factors have little effect on the high-speed aircraft. Dynamic aerodynamic forces and sideslip conditions will affect the flight performance and stability of these vehicles but can be ignored in the simulation phase to simplify calculations. Therefore, many assume that the Earth is a uniform sphere without considering its rotation, dynamic aerodynamics, and the sideslip of aircraft. In this Section, a multi-degree-of-freedom mathematical model of the studied aircraft is established. The model no longer regards the aircraft as a particle but incorporates the attitude change of the pitch angle into the design because the traditional trajectory design only considers the change in the angle of attack. The improved trajectory design can more realistically reflect the dynamic characteristics and reproduce the actual flight process of an aircraft [34]. The equation of longitudinal motion is shown in Formula (1). The motion model is schematically illustrated in Figure 1.
d x d t = v cos θ d h d t = v sin θ d v d t = - D - m g sin θ m d θ d t = L - m g cos θ m v d ϑ d t = q ¯ d q ¯ d t = M z I z ,
where x is the range; h is the height; v and q ¯ are the linear velocity and pitch angular velocity, respectively; θ is the trajectory inclination; ϑ is the pitch angle; α = ϑ θ is the angle of attack; m is the mass of the aircraft; g is gravitational acceleration; I z is the moment of inertia; and M z is the pitching moment. The lift L and drag D are defined as follows:
L = 1 2 ρ v 2 S C L ( α , M a ) D = 1 2 ρ v 2 S C D ( α , M a )
where C L and C D are the coefficient of lift and drag, both of which are related to α and the Mach number M a . S is the reference area for aircraft. ρ = 1 . 703 ρ S L exp ( - h / 6.33 ) is the density of air, and   ρ S L = 1 . 225   kg / m 3 is the value of the atmospheric parameter. The pitching moment M z is defined as follows:
M z = 1 2 ρ ν 2 S c ¯ C m ( α , M a , δ z )
where c ¯ is the mean aerodynamic chord, and C m is the pitching moment coefficient, which is related to α , M a , and the pitching rudder angle δ z .

2.2. Optimal Control Problem

The trajectory optimization problem is equivalent to the following optimal control problem. The solution to the optimal control problem can be found by solving the state function and control function to minimize the objective function under dynamic constraints, path constraints, and boundary constraints.

2.2.1. Constraints

To enable the aircraft to complete its intended mission, the boundaries are constrained as follows:
v ( 0 ) = v 0 , θ ( 0 ) = θ 0 , x ( 0 ) = x 0 , h ( 0 ) = h 0 , m ( 0 ) = m 0 , ϑ ( 0 ) = ϑ 0 , q ¯ ( 0 ) = q ¯ 0
v ( t f ) v f min , θ ( t f ) = θ f , h ( t f ) = h f , m ( t f ) m f min , ϑ ( t f ) = ϑ f
where the subscripts “0” and “f” in the lower right corner represent the initial and terminal moments of each element; Tthe subscripts “min” and “max” in the lower right corner represent the minimum and maximum of each element.
The control constraint is given by the following equation:
δ z m i n δ z ( t ) δ z m a x
The inlet and shape structure of aircraft have strict requirements on dynamic pressure q and overload n, respectively [35]. Accordingly, path constraints are given by
q m i n q q m a x n n max ,
in which
q = 1 2 ρ v 2 n = L 2 + D 2 m g

2.2.2. Objective Function

To enhance the flight performance of aircraft during their dive phase, the maximum terminal range x f was chosen as the performance index J. That is, the objective function for trajectory optimization design is
max   J = x f

3. Online Trajectory Optimization

To achieve online trajectory optimization for ASVs, an IRBFNN is employed for training the vehicles with respect to their flight trajectories. Online trajectory training can be divided into an offline phase and an online phase. In the offline phase, the hp-adaptive pseudospectral method is employed for generating samples. In the online phase, the loss function is improved to reduce the error of online optimization. Subsequently, an IRBFNN is utilized for trajectory training using the collected offline dataset.

3.1. Generation of Offline Samples

In the field of aircraft online trajectory optimization, most scholars adopt the three-degree-of-freedom model of particle dynamics, but pitch angle is also an important factor in actual flight. Taking a certain supersonic aircraft as an example, an optimal trajectory with multiple degrees of freedom that considers the pitch angle via the hp-adaptive pseudospectral method was generated. (This paper focuses on the online trajectory optimization of aircraft based on an improved RBFNN. I described in detail the study of trajectory optimization and characteristic analysis considering pitch angle via the pseudospectral method in another paper [34]. Therefore, the introduction of the pseudospectral method and the offline trajectory optimization simulation are not described herein.) The specific parameters for simulation optimization were set as follows: x 0 = 0   km ,   h 0 = 20   km ,   v 0 = 1100   m / s ,   θ 0 = 0 ° ; x f 100   km ,   h f = 0   km ,   v f 100   m / s ,   θ f = - 50 ° ; - 40 ° δ z 40 ° ; and 40   kPa q 120   kPa ,   n 10 . The nominal trajectory results are shown in Section 4.
Consider the issue where external factors cause deviations in the position and velocity of aircraft during flight, thereby impacting the actual accuracy of strikes made by the aircraft. Therefore, it is assumed that at some point during the dive phase, an aircraft will deviate from its predetermined trajectory, with the initial conditions being x 0 ,   h 0 ,   v 0 at this time. We must ensure that the aircraft can quickly devise a trajectory that can accomplish a mission when a deviation occurs, considering the initial conditions at this moment to be x 0 = x 0 + Δ x ,   h 0 = h 0 + Δ h ,   v 0 = v 0 + Δ v . This is used to generate the trajectories of the dive phase under initial condition deviations as a trajectory sample library, where Δ x , Δ h , Δ v are the nominal deviations, respectively.

3.2. RBF Network Model

Neural networks, also known as artificial neural networks (ANNs), abstract the neural network of the human brain from the perspective of information processing, which establishes certain simple models and forms different networks based on various connection methods. It is a subset of machine learning and the core of deep learning algorithms [36]. An ANN consists of a vast network of interconnected artificial neurons. It is based on research into human information processing in modern neurobiology and cognitive sciences. By breaking the symmetry problem in neurons, neural networks become more capable of nonlinear mapping, self-learning, self-adaptation, parallel processing, distributed memory, and fault tolerance, enabling them to be widely applied in various fields, such as pattern recognition, prediction, and optimization.
A single-layer perceptron is formed by connecting two layers of a neuron model, which is the most fundamental neural network model. The two layers of the neuron model are the input layer and the output layer. A single-layer perceptron can only tackle linearly separable classification problems, but most problems are nonlinear. To address this, a hidden layer is introduced between the input layer and the output layer, forming a multi-layer perceptron, which is also known as a multi-layer neural network model [37]. Its structure is depicted in Figure 2.
The RBFNN consists of a static feedforward neural network structure with three layers, namely, an input layer, a hidden layer, and an output layer. The hidden layer is formed by RBF units that serve as the basis for hidden units, with the input denoted as X = [ x 1 , x 2 , , x n ] and the output denoted as Y = [ y 1 , y 2 , , y n ] . The nodes in the hidden layer apply an NLP to the input vector, thus transforming the low-dimensional input data from X R i ( X ) into a high-dimensional space. This transformation makes the problem of linear inseparability in the low-dimensional space linearly separable in the high-dimensional space. The output layer nodes perform linear mapping from R i ( X ) y k , which involves a linear weighted summation of the hidden layer output nodes. The output of the k-th neural network in the output layer y ^ k is
y ^ k = i = 1 m ω i k R i ( X )   , k = 1 , , p
where ω i k is the weight connecting the i-th neuron in the hidden layer to the k-th neuron in the output layer. R i ( X ) is the activation function of the i-th node in the hidden layer, which is an RBF, and its expression has the following general form:
R ( | | DIST | | ) = e | | DIST | |
where RBF denotes a monotonic function of the Euclidean distance (DIST) from any point in space to a central point, with the most adopted one being the Gaussian function:
R i ( X ) = e | | X C i | | 2 2 σ i 2 ,   i = 1 , , m
where X, C i , and σ i are the center and width of the i-th basis function. Simply put, the activation function of the hidden layer corresponds to the RBFNN structure. The detailed principle behind the RBFNN structure is shown in Figure 3.
In Figure 3, W [ 1 ] and W [ 2 ] are the weight matrices for the first and second layers, a [ 1 ] and a [ 2 ] are the outputs of the first and second layers, b [ 1 ] and b [ 2 ] are the biases for the first and second layers, p and a are the input and output matrices, and r = | | W [ i ] p | | b [ i ]   ( i = 1 , 2 ) denotes the input.

3.3. Loss Function

We employ an ANN for online trajectory optimization for ASVs; thus, we only focus on the regression prediction issues associated with the ANN. The typical loss function is the MSE [29,30,31]. The MSE can impose an appropriate penalty weight on the gradient, enhancing the accuracy of the gradient update direction. Nevertheless, it is sensitive to outliers, which significantly influence the direction of gradient updates. Since the trajectory optimization data for the dive phase of an ASV has few outliers and the sample data have little effect on the loss function, the MSE is appropriate. The MSE measures the sum of squares of the distance between the predicted value and the true value. The specific principle is as follows:
MSE = 1 n i = 1 n ( y i f i ) 2
However, the average convergence efficiency and end convergence accuracy of the MSE are not enough to meet the requirements of the aircraft’s dive section. To enhance the rate of convergence, an improved loss function (LOSS) is proposed:
LOSS = 1 n [ i = 1 n 1 e | y i f i | ( y i f i ) 2 + N e | y n f n | ( y n f n ) 2 ]
where LOSS is a measure of the discrepancy between the predicted and actual values. In other words, a smaller LOSS value indicates a more rapid convergence of the RBFNN. It can be seen from the improved LOSS function that as the error increases, the exponential term e | y i f i | decreases and remains within the range of [0, 1], which effectively suppresses the increase in the error. N is a constant, confined within the interval [1, 10], intended to impose strong limitations at the extremities. If N is too small, it may fail to meet the accuracy requirements at the extremities, while if it is excessively high, it can lead to an increase in the mean error. In other words, the loss values for steps 1 through n are multiplied by the exponential term based on the MSE. Subsequently, the loss value for step n is multiplied by a constant coefficient, effectively imposing a strong constraint at the end to minimize the mean and terminal errors of the optimization results, thereby ensuring the accuracy requirements for guided strikes. In summary, the convergence precision of the neural network is improved, rendering it more appropriate for application scenarios such as aircraft dive segments that require strict end precision via improving the MSE.

3.4. Overall Scheme Design

The process of optimizing online trajectories based on an IRBFNN primarily comprises the following steps:
(i) Offline trajectory dataset generation
By altering the initial values, the trajectory optimization model considering the pitch angle for an ASV is run offline using the hp-adaptive pseudospectral method. This generates trajectories under various initial conditions, serving as the trajectory dataset for training and testing the neural network.
(ii) Offline neural network training
After combining the IRBFNN and the above dataset for training, the trained neural network model is obtained.
(iii) Online trajectory predicting
During actual flight, the current real-time flight state of the aircraft is taken as the input, and the trained neural network model is employed for rapid online trajectory prediction optimization. This predictive output of state and control variables can ensure the intended mission is accomplished under the current initial conditions.
The overall implementation plan of this article is described in Figure 4.

4. Numerical Simulation

The purpose of this paper is to study the applicability and improvement superiority of an RBFNN in aircraft trajectory optimization. Therefore, only the RBFNN method was used to carry out the online trajectory optimization simulation analysis of ASVs. First, the samples are collected using the method described in Section 3.1. If the aircraft deviates at a certain moment during flight, it is necessary to re-optimize a new trajectory. Therefore, when generating the database, the state at that moment should be deviated from to produce trajectory variations within a specific range. This moment of deviation can be any moment during the flight of the ASV. The ranges of these deviations are shown in Table 1.
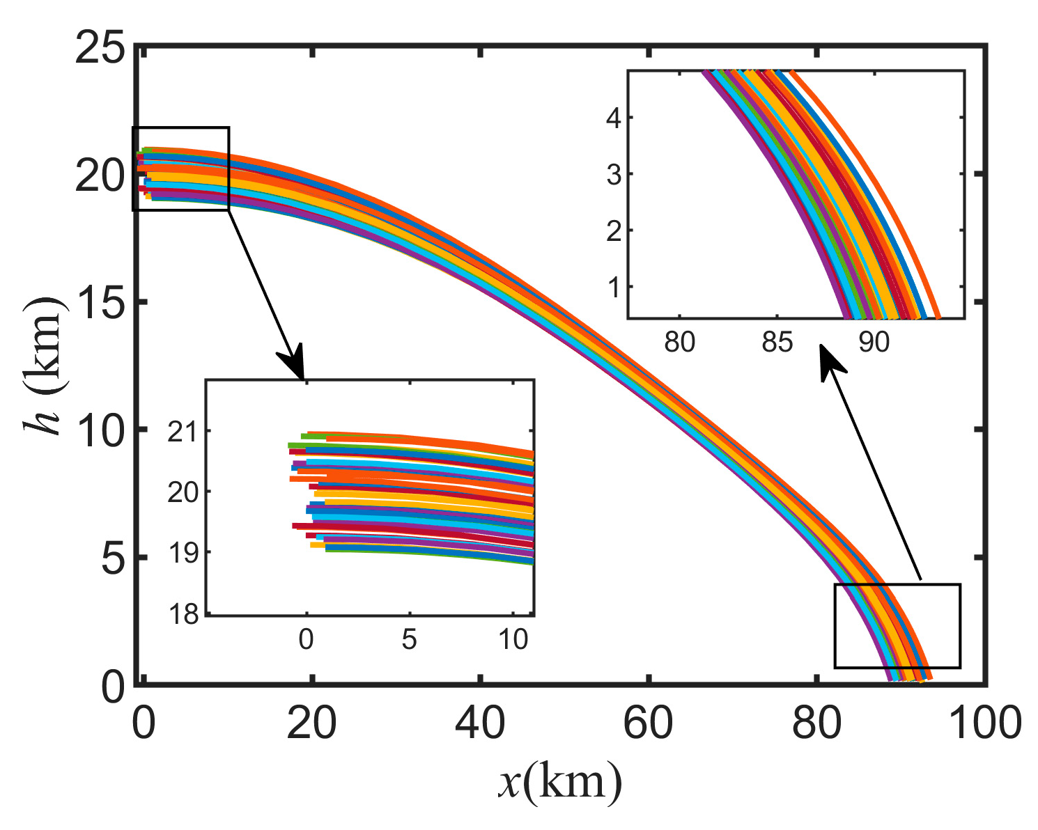
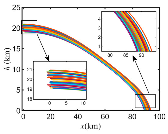
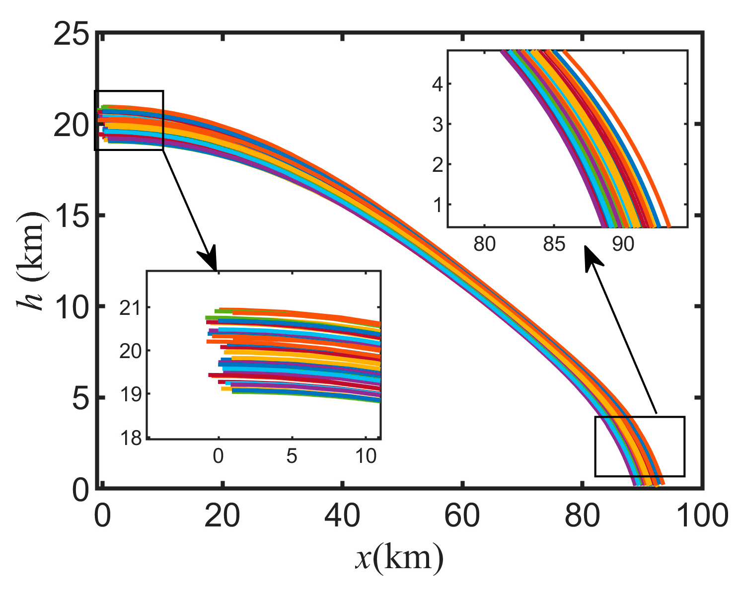
The samples for neural network training and testing were obtained using the 300 random trajectories offline with the above deviation, which is shown in Figure 5.
We then proceed with online training and testing. For the prediction of state variables, the trained costate network is utilized for online generation. Using the state vector of the isolated samples as an input and the costate vector as an output, a costate network model that meets the requirements is trained using the neural network parameters set forth in this paper. During actual flight, by inputting the current state quantity, the optimal trajectory state variables for continuous flight until the target is struck in the current state can be rapidly obtained by calling the costate network model.
For the prediction of the control variable, the trained control network is used for online generation. Using the state vector of isolated samples as an input and the control variable δ z as an output, a control network model that meets the requirements is trained. Essentially, the control network acts as a guidance command generator. During actual aircraft flight, only the state quantity of the current stage is known, enabling rapid calculation of the control commands using the control network model.
In this study, GPOPS-II Version 1.0 (a software product that utilizes some of the latest advancements in pseudospectral methods for addressing the optimal control problem (OCP)) was employed for simulation to convert the OCP into a nonlinear programming problem (NLP). The NLP was solved by calling sparse nonlinear optimizer, a solver for sequential quadratic programming. All numerical simulations were conducted on a PC with a 12th Gen Intel(R) Core (TM) i7-12700H operating at 2.30 GHz by using MATLAB version 2023a.
When validating the algorithm proposed in this study, variations in results can also arise from the use of different computer systems and types of simulation software. If the algorithm’s performance is verified in a better simulation environment, better real-time performance and accuracy may be obtained. On the other hand, if the simulation conditions are not good enough, performance may be affected to some extent.

4.1. Feasibility Verification of Online Trajectory Generation

For the configuration of neural network parameters, the IRBFNN or RBFNN was adopted, comprising a single hidden layer with 10 neurons in each of the input, hidden, and output layers. The activation function of the hidden layer uses the Gaussian function within the Radbs function, which is y = e x 2 . The activation function of the output layer uses the Purelin linear function, which is y = x . The Nguyen–Widrow algorithm is employed to initialize the weights and thresholds of each layer. This means that the weight initialization function is set to the initwb function. The optimization algorithm employs gradient descent. The dataset is divided into training, validation, and test sets in a 70%:15%:15% split. The learning rate is set to 0.01, and the maximum number of training iterations is set to 2000. The improved LOSS and MSE in Section 3.3 are adopted.
In this simulation, the aircraft originally flew along the original trajectory with the following initial conditions: x 0 = 0   km ,   v 0 = 1100   m / s ,   h 0 = 20   km ,   θ 0 = 0 ° . Suppose that the initial conditions changed to x 0 = 0.05   km ,   v 0 = 1105   m / s ,   h 0 = 19.95   km ,   θ 0 = 0 ° due to the influence of external factors. An online generation simulation verification was carried out for the change in trajectory after the deviation. The offline trajectory optimization method in Section 3.1 was used to generate the changed benchmark trajectory, which was used as the standard to evaluate the online trajectory generation methods of RBFNN and IRBFNN. The feasibility and superiority of the online trajectory optimization method using an IRBFNN proposed in this paper are verified. The simulation results are shown in Figure 6 and Figure 7.
The prediction results obtained using the RBFNN are shown in Figure 6, which shows the nominal trajectories before and after the change and their predicted trajectories. Both RBFNN and IRBFNN are capable of regenerating new trajectories based on changed conditions, and the predicted results meet time requirements and constraints. In addition, the online trajectory generated by the IRBFNN is closer to the transition benchmark trajectory than that generated by the RBFNN. This indicates that the IRBFNN has better online generation ability with respect to coping with changing trajectories.
Figure 7a shows the predicted trajectory generation time of the ASV’s dive phase using the RBFNN and IRBFNN under the simulation conditions discussed in this paper. The total time required by the RBFNN is about 0.51 s, and the time required by the IRBFNN is about 0.46 s. The IRBFNN model demonstrated an improvement in real-time performance of approximately 10.87% compared to the RBFNN model. The IRBFNN meets the real-time requirements of online trajectory optimization and exhibited superior performance compared to the RBFNN. Figure 7b illustrates the CPU usages during the online generation of trajectories using the RBFNN and IRBFNN, respectively. It can be observed that the IRBFNN occupies less space in the whole system than the RBFNN, which ensures the smooth operation of the subsequent online trajectory optimization.

4.2. Verification of the Performance of the Improved RBF Neural Network

In this section, the superiority of the IRBFNN is further verified. For each optimization outcome in Section 4.1, the Root Mean Square Error (RMSE) between the predicted and nominal trajectories was computed, serving as an accuracy comparison for the neural network output results. Using the predicted and nominal trajectories as inputs, the RMSE was calculated as follows:
RMSE = 1 n i = 1 n ( Y i f ( x i ) ) 2 ,
where Y i is the predicted value, f ( x i ) is the true value, and n = 80 is the number of discrete points in each trajectory.
The optimization design was refined by improving the loss function and comparing it with the trajectories optimized based on the traditional RBFNN. An RMSE-based comparison between the predicted results obtained using the optimized and unoptimized networks was obtained, as shown in Table 2. To assess the guided-strike capability during the dive phase, we made a comparison of terminal accuracy, as presented in Table 3.
Table 2 indicates that, compared to the pre-modification state, the optimization improved the RMSE for altitude by approximately 10.4%, increased speed by approximately 2.8%, and improved ballistic inclination by approximately 0.5%. The pitch angle improved by approximately 0.6%, the rudder angle improved by approximately 16.9%, and the angle of attack improved by approximately 7.5%. It can be concluded that the mean accuracies of the above results achieved through online optimization are better than those for the pre-modification state.
Table 3 compares terminal accuracy, revealing that altitude increased by 27.3%, speed increased by 62.1%, ballistic inclination increased by 99.0%, pitch angle increased by 1.0%, rudder angle increased by 16.5%, and angle of attack increased by 53.1% (approximately). The IRBFNN reduced the terminal strike error of aircraft, making them more compliant with guidance accuracy requirements for the dive phase, thereby enabling them to perform strike missions more effectively.
Figure 8 depicts the error curves between the predicted and nominal trajectories. It can be seen in combination with Table 2 and Table 3 that the IRBFNN exhibited a higher mean accuracy and smaller terminal errors compared to the traditional RBFNN.
Thus, all the above simulation results in Section 4.1 and Section 4.2 demonstrate the feasibility and superiority of the proposed online trajectory optimization scheme in addressing the problem of ASV online trajectory generation and the strong robustness of the proposed scheme under external interference.

5. Conclusions

This article proposes an online trajectory optimization method based on an IRBFNN to address the computational complexity and limited adaptability of traditional methods. Different from conventional mass models, an optimization model considering attitude was established, which can accurately reflect the dynamic characteristics of ASVs. Dataset collection was based on the hp-adaptive pseudospectra method to improve optimization precision. The IRBFNN was trained in order to revise the optimal trajectory rapidly. Furthermore, the improved LOSS value for the IRBFNN increased the prediction accuracy and real-time performance of the online generation. The simulation validated the feasibility and superiority of the framework in online trajectory optimization for ASVs. Although this paper focuses on ASVs described via a particular method, the network structure and optimization approach are universally applicable, offering references for other research endears within the aerospace field such as reusable launch vehicles and UAVs.

Author Contributions

Conceptualization, C.M.; funding acquisition, C.M.; investigation, S.Y.; methodology, S.Y.; resources, C.M.; software, S.Y.; writing—original draft, S.Y.; writing—review and editing, C.M. All authors have read and agreed to the published version of the manuscript.

Funding

The authors are grateful for the projects supported by the National Natural Science Foundation of China (Grant No. 52002185).

Data Availability Statement

Acknowledgments

We acknowledge that the authors’ contributions and financial support fully supported the entire article.

Conflicts of Interest

The authors declare no conflicts of interest. The funders provided support for aspects such as the simulation platforms in the research design and financial support for data collection.

References

  1. Adamov, N.P.; Kharitonov, A.M.; Chasovnikov, E.A.; Dyad’kin, A.A.; Kazakov, M.I.; Krylov, A.N.; Skorovarov, A.Y. Aerodynamic characteristics of reentry vehicles at supersonic velocities. Thermophili’s Aeromech. 2015, 22, 535–543. [Google Scholar] [CrossRef]
  2. Ming, C.; Sun, R.S.; Bai, H.Y. Terminal trajectory optimization for morphing wing aircraft with multi-constraints. In Proceedings of the 2016 IEEE Chinese Guidance, Navigation and Control Conference, Nanjing, China, 12–14 August 2016; pp. 2219–2224. [Google Scholar]
  3. Zhang, C.; Zhang, Y.; Wei, C. Onboard trajectory generation of hypersonic morphing aircraft. Int. J. Aerosp. Eng. 2021, 2021, 6683684. [Google Scholar] [CrossRef]
  4. Aenab, M.; Jagannath, R.; Radhakant, P. Nonlinear control of an air-breathing engine including its validation with vehicle guidance. Aerosp. Sci. Technol. 2015, 45, 242–253. [Google Scholar]
  5. Horlock, J.H. Maximum Range of Hypersonic Ramjets. Aeronaut. J. 1964, 68, 699–702. [Google Scholar] [CrossRef]
  6. Betts, J.T. Survey of numerical methods for trajectory optimization. J. Guid. Control. Dyn. 1998, 21, 193–207. [Google Scholar] [CrossRef]
  7. Michael, J.G.; Robert, D.B. Rapid indirect trajectory optimization for conceptual design of hypersonic missions. J. Spacecr. Rocket. 2015, 52, 177–182. [Google Scholar]
  8. Arya, V.; Taheri, E.; Junkins, J. A composite framework for co-optimization of spacecraft trajectory and propulsion system. Acta Astronaut. 2021, 178, 773–782. [Google Scholar] [CrossRef]
  9. Hargraves, C.R.; Paris, S.W. Direct trajectory optimization using nonlinear programming and collocation. J. Guid. Control. Dyn. 1987, 10, 338–342. [Google Scholar] [CrossRef]
  10. Reddien, G.W. Collocation at Gauss points as a discretization in optimal control. SIAM J. Control. Optim. 1979, 17, 298–306. [Google Scholar] [CrossRef]
  11. Banks, H.T.; Fakhroo, F. Legendre-Tau approximations for LQR feedback control of acoustic pressure fields. J. Math. Syst. Estim. Control 1998, 8, 393–426. [Google Scholar]
  12. Wang, H.; Xie, M.; Zhang, P.; Li, Y. Research of asteroid landing trajectory optimization based on gauss pseudo-spectral method. In Proceedings of the 2014 Sixth International Conference on Intelligent Human-Machine Systems and Cybernetics, Hangzhou, China, 26 August 2014; pp. 26–29. [Google Scholar]
  13. Zhang, X.; Liu, S.; Yan, J.; Yan, B. Fixed-time cooperative trajectory optimisation strategy for multiple hypersonic gliding vehicles based on neural network and ABC algorithm. Aeronaut. J. 2023, 127, 1737–1751. [Google Scholar] [CrossRef]
  14. Jiang, H.B.; Shi, K.J.; Hua, Y.D.; Chen, L. Lane-changing trajectory planning and optimization for intelligent vehicle through hp-adaptive pseudospectral method. Zhongguo Gonglu Xuebao/China J. Highw. Transp. 2019, 32, 71–78. [Google Scholar]
  15. Ming, C.; Sun, R.S.; Bai, H.Y.; Sun, C. Optimizing design of trajectory for multiple-pulse missiles based on hp-adaptive pseudo-spectral method. J. Solid Rocket. Technol. 2015, 38, 151–155. (In Chinese) [Google Scholar]
  16. Ming, C.; Sun, R.S.; Liang, Z.; Bai, H. Design and analysis of footprint optimization method for multiple-pulse aircraft. J. Natl. Univ. Def. Technol. 2016, 38, 143–149. (In Chinese) [Google Scholar]
  17. Darby, C.L.; Hager, W.W.; Rao, A.V. An hp-adaptive pseudospectral method for solving optimal control problems. Optim. Control. Appl. Methods 2011, 32, 476–502. [Google Scholar] [CrossRef]
  18. Liu, C.; Zhang, C.; Jiang, H.; Xiong, F. Online trajectory optimization based on successive convex optimization. In Proceedings of the 2017 36th Chinese Control Conference (CCC), Dalian, China, 26–28 July 2017; pp. 2577–2582. [Google Scholar]
  19. Huang, B. Research on Optimization of 6-dof Motion Trajectory Based on hp Adaptive Pseudospectral Method. Master’s Thesis, Nanjing University of Aeronautics and Astronautics, Nanjing, China, 2020. (In Chinese). [Google Scholar]
  20. Hardy, R.L. Multiquadric equations of topography and other irregular surfaces. J. Geophys. Res. 1971, 76, 1905–1915. [Google Scholar] [CrossRef]
  21. Moody, J.; Darken, C.J. Fast Learning in Networks of Locally-Tuned Processing Units. Neural Comput. 1989, 2, 281–294. [Google Scholar] [CrossRef]
  22. Ma, Y.; Zhao, J.; Han, H.; Chan, P.W.; Xiong, X. Aircraft wake recognition based on improved par net convolutional neural network. Appl. Sci. 2023, 13, 3560. [Google Scholar] [CrossRef]
  23. Huang, S.R.; Yang, Y.N. Adaptive neural-network-based nonsingular fast terminal sliding mode control for a quadrotor with dynamic uncertainty. Drones 2022, 6, 206. [Google Scholar] [CrossRef]
  24. Liu, E.J.; Yan, Y.; Yang, Y.N. Neural network approximation-based backstepping sliding mode control for spacecraft with input saturation and dynamics uncertainty. Acta Astronaut. 2022, 191, 1–10. [Google Scholar] [CrossRef]
  25. Cheng, L.; Wang, Z.; Jiang, F.; Zhou, C. Real-time optimal control for spacecraft orbit transfer via multi-scale deep neural networks. IEEE Trans. Aerosp. Electron. Syst. 2019, 55, 2436–2450. [Google Scholar] [CrossRef]
  26. Chaiyaratana, N.; Zalzala, A.M. Hybridisation of neural networks and genetic algorithms for time-optimal control. In Proceedings of the 1999 Congress on Evolutionary Computation-CEC99 (Cat. No. 99TH8406), Washington, DC, USA, 6–9 July 1999; Volume 1, pp. 389–396. [Google Scholar]
  27. Recalde, L.F.; Varela, J.; Guevara, B.S.; Andaluz, V.; Gandolfo, D. Adaptive NMPC-RBF with application to manipulator robots. In Proceedings of the 2023 9th International Conference on Control, Decision and Information Technologies (CoDIT), Rome, Italy, 3–6 July 2023; pp. 2475–2482. [Google Scholar]
  28. Bao, H.; Zhu, H.; Liu, D. Improved SSA-RBF neural network-based dynamic 3-D trajectory tracking model predictive control of autonomous underwater vehicles with external disturbances. Optim. Control. Appl. Methods 2024, 45, 138–162. [Google Scholar] [CrossRef]
  29. Wang, X.; Dai, P.; Cheng, X.M.; Liu, Y.; Cui, J.; Zhang, L.; Feng, D. An online generation method of ascent trajectory based on feedforward neural networks. Aerosp. Sci. Technol. 2022, 128, 107739. [Google Scholar] [CrossRef]
  30. Feng, W.Y.; Huo, M.Y.; Xu, Y.; Mo, L.; Ke, W.; Ma, Y.; Su, H.; Qi, N. A framework of gravity field online modeling and trajectory optimization in asteroid soft-landing mission scenarios. Aerosp. Sci. Technol. 2023, 143, 108656. [Google Scholar] [CrossRef]
  31. Wang, Y.Z.; Wei, L.; Du, K.P.; Liu, G.; Yang, Q.; Wei, Y.; Fang, Q. An online collision-free trajectory generation algorithm for human–robot collaboration. Robot. Comput. -Integr. Manuf. 2023, 80, 102475. [Google Scholar] [CrossRef]
  32. Zhu, J.W.; Liu, L.H.; Tang, G.J.; Bao, W. Optimal guidance with maneuver for hypersonic vehicle in dive phase. J. Natl. Univ. Def. Technol. 2013, 35, 25–30. (In Chinese) [Google Scholar]
  33. Shen, L.J.; Liu, L.H.; Tang, G.J.; Zhu, J.W. All-directions diving guidance for hypersonic vehicles. Aerosp. Control 2016, 34, 54–59. [Google Scholar]
  34. Yan, S.Y.; Ming, C.; Wang, X.M.; Wei, Z.H.; Yang, K.Y. Trajectory optimization for climbing phase of hypersonic aircraft with multi-objective and multi-degree-of-freedom. Mod. Def. Technol. 2024, 11, 1–12. (In Chinese) [Google Scholar]
  35. Xu, H.Y.; Fan, Y.H.; Tong, X. Designing control system of hypersonic vehicle with dynamic pressure constraints considered. J. Northwestern Polytech. Univ. 2019, 37, 41–47. (In Chinese) [Google Scholar] [CrossRef]
  36. Gao, J. Artificial Neural Network Principle and Simulation Example; China Machine Press: Beijing, China, 2003; p. 7. (In Chinese) [Google Scholar]
  37. Chirgaiya, S.; Rajavat, A. Tiny object detection model based on competitive multi-layer neural network (TOD-CMLNN). Intell. Syst. Appl. 2023, 18, 200217. [Google Scholar] [CrossRef]
Figure 1. ASV dynamics characteristics schematic.
Figure 1. ASV dynamics characteristics schematic.
Symmetry 16 01679 g001
Figure 2. Multi-layer perceptron model.
Figure 2. Multi-layer perceptron model.
Symmetry 16 01679 g002
Figure 3. Structural diagram of the RBF network.
Figure 3. Structural diagram of the RBF network.
Symmetry 16 01679 g003
Figure 4. Online trajectory generation approach of aircraft.
Figure 4. Online trajectory generation approach of aircraft.
Symmetry 16 01679 g004
Figure 5. Trajectory dataset.
Figure 5. Trajectory dataset.
Symmetry 16 01679 g005
Figure 6. Prediction results obtained by adopting the traditional and improved RBF neural networks. (a) Comparison of altitude; (b) comparison of velocity; (c) comparison of inclination angle; (d) comparison of pitch angle; (e) comparison of rudder angle; (f) comparison of angle of attack.
Figure 6. Prediction results obtained by adopting the traditional and improved RBF neural networks. (a) Comparison of altitude; (b) comparison of velocity; (c) comparison of inclination angle; (d) comparison of pitch angle; (e) comparison of rudder angle; (f) comparison of angle of attack.
Symmetry 16 01679 g006aSymmetry 16 01679 g006b
Figure 7. System performance regarding online optimization. (a) Time taken for online trajectory generation; (b) CPU occupancy rate.
Figure 7. System performance regarding online optimization. (a) Time taken for online trajectory generation; (b) CPU occupancy rate.
Symmetry 16 01679 g007
Figure 8. Errors encountered after adopting the traditional and improved RBF neural networks. (a) Comparison of altitude errors. (b) Comparison of velocity errors. (c) Comparison of inclination angle errors. (d) Comparison of pitch angle errors. (e) Comparison of rudder angle errors. (f) Comparison of angle-of-attack errors.
Figure 8. Errors encountered after adopting the traditional and improved RBF neural networks. (a) Comparison of altitude errors. (b) Comparison of velocity errors. (c) Comparison of inclination angle errors. (d) Comparison of pitch angle errors. (e) Comparison of rudder angle errors. (f) Comparison of angle-of-attack errors.
Symmetry 16 01679 g008aSymmetry 16 01679 g008b
Table 1. Ranges of variation.
Table 1. Ranges of variation.
Deviation   Δ x Deviation   Δ h Deviation   Δ v
Range ± 1000   m ± 1000   m ± 10   m / s
Table 2. RMSE for prediction results of neural networks.
Table 2. RMSE for prediction results of neural networks.
Method Δ h (m) Δ v   ( m s 1 ) Δ θ (deg) Δ ϑ (deg) Δ α (deg) Δ δ z (deg)
Traditional RBF118.421111.75170.32430.19760.31550.1921
Improved RBF106.123311.42020.32270.19640.29190.1597
Table 3. Terminal error for prediction results of neural networks.
Table 3. Terminal error for prediction results of neural networks.
Method Δ h (m) Δ v   ( m s 1 ) Δ θ (deg) Δ ϑ (deg) Δ α (deg) Δ δ z
Traditional RBF2.236017.10051.44010.98760.98981.1058
Improved RBF1.57026.47570.01430.97790.46390.9238
Disclaimer/Publisher’s Note: The statements, opinions and data contained in all publications are solely those of the individual author(s) and contributor(s) and not of MDPI and/or the editor(s). MDPI and/or the editor(s) disclaim responsibility for any injury to people or property resulting from any ideas, methods, instructions or products referred to in the content.

Share and Cite

MDPI and ACS Style

Yan, S.; Ming, C. Online Trajectory Optimization of an ASV Based on an Improved RBFNN. Symmetry 2024, 16, 1679. https://doi.org/10.3390/sym16121679

AMA Style

Yan S, Ming C. Online Trajectory Optimization of an ASV Based on an Improved RBFNN. Symmetry. 2024; 16(12):1679. https://doi.org/10.3390/sym16121679

Chicago/Turabian Style

Yan, Suyu, and Chao Ming. 2024. "Online Trajectory Optimization of an ASV Based on an Improved RBFNN" Symmetry 16, no. 12: 1679. https://doi.org/10.3390/sym16121679

APA Style

Yan, S., & Ming, C. (2024). Online Trajectory Optimization of an ASV Based on an Improved RBFNN. Symmetry, 16(12), 1679. https://doi.org/10.3390/sym16121679

Note that from the first issue of 2016, this journal uses article numbers instead of page numbers. See further details here.

Article Metrics

Back to TopTop