A Symmetric Experimental Study of the Interaction Between Regular Waves and a Pontoon Breakwater with Novel Fin Attachments
Abstract
1. Introduction
2. A Novel FB with Fin Attachments
2.1. The Geometry of the Prototype
2.2. Scaling of the Experiment
| Quantity | Prototype-Model Ratio | Scale Relationship | Scale Factor |
|---|---|---|---|
| Linear dimensions | 10 | ||
| Linear Velocity | 101/2 = 3.162 | ||
| Acceleration | 1 | 1 | |
| Area | 102 = 100 | ||
| Volume | 103 =1000 | ||
| Angle | 1 | 1 | |
| Angular Velocity | 10−1/2 = 0.316 | ||
| Wave Height | 10 | ||
| Wavelength | 10 | ||
| Wave Period | 101/2 = 3.162 | ||
| Wave Frequency | 10−1/2 = 0.316 | ||
| Water density | 1.025 | ||
| Mass | 1.025 × 103 = 1025 | ||
| Force | 1.025 × 103 = 1025 | ||
| Moment | 1.025 × 104 = 10,250 | ||
| Power | 1.025 × 107/2 = 3241.33 |
3. Experimental Facility and Setups
3.1. Wave Tank
3.2. Experimental Cases
- Without fin attachment: First, the breakwater model without any fin attachment should be tested. The result could be useful for assessing the significance of the fin attachment and comparing the performance of the breakwater with and without the fin.
- With fin attachment—installation angle relative to horizontal plane: From the design of the fin attachment, it could be adjusted to four installation angles, which are 0°, 30°, 60°, and 90°, relative to the horizontal plane.
3.3. Sensors
3.3.1. Force Sensors
3.3.2. Accelerator-Inclinometers
3.3.3. Wave Gauges
4. Results and Discussion
4.1. The Transmission Coefficient of the Model
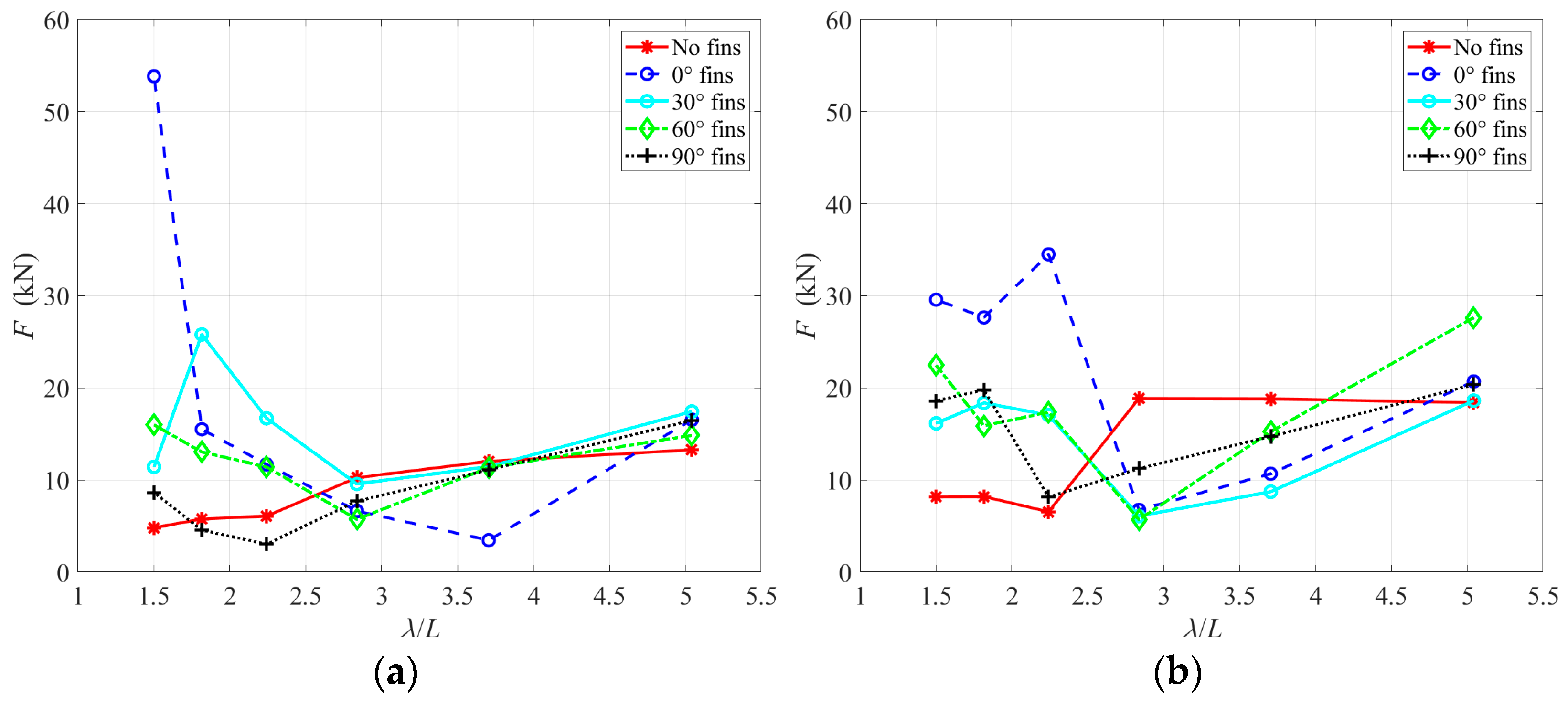
4.2. Load on the Mooring System
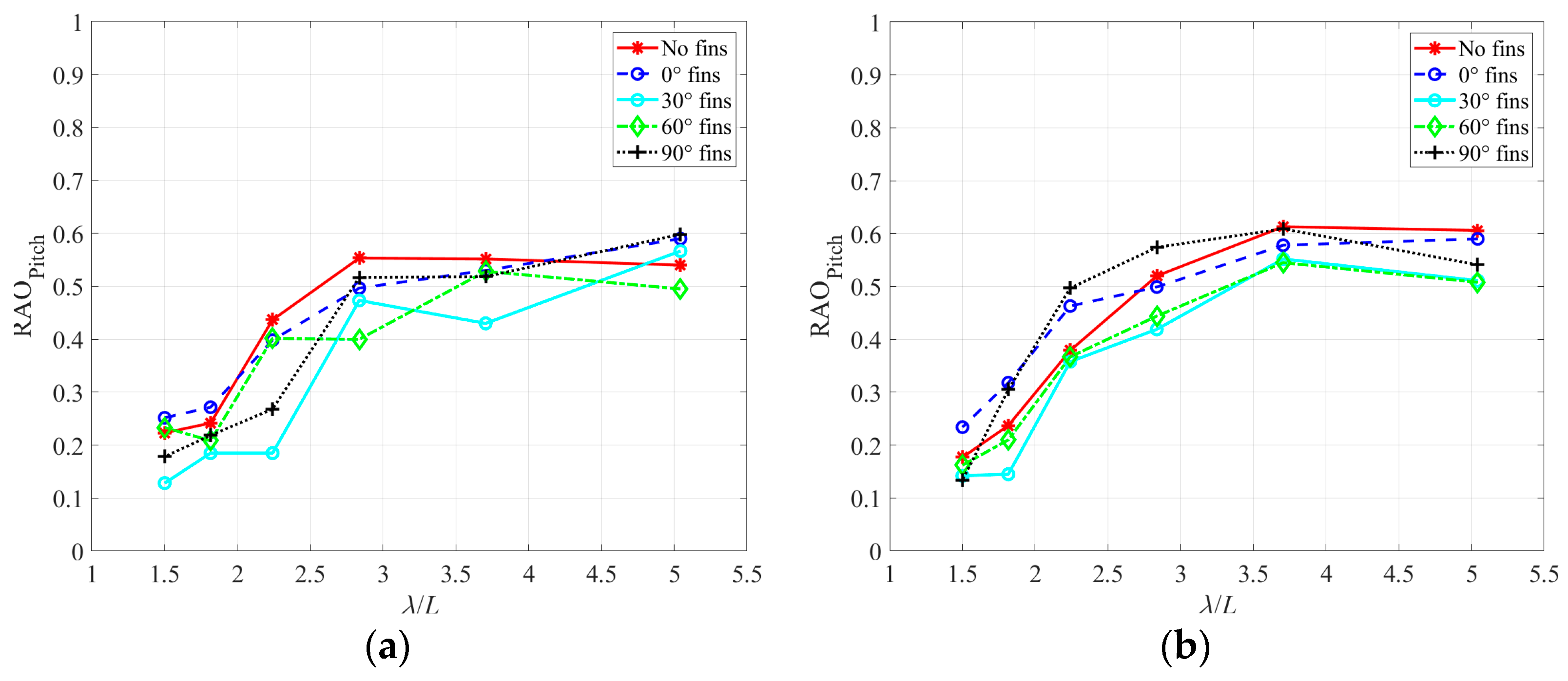
4.3. Motions of the Model
5. Conclusions
Author Contributions
Funding
Data Availability Statement
Conflicts of Interest
References
- Widagdo, A.B.; Sujoko, S.U.; Subarkah, A.; Aziiz, S.A.; Sukmana, C.I.; Saputra, A.D. Study of Wave Deformation Around Floating Breakwater. J. Phys. Conf. Ser. 2020, 1625, 012055. [Google Scholar] [CrossRef]
- Koutandos, E.; Prinos, P.; Gironella, X. Floating breakwaters under regular and irregular wave forcing: Reflection and transmission characteristics. J. Hydraul. Res. 2005, 43, 174–188. [Google Scholar] [CrossRef]
- Zhang, C.; Magee, A.R. Effectiveness of Floating Breakwater in Special Configurations for Protecting Nearshore Infrastructures. J. Mar. Sci. Eng. 2021, 9, 785. [Google Scholar] [CrossRef]
- Cebada-Relea, A.; López, M.; Aenlle, M.L. Time-domain numerical modelling of the connector forces in a modular pontoon floating breakwater under regular and irregular oblique waves. Ocean Eng. 2022, 243, 110263. [Google Scholar] [CrossRef]
- Sohrabi, S.; Lotfollahi Yaghin, M.A.; Mojtahedi, A.; Aminfar, M.H.; Dadashzadeh, M. Experimental and numerical investigation of a hybrid floating breakwater-WEC system. Ocean Eng. 2024, 303, 117613. [Google Scholar] [CrossRef]
- He, F.; Li, J.; Pan, J.; Yuan, Z. An experimental study of a rectangular floating breakwater with vertical plates as wave-dissipating components. Appl. Ocean Res. 2023, 133, 103497. [Google Scholar] [CrossRef]
- Mao, P.; Chen, C.; Chen, X.; Zhang, Q.; Bao, Y.; Yang, Q. An innovative design for floating breakwater with Multi-objective genetic optimal method. Ocean Eng. 2024, 312, 119202. [Google Scholar] [CrossRef]
- Martinelli, L.; Ruol, P.; Zanuttigh, B. Wave basin experiments on floating breakwaters with different layouts. Appl. Ocean Res. 2008, 30, 199–207. [Google Scholar] [CrossRef]
- Koo, W. Nonlinear time–domain analysis of motion-restrained pneumatic floating breakwater. Ocean Eng. 2009, 36, 723–731. [Google Scholar] [CrossRef]
- Ji, C.; Bian, X.; Xu, S.; Guo, J.; Huo, F. Numerical study on the hydrodynamic performance of floating breakwaters with complex configurations. Ocean Eng. 2023, 273, 114032. [Google Scholar] [CrossRef]
- Armono, H.; Suastika, K.; Ridlwan, A.; Biaperi, T. Numerical Study of Bilge Keel Length Variations of Floating Breakwater to Optimize Transmission Coefficient. In Proceedings of the 7th International Seminar on Ocean and Coastal Engineering, Environmental and Natural Disaster Management (ISOCEEN 2019), Singapore, 6–7 November 2019; pp. 191–197. [Google Scholar] [CrossRef]
- Hajivalie, F.; Yeganeh-Bakhtiary, A.; Bricker, J.D. Numerical Study of the Effect of Submerged Vertical Breakwater Dimension on Wave Hydrodynamics and Vortex Generation. Coast. Eng. J. 2015, 57, 1550009-1–1550009-21. [Google Scholar] [CrossRef]
- Jiang, Y.; Ding, Y.; Sun, Y.; Shao, Y.; Sun, L. Influence of bilge-keel configuration on ship roll damping and roll response in waves. Ocean Eng. 2020, 216, 107539. [Google Scholar] [CrossRef]
- Dai, J.; Wang, C.M.; Utsunomiya, T.; Duan, W. Review of recent research and developments on floating breakwaters. Ocean Eng. 2018, 158, 132–151. [Google Scholar] [CrossRef]
- Nasri, B.; Moghim, M.N.; Badri, M.A. Experimental study on trapezoidal pontoon-type floating breakwaters with attached porous plates. J. Ocean Eng. Mar. Energy 2021, 7, 41–57. [Google Scholar] [CrossRef]
- Abul-Azm, A.G.; Gesraha, M.R. Approximation to the hydrodynamics of floating pontoons under oblique waves. Ocean Eng. 2000, 27, 365–384. [Google Scholar] [CrossRef]
- Pena, B.; Muk-Pavic, E.; Thomas, G.; Fitzsimmons, P. Numerical analysis of a leading edge tubercle hydrofoil in turbulent regime. J. Fluid Mech. 2019, 878, 292–305. [Google Scholar] [CrossRef]
- Chakrabarti, S.K. Handbook of Offshore Engineering; Elsevier Science & Technology: Amsterdam, The Netherlands, 2005; ISBN 978-0-08-044381-2. [Google Scholar]
- MatWeb. DuPont Styrofoam Polystyrene Rigid Foam Insulation. 2021. Available online: https://www.matweb.com/search/DataSheet.aspx?MatGUID=c98422e64d1f4bfa98e9d82dc89eaee6 (accessed on 1 May 2024).
- Vryhof Anchors B.V. Vryhof Manual the Guide to Anchoring, 5th ed.; Vryhof Anchors B.V.: Schiedam, The Netherlands, 2015; Volume 49, pp. 25–41. [Google Scholar]
- DuPont™ Styrofoam™ Brand Highload 40, 60 and 100 Insulation. Available online: https://www.dupont.com/content/dam/dupont/amer/us/en/performance-building-solutions/public/documents/en/styrofoam-brand-highload-40-60-and-100-pis-43-D100079-enNA.pdf (accessed on 10 July 2024).
- MatWeb. Aluminium 98% Al2O3. 2021. Available online: https://www.matweb.com/search/DataSheet.aspx?MatGUID=38cd8590a98f457a8f4bea462fe91cfa (accessed on 1 May 2024).
- Lin, C.; Kao, M.-J.; Yang, J.; Raikar, R.V.; Yuan, J.-M.; Hsieh, S.-C. Similarity and Froude Number Similitude in Kinematic and Hydrodynamic Features of Solitary Waves over Horizontal Bed. Processes 2021, 9, 1420. [Google Scholar] [CrossRef]
- Berends, E.E. Scaling Effects and Validation of the Ocean Grazer Experimental Wave Tank Using CFD. Master’s Thesis, University of Groningen, Groningen, The Netherlands, 9 July 2021. [Google Scholar]
- Edinburgh Designs. Flap Ocean Waves Generator. 2009. Available online: http://www4.edesign.co.uk/waves/ (accessed on 1 May 2024).
- Ning, D.; Zhao, X.; Göteman, M.; Kang, H. Hydrodynamic performance of a pile-restrained WEC-type floating breakwater: An experimental study. Renew. Energy 2016, 95, 531–541. [Google Scholar] [CrossRef]
- Huang, L.; Thomas, G. Simulation of wave interaction with a circular ice floe. J. Offshore Mech. Arct. Eng. 2019, 141, 041302. [Google Scholar] [CrossRef]
- Brossard, J.; Jarno-Druaux, A.; Marin, F.; Tabet-Aoul, E.H. Fixed absorbing semi-immersed breakwater. Coast. Eng. 2003, 49, 25–41. [Google Scholar] [CrossRef]
- Fatigue as a Phenomenon in the Material. In Fatigue of Structures and Materials; Schijve, J., Ed.; Springer: Dordrecht, The Netherlands, 2009. [Google Scholar] [CrossRef]
- Yang, Y.; Mi, C.; Ou, B.; Wong, A.; Duffy, J.G.; Wood, T.; Utama, I.K.A.P.; Chen, W.; Huang, L. A comparative experimental study on the hydrodynamic performance of two floating solar structures with a breakwater in waves. Sol. Energy 2024, 284, 113029. [Google Scholar] [CrossRef]













| Dimension | Symbol | Model-Scale | Full Scale |
|---|---|---|---|
| Length | |||
| Height | |||
| Width | |||
| Width per raft | |||
| Draught | |||
| Length of fin |
| Mooring System Type | Taut Leg |
|---|---|
| Length of each mooring line | |
| Angle of each mooring line |
| No. | Experimental Values | Real-World Values | ||||
|---|---|---|---|---|---|---|
| 1 | 0.06 | 4.337 | 0.6 | 0.6 | 43.37 | 0.190 |
| 2 | 0.06 | 3.186 | 0.7 | 0.6 | 31.86 | 0.221 |
| 3 | 0.06 | 2.440 | 0.8 | 0.6 | 24.40 | 0.253 |
| 4 | 0.06 | 1.928 | 0.9 | 0.6 | 19.28 | 0.284 |
| 5 | 0.06 | 1.561 | 1.0 | 0.6 | 15.61 | 0.316 |
| 6 | 0.06 | 1.290 | 1.1 | 0.6 | 12.90 | 0.348 |
| 7 | 0.1 | 4.337 | 0.6 | 1 | 43.37 | 0.190 |
| 8 | 0.1 | 3.186 | 0.7 | 1 | 31.86 | 0.221 |
| 9 | 0.1 | 2.440 | 0.8 | 1 | 24.40 | 0.253 |
| 10 | 0.1 | 1.928 | 0.9 | 1 | 19.28 | 0.284 |
| 11 | 0.1 | 1.561 | 1.0 | 1 | 15.61 | 0.316 |
| 12 | 0.1 | 1.290 | 1.1 | 1 | 12.90 | 0.348 |
Disclaimer/Publisher’s Note: The statements, opinions and data contained in all publications are solely those of the individual author(s) and contributor(s) and not of MDPI and/or the editor(s). MDPI and/or the editor(s) disclaim responsibility for any injury to people or property resulting from any ideas, methods, instructions or products referred to in the content. |
© 2024 by the authors. Licensee MDPI, Basel, Switzerland. This article is an open access article distributed under the terms and conditions of the Creative Commons Attribution (CC BY) license (https://creativecommons.org/licenses/by/4.0/).
Share and Cite
Lyu, X.; Yang, Y.; Mi, C.; Tang, C.M.; Adeboye, L.; Farhan, M.; Collins, S.; Ou, B.; Wong, A.; Gordon Duffy, J.; et al. A Symmetric Experimental Study of the Interaction Between Regular Waves and a Pontoon Breakwater with Novel Fin Attachments. Symmetry 2024, 16, 1605. https://doi.org/10.3390/sym16121605
Lyu X, Yang Y, Mi C, Tang CM, Adeboye L, Farhan M, Collins S, Ou B, Wong A, Gordon Duffy J, et al. A Symmetric Experimental Study of the Interaction Between Regular Waves and a Pontoon Breakwater with Novel Fin Attachments. Symmetry. 2024; 16(12):1605. https://doi.org/10.3390/sym16121605
Chicago/Turabian StyleLyu, Xiangcheng, Yifeng Yang, Chenhao Mi, Chi Man Tang, Lukman Adeboye, Mohamed Farhan, Stan Collins, Binjian Ou, Anson Wong, John Gordon Duffy, and et al. 2024. "A Symmetric Experimental Study of the Interaction Between Regular Waves and a Pontoon Breakwater with Novel Fin Attachments" Symmetry 16, no. 12: 1605. https://doi.org/10.3390/sym16121605
APA StyleLyu, X., Yang, Y., Mi, C., Tang, C. M., Adeboye, L., Farhan, M., Collins, S., Ou, B., Wong, A., Gordon Duffy, J., & Huang, L. (2024). A Symmetric Experimental Study of the Interaction Between Regular Waves and a Pontoon Breakwater with Novel Fin Attachments. Symmetry, 16(12), 1605. https://doi.org/10.3390/sym16121605

