Abstract
A review of recent advances in spacetime optics is given, with special emphasis on time refraction. This is a basic optical process, occurring at a temporal discontinuity or temporal boundary, which is able to produce various different effects, such as frequency shifts, energy amplification, time reflection, and photon emission. If, instead of a single discontinuity, we have two reverse temporal boundaries, we can form a temporal beam splitter, where temporal interferences can occur. It will also be shown that, in the presence of an axis of symmetry, such as a magnetic field, the temporal beam splitter can induce a rotation of the initial polarization state, similar to a Faraday rotation. Recent work on time crystals, superluminal fronts, and superfluid light will be reviewed. Time gates based on spacetime optical effects will be discussed. We also mention recent work on optical metamaterials. Finally, the quantum properties of time refraction, which imply the emission of photon from vacuum, are considered, while similar problems in high-energy QED associated with electron–positron pairs are briefly mentioned.
1. Introduction
Temporal effects in optics, and the corresponding spacetime symmetries, have been considered for a long time [1,2], but in recent years, this area seems to have experienced a kind of explosion. The concept of time refraction, which is an essential ingredient of what is now called spacetime optics, has only emerged in recent years. It has become one of the central pieces of our understanding of what is a new area of optics, in both the classical and quantum regimes. This concept was formulated in classical terms by several authors [3,4,5,6,7]. New theoretical approaches, such as generalized matrix methods to solve wave scattering by temporal structures [8], have been implemented. In quantum optics, time refraction was formulated in [9], and discussed in more implicit terms in [10]. Application of these concepts to quantum cosmology has also been explored [11]. Recent work shows an increase in interest on the quantum aspects of temporal optics [12,13,14].
Experimental observation of time refraction has been reported in several domains and in different configurations, well before the explicit formulation of the concept. The first possible observation was reported by Yablonovich in 1974 [15], using laser breakdown experiments. At that time, this was simply described as a self-blue shift of the incident laser spectrum. It was clearly due to the sudden ionization of a neutral gas by the incoming laser beam, and was characterized by a spectral shift in the incident light spectrum towards the high frequencies, in other words, a blue shift in the laser spectrum. Similar effects were later observed in laser and microwave ionization experiments [16,17], and it became a regular experimental evidence in intense laser–plasma interaction experiments. More recently, time refraction was reported in experiments using microwaves in metamaterials [18] and infrared subcycle pulses in epsilon near-zero optical conditions [19]. Finally, it was reported in acoustic experiments, where the electromagnetic radiation is replaced by sound waves [20]. Time refraction in spin waves has also been considered [21].
This concept is therefore a general process, associated with any kind of wave propagating in a background non-stationary medium. It opened the door to a new and increasingly active field. This topic is particularly relevant in the context of metallic thin films and metamaterials, as shown by a large number of recent publications [22,23,24,25,26,27,28,29,30], as well as short [31] and long reviews [32]. It can be used to manipulate the properties of metasurfaces, leading to the development of new optical devices, such as those to control wavefront shapes [33]. Of particular relevance is the use of highly doped semi-conductors, showing reduced dissipation and remarkable optical properties in the near infrared, such as a negative refraction [34] and a near-zero refractive index (see [35] for an overview). It should be added that, in magnetized media, the occurrence of temporal boundaries can eventually induce Faraday rotation [36], and more generally, the generation of photon angular momentum.
An important property of time refraction is that it is a first-order effect, which concerns every photon propagating in the medium, in the same way as the usual space refraction. For that reason, it can easily be observed at the macroscopic classical level, using a photon beam of arbitrarily low intensities. Several manifestations of time refraction have indeed been identified. In the classical regime, there are mainly two: frequency shift and time reflection. Light amplification by successive time refraction events is also possible. The use of light amplification in temporal optics has been emphasized by several researchers (see, for instance, the references [37,38,39]). We should also add the emission of photon pairs, which is only relevant in the quantum regime.
Here, we review time refraction in classical and quantum regimes and describe its main physical features, including frequency shifts, temporal Snell’s and Fresnels laws, the temporal Bragg effect, and amplification. A first version of this review appeared as a conference paper [40]. The cases of (i) a single temporal boundary, (ii) a temporal beam splitter made of two consecutive temporal boundaries, (iii) generalization to time crystals made of a succession of temporal beam splitters, and more general temporally modulated media, are considered. A relevant aspect of these configurations is that they reveal the importance of temporal interference, which has been explored in the temporal version of Young’s double-slit experiment, discussed in [41].
A quantum-optical description of these processes is also possible and reveals the creation of photon pairs in quantum vacuum. This photon pair creation is indeed very similar to that of the dynamical Casimir effect, and in some sense, time refraction generalizes the dynamical Casimir picture because no spatial boundary conditions are necessary. But there are differences. Time refraction is a first-order optical process that exists in both classical and quantum regimes. It affects all photons in the medium and is independent of boundaries. In contrast, the dynamical Casimir is usually identified as a second-order quantum effect, which depends on the existence of oscillating boundaries, although classical analogs can be envisaged.
Finally, we consider the strong-field regime, associated with intense laser pulses, where temporal optical effects are related to possible electron–positron pair creation. This new regime is the so-called intense field or high-energy QED. In order to illustrate it, we briefly mention the temporal Klein model, which is a temporal version of the well-known Klein paradox. This model describes a kind of time refraction of the Dirac field and explains the creation of particle pairs in a non-stationary vacuum. This is ultimately related to the predicted vacuum breakdown at ultrahigh laser intensities.
2. Spacetime Boundaries
The simplest way to understand the main differences between space and time boundaries is to consider photon propagation across a moving boundary, where both the frequency (or energy) and the wavevector (or momentum) change across the boundary. We assume a sharp boundary between two media with refractive indices and , moving with an arbitrary velocity v along an arbitrary axis (see Figure 1). (More complicated scenarios, including two or more boundaries, moving at different velocities, could be envisaged. They would produce wedges in spacetime, as recently discussed in [42]. Here, we limit our discussion to a single boundary, for formal consistency.) The sharpness of the boundary is not a fundamental issue and only simplifies our discussion.
Figure 1.
Spacetime refraction: (a) boundary moving with velocity v along the x-axis, (b) boundary at rest, . We represent the plane, where two optical media with different refractive indices, to , are separated by a moving boundary (oblique line in the plane). The angles represent the photon velocity in the two media, . For the particular case of (b), where the boundary is at rest, we get a simpler picture, where the boundary coincides with the x-axis. In this case, we include two initial beams moving with the same frequency but in opposite directions.
Using geometric optics or a more exact full-wave description, it is then possible to derive a generalized Snell’s law, which follows from the existence of two independent invariants of the form [3,43]:
where are the angles of propagation in the two media with respect to the axis and . Notice that the frequencies and are, in general, different from each other. For a boundary at rest, , we are reduced to pure space refraction, described by the historical Snell’s law, , and no frequency shift is observed, . This is associated with a space symmetry breaking, where the presence of a boundary destroys translation invariance and introduces a change in the photon momentum but not its energy.
Another relevant situation corresponds to an infinite velocity of the boundary, , where we are reduced to a purely temporal process because the refractive index changes everywhere at the same time in the medium. In this case, we have and . By analogy with the previous space refraction, we call it time refraction. In this case, the photon frequency changes, but momentum is conserved. Notice that we can use proper Lorentz transformations to reduce the case of a finite velocity to these two extreme cases. The subliminal cases, , can be reduced to space refraction, while the superluminal cases, , can be reduced to time refraction.
As previously mentioned, the first reported observation of a frequency shift associated with the temporal change in the medium was probably made in 1974 [15], when a laser pulse was used to ionize nitrogen and helium gas jets. In these early experiments, the observed spectrum of the laser radiation was considerably blue-shifted after ionization. For that reason, the process was initially named self-blue shift. It is now currently reported in laser pulse interactions with matter (see, for instance, [44,45,46,47,48]). Recent experiments on time refraction, not related to ionization but to solid state materials, have also been reported [18,19].
A full-wave description can be used to extend the Fresnel formulae onto the temporal domain. For that purpose, we use the temporal continuity equations for the electromagnetic field. More specifically, the displacement and magnetic fields, and , will have to stay valid for all times, including the discontinuity time, , in order to guarantee the validity of Maxwell’s equations [9]. It is important to note that, in general conditions, these field continuity conditions imply the existence of a reflected signal. Therefore, time refraction also necessarily (and surprisingly!) implies reflection in space. The emission of this reflected signal due to a temporal change in the medium can be called time reflection [4].
We therefore assume that, prior to time discontinuity , two beams of the same frequency are present in the medium, and propagate in opposite directions. Defining as the amplitude of a beam propagating with wavevector and as the amplitude of a beam propagating in the opposite direction, , the reflection and transmission coefficients resulting from a temporal discontinuity are given by [49]:
where is the ratio between the initial and the final refractive indices of the optical medium. These expressions can be called the temporal Fresnel’s laws. It should be noticed that they predict the occurrence of total reflection, , when the two initial field amplitudes satisfy the relation . Similarly, we can have total transmission, , when . Total transmission is the temporal analog of Brewster’s angle and defines a temporal Brewster’s angle in the spacetime plan . The concept was recently explored in [50]. For isotropic media, there is no dependence of the field polarization direction, but this is not necessarily true for anisotropic media, as discussed below.
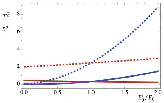
Notice that there is no energy conservation in time refraction, and an exchange of energy always occurs between the electromagnetic field and the optical medium. This is associated with the fact that, in order to satisfy momentum conservation, the emission of a reflected signal implies the increase in momentum in the transmitted direction. As a result, if the frequency increases, there is an increase in the total electromagnetic energy. In order to illustrate this property, we represent in Figure 2 the quantities and , as a function of , for different values of the ratio .
Figure 2.
(red curves) and (blue curves): as a function of the ratio , for and (dashed).
Of course, in the simple case of a single initial mode, such that , the above expressions reduce to
In this case, total reflection and total transmission are completely absent, except in the trivial case of .
3. Quantum Time Refraction
Although most of our present review is based on classical optics, it is useful to briefly consider the case of quantum optics. The concept of time refraction can easily be transposed from classical to quantum optics, also sometimes called optical QED. Here, the field amplitudes have to be replaced by field operators, and similar continuity relations can be established for these operators. This quantum theory confirms the effects of frequency shift and time reflection already known from the classical model, but a new effect also appears, which is the emission of photons from vacuum. This is an intrinsic quantum effect.
To understand this new effect, let us consider a Fock state of n photons with frequency propagating in the forward direction, with no photons in the backward direction, as defined by the state vector . It can than be shown that, after a time refraction event at , we observe states with both forward and backward photons, defined by the new state vector , where s is the number of photon pairs created by the temporal discontinuity. This photon pair creation process can be described by [9,49]:
where the probability for the occurrence of different photon states is determined by
where the two coefficients A and B are defined by
Notice that these coefficients satisfy the hyperbolic relation , characteristic of a bosonic field. Obviously, the photons propagating in the forward direction, with wavevector , correspond to the transmitted signal, while the s photons propagating in the backward direction correspond to the reflected signal. Given the final value of the refractive index, both signals propagate in the new medium with a shifted frequency, determined by . For recent discussions on quantum time refraction, see [51,52,53,54].
4. Temporal Beam Splitters
As a natural extension of the basic time refraction process described above, we can consider a temporal beam splitter, which is the temporal analog of the well-known optical beam splitter. This is defined in the following way. We assume that, at , the refractive index suddenly changes from its initial value to a different value , and then, after a time interval , the refractive index returns to its initial value . This time interval is the analog of the width of an optical beam splitter. Of course, the main difference is that there are three independent directions in space, with only a single direction in time. Using the two consecutive continuity relations, as above, we can derive the time-transmitted and time-reflected coefficients in the form
and
where and are the final transmitted and reflected field amplitudes, after the two consecutive temporal discontinuities, as indicated in Figure 3. For simplicity, we assume in these expressions that no reflected signal is initially present, , as in Equation (3). But the general case with can be equally defined [49].
Figure 3.
Temporal beam splitter, made of two successive time refraction events: First, at , the refractive index suddenly changes, from to , and then at , the refractive index returns to its initial value . Incident, reflected, and transmitted rays across the temporal slab of duration are represented.
We clearly see that these coefficients oscillate as a function of the temporal width . This is obviously a result of interferences created by the two temporal surfaces. As before, the maximum values of these coefficients are defined by the ratio between the two refractive indices, . Notice that, in the limit or , the maximum reflected and transmitted fields can grow indefinitely, showing an unlimited increase in the total energy of the radiation field.
This concept of temporal beam splitters was recently revisited, for short-pulse propagation in metamaterials [24], where the above analytical results were confirmed by numerical simulations, and more complicated temporal processes were also numerically solved. However, it should be noticed that analytical solutions can also be derived for pulses with an arbitrary temporal shape. This analytical approach is based on the analogy with wave propagation in inhomogeneous optical media, such as in stratified media. It is actually quite easy to derive time transmission and time reflection coefficients for propagation in a generic non-stationary medium, where the refractive index is an arbitrary function of time, . This leads to the following expressions for the transmitted and reflected electric field amplitudes [55]
and
where the phase is defined by
Here, the time-dependent wave frequency is determined by the instantaneous wave dispersion relation, assumed as locally valid, as indicated. But more intricate relations with nonlinear and nonlocal dispersion terms can also be derived. It is particularly useful to consider the case of a slowly varying medium, where the incident wave is always dominant, and we have . In this case, the time reflection and time transmission coefficients are then given by
and
It is interesting to notice that these equations are the exact temporal analogs of the reflection and transmission coefficients defined in stationary inhomogeneous media, where the refractive index varies in space and not in time, as discussed in several books (see, for instance, [56,57]).
5. Temporal Rotations
We review the concept of temporal rotation, leading to a change in the angular momentum of light, in the presence of an axis of symmetry, as a static magnetic field. This includes temporally induced Faraday and Cotton–Mouton effects, which are first- and second-order polarimetric effects for propagation along and across the magnetic field. They could occur when a sudden change in the refractive index of the medium takes place in the presence of a static magnetic field. This means that temporal optics could be used to produce optical isolators. We limit our discussion here to the Faraday effect.
It should be noticed that we need two consecutive time boundaries, as in a temporal beam splitter, to achieve rotation. An isolated time boundary would only produce two distinct frequency shifts to the two modes polarized in orthogonal directions, such that we could not speak of a temporal rotation. This can be easily understood, if we consider a wave with frequency propagating along the static magnetic field , represented by a linearly polarized electric field , where are the circular polarization states. If the refractive index suddenly changes from to , for instance due to ionization of the medium, for , we have, according to Equation (3), a new electric field of the form
The quantities can be represented as
where is the plasma frequency, and is the electron cyclotron frequency. We can see that the two orthogonal field components are no longer identical, , and the initial linear polarization would be modified. But at the same time, the frequencies of these two components are no longer identical, according to , which means that for , two separate spectral components propagate independently from each other. We therefore cannot talk about the polarization of a single wave mode.
Only when, after some interval , the initial refractive index is recovered, as it occurs in a temporal beam splitter as discussed above, can we talk again of a single wave mode and derive a Faraday rotation. This rotation (which is generally accompanied with a change in helicity) will be determined by the final field , emerging from the temporal beam splitter with the initial frequency , which can be written as
where, using Equation (8) for the two orthogonal modes, we have
with . Other temporal process leading to the creation of photon angular momentum are due to spacetime non-uniformities of the refractive index, and not to optical anisotropy. This topic, related to both spin and orbital angular momentum, is phenomenologically very rich, and will be developed elsewhere.
6. Time Crystals
Time refraction and temporal beam splitters are also intimately related with the concept of time crystal. This concept was initially imagined as a result of spontaneous symmetry breaking, leading a physical system to its lowest energy state [58], in a way similar to (space) crystallization. In its final state, the system would spontaneously oscillate in time, in analogy with the periodic space arrangements of the ordinary crystals. However, it was soon realized that time crystalization cannot spontaneously occur, because it needs to be driven by an external energy source [59], and therefore is not a property of isolated systems. Subsequently, many different configurations of driven time crystals have been proposed in different media (see [60] for a review), such as in ultra-cold atomic matter [61]. Temporal multilayer structures and their relation with non-Abelian gauge fields have recently been considered [62]. Another way of describing this process is to consider multiple collisions of an optical pulse with a temporal boundary [63]. A perturbation theory for spacetime periodic media has also been developed [64]. Of particular interest in this context are the so-called photonic time crystals [65,66,67,68,69], which are a natural extension of the previous concepts.
A closely related process is known as the dynamical Casimir effect [70,71,72], which was developed quite independently. It is however physically distinct from a generic time crystal because, while time crystals can occur in unbounded time-varying media, the dynamical Casimir effect requires the existence of an oscillating boundary. In a more general field theory, these two concepts eventually coalesce while keeping their specific identities. Historically, the dynamical Casimir is an extension of the original model associated with the Casimir force [43,73,74], which is a property of quantum vacuum limited by static boundaries. Its dynamical version was first studied by Moore [70] and others [71] and considered an oscillating instead of a static boundary. This property of photon pair emission is a common property associated with time refraction as well as the dynamical Casimir.
In contrast with classical effects, such as frequency shift and refraction, the quantum properties of time refraction in a time-varying medium only concern a small number of photons, due to a very low emission probability. The same occurs for the dynamical Casimir effect associated with a moving boundary, which is a closely connected process. For that reason, the quantum manifestations of time refraction are much more difficult to find. We should, however, mention that observation of the dynamical Casimir effect has be claimed in superconducting circuits [75].
The simplest way to obtain a time crystal is to superpose a large number , of identical and equally spaced temporal beam splitters, distant from each other by a duration , as represented in Figure 4. Alternatively, we could assume periodic modulations of a continuously varying medium, where the influence of space boundaries can once more be forgotten. For this purpose, we consider an optical medium where the refractive index oscillates at a given frequency , as described by
where is the amplitude of the oscillation. Applying the quantum formulation for non-stationary media [55], we can conclude that the number of photon pairs emitted in two opposite wavevector modes and with the same frequency is given by
where the quantity is defined as
where are Bessel functions. The main contribution to the emission of photon pairs is clearly given by the constant part of the function , because the integral of the oscillating terms over a long time interval in Equation (19) will be averaged to zero. This constant part is defined by the condition
This formula defines what can be seen as a temporal Bragg diffraction, which is the condition to attain a maximum value of backscattered (or time-reflected) light. Recent developments on temporal Bragg diffraction can be found in [76]. But due to the need to satisfy total momentum conservation, it also corresponds to a maximum of time-transmitted light. These peaks of the back and forward scattered signals occur when the frequency ratio takes the value of , for , which is the well-known dynamical Casimir condition, and more generally of , for integer . This shows that a time crystal is intimately related to the dynamical Casimir effect, as it is associated with a temporal oscillation of the optical path in the medium. Still, we are very far from the usual model of the dynamical Casimir effect, based on the oscillating mirror.
Figure 4.
Time crystal, made of successive temporal beam splitter events with the same duration , and the same refractive index , on a background of refractive index , separated by a time interval .
7. Superluminal Fronts
Until now, we have only considered the case of temporal changes in unbounded media. But if we assume the simultaneous effects of space and time variations, we can have access to new kinds of phenomena, such as photon acceleration (mainly studied in plasmas) and self-phase modulation (in nonlinear optics), which have been mainly discussed in the frame of classical physics. There are some particular cases, however, where simple quantum descriptions have been proposed. This is the case of perturbations moving with superluminal velocity, such as superluminal ionization fronts [77] (see also the related work [78,79]), which we will now briefly discuss.
Relativistic ionization fronts usually move with velocities below the speed of light, and have been studied theoretical and experimentally for very long time [17,80]. They can be described by sharp boundary layers between a neutral and an ionized gas. The basic principle of ionization fronts is that of an optical boundary with relativistic velocity, produced by an intense laser pulse, in the absence of motion of atoms and charged particles. This relativistic boundary separates the plasma region from the neutral gas region. On one side of the front, we have free electrons and ions, while on the other side, we only have neutral atoms. The motion of this boundary is similar to that of a fire front, which can move very fast in a forest, even if the trees are immobile and attached to the ground. The behavior of a probe beam with frequency crossing this boundary can be described by a refractive index of the form
The plasma frequency is determined by the free electron density and varies abruptly across the front. It can be described by an expression of the form
where we assume a front velocity moving along an arbitrary x-axis, with velocity . The quantity defines the width of the front, and is a constant determining the maximum value of the plasma frequency attained behind the front. Chirp effects associated with the frequency distribution inside the pulse interacting with a moving boundary are very important for the final state of the transmitted pulse [81,82]. But, for simplicity, we only discuss single frequency processes here.
Superluminal fronts, with , although not easy to create, are possible because these are optical boundaries, not related to any actual particle motion. There are several ways to produce these superluminal fronts in the laboratory, in particular, using the flying focus concept [83,84]. This concept has recently been explored and is mainly based on the use of short laser pulses with a broad spectrum, combined with chromatic optical components, for instance, the use of a chromatic lens with a focal distance that depends on the frequency. When a short pulse is focused by such lenses, the different parts of the spectrum will focus at different positions and, if sufficiently intense, they will ionize the neutral gas at different instants and different locations, eventually creating an ionization front that moves with an arbitrary velocity. Such optical arrangements have been explored by different groups in simulations and experiments, and are not in contradiction with special relativity.
Apart from a pioneering work based on geometric optics [77], superluminal fronts have also been theoretically described in the frame of quantum optics, several years before the appearance of these recent flying focus devices; see [55,85]. Such theoretical models have shown that superluminal fronts can be reduced to a purely temporal process, identical to time refraction, if we use an adequate reference frame. Making a Lorentz transformation to a moving frame , such that it moves with respect the laboratory frame S with an appropriate velocity V, and considering the well-known velocity transformation formula [86], we have
We realize that, for , the front velocity in the new frame will diverge, , if we choose . Noting that the plasma frequency is a relativistic invariant, we can easily conclude that, in the coordinates of the moving frame, this quantity only depends on time, and will be described by
where , with . Notice that is negative, because the front is superluminal, . This expression shows that the superluminal front is reduced to a time refraction event, occurring at (see Figure 5). Applying the above results for time refraction to this new configuration, and transforming the frequency of the transmitted and reflected signals, and , back to the laboratory frame S, we are then led to the following results [87]
where is the frequency of the incident signal, and pertains to parallel and anti-parallel propagation, such that and . This shows that, in contrast to the previous time refraction process occurring in the laboratory frame, the two frequencies of the transmitted and reflected signals can now be very different. This is related to the fact that superluminal fronts break the symmetry of both space and time, and not just time. The physical consequences of this result are quite dramatic, because, for , one of these two frequencies becomes very large, according to the sign of s. This means that superluminal fronts can considerably enhance the time refraction process, in terms of frequency and energy upshifts.
Figure 5.
Superluminal front: plasma frequency in the time frame, moving with velocity with respect to the laboratory frame.
8. Temporal Gates
These gates are associated with the temporal control of light propagation in a medium. They can be achieved by several different methods. An example is given here, for illustration, based on perturbed EIT in a gas of Rydberg atoms. But other spacetime configurations are possible, such as a perturbed transmission near critical angles, spatial Brewster’s angle, and spatial total reflection [88]. Another possible configuration explores the tunneling process in superimposed space- and time-forbidden boundaries.
Let us assume a gas of Rydberg atoms, to which we suddenly apply an intense electric field. This will change the frequency of the atomic transmission lines, as well as the susceptibility of the medium, leading to an eventual inhibition of transmission during short time intervals. We consider the case of EIT configuration, which considerably amplifies these spectral effects. In this case, the susceptibility near an atomic transition takes the form [89,90,91,92]
where is a reference value, is the Rabi frequency, is the transition bandwidth, and is the frequency detuning associated with the static or dynamical Stark effect and due to a control field. A typical form of the frequency detuning s is given by
where is a reference value and the spectral detuning, induced on a fast time scale . As a result of these spectral shifts, the properties of light propagation change across the gas, as illustrated by Figure 6. This creates a time gate with a duration of the order of and a correlated frequency shift, . Temporal gates in the femtosecond time scale seem possible, using the dynamical Stark effect with current laser systems. See the related work of [93] on the temporal analogs of EIT.
Figure 6.
Temporal Rydberg–EIT gate: Radiation intensity transmitted through the gas, (in bold), frequency shift , and Stark-induced detuning, (dashed curve). Normalized units are used.
9. Time Refraction Without Time
Let us now consider time refraction from a completely different perspective, where instead of non-stationary effects related to light beams, we consider diffraction effects created by continuous light beams in stationary media. These diffraction effects can be described as waves, in the context of superfluid theory.
Superfluid light has indeed been considered in recent years, associated with continuous photon beams (laser beams) that propagate in nonlinear Kerr media [94,95,96]. The diffraction fringes, created in the transverse beam structure by some eventual obstacle, are described in a way that is formally very similar to Bogolioubov modes in two-dimensional Bose–Einstein condensates (BECs). This formal analogy becomes apparent when we identify the axis of propagation in the Kerr medium as a kind of temporal direction. In this analogy, two transverse sections of the laser beam will be perceived as two different instants of “time”. When such a description is possible, the transverse section of a laser beam behaves as a two-dimensional superfluid. This opens new opportunities for theory and experiments, and a new approach to superfluid phenomena, where we replace BECs by much simpler nonlinear optics media.
An interesting version of time refraction was recently identified in superfluid light, where temporal processes are totally absent. It occurs when the photon beam propagating in a static Kerr medium perceives a sharp discontinuity of the nonlinear susceptibility of the medium [97]. While photons propagate in the stationary beam along some z-direction of the medium, the existence of a sharp boundary at some location , between two regions of the medium with two different nonlinear susceptibilities, and , leads to the excitation of diffraction waves in the perpendicular -plane. These diffraction waves satisfy a dispersion relation that is formally identical to that of Bogolioubov oscillations in a BEC, and can therefore be called bogolons. This is illustrated in Figure 7. The sharp spatial boundary between the two nonlinear regions can then be perceived as a temporal boundary, where the time variable is now the axial variable z divided by the velocity of light, .
Figure 7.
Time refraction in a static medium: diffraction ring at (a) , where the nonlinearity of the medium is described by , and at (b) , where the nonlinearity susceptibility is .
In order to describe this process, we use the envelope equation for the electric field, which is a nonlinear Schrödinger equation, written in terms of BEC variables. In such a specific context, this nonlinear equation can more appropriately be called a Gross–Pitaevskii equation. For that purpose, we start from the electric field associated with a photon beam (or laser beam) propagating in the Kerr medium, as described by
and use the paraxial approximation. After an appropriate change of variables [43], the paraxial equation describing the slow evolution of the field amplitude can be written in the form
with . This is formally identical to the Gross–Pitaevskii equation, used to describe a two-dimensional Bose–Einstein condensates in the mean-field approximation. But here, the role of the condensate wavefunction is played by the electric field amplitude , and the time variable t is just a rescaled space variable, where z is divided by the speed of light, . Furthermore, we have also introduced an effective photon mass and a coupling constant describing the linear and nonlinear optical properties of the medium, as defined by
where is the linear dielectric function. Here, it is also assumed that the axial wavenumber k is related to the wave frequency by the linear dispersion relation of the medium, such that .
If we further explore the analogy with a two-dimensional fluid, we can use a Madelung transformation, such that , where the square of the beam amplitude (the beam energy) is the fluid density , and the gradient of the field phase is the fluid velocity , as
This allows us to derive from Equation (30) the equations for the photon fluid, which can be identified with superfluid light. In particular, if this fluid is perturbed by some optical irregularity, the resulting density perturbations will satisfy a dispersion relation that is formally identical to the Bogoliubov dispersion relation for a BEC, of the form
where is the Bogoliubov speed and is the unperturbed fluid density. This result is valid for density perturbations evolving with frequency and wavevector , defined in the perpendicular plane . This is formally identical with what occurs in a two-dimensional Bose–Einstein condensate, but the quantity is not a frequency in the usual sense, because the variable time t is not a physical time but the beam propagation direction. These perturbations are indeed diffraction waves, defined as beam intensity modulations in the perpendicular plane, and by analogy with the condensates can be called bogolons, because they satisfy identical dispersion relations.
Now, if at some point (which corresponds to an instant in temporal units), there is a sharp discontinuity of the nonlinear susceptibility, from an initial value to a different value , in temporal units, this can be seen as time refraction. Therefore, a description similar to the above time refraction can be used to relate the initial wave “frequency” to the final one, , because has changed. This is a process that is formally identical to time refraction but occurs in a static configuration where the abrupt changes take place along the paraxial direction z and not in physical time.
The elementary excitations of the medium are not photons, but bogolons, another kind of bosons. And instead of photons propagating in the axial beam direction, they are diffraction waves in the perpendicular plane. But we can nevertheless define temporal reflection and transmission coefficients, as in [97]:
They are very similar but not identical to the temporal Fresnel’s laws given by Equation (3). The new parameter is determined by the Bogoliubov dispersion, valid on the two sides of the medium (33), and is now equal to . Another important difference with respect to photon time refraction is that in bogolon time refraction, the sum of the refraction and transmission coefficients is independent of the parameter and always equal to one, .
Simulations of the Gross–Pitaevskii Equation (30) confirm the validity of these analytical results and allow us to explore further the time refraction mechanism in the nonlinear bogolon regime. Furthermore, we can also define temporal beam splitters for bogolons, as well as the equivalent of time crystals, in this purely static problem. This illustrates the generality of the time refraction concept, which can survive even in the absence of temporal discontinuities.
10. High-Energy QED
A further step in the theory of quantum time refraction involves what is usually called high-energy QED, which assumes that quantum vacuum is not just made of virtual photons, but also of virtual electron–positron pairs. This new configuration is relevant to the physics of ultra-intense lasers, in the multi-Petawatt regime [98,99]. This more complete view of quantum vacuum includes not only photons as considered above, but also electrons and positrons as described by Dirac’s equation.
In order to discuss this last topic, we assume the case of pure vacuum, where intense electromagnetic fields can be treated quasi-classically. Here, time refraction is related not to a sudden change in refractive index, but to a sudden change in the vector potential, , and leads to the excitation of particle pairs. Such an elementary process can be described by a temporal Klein model.
Almost one century ago, Oscar Klein solved Dirac’s equation for the case of a potential step , and showed that, for an incident electron, the reflection probability could be larger than one. This was initially called the Klein paradox, but was later understood in terms of particle pair creation. The origin of this creation is the singularity of the electric field defined by the discontinuity of the static potential V.
A similar problem is associated with a temporal step of the vector potential, . In this case, the singularity of the electric field is created at . The solution of Dirac’s equation for this temporal problem leads to the following probability for the electron–positron pair creation, f [100]
where is the normalized vector potential, and specifies the particle momentum. This simple expression is valid for states such that , and the momentum parallel to the vector potential is negligible and assumes an infinitely fast time-step.
This can be generalized to more realistic configurations, associated with finite temporal variation in the vector potential , where the electric field can be created by intense laser pulses [101]. This approach shows that pair production in vacuum can be described in the frame of a temporal paradigm, which extends our previous discussion of time refraction and spacetime optics.
11. Conclusions
In this paper, we have given an overview of spacetime optics, centered on the concept of time refraction. This is a first-order process, at the same level as the usual (space) reflection, and concerns every light beam propagating in a non-stationary medium. This process results from time symmetry breaking, and involves the excitation of a reflected signal. Just as space refraction, occurring at the space boundary between two media, time refraction occurs at a temporal boundary and produces two beams, the transmitted and the reflected beam. Expressions for time transmission and time reflection coefficients were given. They show that photon momentum is conserved but not energy, because the radiation frequency has to adjust to the new value of the refractive index.
Apart from these two distinct signatures, time reflection and frequency shifts, when considered in the frame of quantum optics, temporal discontinuities also imply photon creation in vacuum. We have discussed the concept of a temporal device called temporal beam splitter, which is made of a sequence of two inverse time refraction events, and can be seen as the temporal counterpart of the optical beam splitter, one of the most basic devices used in both classic and quantum optics experiments [43,102]. More complicated temporal devices can also be imagined, such as time cavities and photonic time crystals, through the addition of periodically spaced temporal beam splitters. These new temporal arrays display resonant transmission and reflection properties that can be described by simple temporal Bragg laws.
Time crystals are closely related to the dynamical Casimir effect, a quantum process due to oscillating optical boundaries. Although defined in a different physical geometry, the dynamical Casimir effect and time crystals rely essentially on the same elementary properties of quantum vacuum. However, time refraction and time crystals are independent of optical boundaries and can occur in unbounded and uniform media. Under certain conditions, a link with another quantum vacuum process can be established. This is known as Unruh radiation, and is emitted by a particle moving in vacuum with uniform acceleration. To provide such a link, the concept of effective Unruh acceleration was proposed in [103], but the physical picture is still not clear.
The basic concept of time refraction is associated with sharp temporal boundaries, in analogy with space refraction. But it can easily be extended to arbitrary non-stationary media, again in analogy with the optics of inhomogeneous and stratified media. Arbitrary temporal variations in the refraction index, , can be seen as a succession of infinitesimal events, and general expressions for time transmission and reflection coefficients can be derived, which resemble those of inhomogeneous optics. They provide an alternative approach to the case of temporally periodic media, such as time crystals. They can also have relevance in different other areas of physics, such as that of Bose–Einstein condensates [104,105,106], where time symmetry-breaking processes such as expansion, quenching, and the Kibble–Zurek mechanism can be described in a similar way.
We have reviewed recent work on superluminal ionization fronts, which can be created by short laser pulses using a flying focus configuration. Propagation across these fronts can lead to significant frequency shifts as well as beam amplification, with relevance to future radiation sources. We have shown, using an appropriate reference frame called time-frame, that this process is equivalent to a purely temporal event, identical to time refraction.
Furthermore, we have shown that time refraction in anisotropic media is able to generate Faraday rotations and create angular momentum states of light. We have also shown the resilience of the time refraction concept by applying it to a purely static process involving diffraction in superfluid light. And finally, we have discussed time refraction in the context of high-energy QED, and its relation with the possible creation of electron–positron pairs by intense laser fields in vacuum. Such a variety of examples clearly demonstrates the significance, the wide range of applications, and the universality of time refraction. The field of spacetime optics is therefore able to influence several other areas of physics.
Funding
This research received no external funding.
Data Availability Statement
The data presented in this work are included in the Figures.
Acknowledgments
The author is indebted to many collaborators and co-authors. In particular, to his deceased friend Padma Kant Shukla.
Conflicts of Interest
The author declares no conflict of interest.
References
- Morgenthaler, F.R. Velocity Modulation of Electromag-netic Waves. IRE Trans. Microwave Theory Tech. 1958, 6, 167. [Google Scholar] [CrossRef]
- Akhmanov, S.A.; Sukhorukov, A.P.; Chirkin, A.S. Nonstationary Phenomena and Space-Time Analogy in Nonlinear Optics. Sov. Phys. JETP 1969, 28, 748. [Google Scholar]
- Mendonça, J.T.M. Theory of Photon Acceleration; IOP Publishing: Bristol, UK, 2001. [Google Scholar]
- Mendonça, J.T.; Shukla, P.K. Time Refraction and Time Reflection: Two Basic Concepts. Phys. Scr. 2002, 65, 160. [Google Scholar] [CrossRef]
- Biancalana, F.; Amann, A.; Uskov, A.V.; O’Reilly, E.P. Dynamics of Light Propagation in Spatiotemporal Dielectric Structures. Phys. Rev. E 2007, 75, 046607. [Google Scholar] [CrossRef]
- Xiao, Y.; Maywar, D.N.; Agrawal, G.P. Reflection and Transmission of Electromagnetic Waves at a Temporal Boundary. Opt. Lett. 2014, 39, 574. [Google Scholar] [CrossRef] [PubMed]
- Plansinis, B.W.; Donaldson, W.R.; Agrawal, G.P. What is the Temporal Analog of Reflection and Refraction of Optical Beams? Phys. Rev. Lett. 2015, 115, 183901. [Google Scholar] [CrossRef]
- Xu, J.; Mai, W.; Werner, D.H. Generalized temporal transfer matrix method: A systematic approach to solving electromagnetic wave scattering in temporally stratified structures. Nanophotonics 2022, 11, 1309. [Google Scholar] [CrossRef]
- Mendonça, J.T.; Guerreiro, A.; Martins, A.M. Quantum Theory of Time Refraction. Phys. Rev. A 2000, 62, 033805. [Google Scholar] [CrossRef]
- Dodonov, V.V.; Klimov, A.B.; Nikonov, D.E. Quantum Phenomena in Nonstationary Media. Phys. Rev. A 1993, 47, 4422. [Google Scholar] [CrossRef]
- Westerberg, N.; Cacciatori, S.; Belgiorno, F.; Piazza, F.D.; Faccio, D. Experimental Quantum Cosmology in Time-Dependent Optical Media. New J. Phys. 2014, 16, 075003. [Google Scholar] [CrossRef]
- Horsley, S.A.; Pendry, J.B. Quantum Electrodynamics of Time-Varying Gratings. Proc. Nat. Acad. Sci. USA 2023, 120, e2302652120. [Google Scholar] [CrossRef] [PubMed]
- Vásquez-Lozano, J.E.; Liberal, I. Shaping the Quantum Vacuum with Anisotropic Temporal Boundaries. Nanophotonics 2023, 12, 539. [Google Scholar] [CrossRef]
- Svidzinsky, A. Time Reflection of Light from a Quantum Perspective and Vacuum Entanglement. Opt. Express 2024, 32, 15623. [Google Scholar] [CrossRef]
- Yablonovitch, E. Self-phase Modulation and Short-Pulse Generation from Laser-Breakdown Plasmas. Phys. Rev. A 1974, 10, 1888. [Google Scholar] [CrossRef]
- Savage, R.L., Jr.; Joshi, C.; Mori, W.B. Frequency Upconversion of Electromagnetic Radiation upon Tansmission into an Ionization Front. Phys. Rev. Lett. 1992, 68, 946. [Google Scholar] [CrossRef]
- Dias, J.M.; Stenz, C.; Lopes, N.; Badiche, X.; Blasco, F.; Santos, A.D.; Silva, L.O.; Mysyrowicz, A.; Antonetti, A.; Mendonça, J.T. Experimental Evidence of Photon Acceleration of Ultrashort Laser Pulses in Relativistic Ionization Fronts. Phys. Rev. Lett. 1997, 78, 4773. [Google Scholar] [CrossRef]
- Moussa, H.; Xu, G.; Yin, S.; Galiffi, E.; Radi, Y.; Alú, A. Observation of Temporal reflection and Broadband Frequency Translation at Photonic Time Interfaces. Nat. Phys. 2023, 19, 863. [Google Scholar] [CrossRef]
- Lustig, E.; Segal, O.; Saha, S.; Bordo, E.; Chowdhury, S.N.; Sharabi, Y.; Fleischer, A.; Boltasseva, A.; Cohen, O.; Shalaev, V.M.; et al. Time-refraction optics with single cycle modulation. Nanophotonics 2023, 12, 2221. [Google Scholar] [CrossRef]
- Kim, B.L.; Chong, C.; Daraio, C. Temporal refraction in an acoustic phononic lattice. Phys. Rev. Lett. 2024, 133, 077201. [Google Scholar] [CrossRef]
- Schultheiss, K.; Sato, N.; Matthies, P.; Körber, L.; Wagner, K.; Hula, T.; Gladii, O.; Pearson, J.E.; Hoffmann, A.; Helm, M.; et al. Time Refraction of Spin Waves. Phys. Rev. Lett. 2021, 126, 137201. [Google Scholar] [CrossRef]
- Caloz, C.; Deck-Léger, Z.-L. Spacetime Metamaterials. IEEE Trans. Antennas Propag. 2019, 67, 1569. [Google Scholar]
- Yuan, L.; Fan, S. Temporal Modulation Brings Metamaterials Into New Era. Light Sci. Appl. 2022, 11, 173. [Google Scholar] [CrossRef] [PubMed]
- Rizza, C.; Castaldi, C.; Galdi, V. Sort-Pulsed Metamaterials. Phys. Rev. Lett. 2022, 128, 257402. [Google Scholar] [CrossRef]
- Zhou, Y.; Alam, M.Z.; Karimi, M.; Upham, J.; Reshef, O.; Liu, C.; Willner, A.E.; Boyd, R.W. Broadband Frequency Translation Through Time Refraction in an Epsilon-Near-Zero Material. Nat. Commun. 2020, 11, 2180. [Google Scholar] [CrossRef]
- Wang, O.Y.L.K.; Dutt, A.; Fun, S. Time Reflection and Refraction in Synthetic Frequency Dimension. Phys. Rev. Res. 2023, 5, L012046. [Google Scholar]
- Shcherbakov, M.R.; Werner, K.; Fan, Z.; Talisa, N.; Chowdhury, E.; Shvets, G. Photon Acceleration and Tunable Broadband Harmonics Generation in Nonlinear Time-dependent Metasurfaces. Nat. Commun. 2019, 10, 1345. [Google Scholar] [CrossRef]
- Pacheco-Peña, V.; Emgheta, N. Spatiotemporal isotropic-to-Anisotropic Meta-Atoms. New J. Phys. 2021, 23, 095006. [Google Scholar] [CrossRef]
- Sisler, J.; Thureja, P.; Grajower, M.Y.; Sokhoyan, R.; Huang, I.; Atwater, H.A. Electrically Tunable Space–time Metasurfaces at Optical Frequencies. Nat. Nanotechnol. 2024, 19, 1491. [Google Scholar] [CrossRef]
- Fan, X.; Zhang, H.; Wu, K.; Wang, G.P. Broadband Spin-dependent Anti-reflection in Chiral Time-varying Metamaterials. Opt. Express 2024, 32, 41336. [Google Scholar] [CrossRef]
- Engheta, N. Four-dimensional Optics Using Time-varying Metamaterials. Science 2023, 379, 1190. [Google Scholar] [CrossRef]
- Galiffi, E.; Tirole, R.; Yin, S.; Li, H.; Vezzoli, S.; Huidobro, P.A.; Silveirinha, M.G.; Sapienza, R.; Alù, A.; Pendry, J.B. Photonics of Time-Varying Media. Adv. Photonics 2022, 4, 014002. [Google Scholar] [CrossRef]
- Fan, Q.; Shaltout, A.M.; Groep, J.v.; Brongersma, M.L.; Lindenberg, A.M. Ultrafast Wavefront Shaping via Space-Time Refraction. ACS Photonics 2023, 10, 2467. [Google Scholar] [CrossRef]
- Bruno, V.; DeVault, C.; Vezzoli, S.; Kudyshev, Z.; Huq, T.; Mignuzzi, S.; Jacassi, A.; Saha, S.; Shah, Y.D.; Maier, S.A.; et al. Negative Refraction in Time-Varying Strongly Coupled Plasmonic-Antenna Epsilon Near-Zero Systems. Phys. Rev. Lett. 2020, 124, 043902. [Google Scholar] [CrossRef]
- Jaffray, W.; Stengel, S.; Biancalana, F.; Fruhling, C.B.; Ozlu, M.; Boltassev, A.; Shalaev, V.M.; Ferrera, M. Spatio-spectral Optical Fission in Time-varying Subwavelength Layers. arXiv 2024, arXiv:2406.04917. [Google Scholar]
- Li, H.; Yin, S.; Alú, A. Nonreciprocity and Faraday Rotation at Time Interfaces. Phys. Rev. Lett. 2022, 128, 173901. [Google Scholar] [CrossRef]
- Lyubarov, M.; Lumer, Y.; Dikopoltsev, A.; Lustig, E.; Sharabi, Y.; Segev, M. Amplified Emission and Lasing in Photonic Time Crystals. Science 2022, 377, 425. [Google Scholar] [CrossRef]
- Galiffi, E.; Harwood, A.C.; Vezzoli, S.; Tirole, R.; Alú, A.; Sapineza, R. Optical coherent perfect absorption and amplification in a time-varying medium. arXiv 2024, arXiv:2410.16426. [Google Scholar]
- Horsley, S.A.R.; Pendry, J.B. Traveling Wave Amplification in Stationary Gratings. Phys. Rev. Lett. 2024, 133, 156903. [Google Scholar] [CrossRef] [PubMed]
- Mendonça, J.T. Time-Refraction in Classical and Quantum Optics. In Proceedings of the 2nd International Workshop on Quantum Nonstationnary Systems, LF Editorial, São Paulo, Brazil, 26–30 August 2024. [Google Scholar]
- Tirole, R.; Vezzoli, S.; Galiffi, E.; Robertson, I.; Maurice, D.; Tilmann, B.; Maier, S.A.; Pendry, J.B.; Sapienza, R. Double-slit time diffraction at optical frequencies. Nat. Phys. 2023, 19, 999. [Google Scholar] [CrossRef]
- Bahrami, A.; Kinder, K.D.; Li, Z.; Caloz, C. Space-Time Wedges. arXiv 2024, arXiv:2410.23391. [Google Scholar]
- Mendonça, J.T. The Quantum Nature of Light; IOP Publishing: Bristol, UK, 2022. [Google Scholar]
- Blanc, S.P.L.; Sauerbrey, R.; Rae, S.C.; Burnett, K. Spectral Blue Shifting of a Femtosecond Laser Pulse Propagating Through a High-Pressure Gas. J. Opt. Soc. Am. B 1993, 10, 1801. [Google Scholar] [CrossRef]
- Li, Y.M.; Fedosejevs, R. Ionization-Induced Blue Shift of KrF Laser Pulses in an Underdense Plasma. Phys. Rev. E 1996, 54, 2166. [Google Scholar] [CrossRef] [PubMed]
- Shin, H.J.; Cha, D.G.L.Y.H.; Kim, J.-H.; Hong, K.H.; Nam, C.H. Nonadiabatic Blueshift of High-order Harmonics from Ar and Ne Atoms in an Intense Femtosecond Laser Field. Phys. Rev. A 2001, 63, 053407. [Google Scholar] [CrossRef]
- Xie, X.; Cavalier, A.L.; Johnson, S.L. Self-Compression of Femtosecond Laser Pulses in Ambient Air Through Conical Radiation. Opt. Lett. 2023, 48, 5101. [Google Scholar] [CrossRef] [PubMed]
- Giulietti, A.; Giulietti, D. Self-phase Modulation in Various Regimes of Intense Laser–Plasma Interactions. J. Plasma Phys. 2015, 81, 495810608. [Google Scholar] [CrossRef]
- Mendonça, J.T.; Martins, A.M.; Guerreiro, A. Temporal beam splitter and temporal interference. Phys. Rev. A 2003, 68, 043801. [Google Scholar] [CrossRef]
- Pacheco-Peña, V.; Engheta, N. Temporal Equivalent of the Brewster angle. Phys. Rev. B 2021, 104, 214308. [Google Scholar] [CrossRef]
- Prain, A.; Vezzoli, S.; Westerberg, N.; Roger, T.; Faccio, D. Spontaneous Photon Production in Time-dependent Epsilon-near-zero Materials. Phys. Rev. Lett. 2017, 118, 133904. [Google Scholar] [CrossRef]
- Pendry, J.B.; Horsley, S.A.R. QED in space–time varying materials. APL Quantum 2024, 1, 020901. [Google Scholar] [CrossRef]
- Caloz, C.; Ok, F.; Bahrami, A. Emergence of Quantum Space-Time Engineered Modulation (Q-STEM) Metamaterials. In Proceedings of the 2024 4th URSI Atlantic Radio Science Meeting (AT-RASC), Gran Canaria, Spain, 19–24 May 2024. [Google Scholar]
- Dong, Z.; Li, H.; Wan, T.; Liang, Q.; Yang, Z.; Yan, B. Quantum Time Reflection and Refraction of Ultracold Atoms. Nat. Photonics 2024, 18, 68. [Google Scholar] [CrossRef]
- Mendonça, J.T.; Guerreiro, A. Time refraction and the quantum properties of vacuum. Phys. Rev. A 2005, 72, 063805. [Google Scholar] [CrossRef]
- Ginzburg, V.L. Propagation of Electromagnetic Waves in Plasmas; Gordon and Breach: New York, NY, USA, 1961. [Google Scholar]
- Kline, M.; Kay, I.W. Electromagnetic Theory and Geometric Optics; John Wiley & Sons: New York, NY, USA, 1965. [Google Scholar]
- Wilczek, F. Quantum Time Crystals. Phys. Rev. Lett. 2012, 109, 160401. [Google Scholar] [CrossRef] [PubMed]
- Bruno, P. Impossibility of Spontaneously Rotating Time Crystals: A No-Go Theorem. Phys. Rev. Lett. 2013, 111, 070402. [Google Scholar] [CrossRef] [PubMed]
- Sacha, K.; Zakrzewski, J. Time Crystals: A review. Rep. Prog. Phys. 2018, 81, 016401. [Google Scholar] [CrossRef]
- Mendonça, J.T.; Dodonov, V.V. Time Crystals in Ultracold Matter. J. Russ. Laser Res. 2014, 35, 93. [Google Scholar] [CrossRef]
- Dong, Z.; Wu, X.; Yang, Y.; Yu, P.; Chen, X.; Yuan, L. Temporal Multilayer Structures in Discrete Physical Systems Towards Arbitrary- Dimensional non-Abelian Aharonov-Bohm Interferences. Nat. Commun. 2024, 15, 7392. [Google Scholar] [CrossRef]
- Liu, M.; Deng, F.; Hong, W. Parabolic-like Motion of an Optical Pulse Modulated by a Temporal Boundary in Highly Noninstantaneous Kerr Media. Phys. Rev. A 2024, 110, 043504. [Google Scholar] [CrossRef]
- Hiltunen, E.O. Perturbation theory for dispersion relations of spacetime-periodic materials. arXiv 2024, arXiv:2409.11514. [Google Scholar]
- Wang, X.; Mirmoosa, M.S.; Asadchy, V.S.; Rockstuhl, C.; Fan, S.; Tretyakov, S. Metasurface-based realization of photonic time crystals. Sci. Adv. 2023, 9, eadg7541. [Google Scholar] [CrossRef]
- Shahariar, O.; Mahdy, M.R.C. An Idea of Implementing Photonic Space-Time Crystals Using Metasurfaces. arXiv 2024, arXiv:2409.00139. [Google Scholar]
- Ozlu, M.G.; Mkhitaryan, V.; Fruhling, C.B.; Boltasseva, A.; Shalaev, V.M. Floquet Engineering of Polaritonic Amplification in Dispersive Photonic Time Crystals. arXiv 2024, arXiv:2408.00552. [Google Scholar]
- Narimanov, E.E. Electromagnetic Response for Modulation at Optical Time Scale. arXiv 2024, arXiv:2409.19394. [Google Scholar]
- Lustig, E.; Segal, O.; Saha, S.; Fruhling, C.; Shalaev, V.M.; Boltasseva, A.; Segev, M. Photonic time- crystals - fundamental concepts. Optics Express 2023, 31, 9165. [Google Scholar] [CrossRef]
- Moore, G.T. Quantum Theory of the Electromagnetic Field in a Variable-length One-dimensional Cavity. J. Math. Phys. 1970, 11, 2679. [Google Scholar] [CrossRef]
- Fulling, S.A.; Davies, P.C.W. Radiation from a Moving Mirror in Two Dimensional Space-time: Conformal Anomaly. Proc. R. Soc. Lond. A 1976, 348, 393. [Google Scholar]
- Dodonov, V. Fifty Years of the Dynamical Casimir Effect. Physics 2020, 2, 67–104. [Google Scholar] [CrossRef]
- Casimir, H.B.G. On the Attraction Between Two Perfectly Conducting Plates. Proc. K. Ned. Akad. Wet. 1948, 51, 793. [Google Scholar]
- Milton, K.A. The Casimir Effect: Recent Controversies and Progress. J. Phys. A Math. Gen. 2004, 37, R209. [Google Scholar] [CrossRef]
- Wilson, C.M.; Johansson, G.; Pourkabirian, A.; Simoen, M.; Johansson, J.R.; Duty, T.; Nori, F.; Delsing, P. Observation of the Dynamical Casimir Effect in a Superconducting Circuit. Nature 2011, 479, 376. [Google Scholar] [CrossRef]
- Zhang, J.; Donaldson, W.R.; Agrawal, G.P. Spatiotemporal Bragg gratings forming inside a nonlinear dispersive medium. Opt. Lett. 2024, 49, 5854. [Google Scholar] [CrossRef]
- Silva, L.O.; Mendonça, J.T. Photon Acceleration in Superluminous and Accelerated Ionization Fronts. IEEE Trans. Plasma Sci. 1996, 24, 316. [Google Scholar] [CrossRef]
- Pan, Y.; Cohen, M.-I.; Segev, M. Superluminal k-Gap Solitons in Nonlinear Photonic Time Crystals. Phys. Rev. Lett. 2023, 130, 233801. [Google Scholar] [CrossRef] [PubMed]
- Pan, C.; Song, X.; Cao, Y.; Xiong, L.; Lan, X.; Wang, S.; Leng, Y.; Pan, Y. Superluminal Spacetime Boundary, Time Reflection and Quantum Light Generation from Relativistic Plasma Mirrors. arXiv 2024, arXiv:2410.01287. [Google Scholar]
- Lampe, M.; Ott, E.; Walker, J.H. Interaction of electromagnetic waves with a moving ionization front. Phys. Fluids 1978, 21, 42. [Google Scholar] [CrossRef]
- Silva, L.O.; Mendonça, J.T. Photon Kinetic Theory of Self-Phase Modulation. Opt. Commun. 2001, 196, 285. [Google Scholar] [CrossRef]
- Cai, W.; Yang, Z.; Wu, H.; Wang, L.; Zhang, J.; Zhang, L. Effect of Chirp on Pulse Reflection and Refraction at a Moving Temporal Boundary. Opt. Express 2022, 30, 34875. [Google Scholar] [CrossRef]
- Sainte-Marie, A.; Gobert, O.; Quéré, F. Controlling the Velocity of Ultrashort Light Pulses in Vacuum through Spatio-temporal Couplings. Optica 2017, 4, 1298. [Google Scholar] [CrossRef]
- Froula, D.H.; Turnbull, D.; Davies, A.S.; Kessler, T.J.; Haberberger, D.; Palastro, J.P.; Bahk, S.W.; Begishev, I.A.; Boni, R.; Bucht, S.; et al. Spatiotemporal Control of Laser Intensity. Nat. Photon 2018, 12, 262. [Google Scholar] [CrossRef]
- Guerreiro, A.; Mendonça, J.T.; Martins, A.M. New mechanism of vacuum radiation from non-accelerated moving boundaries. J. Opt. B Quantum Semiclass. Opt. 2005, 7, S69. [Google Scholar] [CrossRef]
- Landau, L.D.; Lifshitz, E.M. The Classical Theory of Fields; Elsevier Science: Amsterdam, The Netherlands, 2013. [Google Scholar]
- Mendonça, J.T. Photon Acceleration by Superluminal Ionization Fronts. Symmetry 2024, 16, 112. [Google Scholar] [CrossRef]
- Bar-Hillel, L.; Dikopoltsev, A.; Kam, A.; Sharabi, Y.; Segal, O.; Lustig, E.; Segev, M. Time-refraction and time-reflection above critical angle for total internal reflection. Phys. Rev. Lett. 2024, 132, 263802. [Google Scholar] [CrossRef] [PubMed]
- Mendonça, J.T. Temporal Optical Processes in a Rydberg Gas. J. Phys. B At. Mol. Opt. Phys. 2020, 53, 164004. [Google Scholar] [CrossRef]
- Gea-Banacloche, J.; Li, Y.-Q.; Jin, S.-Z.; Xiao, M. Electromagnetically Induced Transparency in Ladder-type Inhomogeneously Broadened Media: Theory and Experiment. Phys. Rev. A 1995, 51, 576. [Google Scholar] [CrossRef]
- Sevinçli, S.; Henkel, N.; Ates, C.; Pohl, T. Nonlocal Nonlinear Optics in Cold Rydberg Gases. Phys. Rev. Lett. 2011, 107, 153001. [Google Scholar] [CrossRef]
- Valente, P.; Failache, H.; Lezama, A. Temporal Build-up of Electromagnetically Induced Transparency and Absorption Resonances in Degenerate Two-Level Transitions. Phys. Rev. A 2002, 67, 013806. [Google Scholar] [CrossRef]
- Akhtar, M.; Naweed, A. Temporal Analogs of Electromagnetically Induced Transparency, Induced Absorption, and Fano Resonance. Opt. Lett. 2024, 49, 5667. [Google Scholar] [CrossRef]
- Khamis, E.G.; Gammal, A.; El, G.A.; Gladuch, Y.G.; Kamchatnov, A.M. Nonlinear Diffraction of Light Beams Propagating in Photorefractive Media with Embedded Reflecting Wire. Phys. Rev. A 2008, 78, 013829. [Google Scholar] [CrossRef]
- Michel, C.; Boughdad, O.; Albert, M.; Larré, P.-É.; Bellec, M. Superfluid Motion and Drag-force Cancellation in a Fluid of Light. Nat. Commun. 2018, 9, 2108. [Google Scholar] [CrossRef]
- Fontaine, Q.; Larré, P.É.; Lerario, G.; Bienaimé, T.; Pigeon, S.; Faccio, D.; Carusotto, I.; Giacobino, É.; Bramati, A.; Glorieux, Q. Interferences Between Bogoliubov Excitations in Superfluids of Light. Phys. Rev. Res. 2020, 2, 043297. [Google Scholar] [CrossRef]
- Mendonça, J.T.; Kourakis, I. Propagation of Bogolons in Superfluid Light: Time-Like Effects in Non-Uniform Optical Media. Eur. Phys. J. Plus 2022, 137, 1269. [Google Scholar] [CrossRef]
- Yoon, J.W.; Kim, Y.G.; Choi, I.W.; Sung, J.H.; Lee, H.W.; Lee, S.K.; Nam, C.H. Realization of Laser Intensity over 1023 W/cm2. Optica 2021, 8, 630. [Google Scholar] [CrossRef]
- Fedotov, A.; Ilderton, A.; Karbstein, F.; King, B.; Seipt, D.; Taya, H.; Torgrimsson, G. Advances in QED with Intense Background Fields. Phys. Rep. 2023, 1010, 1. [Google Scholar]
- Mendonça, J.T. Temporal Klein Model for Particle-Pair Creation. Symmetry 2021, 13, 1361. [Google Scholar] [CrossRef]
- Mendonça, J.T. Particle-Pair Creation by High-Harmonic Laser Fields. Phys. Scr. 2023, 98, 125606. [Google Scholar] [CrossRef]
- Gerry, C.C.; Knight, P.L. Introductory Quantum Optics; Cambridge University Press: Cambridge, UK, 2005. [Google Scholar]
- Mendonça, J.T.; Brodin, G.; Marklund, M. Vacuum Effects in a Vibrating Cavity: Time Refraction, Dynamical Casimir Effect, and Effective Unruh Acceleration. Phys. Lett. A 2008, 372, 5621. [Google Scholar] [CrossRef]
- Polkovnikov, A.; Sengupta, K.; Silva, A.; Vengalattore, M. Nonequilibrium Dynamics of Closed Interacting Quantum Systems. Rev. Mod. Phys. 2011, 83, 863. [Google Scholar] [CrossRef]
- del Campo, A.; Zurek, W.H. Universality of Phase Transition Dynamics: Topological Defects from Symmetry Breaking. Int. J. Mod. Phys. A 2014, 29, 1430018. [Google Scholar] [CrossRef]
- Mendonça, J.T.; Gammal, A. Time Symmetry Breaking in Bose–Einstein Condensates. J. Phys. A Math. Theor. 2017, 50, 355501. [Google Scholar] [CrossRef]
Disclaimer/Publisher’s Note: The statements, opinions and data contained in all publications are solely those of the individual author(s) and contributor(s) and not of MDPI and/or the editor(s). MDPI and/or the editor(s) disclaim responsibility for any injury to people or property resulting from any ideas, methods, instructions or products referred to in the content. |
© 2024 by the author. Licensee MDPI, Basel, Switzerland. This article is an open access article distributed under the terms and conditions of the Creative Commons Attribution (CC BY) license (https://creativecommons.org/licenses/by/4.0/).






