Fractional-Order Mathematical Modeling of Methicillin- Resistant Staphylococcus aureus Transmission in Hospitals
Abstract
1. Introduction
2. Mathematical Models and Preliminaries
3. Mathematical Algorithm
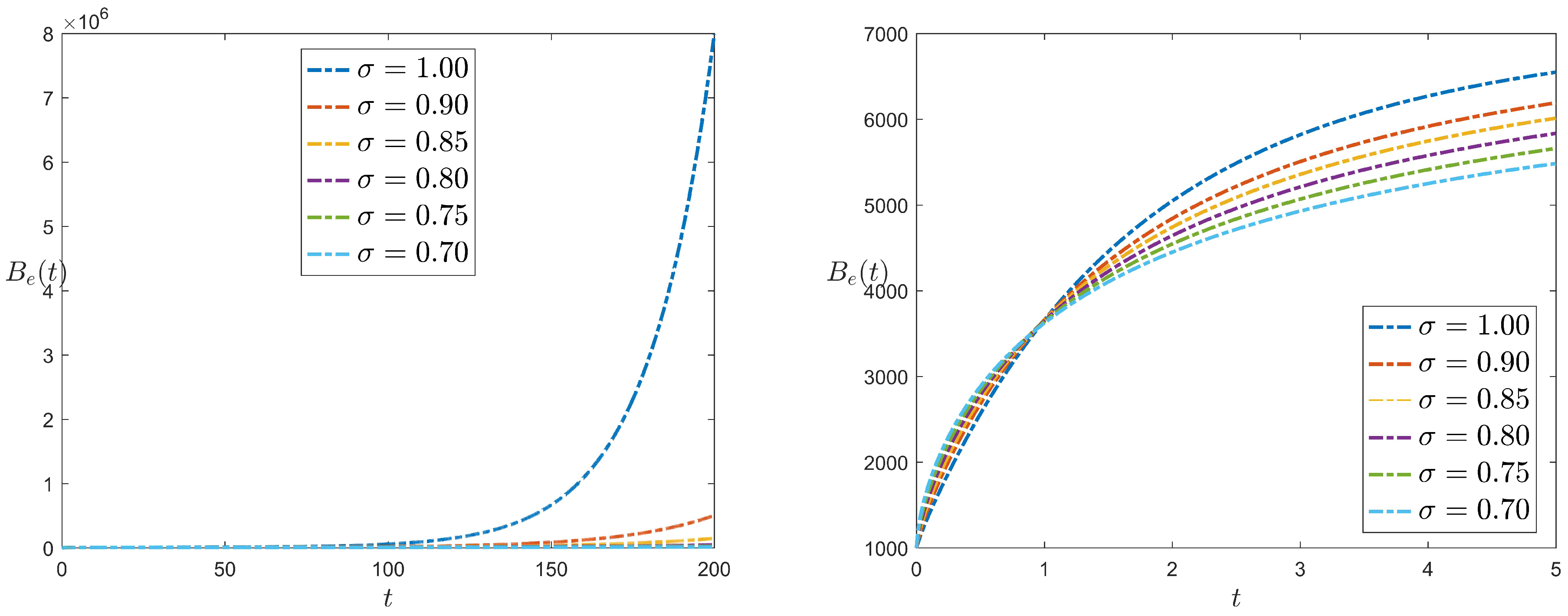
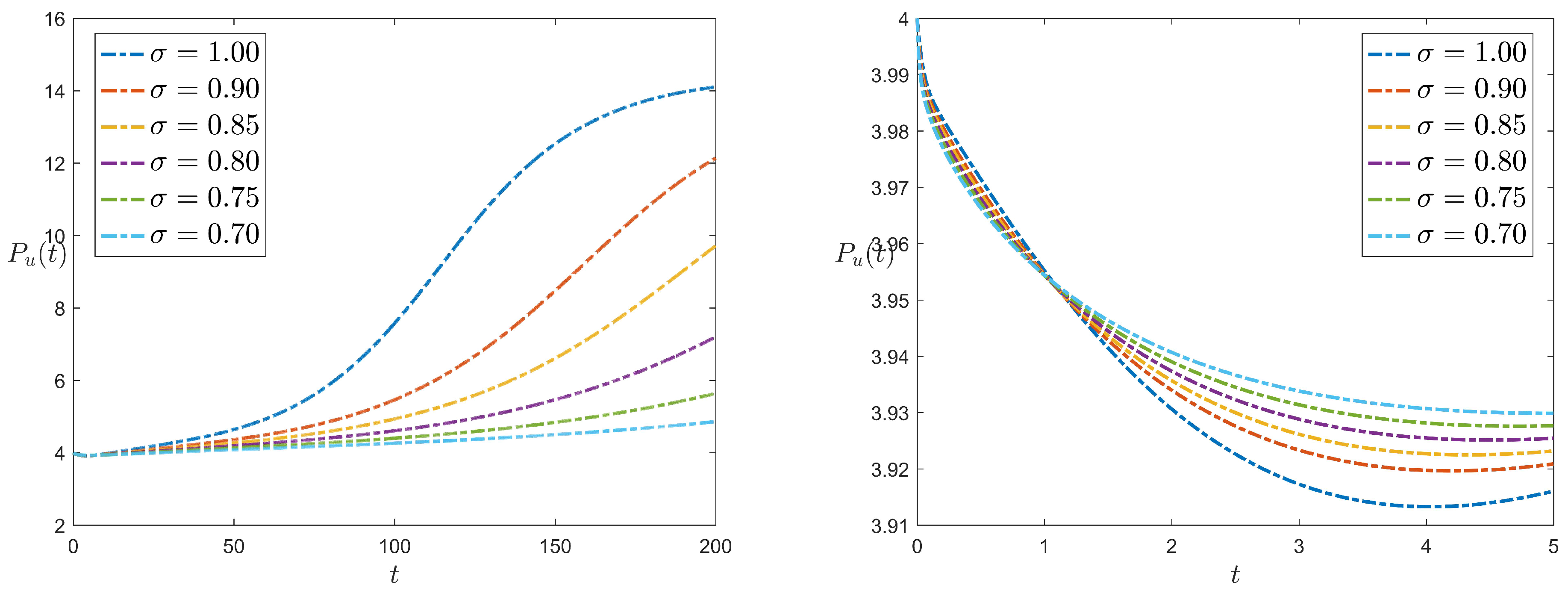
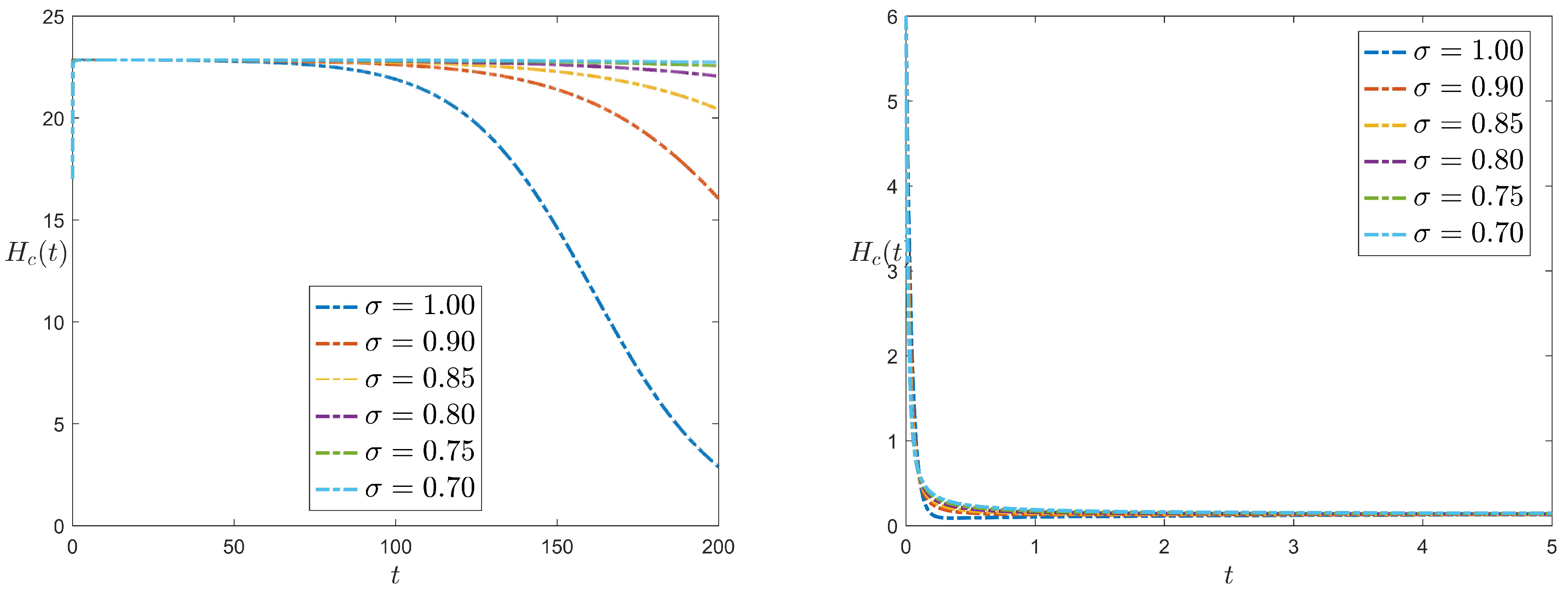
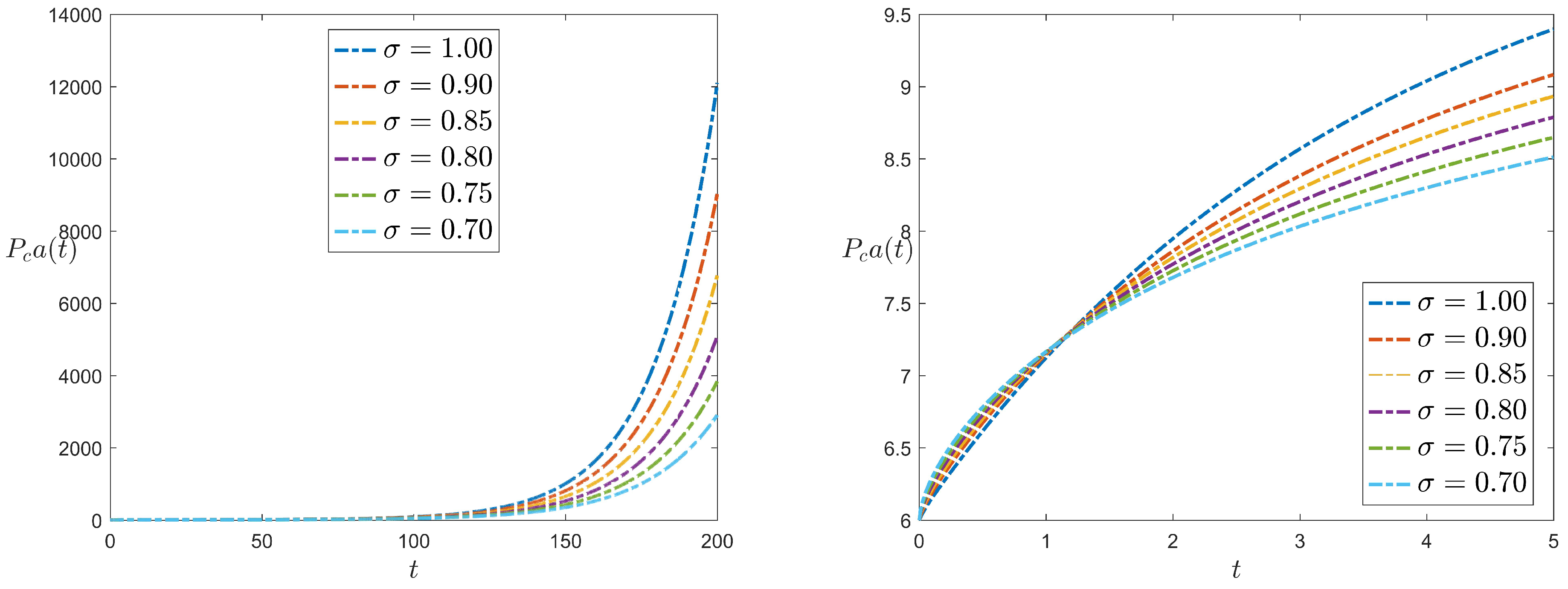
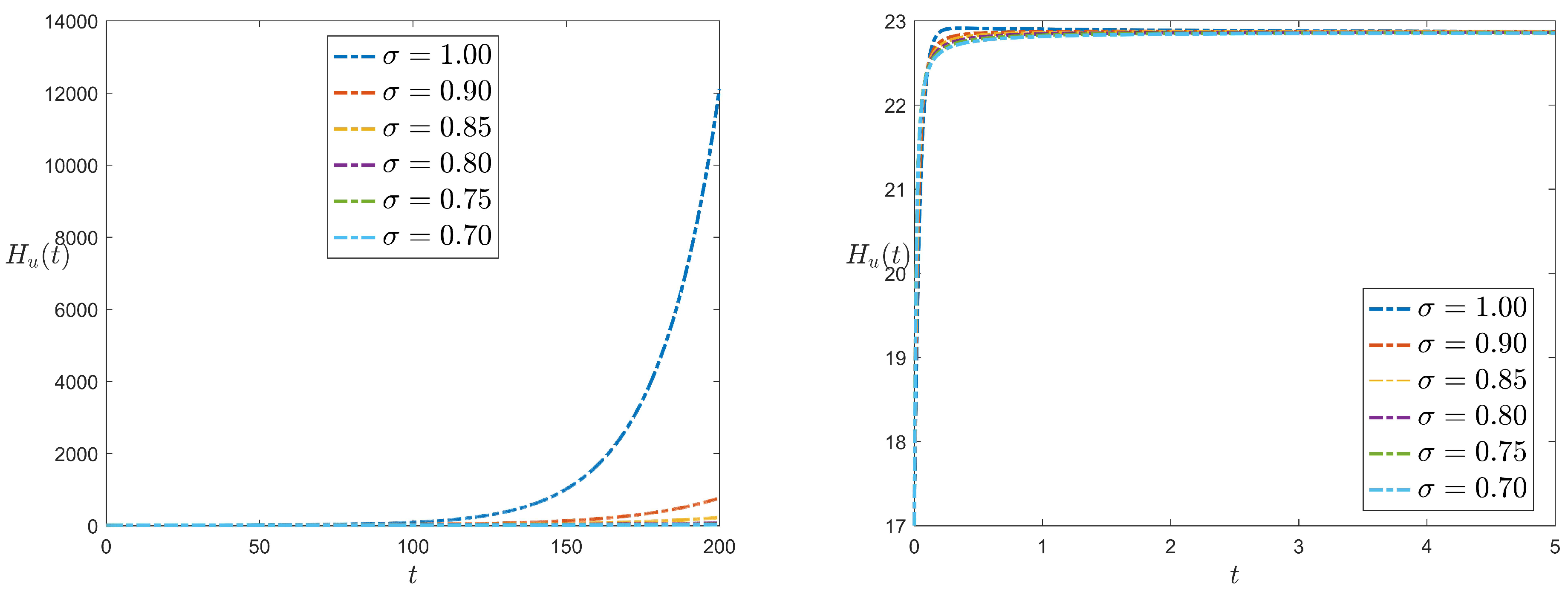
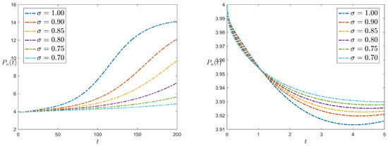
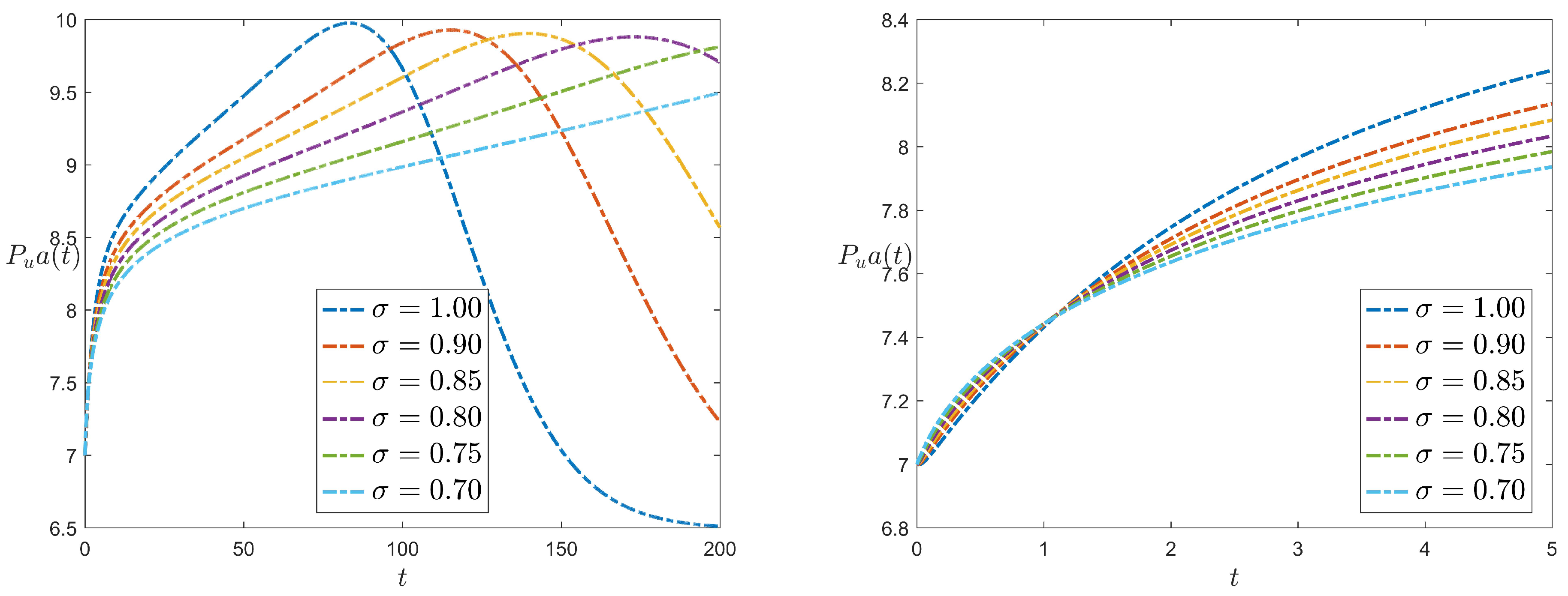
4. Numerical Manipulations
5. Conclusions
Author Contributions
Funding
Data Availability Statement
Conflicts of Interest
References
- Sousa, S.A.; Feliciano, J.R.; Pita, T.; Soeiro, C.F.; Mendes, B.L.; Alves, L.G.; Leitao, J.H. Bacterial nosocomial infections: Multidrug resistance as a trigger for the development of novel antimicrobials. Antibiotics 2021, 10, 942. [Google Scholar] [CrossRef] [PubMed]
- Center for Disease Control and Prevention (CDC), Antibiotic/Antimicrobial Resistance (AR/AMR). 2018. Available online: https://www.cdc.gov/drugresistance/index.html (accessed on 22 September 2024).
- Stygall, J.; Newman, S. Cambridge Handbook of Psychology, Health and Medicine, 2nd ed.; Hospital Acquired Infection; Cambridge University Press: Cambridge, UK, 2014; pp. 736–738. [Google Scholar]
- Centers for Disease Control and Prevention (CDC). Antibiotic Resistance Threats in the United States, 2022. (16 July 2014). 2022. Available online: https://www.cdc.gov/antimicrobial-resistance/media/pdfs/antimicrobial-resistance-threats-update-2022-508.pdf (accessed on 22 September 2024).
- Klein, E.; Smith, D.L.; Laxminarayan, R. Hospitalizations and deaths caused by methicillin resistant Staphylococcus aureus. Emerg. Infect. Dis. 2007, 13, 1840–1846. [Google Scholar] [CrossRef] [PubMed]
- Centers for Disease Control. Antibiotic Resistance Threats in the United States, 2019; U.S. Department of Health and Human Services, CDC: Atlanta, GA, USA, 2019.
- Ayobami, O.; Willrich, N.; Harder, T.; Okeke, I.N.; Eckmanns, T.; Markwart, R. The incidence and prevalence of hospital-acquired (carbapenem-resistant) Acinetobacter baumannii in Europe, Eastern Mediterranean and Africa: A systematic review and meta-analysis. Emerg. Microbes Infect. 2019, 8, 1747–1759. [Google Scholar] [CrossRef] [PubMed]
- Alghamdi, B.A.; Al-Johani, I.; Al-Shamrani, J.M.; Alshamrani, H.M.; Al-Otaibi, B.G.; Almazmomi, K.; Yusof, N.Y. Antimicrobial resistance in methicillin-resistant Staphylococcus aureus. Saudi J. Biol. Sci. 2023, 30, 103604. [Google Scholar] [CrossRef]
- Marra, A.R.; Moura, D.F., Jr.; Paes, A.T.; dos Santos, O.F.; Edmond, M.B. Measuring rates of hand hygiene adherence in the intensive care setting: A comparative study of direct observation, product usage, and electronic counting devices. Infect. Control Hosp. Epidemiol. 2010, 31, 796–801. [Google Scholar] [CrossRef]
- Stewardson, A.; Sax, H.; Longet-Di Pietro, S.; Pittet, D. Impact of observation and analysis methodology when reporting hand hygiene data. J. Hosp. Infect. 2011, 77, 358–359. [Google Scholar] [CrossRef]
- World Health Organization (WHO). Antimicrobial Resistance—Global Report on Surveillance 2014; WHO: Geneva, Switzerland, 2014. [Google Scholar]
- Shoaib, M.; Aqib, A.I.; Muzammil, I.; Majeed, N.; Bhutta, Z.A.; Kulyar, M.F.E.A.; Fatima, M.; Zaheer, C.N.F.; Muneer, A.; Murtaza, M.; et al. MRSA compendium of epidemiology, transmission, pathophysiology, treatment, and prevention within one health framework. Front. Microbiol. 2023, 13, 1067284. [Google Scholar] [CrossRef]
- Chamchod, F.; Ruan, S. Modeling Methicillin-resistant staphylococcus aureus in hospitals: Transmission dynamics, antibiotic usage and its history. Theor. Biol. Med. Model. 2012, 9, 25. [Google Scholar] [CrossRef]
- Tacconelli, E. Antimicrobial use: Risk driver of multidrug resistant microorganisms in healthcare settings. Curr. Opin. Infect. Dis. 2009, 22, 352–358. [Google Scholar] [CrossRef]
- Dancer, S.J. How antibiotics can make us sick: The less obvious adverse effects of antimicrobial chemotherapy. Lancet Infect. Dis. 2004, 4, 611–619. [Google Scholar] [CrossRef]
- Tacconelli, E.; De Angelis, G.; Cataldo, M.A.; Pozzi, E.; Cauda, R. Does antibiotic exposure increase the risk of methicillin-resistant Staphylococcus aureus (MRSA) isolation? A systematic review and meta-analysis. J. Antimicrob. Chemother. 2008, 61, 26–38. [Google Scholar] [CrossRef] [PubMed]
- Samuel, P.; Kumar, Y.S.; Suthakar, B.J.; Karawita, J.; Kumar, D.S.; Vedha, V.; Shah, H.; Thakkar, K. Methicillin-resistant Staphylococcus aureus colonization in intensive care and burn units: A narrative review. Cureus 2023, 15, e47139. [Google Scholar] [PubMed]
- Boyce, J.M.; Potter-Bynoe, G.; Chenevert, C.; King, T. Environmental contamination due to methicillin-resistant Staphylococcus aureus: Possible infection control implications. Infect. Control Hosp. Epidemiol. 1997, 18, 622–627. [Google Scholar] [CrossRef] [PubMed]
- Dancer, S.J. Importance of the environment in meticillin-resistant Staphylococcus aureus acquisition: The case for hospital cleaning. Lancet Infect. Dis. 2008, 8, 101–113. [Google Scholar] [CrossRef]
- Fishbain, J.T.; Lee, J.C.; Nguyen, H.D.; Mikita, J.A.; Mikita, C.P.; Uyehara, C.F.; Hospenthal, D.R. Nosocomial transmission of methicillin-resistant Staphylococcus aureus: A blinded study to establish baseline acquisition rates. Infect. Control Hosp. Epidemiol. 2003, 24, 415–421. [Google Scholar] [CrossRef]
- Wang, J.; Wang, L.; Magal, P.; Wang, Y.; Zhuo, J.; Lu, X.; Ruan, S. Modelling the transmission dynamics of meticillin-resistant Staphylococcus aureus in Beijing Tongren hospital. J. Hosp. Infect. 2011, 79, 302–308. [Google Scholar] [CrossRef]
- Wang, L.; Ruan, S. Modeling nosocomial infections of methicillin-resistant Staphylococcus aureus with environment contamination. Sci. Rep. 2017, 7, 580. [Google Scholar] [CrossRef]
- Wang, X.; Xiao, Y.; Wang, J.; Lu, X. A mathematical model of effects of environmental contamination and presence of volunteers on hospital infections in China. J. Theor. Biol. 2012, 293, 161–173. [Google Scholar] [CrossRef]
- D’Agata, E.M.; Horn, M.A.; Ruan, S.; Webb, G.F.; Wares, J.R. Efficacy of infection control interventions in reducing the spread of multidrug-resistant organisms in the hospital setting. PLoS ONE 2012, 7, e30170. [Google Scholar] [CrossRef]
- D’Agata, E.M.; Magal, P.; Olivier, D.; Ruan, S.; Webb, G.F. Modeling antibiotic resistance in hospitals: The impact of minimizing treatment duration. J. Theor. Biol. 2007, 249, 487–499. [Google Scholar] [CrossRef]
- Hall, I.M.; Barrass, I.; Leach, S.; Pittet, D.; Hugonnet, S. Transmission dynamics of methicillin-resistant Staphylococcus aureus in a medical intensive care unit. J. R. Soc. Interface 2012, 9, 2639–2652. [Google Scholar] [CrossRef] [PubMed][Green Version]
- Huang, Q.; Huo, X.; Miller, D.; Ruan, S. Modeling the seasonality of methicillin-resistant Staphylococcus aureus infections in hospitals with environmental contamination. J. Biol. Dyn. 2019, 13 (Suppl. S1), 99–122. [Google Scholar] [CrossRef] [PubMed]
- Huang, Q.; Huo, X.; Ruan, S. Optimal control of environmental cleaning and antibiotic prescription in an epidemiological model of methicillin-resistant Staphylococcus aureus infections in hospitals. Math. Biosci. 2019, 311, 13–30. [Google Scholar] [CrossRef] [PubMed]
- Lipsitch, M.; Bergstrom, C.T.; Levin, B.R. The epidemiology of antibiotic resistance in hospitals: Paradoxes and prescriptions. Proc. Natl. Acad. Sci. USA 2000, 97, 1938–1943. [Google Scholar] [CrossRef]
- Smith, D.L.; Dushoff, J.; Perencevich, E.N.; Harris, A.D.; Levin, S.A. Persistent colonization and the spread of antibiotic resistance in nosocomial pathogens: Resistance is a regional problem. Proc. Natl. Acad. Sci. USA 2004, 101, 3709–3714. [Google Scholar] [CrossRef]
- Wang, X.; Xiao, Y.; Wang, J.; Lu, X. Stochastic disease dynamics of a hospital infection model. Math. Biosci. 2013, 241, 115–124. [Google Scholar] [CrossRef]
- Webb, G.F. Individual based models and differential equations models of nosocomial epidemics in hospital intensive care units. Discret. Contin. Dyn. Syst. B 2016, 22, 1145–1166. [Google Scholar]
- Webb, G.F.; D’Agata, E.M.; Magal, P.; Ruan, S. A model of antibiotic-resistant bacterial epidemics in hospitals. Proc. Natl. Acad. Sci. USA 2005, 102, 13343–13348. [Google Scholar] [CrossRef]
- Weinstein, R.A.; Bonten, M.J.; Austin, D.J.; Lipsitch, M. Understanding the spread of antibiotic resistant pathogens in hospitals: Mathematical models as tools for control. Clin. Infect. Dis. 2001, 33, 1739–1746. [Google Scholar]
- Grundmann, H.; Hellriegel, B. Mathematical modelling: A tool for hospital infection control. Lancet Infect. Dis. 2006, 6, 39–45. [Google Scholar] [CrossRef]
- Temime, L.; Hejblum, G.; Setbon, M.; Valleron, A.J. The rising impact of mathematical modelling in epidemiology: Antibiotic resistance research as a case study. Epidemiol. Infect. 2008, 136, 289–298. [Google Scholar] [CrossRef] [PubMed]
- van Kleef, E.; Robotham, J.V.; Jit, M.; Deeny, S.R.; Edmunds, W.J. Modelling the transmission of healthcare associated infections: A systematic review. BMC Infect. Dis. 2013, 13, 294. [Google Scholar] [CrossRef] [PubMed]
- Debnath, L. Recent applications of fractional calculus to science and engineering. Int. J. Math. Math. Sci. 2003, 2003, 3413–3442. [Google Scholar] [CrossRef]
- El-Saka, H.; El-Sayed, A. Fractional Order Equations and Dynamical Systems: Logistic Equation; Lap Lambert Academic Publishing: Saarbrucken, Germany, 2013. [Google Scholar]
- BDAŞBAŞI, B. The Fractional-Order mathematical modeling of bacterial resistance against multiple antibiotics in case of local bacterial infection. Sak. Univ. J. Sci. 2017, 21, 442–453. [Google Scholar]
- Huang, Q.; Horn, M.A.; Ruan, S. Modeling the effect of antibiotic exposure on the transmission of methicillin-resistant Staphylococcus aureus in hospitals with environmental contamination. Math. Biosci. Eng. 2019, 16, 3641–3673. [Google Scholar] [CrossRef]
- Faber, T.J.; Jaishankar, A.; McKinley, G.H. Describing the firmness, springiness and rubberiness of food gels using fractional calculus. Part II: Measurements on semi-hard cheese. Food Hydrocoll. 2017, 62, 325–339. [Google Scholar] [CrossRef]
- Fang, C.Q.; Sun, H.Y.; Gu, J.P. Application of fractional calculus methods to viscoelastic response of amorphous shape memory polymers. J. Mech. 2015, 31, 427–432. [Google Scholar] [CrossRef]
- Alabedalhadi, M.; Mohammed Shqair, M.; Ibrahim Saleh, I. Analysis and analytical simulation for a biophysical fractional diffusive cancer model with virotherapy using the Caputo operator. AIMS Biophys. 2023, 10, 503–522. [Google Scholar] [CrossRef]
- Banerjee, S. Mathematical Modeling: Models, Analysis and Applications; CRC Press: Boca Raton, FL, USA, 2021. [Google Scholar]
- Ait Mahiout, L.; Bessonov, N.; Kazmierczak, B.; Volpert, V. Mathematical modeling of respiratory viral infection and applications to SARS-CoV-2 progression. Math. Methods Appl. Sci. 2023, 46, 1740–1751. [Google Scholar] [CrossRef]
- Ledder, G. Mathematical Modeling for Epidemiology and Ecology; Springer: Berlin/Heidelberg, Germany, 2023; Volume 50, pp. 223–276. [Google Scholar]
- Tuly, S.S.; Mahiuddin, M.; Karim, A. Mathematical modeling of nutritional, color, texture, and microbial activity changes in fruit and vegetables during drying: A critical review. Crit. Rev. Food Sci. Nutr. 2023, 63, 1877–1900. [Google Scholar] [CrossRef]
- Yang, M.; Meng, J.; Han, L.; Yu, X.; Fan, Z.; Yuan, Y. Pharmacokinetic study of triptolide nanocarrier in transdermal drug delivery system—Combination of experiment and mathematical modeling. Molecules 2023, 28, 553. [Google Scholar] [CrossRef] [PubMed]
- Özköse, F.; Yavuz, M.; Şenel, M.T.; Habbireeh, R. Fractional order modelling of omicron SARS-CoV-2 variant containing heart attack effect using real data from the United Kingdom. Chaos Solitons Fractals 2022, 157, 111954. [Google Scholar] [CrossRef] [PubMed]
- Ain, Q.T.; Din, A.; Qiang, X.; Kou, Z. Dynamics for a Nonlinear Stochastic Cholera Epidemic Model under Lévy Noise. Fractal Fract. 2024, 8, 293. [Google Scholar] [CrossRef]
- Zhang, T.; Li, Y. Global exponential stability of discrete-time almost automorphic Caputo–Fabrizio BAM fuzzy neural networks via exponential Euler technique. Knowl. Based Syst. 2022, 246, 108675. [Google Scholar] [CrossRef]
- Magin, R.L. Fractional calculus in bioengineering. Crit. Rev. Biomed. Eng. 2006, 32, 1–104. [Google Scholar] [CrossRef]
- Zeng, F.G.; Chen, W.H. Modeling antibiotic resistance with fractional differential equations. Appl. Math. Comput. 2017, 312, 85–92. [Google Scholar]
- Codreanu, M.D.; Buzea, C.M.; Oprisan, G. Fractional-order models for the spread of hospital-acquired infections. Comput. Math. Methods Med. 2020, 2020, 5191756. [Google Scholar]
- Ortiz, S.; Atangana, A. Mathematical model for hospital-acquired infections: Fractional calculus approach. Adv. Differ. Equ. 2017, 2017, 182. [Google Scholar]
- Holmes, N.E.; Tong, S.Y.; Davis, J.S.; Van Hal, S.J. Treatment of methicillin-resistant Staphylococcus aureus: Vancomycin and beyond. In Seminars in respiratory and critical care medicine. Semin. Respir. Crit. Care Med. 2015, 36, 17–30. [Google Scholar] [CrossRef]
- Jarvis, W.R. Controlling healthcare-associated infections: The role of infection control and antimicrobial use practices. Semin. Pediatr. Infect. Dis. 2004, 15, 30–40. [Google Scholar] [CrossRef]
- Watson, P.A.; Watson, L.R.; Torress-Cook, A. Efficacy of a hospital-wide environmental cleaning protocol on hospital-acquired methicillin-resistant Staphylococcus aureus rates. J. Infect. Prev. 2016, 17, 171–176. [Google Scholar] [CrossRef] [PubMed]
- Donskey, C.J. The role of the intestinal tract as a reservoir and source for transmission of nosocomial pathogens. Clin. Infect. Dis. 2004, 39, 219–226. [Google Scholar] [CrossRef] [PubMed]
- Duckro, A.N.; Blom, D.W.; Lyle, E.A.; Weinstein, R.A.; Hayden, M.K. Transfer of vancomycin-resistant enterococci via health care worker hands. Arch. Intern. Med. 2005, 165, 302–307. [Google Scholar] [CrossRef] [PubMed]
- Weber, D.J.; Anderson, D.; Rutala, W.A. The role of the surface environment in healthcare-associated infections. Curr. Opin. Infect. Dis. 2013, 26, 338–344. [Google Scholar] [CrossRef] [PubMed]
- Khan, H.A.; Ahmad, A.; Mehboob, R. Nosocomial infections and their control strategies. Asian Pac. J. Trop. Biomed. 2015, 5, 509–514. [Google Scholar] [CrossRef]
- Emerson, C.B.; Eyzaguirre, L.M.; Albrecht, J.S.; Comer, A.C.; Harris, A.D.; Furuno, J.P. Healthcare-associated infection and hospital readmission. Infect. Control Hosp. Epidemiol. 2012, 33, 539–544. [Google Scholar] [CrossRef]
- Gould, I.M. The clinical significance of methicillin-resistant Staphylococcus aureus. J. Hosp. Infect. 2005, 61, 277–282. [Google Scholar] [CrossRef]
- Podlubny, I. Fractional Differential Equations; Academic Press: New York, NY, USA, 1999. [Google Scholar]
- Gorenflo, R.; Mainardi, F. Fractional calculus: Integral and differential equations of fractional order. In Fractals and Fractional Calculus in Continuum Mechanics; Springer: New York, NY, USA, 1997; Volume 61, pp. 223–276. [Google Scholar]










Disclaimer/Publisher’s Note: The statements, opinions and data contained in all publications are solely those of the individual author(s) and contributor(s) and not of MDPI and/or the editor(s). MDPI and/or the editor(s) disclaim responsibility for any injury to people or property resulting from any ideas, methods, instructions or products referred to in the content. |
© 2024 by the authors. Licensee MDPI, Basel, Switzerland. This article is an open access article distributed under the terms and conditions of the Creative Commons Attribution (CC BY) license (https://creativecommons.org/licenses/by/4.0/).
Share and Cite
Alqahtani, Z.; Shqair, M.; Albdaiwi, R.; Hagag, A. Fractional-Order Mathematical Modeling of Methicillin- Resistant Staphylococcus aureus Transmission in Hospitals. Symmetry 2024, 16, 1454. https://doi.org/10.3390/sym16111454
Alqahtani Z, Shqair M, Albdaiwi R, Hagag A. Fractional-Order Mathematical Modeling of Methicillin- Resistant Staphylococcus aureus Transmission in Hospitals. Symmetry. 2024; 16(11):1454. https://doi.org/10.3390/sym16111454
Chicago/Turabian StyleAlqahtani, Zuhur, Mohammed Shqair, Randa Albdaiwi, and Ahmed Hagag. 2024. "Fractional-Order Mathematical Modeling of Methicillin- Resistant Staphylococcus aureus Transmission in Hospitals" Symmetry 16, no. 11: 1454. https://doi.org/10.3390/sym16111454
APA StyleAlqahtani, Z., Shqair, M., Albdaiwi, R., & Hagag, A. (2024). Fractional-Order Mathematical Modeling of Methicillin- Resistant Staphylococcus aureus Transmission in Hospitals. Symmetry, 16(11), 1454. https://doi.org/10.3390/sym16111454

