Abstract
As to the problems in current tourism recommendation, this paper proposes a tourism recommendation algorithm based on the mobile ICV service platform. Firstly, the ICV service system for the Point of Interest (POI) searching and route recommendation is designed. Secondly, the recommendation service model is set up from two aspects, namely the tourism POI clustering algorithm and the tourism POI searching and route recommendation algorithm. In the aspect of symmetrical-based matching features, the clustered POIs are matched with the tourists’ interests, and the POIs in the neighborhood of the ICV dynamic locations are searched. Then, a POI recommendation algorithm based on the tourists’ interests is constructed, and the POIs that best match the symmetrical interests of the tourists within the dynamic buffer zones of ICV are confirmed. Based on the recommended POIs, the ICV guidance route algorithm is constructed. The experiment verifies the advantages of the proposed algorithm on the aspect of the POI matching tourists’ interests, algorithm stability, traveling time cost, traveling distance cost and computational complexity. As to the iterative sum and the iterative sum average of the POI matching function values, the proposed algorithm has a performance improvement of at least 20.2% and a stability improvement of at least 20.5% compared to the randomly selected POIs in matching tourists’ interests. As to the cost of the guidance routes, the proposed algorithm reduces the average cost by 19.6% compared to the other suboptimal routes. Compared with the control group algorithms, the proposed algorithm is superior in terms of route cost, with an average cost reduction of 13.8% for the output routes compared to the control group. Also, the proposed algorithm is superior in terms of route cost compared to the control group recommendation algorithms, with an average cost reduction of 11.2%.
1. Introduction
1.1. Research Background
Smart tourism is a hot field of tourism research. In smart tourism, tourism transportation plays a crucial role. Tourists usually make travel plans before arriving at an unfamiliar tourism city. The travel plans include the confirmation of the tourists’ travel needs, the selection of the transportation modes, the selection of the scenic spots and the design of the tour routes, etc. The confirmation of the tourists’ travel needs covers their basic interests in the whole tour, such as the fee budget, the time budget, the expected types, the star levels and the popularity of the scenic spots, etc. [1,2,3]. The selection of the transportation modes involves the modes of transportation that the tourists use when visiting the urban scenic spots, such as buses, taxis, self-driving, etc. In the process, the scenic spot recommendation is also the core issue in the tourism activities [4,5]. The tourists will take the selected transportation tools to ferry between the scenic spots, forming a tour route. On the premise of meeting the tourists’ interests and travel needs, the better the tour routes are, the lower the travel costs will be. Therefore, the recommendation of scenic spots that best match the tourists’ interests, the selection of the best transportation mode and the planning of the optimal tour route are the three key issues of the tourism activities [6,7].
In view of the three issues, there are some drawbacks to the traditional solutions. Recommendations are commonly based on the tourists’ web browsing behavior, the user similarity and the content collaborative filtering. These recommendation methods are not based on the precise needs of the current tourists, nor do they consider the relationship between the tourists’ interests and the scenic spots’ feature attributes. Meanwhile, the tourists are not familiar with the transportation conditions in a city, so they usually turn to the electronic maps for help. In this method, the selection of the transportation modes, the scenic spots to be visited and the planned tour routes is relatively subjective, and the routes provided by the electronic maps are usually not optimal. When the scenic spots are confirmed, the tourists’ unfamiliarity with the scenic spots and the urban geographical environment may lead to the problems of overlapping trips and the duplication of routes, which will increase the cost of travel time and fees. In view of the above problems, smart tourism should integrate intelligent, accurate and personalized POI and route recommendation, and solve the problems of the intelligent transportation and the tour route design by intelligent technology [8,9].
The Vehicle to X (V2X) mode proposed by the Intelligent Connected Vehicle (ICV) technology connects the intelligent vehicle with the geographical entities in the geospatial environment. In V2X, the X represents everything in the real world that could be combined and connected to the intelligent vehicle. The ICV technology can realize the real-time dynamic interaction between the vehicle and the background data. It perceives the surrounding environment through sensors, and obtains the road information, pedestrian information and the other real-time road conditions to make intelligent decisions to achieve intelligent vehicle control, optimization of the driving route operation and the safe delivery of the passengers to the final destination [10,11]. The hybridization of smart tourism and the ICV technology can realize the all-round intelligence in the travel itinerary, and provides the tourists with one-click, intelligent and personalized services. As to the problems in tour route planning, the hybridization of the ICV and smart tourism could be realized from three dimensions: the intelligent recommendation of the scenic spots, the intelligent searching of the POIs and the intelligent planning and recommendation of the guidance tour routes, in which the key technologies involve the system framework, the on-board services, the V2X interconnection, the object perception and the searching, route planning, etc.
1.2. The Novelty and Necessity of the Proposed Work
1.2.1. The Novelty and Necessity of the Proposed Tourism Recommendation Algorithms
The aim of the ICV Tourism Guidance System is to provide the tourists with the optimal POI and route recommendation. We design a POI recommendation module and a route guidance module for the tourists taking the ICV.
- (1)
- The designed tourism recommendation algorithm can help the tourists obtain the accurate recommendations. The relevant literature has shown that the tourists’ preferences often have the feature of blindness. For example, Wang et al. [12] indicates that the tourists’ degree of attention to the scenic spots shows a seasonal and regional trend. It can be concluded that when the tourists choose scenic spots, there is no quantitative evaluation criteria and precise algorithms, and it is difficult for the selected POIs to fully match their interests. Therefore, to achieve the matching between the POI feature attributes, the spatial attributes and the tourist interest features, it is necessary to construct a tourism recommendation algorithm for ICV.
- (2)
- The traditional recommendation algorithms use similarity as the criterion for recommendation, and there is an interest bias in the recommended POIs. For example, Chen et al. [13] studied a recommendation algorithm based on user relevance, which achieved the similar item recommendation by predicting the user satisfaction ratings. Guo et al. [14] constructed an item similarity calculation method based on the Hellinger distance (HD) by calculating the similarity between the items and integrating the user ratings, to recommend similar items to the users. It can be concluded that the traditional recommendation algorithms have focused on the algorithm efficiency, the user ratings and the similarity, and the core interests of the users have not been fully considered. POIs have the tourism feature attributes and the spatial attributes, and are greatly influenced by the tourists’ interests. Thus, the proposed recommendation algorithm is not based on the similarity as a criterion, but directly quantifies the personalized interests of tourists, and accurately recommends POIs for the tourists.
- (3)
- The proposed tourism route recommendation algorithm is another core algorithm of the ICV tourism service system, which is based on current tourists’ interests, and aims to find the optimal-cost routes. Wang et al. [15] constructed a GNN-based tourism route recommendation framework by using the graph neural networks. It could recommend routes that meet the tourists’ expectations. Jing et al. [16] proposed a personalized tourism route recommendation method based on the association rules, which was based on the interests of tourists in previous tourist routes. Mou et al. [17] captured the sequential travel patterns of the tourists by mining past travel trajectories, and recommended tour routes with similar travel sequences and trajectories. By contrast, our method is precise and accurate.
1.2.2. The Novelty and Necessity of the Proposed Hybridization Research
The hybridization of the ICV and smart tourism is a new research field and phenomenon. It can realize technological implementation, which is reflected in the core fields of the IoT and the application of the key technologies to serve smart tourism construction [18,19]. We analyze the novelty and necessity of the research on the hybridization of the ICV and smart tourism from the following aspects.
- (1)
- It provides innovative methods for the construction of smart tourism transportation
Currently, the smart transportation service is still in the digitization and informatization stage, providing information inquiry, ticket booking, location services, vehicle scheduling, etc. There is a lack of research on the hybridization of the vehicle networking and the ICVs with smart cities, and there are no application scenarios of ICVs in smart tourism. For the academic research field and the tourism market, the hybridization of the ICVs and smart tourism is a new field that requires in-depth research. At present, major tourism cities have limited investment in the construction of smart transportation. Only a few cities such as Suzhou, Chongqing and Shenzhen have launched intelligent unmanned bus routes.
- (2)
- It provides innovative methods to help ICV and tourists perceive the surrounding environment and obtain the optimal tourism recommendation
The core services of smart tourism, such as perceiving the spatial tourism environment, recommending POIs and planning tour routes, could be integrated with the ICV services, helping passengers perceive the tourism environment and obtain the most suitable POIs that meet their interests. Based on the recommended POIs, ICVs could plan the optimal guidance routes for the tourists in real-time based on their current locations and guide them to the tourist destinations. At present, there is a lack of research targeting the hybridization of ICVs into the construction of the specific functional scenarios for smart tourism. It is necessary to realize the hybridization of the two aspects at the theoretical, application and service levels in order to improve the level of the smart tourism construction.
- (3)
- It helps to provide innovative methods for the theoretical research and application research in the ICV and smart tourism field
The current research focuses on two aspects. First, exploring the problem of the application of the IoT and the IoV in smart tourism; second, how to build the IoT and IoV system in smart tourism. Lu et al. [20] analyzed the development status and trends of the cultural tourism industry in recent years. Then, the new trend was brought forward. Li et al. [21] studies the current status of the rural tourism development and problems encountered in the context of big data and the Internet of Things. In the work, a model is set up to analyze the influence factors in the rural tourism and cultural resources. Albérico et al. [22] explores the transformative impact of the IoT technologies on smart tourism, striving to boost the operational efficiency and enrich the traveler experience. Also, they study the applications of the IoT in smart tourism, and conclude that the IoT technologies can improve the efficiency of smart tourism. The proposed work provides an innovative method in ICVs and smart tourism.
1.3. Related Works
For the ICV technology, the majority of scholars mainly carry out research from the perspective of vehicle positioning, object perception, route planning, etc. Table 1 shows the comparison and superiority of the proposed method to the previous methods.
Table 1.
The comparison and superiority of the proposed method to the previous methods.
Based on the analysis of the current research and applications, this paper focuses on the issues of the service-oriented architecture and key technologies of the ICV service, and studies the application of the ICV service in the construction of smart tourism, then proposes a tourism recommendation algorithm based on the ICV service platform [36,37]. It mainly includes the following research contents.
- (1)
- The Mobile ICV Service System for the POI Searching and Route Recommendation;
- (2)
- ICV Tourism POI Clustering Algorithm based on the Urban Tourism Object Database;
- (3)
- ICV Spatial Accessibility and Buffer Zone Searching Algorithm;
- (4)
- Symmetrical-based ICV Tourism POI Recommendation Algorithm based on Tourists’ Interests;
- (5)
- ICV Guidance Route Algorithm based on the Section POI Recommendation.
2. The Mobile ICV Service System for the POI Searching and Route Recommendation
The building process of the mobile ICV service system for the POI searching and route recommendation is as follows [38,39,40,41]. (1) Store the POI feature attributes, POI spatial attributes and other geospatial data in Module 1: The spatial database of the urban tourism objects. Construct the clustering algorithm to realize the POI clusters. (2) Design Module 2: ICV on-board system. The tourists select interest labels and record the data in the on-board system as the standard interest data. (3) Design Module 3: ICV spatial accessibility and buffer zone searching system. It is based on the real-time movement of the ICV lanes. The system realizes the interaction between the cloud data stored in the spatial database of the urban tourism objects and the ICV. The ICV moves on the lanes and dynamically searches the POIs, then includes the POIs in the dynamic sequence to match the tourists’ interests. (4) Build Module 4: The matching module of the tourists’ interests and POIs. It recommends the optimal matched POIs. (5) Design Module 5. Establish the ICV terminal stations. Design the ICV ferrying lanes according to the urban geospatial information, and finally construct the road network of the ICV guidance to the POIs. Figure 1 shows the mobile ICV service platform for the POI searching and route recommendation.
Figure 1.
The mobile ICV service platform for the POI searching and route recommendation. Module 1 is the urban tourism object database, Module 2 is the ICV on-board system, Module 3 is the ICV spatial accessibility and buffer zone searching system, Module 4 is the tourist interest data and POI matching module, Module 5 is the ICV terminal station and global ferrying lane.
3. The Mobile ICV Tourism Recommendation Algorithm Model
Based on the ICV tourism POI searching and route recommendation system, as to the modules of the urban tourism object database, the ICV spatial accessibility and buffer zone searching system, the matching module of the tourist passengers’ interest data and POI as well as the ICV terminal stations and the global ferrying lanes, the mobile ICV tourism POI searching and route recommendation algorithm model is set up. The structure and basic logic of the mobile ICV tourism recommendation algorithm model are shown in Figure 2.
Figure 2.
The structure and basic logic of the mobile ICV tourism recommendation algorithm model.
The assumptions underlying the model are listed as follows [42,43,44]. (1) The research scope is continuous in geographic space. (2) The POIs are the typical and classical tourist sites in the city, and are the most popular ones granted by the tourism website. (3) POIs are independent from each other. (4) All the ICVs could travel smoothly in the downtown area, and POIs and ICVs could be connected by the city roads. (5) Tourists who take the ICVs all obey the time schedule and traveling arrangement.
3.1. ICV Tourism POI Clustering Algorithm Based on the Urban Tourism Object Database
The urban tourism object database is firstly established, and then the POI clustering algorithm is constructed based on the database. This algorithm is the core of Module 2: the ICV on-board system.
3.1.1. Urban Tourism Object Database and POI Feature Attribute
Definition 1.
The urban tourism object database . Set up a structured database and divide it into several sub databases , , . The stores the POI feature attributes. The stores the POI spatial attributes. The stores the urban road data. The stores the spatial attributes of the road nodes. The stores other necessary geospatial data for the ICV service.
Definition 2.
The POI spatial domain and POI element . Set the POIs in a tourism city that is included in the ICV service system as a research domain, noted as . In the domain , the POI is included in the ICV service system, which is defined as the POI element, noted as . Set the quantity of POI in domain as , , .
Definition 3.
The POI feature attribute factor . As to one element in the domain , it owns a set of features, which makes it a unique element different from another POI . We define the arbitrary one feature attribute of POI as the feature attribute factor, noted as . Set that one POI to have number of feature attributes, , .
Definition 4.
The POI feature attribute factor vector and POI feature attribute vector . As to factor , if it contains number of different classification indexes , then , , , is the No. feature attribute factor and is the No. index of the factor . As to factor and its number of indexes , a dimension vector is constructed to store the number of , which determines the features of factor and the tourists’ interests in factor . This vector is called the POI feature attribute factor vector, noted as . Store the valued indexes in a dimension vector in the order of foot mark on . Define this vector as the tourism POI feature attribute vector, noted as .
Definition 5.
The tourism POI feature attribute matrix . Based on the tourism POI feature attribute vector , confirm the maximum rank for . Set each feature attribute factor as the first column element for the matrix. Expand elements in each row by the classification indexes to make the vector form a dimension matrix, and this matrix is defined as the tourism POI feature attribute matrix, noted as .
Formula (1) shows the POI feature attribute factor vector and . Formula (2) shows the POI feature attribute matrix . Each POI relates to the unique matrix and each row in only has one nonzero element .
Factors are defined as follows: : the functional factor; : the POI star level; : the Popularity; : the sight-seeing duration time; : the sight-seeing fee. Among them, : represents the different capacities of POI to meet the tourists’ interests, including {: the natural scenery (1.00); : the cultural appreciation (2.00); : the game and fun (3.00); : the catering and shopping (4.00); : the museum and technology (5.00); : the art and aesthetics (6.00)}. : the “A Level” of the POIs. The national scenic spots include the levels of 2A~5A, and other scenic spots are classified as 1A, including {: A level POI (1.00); : 2A level POI (2.00); : 3A level POI (3.00); : 4A level POI (4.00); : 5A level POI (5.00)}. : the scoring value from the tourism website by overall evaluation, including {: ; : ; : ; : }, ; : the best tour time for the tourists in one POI, which is obtained in the POI official website, including {: ; : ; : ; : }, ; : The minimum expense the tourists must spend to visit the POI, including {: ; : ; : ; : }, .
Definition 6.
The standard parameter for POI feature attribute factor . Since two arbitrary rows and , and two columns and are nonlinearly correlated, their value ranges are also different. In order to make each factor have equal impact on the recommendation result, we introduce the standard parameter for POI feature attribute factors , compressing all the index values into the range . The parameter values meet the following conditions: if , ; if ,; if , .
3.1.2. ICV Tourism POI Clustering Algorithm
When the tourists input their interests to the ICV, the ICV on-board system will judge the POI clusters, search and recommend the specific POIs [45,46].
Definition 7.
The POI cluster and the cluster element . One POI category with close feature attributes is defined as a POI cluster , and the POI contained in is defined as a cluster element , represents the number of the cluster and represents the No. POI of the cluster. The number of POIs in the domain can be clustered into number of clusters ; each cluster contains number of POIs, . Formula (3) shows the relationship between the number and the number in the domain .
Definition 8.
The POI clustering objective function . The objective function is determined by the POI feature attribute factors and the standardized parameters , as Formula (4) shows. Expand the Norm relation function and obtain the Formula (5) function .
Definition 9.
The Open list and Closed list for the POI clustering. Build a dimension vector as the Open list , and then create a Closed list with the same dimension. Initialize the Open list and store the number of POIs in the research domain in the list .
Definition 10.
The storage matrix for the POI clusters. In the process of the clustering algorithm, a dimension matrix is set up to dynamically store the number of clusters and elements . This matrix is defined as the storage matrix for the POI clusters, noted as , as Formula (6) shows.
Definition 11.
Storage matrix for POI clustering objective function . As to the number of POIs in the domain , calculate the clustering objective function values between the and number of , . Build a matrix to store the number of function values ; the matrix element is defined as , is the matrix row, is the matrix column.
The ICV tourism POI clustering algorithm is founded as Algorithm 1. Figure 3 shows the algorithm flow.
| Algorithm 1: The ICV tourism POI clustering algorithm |
| Input: Output: The POI clusters Step 1: .
|
Figure 3.
The ICV tourism POI clustering algorithm process based on urban tourism object database. Figure (a) is the research domain. Figure (b) is the ICV on-board system. Figure (c) is the POI storage matrix. Figure (d) is the clustering objective function storage matrix. Figure (e) is the clustering seed points. Figure (f) is the output clusters.
3.2. ICV Tourism POI Searching and Route Recommendation Algorithm
In tourism POI recommendation, the standard of recommending POI to the tourist is the symmetrical-based matching degree, in which the features of POI should symmetrically match the tourist’s interest features. In this section, the ICV tourism POI searching and route recommendation algorithm is set up [47,48,49].
3.2.1. ICV Spatial Accessibility and Buffer Zone Searching Algorithm
In this section, we build the ICV spatial accessibility and buffer zone searching algorithm in the process of ICV ferrying on the designed lanes.
Definition 12.
ICV instantaneous location . The ICV starts from point and moves in the designed lane with speed . The location of the ICV at a certain instantaneous time is defined as the ICV instantaneous location . At this moment, the spatial coordinates of the ICV are noted as longitude and latitude . The is the point to judge the POI’s relative location at the current time . The , and will change with the time variable .
Definition 13.
ICV searching buffer zone and buffer zone searching azimuth angle . At the instantaneous time , the ICV searches the distributed POIs . Set as the center, as the radius. Starting from the north direction of , the ICV scans the POIs clockwise with a tiny angle . When the scanning line turns, the included angle between the POI and is . When the 360° angle has been scanned, a circle with and radius is formed. This circle range is defined as the ICV searching buffer zone, noted as . Define the buffer zone range and the searching frequency as and ; when the radius expands, a new 360° angle will be scanned, and the scanning frequency increases one time, until the radius has been scanned and reaches the maximum value.
Definition 14.
The POI absolute location , space accessibility and the relative location . The longitude and latitude of POI are defined as the absolute location . If the ICV stops moving at an instantaneous time , the process in which the ICV starts from the current location and guides the tourists to the POI will cause the travel cost, which is determined by the spatial linear distance between the ICV and POI , defined as the spatial accessibility radius of the POI at time , noted as , shown as Formula (7); and are the longitude and latitude of the ICV location , while and are the longitude and latitude of POI . The earth radius is 6371.0 km.
At time , the ICV scans and finds out one certain POI with the buffer zone . The azimuth angle of the scanning line is ; thus, the relative location of the POI to the ICV is the spatial accessibility radius and azimuth angle , noted as . With the variation in the time , the absolute location of the POI is fixed while the relative location of POI is variable.
Definition 15.
ICV unit searching section. When the ICV moves on the designed lane with speed , note the location at time as . The ICV moves for the duration time and when it reaches time , there is . The ICV arrives at location . In this process, the ICV will perform scanning times with dynamic buffer zone in the time duration . Define the lane on which the ICV moves in time duration as the ICV unit searching section . The location of time is noted as and the location of time is noted as . It could be noted as ; is the section number.
The ICV spatial accessibility and buffer zone searching algorithm is set up as Algorithm 2, and the algorithm flow is shown in Figure 4.
| Algorithm 2: ICV spatial accessibility and buffer zone searching algorithm |
| Input: Starting point , terminal point , control point Output: Step 1: Confirm the moving lane. Confirm the absolute location points for the number of POIs . Set up the POI scanning list for the section . Step 2: Take the first section as an example. ICV arrives at the control point at time . It begins the searching and scanning in the time duration , and . Step 3: At time , carry out scanning multiple times.
Step 5: Repeat Step 2–4, search and output the union for . |

Figure 4.
The ICV spatial accessibility and buffer zone searching algorithm process. Figure (a) shows a ferrying lane for the ICV moving from the starting point to the terminal point , in which the yellow circles are the two end points, the blue circles are the end points for the sections, the green circles are the POI distributions. Figure (b) shows the example of the section , in which the ICV-recorded time of the buffer zone searching is , ,…, . Figure (c–g) show the buffer zone searching process at the time , ,…, . In Figure (a), the brown line represents the ICV lane, the orange dots represent the starting point and terminal point of the ICV lane, the blue dots represent the critical nodes in the ICV lane, the green dots represent the POIs. In Figure (b–g), the green dots represent the POIs, the blue dots represent the starting point and terminal point of the ICV lane.
3.2.2. Symmetrical-Based ICV Tourism POI Recommendation Algorithm Based on Tourists’ Interests
Combined with the POI clustering results and the POI vectors at the different time locations, the symmetrical-based POI recommendation algorithm in the buffer zone of the ICV lanes in section is constructed [50,51,52].
Definition 16.
The tourist interest feature factor , interest feature factor vector and interest feature vector . The feature attributes and of each POI are used as the basic factors and for the tourists to select. The interest option for the tourists is defined as the tourist interest feature factor . The factor indexes are , , , , respectively, is the maximum number of the factor classification index, is the number of the feature factors and is the No. index . As to factor , a dimension vector is set up to store the number of classification indexes, defined as the interest feature factor vector . The expected interest items selected by the tourists are stored in the dimension vector. The vector is defined as the interest feature vector . The two vectors and are set up as Formula (8).
Definition 17.
The standardized parameter . In order to make each factor have equal impact on the recommendation result, the parameter is introduced, which confines into the range . The parameter value meets if , ; if , ; if , .
Definition 18.
The tourist interest matching objective function . Based on the vectors and , and the standardized parameters and , the tourist interest matching objective function is set up as Formulas (9) and (10). is the tourist, and is the element in the cluster storage matrix .
Definition 19.
The POI clustering sequence vector of the unit searching section. In section , the vector contains the POIs to be visited. As to the number of clusters in vector , set the quantity of POIs in cluster of vector as , , . Set up a matrix to build the POI recommendation algorithm; in represents the No. section . Each section relates to one . The in represents the No. cluster . In the No. row of , the POIs in each cluster of are stored in line with the sequence algorithm.
Based on the spatial accessibility and buffer zone searching algorithm, the POI vector and the matrix , the symmetrical-based POI recommendation algorithm based on the tourists’ interest is constructed as Algorithm 3. Figure 5 shows the algorithm’s process.
| Algorithm 3: Symmetrical-based POI recommendation algorithm based on the tourists’ interest |
| Input: Expected , for each cluster, Output: Recommended POI Step 1: . Note the POIs of . Step 2: for each POI. Step 3: For and , ICV moves from to in time . Obtain ; the . Step 4: Initialize . .
Step 6: ICV moves to pass . . .
|
Figure 5.
The POI recommendation algorithm process based on tourists’ interests. Figure (a) is the ICV on-board system. Figure (b) is the expected clusters by tourists. Figure (c) is the cluster sequence matrix. Figure (d) is the output-recommended POIs in each expected cluster.
3.2.3. ICV Guidance Route Algorithm Based on the Section POI Recommendation
When the tourists choose the recommended POIs at time , the ICV will guide the tourists to the POI on the optimal route. After sight-seeing at the POI, the ICV will guide the tourists back to the ferrying lane and continue searching in the next section, until the input number of POIs have been visited [53,54,55,56,57]. The ICV guidance route algorithm based on the section POI recommendation is set up.
Definition 20.
The dynamic starting point and the terminal point of the guidance route. If the tourists choose one recommended POI at time , the ICV will stop the searching, and set the ICV location at time as the starting point of the guidance route. After sight-seeing at the POI, the ICV will guide the tourists back to the terminal of the section , noted as .
Definition 21.
The guidance route dynamic control point . The road nodes distributed among the point , the selected POIs and the terminal are defined as the guidance route dynamic control points, noted as .
Definition 22.
The dynamic guidance feasible route and the dynamic guidance feasible route set . When point and the POIs are confirmed, the control points will be confirmed. The ICV starts from the , passes through and reaches the POI ; after sight-seeing, the ICV passes through and reaches . The whole process is defined as the dynamic guidance feasible route, noted as . Store all the feasible routes in the dynamic guidance feasible route set, noted as . represents the ICV location . Figure 6 shows the process to form the starting point, the control points and the feasible routes in the time duration .
Figure 6.
The process to generate the dynamic starting point, the control points and the feasible route sections for the ICV in the time duration based on the selected POIs within the section . Figure (a–f) shows the searching for POI at time , , , , and . The green dots represent POIs, the blue dots represent the starting point and terminal point of the ICV lane, the red dots represent the critical nodes in the ICV lane, the black dots represent the other road nodes.
Definition 23.
The dynamic guidance cost vector . Set up a dimension vector to store the routes , , . This vector is defined as the dynamic guidance cost vector, noted as . The element is .
The moving cost of the ICV is proportional to the ICV moving distance. Searching for the path with the lowest cost is the key to optimizing the guidance route. The ICV guidance route algorithm is constructed based on the determined feasible paths in the geographic space, as Algorithm 4, shown in Figure 7.
| Algorithm 4: ICV guidance route algorithm based on the section POI recommendation |
| Input: , . Output: ICV guidance route Step 1: , for element of .
Step 4: as the optimal one. The algorithm ends. |
Figure 7.
The process for the ICV guidance route algorithm. Figure (a): the initial status of route searching. Figure (b): the is found and confirmed. Figure (c): the is found and confirmed. Figure (d): the is found and confirmed. Figure (e): the is found and confirmed. Figure (f): the is found and confirmed. Figure (g): the is found and confirmed. Figure (h): the whole route is found and confirmed. The red dot and blue dot represent the starting point and terminal point of the ICV lane, the black dots represent the road nodes, the yellow dot represents the POI, the brown line represents the ICV route.
3.3. The Computational Complexity of the Proposed Algorithms
- (1)
- The ICV tourism POI clustering algorithm
The process of calculating the objective function values and searching for the maximum differences is a linear operation, and the process of sorting the POI and the seed point objective function values is bubble sorting. Therefore, the time complexity of the algorithm is , and is the quantity of the POIs. In the real-world urban tourism scenarios, take as an example; the algorithm has a time complexity level of 65.536 microseconds and a very fast computational speed. The number of POIs in cities is less than 256, so the system’s calculation can support the tourists’ needs, and the time complexity is within the tolerable range.
- (2)
- The ICV spatial accessibility and buffer zone searching algorithm
Since the dividing of each interval, the determining time of each interval, the buffer zone searching and the union operation at each time are all linear calculations without iterative relationships, the time complexity of the algorithm is , and is the number of POIs. In the real-world urban tourism scenarios, take as an example; the algorithm has a time complexity of 256 nanoseconds and an extremely fast computational speed. The number of POIs in cities is usually far less than 256, so the system’s calculation can support the tourists’ needs, and the time complexity is within the tolerable range.
- (3)
- The ICV tourism POI recommendation algorithm
The process of calculating each matching function is a linear operation, and the sorting method is used to search for the most matched POIs within each interval. The searching method is identical within each interval. Therefore, the time complexity of the algorithm is , and is the number of POIs. In the real-world urban tourism scenarios, take the as an example; the algorithm has a time complexity of 65.536 microseconds and a very fast computational speed. The number of POIs in cities is usually far less than 256, so the system’s calculation can support the tourists’ needs, and the time complexity is within the tolerable range.
- (4)
- The ICV guidance route algorithm
According to the geographical conditions of the city, the capacity of the road node set between the initial point and the target point is relatively small; thus, the time complexity of the algorithm is , and is the number of road nodes. In the real-world tourism scenarios, take as an example; the algorithm has a time complexity of 2.048 microseconds and an extremely fast computational speed. In the urban environments, the number of road nodes between the initial point and the POIs is far less than 256, so the system’s calculation can support the tourists’ needs, and the time complexity is within the tolerable range.
4. Experiment and Result Analysis
We design and perform experiments to verify the feasibility and the superiority of the proposed algorithms. The basic experimental conditions and environments are as follows: (1) Sample tourism city: Chengdu, provincial capital city of Sichuan, China. (2) Set terminal stations and ferrying lanes. (3) Confirm POIs, feature attributes, spatial attributes. (4) Considering the complex traffic conditions in Chengdu’s downtown area, the average moving speed of the ICV is set as 15 km/h.
4.1. Data Preparation
The two terminal stations are set as the Chadianzi Passenger Station and the Chengdu East Railway Station. The terminal stations and the ICV lane are drawn as the red line in Figure 8a, and the nodes are the section control points. The selected POIs are : The Jinsha Site; : The Du Fu Cottage; : The Kuan Zhai Alley; : The people’s Park; : The Temple of Marquis; : The Tazi Shan Park; : The Chunxi Road; : The Wenshu Temple; : The Raffles Square; : The Eastern Suburb Memory; : The Jinniu Wanda; : The Fuli Square; : The Qingyang Temple; : The Huanhuaxi Park; : The Hua Run MIXC mall. The distributions of the ferrying lane and the POIs are shown in Figure 8a. The ferrying lane and POIs are projected as the spatial distribution diagram shown in Figure 8b, in which the blue dot represents the nodes.
Figure 8.
The ICV ferrying lane and the POI distributions in the experimental space. Figure (a) is the distributions of the ferrying lane and the POIs. Figure (b) is the spatial distribution diagram with nodes in the ferrying lanes and different POI categories. The used map is extracted from the Chinese BaiDu Map. All the information in the map is shown by Chinese words. The blue POIs are included in the category “Catering and Shopping”, the red POIs are included in the category “Museum and Historical site”, the green POIs are included in the category “Natural scenery and Park”. The yellow dots represent the starting point and terminal point of the ICV lane. The blue dots and red dot represent the critical nodes of the ICV lane.
4.2. Experimental Result and Analysis
4.2.1. POI Clustering Results and Analysis of ICV On-Board System
Quantify the POI feature attributes, calculate the function and cluster the POIs. The results are shown in Table 2. The values in the table are the calculated cluster seed points and the clustering objective function values between the POIs. Figure 9a shows the values between the seed point : The Jinsha Site and other POIs. Figure 9b shows the values between the seed point : The Tazishan Park and other POIs. Figure 9c shows the values between the seed point : The Jinniu Wanda and other POIs. According to Table 2 and Figure 9, the POI clusters are : {: The Jinsha Site; : The Du Fu Cottage; : The Wuhou Temple}; : {: The Tazishan Park; : The Kuanzhai Alley; : The People’s Park; : The Wenshu Temple; : The Eastern Suburb Memory; : The Qingyang Temple; : The Huanhuaxi Park}; : {: The Jinniu Wanda; : The Chunxi Road; : The Raffles Square; : The Fuli Square; : The Hua run MIXC mall}.
Table 2.
The POI clustering objective function values between seed points and the POIs.
Figure 9.
The clustering objective function value between the seed points and the POIs. Figure (a) shows the values between the seed point : The Jinsha Site and other POIs. Figure (b) shows the values between the seed point : The Tazishan Park and other POIs. Figure (c) shows the values between the seed point : The Jinniu Wanda and other POIs.
Analyzing the clustering results, it can be concluded that the three calculated seed points , and have the maximum objective function values (OFVs), which can represent the three clusters. The OFV between each POI and the seed point is lower than that between the seed points of other clusters. In the same cluster, the OFVs between POIs and the seed point fluctuate with the POI sequence. The lower the OFV is, the closer the POI feature attributes are to the seed point feature attributes. The higher the OFV is, the more remote the POI feature attributes are from the seed point feature attributes. This conclusion indicates that although the POIs in the same cluster are close in feature attributes, they still have different capacities for satisfying the tourists’ interests. It enables that when the tourists choose the clusters and the POI quantity, the ICV can distinguish the functions and capacities of each POI in the process of searching POIs that best match the tourists’ interests, and then recommend the optimal POIs.
4.2.2. The Result and Analysis on the ICV Tourism POI Spatial Searching
Select one sample tourist, and set the tourist’s interests as follows: visit four POIs within one tour day, and select two POIs in each cluster and , respectively. The selected terminal stations are : The Chadianzi Passenger Station and : The Chengdu East Railway Station. The ICV ferrying lane includes three nodes, : the intersection of the Qingjiang Road on the second ring road, : The Tianfu Square and : the intersection of the Shudu Avenue on the second ring road. The tourist chooses the interest feature factors and inputs the following conditions: enjoy the natural scenery and appreciate the cultural history, the POIs should be at least 3A level, the POI popularity is set as 0.9, the sight-seeing time for one POI is set as 2 h, the fee cost is set as 0.
Table 3 shows the calculated POI matching objective function values . Table 4 shows the best matched POIs and the related data results of the ICV at time and ICV location point . The starting time of the ICV tour is set as 8:00 a.m. In the table, is the absolute location of the ICV at time , is the absolute location of the POI and is the relative location of the POI to the ICV’s current location. Figure 10a shows the POIs distributed around the ICV ferrying lane. Figure 10b shows the distributed POIs and the matching objective function values. Figure 10c–f show the optimal POIs and the relative locations searched at time in each section.
Table 3.
Interest matching objective function values for each POI in the clusters.
Table 4.
The best matched POIs and the related data results of the ICV at time and ICV location point .
Figure 10.
ICV ferrying lane and POI distributions, POI interest matching objective function value distributions and the optimal POI selected at time and its relative location point. Figure (a,b) show the distribution of the ICV lane, POIs and nodes of the ICV lane. The used map is extracted from the Chinese BaiDu Map. All the information in the map is shown by Chinese words. In Figure (a,b), the blue POIs are included in the category “Catering and Shopping”, the red POIs are included in the category “Museum and Historical site”, the green POIs are included in the category “Natural scenery and Park”. The yellow dots represent the starting point and terminal point of the ICV lane. The red dots represent the critical nodes of the ICV lane. Figure (c) shows that the POI is found and confirmed. Figure (d) shows that the POI is found and confirmed. Figure (e) shows that the POI is found and confirmed. Figure (f) shows that the POI is found and confirmed. The blue dots are the nodes that have been passed by the ICV.
4.2.3. The Result and Analysis of the ICV Guidance Route and Tour Schedule
The guidance cost vector between the location and the POIs is output by the algorithm, as shown in Table 5. ST is the starting point, and TP is the terminal point. Route 1, Route 2 and Route 3 are the optimal routes. represents the time when the ICV starts from the starting point of the current section, represents the time when the ICV reaches the terminal point of the current section, represents the required time duration to visit the POI (unit: h), represents the time when the ICV leaves the current terminal point and is the mileage the ICV moves in the guidance route (unit: km). In the table, a~e represents a~, b~, c~, d~ and e~. In the last row of the table, the data represent the departure time at the terminal , the arrival time at the terminal after visiting the four POIs and the total mileages of the ICV guidance routes for the three routes. Route 1 is the optimal route for the ICV.
Table 5.
The output ICV guidance cost vector and the time schedule for each route.
4.2.4. The Effectiveness Testing Result and Analysis Based on the Previously Used Data in the Same Experimental Scenario
According to the research and analysis of the literature, it can be concluded that the fruit fly optimization algorithm constructed by Long [28] can effectively generate feasible ICV routes in the design of an ICV driving route algorithm, providing a theoretical basis and technical reference for the design of an ICV operating system and ICV route decision-making schemes. This study demonstrates the feasibility of the constructed fruit fly optimization algorithm by a simulation experiment. The experiment includes two parts: “space scenario under the simple conditions” and “space scenario under the complex conditions”. The grid data structure is used to generate routes under the obstacle conditions. Both of the two space scenarios can effectively simulate the urban environment, with the obstacle grids representing the urban building areas that the ICVs cannot pass through, and the blank grids representing the blocks that the ICVs can pass through. To verify the effectiveness of the proposed ICV route algorithm, we establish the experimental scenarios based on the simulation environment and data constructed in the literature of Long [28]. We use the same spatial grids in “space scenario under the simple conditions” and “space scenario under the complex conditions” as models to generate the feasible route by using the proposed ICV route algorithm. The experimental conditions and basic data are set as follows, where Figure 11a shows the spatial scenario under the simple conditions; Figure 11b shows the ICV route output by the proposed algorithm under the simple conditions; Figure 11c shows the spatial scenario under the complex conditions, and Figure 11d shows the ICV route output by the proposed algorithm under the complex conditions. In Figure 11, the routes are drawn by red dashed lines.
Figure 11.
The experimental results under the same experimental conditions as Long [28]. Figure (a) shows the spatial scenario under the simple conditions; Figure (b) shows the ICV route output by the proposed algorithm under the simple conditions; Figure (c) shows the spatial scenario under the complex conditions, and Figure (d) shows the ICV route output by the proposed algorithm under the complex conditions. The routes are drawn by red dashed lines. In the figures, the black areas represent the obstacles in the space.
- (1)
- Space scenario and experimental data under the simple conditions: ① The spatial grid scale is 20 × 20, and the grid edge length is set to 1 km; ② The black area represents the obstacle area, with a total quantity of 10; ③ The red grid is the starting point with coordinates (0, 20), and the green grid is the endpoint with coordinates (20, 0); ④ The center of the white grid represents the road node.
- (2)
- Space scenario and experimental data under the complex conditions: ① The spatial grid scale is 20 × 20, and the grid edge length is set to 1 km; ② The black area represents the obstacle area, with a total quantity of 18; ③ The red grid is the starting point with coordinates (0, 20), and the green grid is the endpoint with coordinates (20, 0); ④ The center of the white grid represents the road node.
Analyzing the results output in Figure 11, it can be concluded that the proposed algorithm can search for the feasible ICV routes from the starting point to the endpoint under both of the experimental settings: “space scenario under the simple conditions” and “space scenario under the complex conditions”. After the searching and calculating process, the total mileage of the ICV route is 29.80 km in the simple scenario, and 28.62 km in the complex scenario. By the calculation, it can be concluded that the proposed ICV route algorithm can output the feasible route under the same simulation scenario and data conditions as the algorithm constructed in Long [28]. Both the experimental scenarios are the most commonly used simulation environments for verifying the route algorithm, and are used to simulate the real-world environment of the urban roads and building land in the urban geographic space. The black area represents the building land, which the ICVs cannot pass through, while the white area represents the road area, which the ICVs can pass through. The white grid center is considered as the road node. The experiment proves that the proposed ICV route algorithm is effective and can output the ICV route in the urban road environments, which will ensure the accuracy of the subsequent experimental results.
4.2.5. The Result and Analysis of the Comparison Experiment
A comparison experiment is designed to verify the superiority of the proposed algorithm. The experimental group is set as the proposed method, and the control group is set as the tourist randomly selecting the POIs and routes. The comparison experiment includes two groups. The first group is the comparison of the POI matching objective function values. The second group is based on the same POIs comparing the route costs.
- (1)
- The result and analysis of the first group experiment
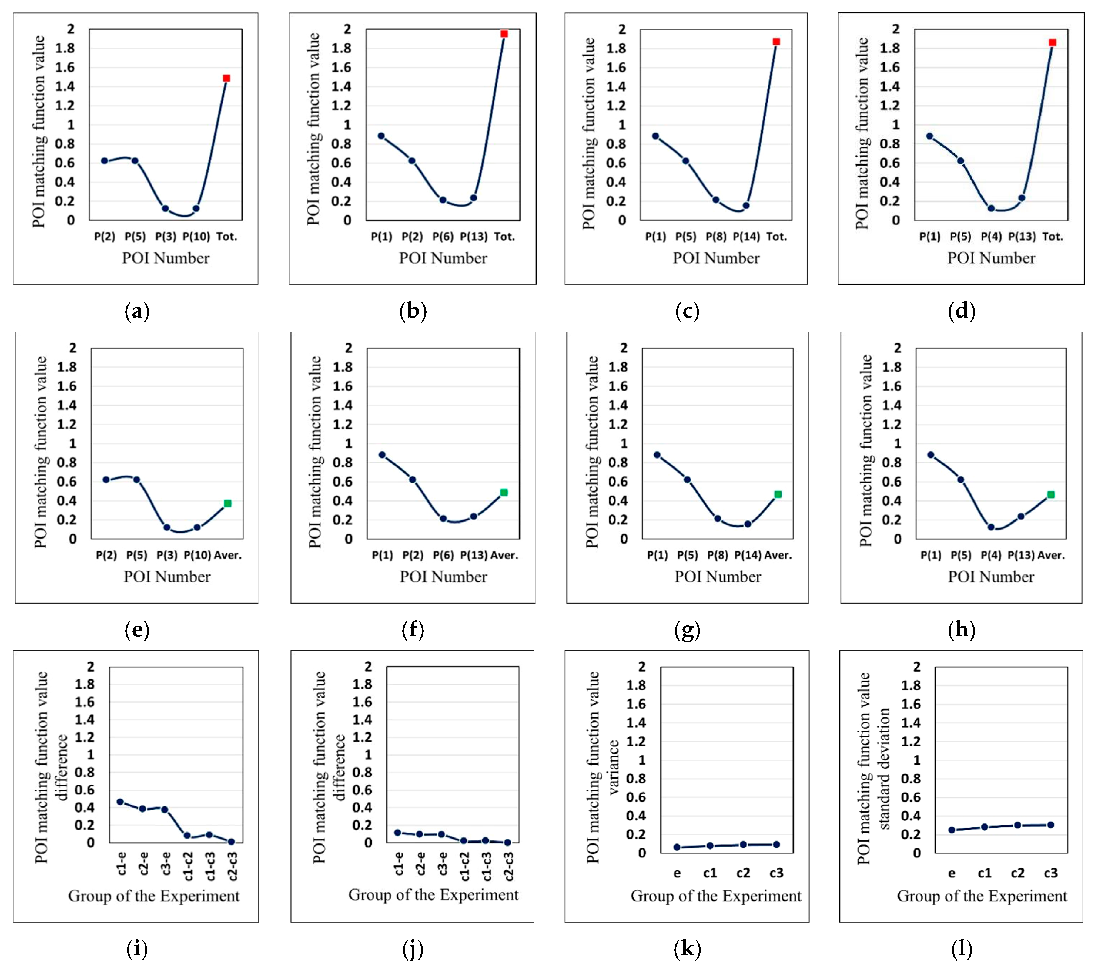
Table 6 shows the comparison results between the experimental group and the control group on the matching function values . The “” is the iteration sum for a group of POI matching function values. The “” is the average value of the iteration sum for a group of POI matching function values, the “” is the variance for a group of POI matching function values, the “” is the standard deviation for a group of POI matching function values, the “” is the difference value of the iteration sum for different groups of POIs and the “” is the difference value of the average value of the iteration sum for different groups of POIs. Figure 12 shows the comparison chart of the output experimental results. The “exp.” is the experimental group, and “c1”, “c2” and “c3” are the control group 1~3.
Table 6.
The comparison results between the experimental group and the control group in the first group experiment.
Figure 12.
Result comparison between exp. and c. Figure (a) shows the POI matching function values and the “” values of exp. Figure (b–d) show the POI matching function values and the “” values for c1., c2. and c3. The red square is marked as “” value. Figure (e) shows the POI matching function values and “” values in exp. Figures (f–h) show the POI matching function values and “” values in c1., c2. and c3. The green square is marked as“”value. Figure (i) shows the “” between the different groups. Figure (j) shows the “” between different groups. Figure (k) shows the “” value in each group and Figure (l) shows the “” value in each group.
- (I)
- Analyze Table 6 and Figure 12a–d. The “” of exp. is lower than c1., c2. and c3., indicating that our proposed algorithm can recommend the POIs that are closest to the tourist’s interests, better than the random selection by the tourists. In the three control groups, the “” value of c3 is the smallest, followed by c2 and c1, indicating that the POIs of c3. have a higher overall matching degree and are relatively better than the other two control groups.
- (II)
- Analyze Table 6 and Figure 12e–h. The “” of exp. is lower than c1., c2. and c3., indicating that our proposed algorithm has better average characteristics and concentration in the interest matching capacity, and can centralize the recommended POIs on the interval that best matches the tourist’s interest, which makes the recommendation result optimal. In the three control groups, the “” value of c3 is the smallest, followed by c2 and c1, indicating that the POIs of c3. have a higher average matching degree and are better than c2 and c1.
- (III)
- Analyze Table 6 and Figure 12i,j. The “” and “” values among groups show fluctuating trends. The “” and “” of c3. and exp. are the lowest, indicating that the POIs of c3. have the closest capacity to the exp. in matching the tourist’s interests. In the control group, the “” and “” of c2. and c3. are the lowest, indicating that c2. and c3. have the closest capacity to meeting the tourist’s interests.
- (IV)
- (V)
- From the perspective of the iterative sum and the iterative sum average of the POI matching function values, the optimal POIs output by our proposed algorithm have a performance improvement of at least 20.2% and a stability improvement of at least 20.5% compared to the randomly selected POIs in matching the tourist’s interests.
- (2)
- The result and analysis of the second group experiment
The tour nodes of the experimental group and the control group are both the recommended POIs. The experimental group searches ICV routes by the proposed algorithm, while the control group randomly selects ICV routes, and the route between the POIs is provided by the commonly used electronic map.
In Table 7, the “exp.” represents the experimental group, the “c1”, “c2”, “c3” and “c4” represent the control group 1~4. The letters a~e represent a~, b~, c~, d~, e~, in which is the departure time from the starting point of each section, is the arriving time at the terminal of each section, is the time duration to visit the POI (unit: h), is the time to leave the end of each section and is the moving distance in the section. The numbers 2,3,5,10 in the table represent the tour route . Section 1 of the route is , Section 2 is and so on.
Table 7.
The output ICV time schedule and the mileage for the different sections in each group. The double hyphen in Section 5 means no value.
Table 8 shows the comparison results of the time schedule, the total time duration and the total mileage for the tour routes of each group, in which “” is the sight-seeing time duration for the tour routes of each group, “” is the total tour time costs for the tour routes of each group, “” is the total tour distance costs for the tour routes of each group, “” is the difference value of the total time costs of the tour between exp. and c1~4. and “” is the difference value of the total tour distance costs of the tour between exp. and c1~4. Figure 13 shows the comparison results between exp. and c1~4. From the analysis of the cost in routes, the optimal route output by our proposed algorithm reduces the average cost by 19.6% compared to the other sub-optimal routes.
Table 8.
The output time schedule, the total time duration and the total mileage of the tour routes for each group.
Figure 13.
The comparison of the “” and “” tour routes in each group. Figure (a) shows the curve of “” for the tour routes of each group, Figure (b) shows the curve of “” for the tour routes of each group, Figure (c) shows the curve of “” of the tour between exp. and c1~4. and Figure (d) shows the curve of “” of the tour between exp. and c1~4.
- (I)
- The “” of exp. is the lowest, 11.52 h, followed by c4, 11.55 h, and c3, c2 and c1, 12.13 h, 12.17 h and 12.47 h. The exp. consumes 0.95 h, 0.65 h, 0.61 h and 0.03 h less than c1~4.
- (II)
- The “” of exp. is the lowest, 36.6 km, followed by c4, 37.6 km, and c2, c3 and c1, 47.4 km, 47.9 km and 51.8 km. The distance cost of exp. is 15.2 km, 10.8 km, 11.3 km and 1.0 km less than c1~4.
- (III)
- It is concluded that the proposed algorithm is superior in recommending ICV tour routes. The time and distance costs are both the lowest. Therefore, the proposed algorithm has advantages over the control group in terms of energy conservation, reducing waste gas emission and green environmental protection, and is also superior in meeting the tourists’ interests.
4.2.6. The Comparison between the Proposed Algorithm and Other Similar Methods
The experiment compares and analyzes the algorithms from two aspects.
- (1)
- Comparison with studies in the literature [27,28,29]
The route algorithms in studies [27,28,29] are the control group, and the proposed algorithm is the experimental group. Li et al. [27] uses a Bezier curve to find the optimal path, denoted as BEZA, Long [28] uses the fruit fly optimization algorithm to search for the optimal path, denoted as FFOA and Liao et al. [29] uses the Dijkstra algorithm to search for the optimal path, denoted as DIJA. Our proposed algorithm is denoted as PROA. The experimental conditions are identical to Section 4.2.5. The route mileage of each section, the total mileage , the total time consumption , the cost difference and the algorithm time complexity (TC) are recorded in Table 9. Nodes of ICV are the positioning points shown in Table 4. is the total mileage difference between BEZA, FFOA and DIJA to PROA. is the time difference between BEZA, FFOA and DIJA to PROA.
Table 9.
Route mileage of each section, the total mileage , the total time consumption , the cost difference and the time complexity of the ICV guidance route by BEZA, FFOA, DIJA and PROA.
- (2)
- Comparison with studies in the literature [35,37]
The routes by algorithms in studies [35,37] are the control group, the routes by our proposed algorithm are the experimental group. Silva et al. [35] uses the tourists’ historical data as the basis to recommend POIs and routes; the algorithm is denoted as HTBA. Jing et al. [37] uses the association rules to extract POIs and routes that the tourists have visited before, and recommend similar routes for the tourists. The algorithm is denoted as ARMA. Our proposed algorithm is denoted as PROA. The experimental conditions are identical to Section 4.2.5. The control group uses HTBA and ARMA, while the experimental group uses PROA to recommend POIs and routes; they are different in result. The route mileage of each section, the total mileage , the total time consumption and the cost difference are recorded in Table 10. Nodes of ICV are the positioning points shown in Table 4. is the total mileage difference between HTBA and ARMA to PROA. is the time difference between HTBA and ARMA to PROA.
Table 10.
Route mileage of each section, the total mileage , the total time consumption and the cost difference of the ICV guidance route by HTBA, ARMA and PROA.
Analyzing Table 9, the following conclusions are obtained.
- (I)
- The total mileage of the ICV route of PROA is the smallest, 36.6 km, and the total time is 2.44 h. The total mileages of the ICV routes of BEZA, FFOA and DIJA are 45.9 km, 39.4 km and 42.5 km. The total time costs are 3.06 h, 2.63 h and 2.83 h, all higher than PROA. Thus, PROA is superior to BEZA, FFOA and DIJA in reducing route cost, with a maximum cost reduction of 20.3%, a minimum cost reduction of 7.1% and an average cost reduction of 13.8%.
- (II)
- The time complexity of the control group algorithm is , while the time complexity of our proposed algorithm is . Since increases slower than , the increases slower than . Therefore, at any value of , the time complexity of is always higher than . The time complexity of our proposed algorithm is superior to the control group.
Analyzing Table 10, the following conclusions are obtained.
- (I)
- Different recommendation mechanisms of HTBA, ARMA and PROA cause different POI and route results. They are all feasible solutions for the tourist, but generate different costs.
- (II)
- The total mileage of the ICV route of PROA is the smallest, 36.6 km, and the total time is 2.44 h. The total mileages of the ICV routes of HTBA and ARMA are 41.7 km and 40.8 km. The total time costs are 2.78 h and 2.72 h, all higher than PROA. Thus, PROA is superior to HTBA and ARMA in reducing route cost, with a maximum cost reduction of 12.2%, a minimum cost reduction of 10.3% and an average cost reduction of 11.2%.
It is concluded that the proposed algorithm is superior in recommending ICV tour routes. The time and distance costs are both the lowest. In essence, the proposed algorithm has superiority in the algorithm design, while the algorithms in the control group all have their own flaws. Therefore, the proposed method makes innovation in and improvement to the POI and route recommendation algorithm.
5. Conclusions and Prospects
Aiming at the problems in current tourism recommendation, we design a tourism recommendation algorithm based on the mobile ICV service platform. It is an innovative practice of the hybridization of the ICV technology and smart tourism. In the ICV system, the specific modeling steps of the POI clustering, the POI interest feature matching, the ICV spatial accessibility and buffer zone searching, the POI recommendation and the ICV guidance route algorithm are studied. We perform an experiment and analyze the ICV tourism POI clustering results, the spatial searching results on the ICV tourism POIs, the ICV guidance route searching and the tour time results. In the comparison experiment, the POIs recommended by the proposed algorithm have a performance improvement of at least 20.2% and a stability improvement of at least 20.5% compared to the randomly selected POIs in matching the tourists’ interests. Also, the optimal route output by the proposed algorithm reduces the average cost by 19.6% compared to the other sub-optimal routes. Compared with BEZA, FFOA and DIJA, the proposed algorithm has an average cost reduction of 13.8%, while compared with HTBA and ARMA, the proposed algorithm has an average cost reduction of 11.2%. The experiments verify that the proposed algorithm is superior in algorithm stability, time complexity and ICV travel costs.
The tourism recommendation algorithm based on the ICV service platform is based on the founded terminal stations and the ferrying lanes. Future research could make further efforts in the following two aspects. First, research on the spatial distributions and the locations of the ICV terminal stations. In this paper, the locations of the ICV terminal stations are based on the addresses of the main transportation stations in a city. In the next step, the research work can combine the spatial distributions of the POIs and the spatial clustering relationship to build the ICV terminal station spatial distribution and location algorithm, and confirm the optimal locations of the ICV terminal stations. Second, according to the ICV terminal stations, combined with the urban road network structure and the POI distributions, the research work can set up the ICV ferrying lane algorithm, which is designed for the ICV moving route between the terminal stations. By designing the terminal station’s location algorithm and the ferrying lane algorithm, the ICV tourism POI searching and guidance route recommendation will find more optimized results based on the optimal terminal stations and the global ferrying lanes.
Author Contributions
Conceptualization, X.Z., R.L. and F.T.; methodology, X.Z., R.L. and F.T.; formal analysis, F.T., J.P. and T.Z.; visualization, J.P., T.Z. and R.L.; writing—original draft preparation, X.Z. and R.L.; writing—review and editing, X.Z., R.L., F.T., J.P. and T.Z.; funding acquisition, X.Z. and R.L. All authors have read and agreed to the published version of the manuscript.
Funding
This research was funded by the project of the Key Research Institution of Social Sciences in Sichuan Province—The Center for the Protection and Development of Local Cultural Resources (No. DFWH2024-012), the project of the Key Research Base of Philosophy and Social Sciences of Deyang City—General Project of Cultural Tourism Development Research Center in 2024 (No. WHLY2024044) and the project of the Key Research Base of Region and Country of Sichuan Province, Center for Southeast Asian Economic and Culture Studies (No. DNY2301).
Data Availability Statement
Data are contained within the article.
Conflicts of Interest
The authors declare no conflicts of interest.
Abbreviations
| ICV | Intelligent Connected Vehicle |
| POI | Point of Interest |
| IoT | Internet of Things |
| IoV | Internet of Vehicles |
| V2X | Vehicle to Everything. X represents everything in the real world that could be combined and connected to the intelligent vehicle |
| GPS | Global Positioning System |
| GNN | Graph Neural Network |
| Urban tourism object database | |
| Database to store the feature attributes of the tourism POIs | |
| Database to store the spatial attributes of the tourism POIs | |
| Database to store the global urban road data | |
| Database to store the spatial attributes of the global urban road nodes | |
| Tourism POI spatial domain | |
| Tourism POI element | |
| Tourism POI feature attribute factor | |
| Tourism POI feature attribute factor vector | |
| Tourism POI feature attribute vector | |
| Tourism POI feature attribute matrix | |
| Standard parameter for the tourism POI feature attribute factor | |
| POI cluster | |
| Cluster element | |
| POI clustering objective function | |
| Open list for POI clustering | |
| Closed list for POI clustering | |
| Storage matrix for POI clusters | |
| Storage matrix for the POI clustering objective function | |
| ICV instantaneous location | |
| ICV searching buffer zone | |
| ICV buffer zone searching azimuth angle | |
| Tourism POI absolute location point | |
| Tourism POI relative location point | |
| Tourism POI space accessibility radius | |
| ICV unit searching section with note | |
| Tourist interest feature factor | |
| Interest feature factor vector | |
| Interest feature vector | |
| Standardized parameter of the tourist interest feature factors | |
| Tourist interest matching objective function | |
| POI clustering sequence vector of the unit searching section | |
| ICV dynamic starting point | |
| Terminal point of the guidance route | |
| Guidance route dynamic control point | |
| Dynamic guidance feasible route | |
| Dynamic guidance feasible route set. | |
| Dynamic guidance cost vector |
References
- Qin, Y.; Xu, Z.S.; Wang, X.X.; Škare, M. Fuzzy decision-making in tourism and hospitality: A bibliometric review. J. Intell. Fuzzy Syst. 2024, 46, 4955–4980. [Google Scholar] [CrossRef]
- Lin, P.C.; Huang, J.C.; Ho, P.T. Improved multi-level fuzzy integrated assessment algorithm for tourism environment carrying ability based on cloud model. J. Intell. Fuzzy Syst. 2023, 45, 6837–6847. [Google Scholar] [CrossRef]
- Xu, Z.Y.; Hu, Z.Y.; Zheng, X.Y.; Zhang, H.Y.; Luo, Y.L. A Matrix Factorization Recommendation Model for Tourism Points of Interest Based on Interest Shift and Differential Privacy. J. Intell. Fuzzy Syst. 2023, 44, 713–727. [Google Scholar] [CrossRef]
- Su, X.P.; He, J.; Ren, J.; Peng, J.Y. Personalized Chinese Tourism Recommendation Algorithm Based on Knowledge Graph. Appl. Sci. 2022, 12, 10226. [Google Scholar] [CrossRef]
- Wang, Z.H.; Liu, B. Tourism recommendation system based on data mining. J. Phys. Conf. Ser. 2019, 1345, 022027. [Google Scholar] [CrossRef]
- Sheng, Y.J.; Xu, M.; Jin, Z.L. Research on evaluating brand marketing of leisure tourism city with fuzzy information. J. Intell. Fuzzy Syst. 2019, 37, 1679–1686. [Google Scholar] [CrossRef]
- Wang, Z.P. Eco-tourism benefit evaluation of Yellow River based on principal component analysis. J. Intell. Fuzzy Syst. 2020, 39, 8907–8915. [Google Scholar] [CrossRef]
- Santos, F.; Almeida, A.; Martins, C.; Oliveira, P.; Gonçalves, R. Tourism Recommendation System based in user’s profile and functionality levels. In Proceedings of the Ninth International Conference on Computer Science & Software Engineering, Porto, Portugal, 20–22 July 2016; pp. 93–97. [Google Scholar]
- Chen, K.K.; Sun, T. Survey and Research of Tourists’ Satisfaction in Regional Tourism Demonstration Zone Based on IPA Analysis Taking Jizhou District of Tianjin as an Example. In Proceedings of the 4th International Conference on Economy, Judicature, Administration and Humanitarian Projects (JAHP 2019), Kaifeng, China, 12–14 September 2019; pp. 563–569. [Google Scholar]
- Wang, X.Y.; Chen, X.H.; Zhang, Z.W.; He, H.S. Vehicle type classification in intelligent transportation systems using deep learning. J. Intell. Fuzzy Syst. 2024, 46, 5021–5032. [Google Scholar] [CrossRef]
- Sheng, P.C.; Ma, J.G.; Wang, D.P.; Wang, W.Y.; Elhoseny, M. Intelligent trajectory planning model for electric vehicle in unknown environment. J. Intell. Fuzzy Syst. 2019, 37, 397–407. [Google Scholar] [CrossRef]
- Wang, G.L.; Meng, Y.N. The Clustering Characteristics and Driving Mechanisms of Tourist Preference for 5A Scenic Spots from the Dynamic Spatio-Temporal Perspective: A Case of Jiangsu in Eastern Coastal Area of China. Sustainability 2023, 15, 1626. [Google Scholar] [CrossRef]
- Chen, J.R.; Zhao, C.X.; Uliji; Chen, L.F. Collaborative filtering recommendation algorithm based on user correlation and evolutionary clustering. Complex Intell. Syst. 2020, 6, 147–156. [Google Scholar] [CrossRef]
- Guo, J.P.; Deng, J.Z.; Ran, X.; Wang, Y.; Jin, H. An efficient and accurate recommendation strategy using degree classification criteria for item-based collaborative filtering. Expert Syst. Appl. 2021, 164, 113756. [Google Scholar] [CrossRef]
- Wang, L. Travelling Route Recommendation Method Based on Graph Neural Network for Improving Travel Experience. J. Circuits Syst. Comput. 2023, 32, 2350102. [Google Scholar] [CrossRef]
- Jing, Y.M. An intelligent recommendation method of personalised tour route based on association rules. Int. J. Reason. Based Intell. Syst. 2023, 15, 22–28. [Google Scholar] [CrossRef]
- Mou, N.X.; Jiang, Q.; Zhang, L.X.; Niu, J.Q.; Zheng, Y.H.; Wang, Y.C.; Yang, T.F. Personalized tourist route recommendation model with a trajectory understanding via neural networks. Int. J. Digit. Earth 2022, 15, 1738–1759. [Google Scholar] [CrossRef]
- Shi, Y.Q.; Liu, Z.; Chen, L.; Li, W. Research on intelligent tourism management based on wireless network development. J. Intell. Fuzzy Syst. 2019, 37, 6039–6046. [Google Scholar] [CrossRef]
- Amiri, A.; Mohammadi, S.; Khorramnia, R.; Karimi-Khorami, S. Optimal management of plug-in electric vehicles in smart distribution systems. J. Intell. Fuzzy Syst. 2015, 29, 85–92. [Google Scholar] [CrossRef]
- Lu, J. The integration of cultural tourism based on the Internet of Things and big data analysis. J. Comput. Methods Sci. Eng. 2023, 23, 325–334. [Google Scholar] [CrossRef]
- Li, B. The integration of cultural tourism and rural revitalization in big data and the Internet of Things. J. Comput. Methods Sci. Eng. 2023, 23, 51–62. [Google Scholar] [CrossRef]
- Albérico, T.R.; Joana, C.D. Exploring the Landscape of Smart Tourism: A Systematic Bibliometric Review of the Literature of the Internet of Things. Adm. Sci. 2024, 14, 22. [Google Scholar] [CrossRef]
- Wang, J.F.; Lv, J.R.; Wang, C.; Zhang, Z.Q. Dynamic Route Choice Prediction Model Based on Connected Vehicle Guidance Characteristics. J. Adv. Transp. 2017, 2017, 6905431. [Google Scholar] [CrossRef]
- Lentzakis, A.F.; Ware, S.I.; Su, R. Region-based dynamic forecast routing for autonomous vehicles. In Proceedings of the 2016 IEEE 19th International Conference on Intelligent Transportation Systems (ITSC), Rio de Janeiro, Brazil, 1–4 November 2016; pp. 1464–1469. [Google Scholar]
- Kang, K.; Bichiou, Y.; Rakha, H.A.; Elbery, A.; Yang, H. Development and Testing of a Connected Vehicle Optimal Lane Selection Algorithm. In Proceedings of the 2019 IEEE Intelligent Transportation Systems Conference (ITSC), Auckland, New Zealand, 27–30 October 2019. [Google Scholar]
- Shi, G. Study on Bus Scheduling with Route and Fueling Time Constraints Under the Connected Vehicle Environment. J. Nantong Univ. (Nat. Sci. Ed.) 2017, 16, 6–11. [Google Scholar]
- Li, Q.; Xu, Y.; Bu, S.; Yang, J. Smart Vehicle Path Planning Based on Modified PRM Algorithm. For. Eng. 2022, 22, 6581. [Google Scholar] [CrossRef] [PubMed]
- Long, J. Research on Intelligent vehicle path planning based on improved fruit fly algorithm. Foreign Electron. Meas. Technol. 2022, 41, 89–95. [Google Scholar]
- Liao, J.L. Research on Intelligent Vehicle Path Planning and Tracking Control Based on High-Precision Maps. Master’s Thesis, Xihua University, Chengdu, China, 2022. [Google Scholar]
- Zhao, Y.B.; Liu, C.H.; Zheng, Z.; Guo, L.; Ma, Z.Q.; Han, Z.Z. A Localization Method Based on Multi-Sensor Information Fusion for Intelligent Vehicles. Chin. J. Automot. Eng. 2021, 11, 1–10. [Google Scholar]
- Gan, H. The Optimization Route Guidance Research of the Vehicle Location and Navigation System. Master’s Thesis, Wuhan University of Technology, Wuhan, China, 2005. [Google Scholar]
- Liu, B.J.; Long, J.; Deng, M.; Yang, X.X.; Shi, Y. An Adaptive Route Planning Method of Connected Vehicles for Improving the Transport Efficiency. ISPRS Int. J. Geo-Inf. 2022, 11, 39. [Google Scholar] [CrossRef]
- Eleni, T.E.; Athina, T.; Symeon, P. Quality of Experience-based museum touring: A human in the loop approach. Soc. Netw. Anal. Min. 2017, 7, 1–13. [Google Scholar]
- de Oliveira e Silva, R.A.; Cui, G.; Rahimi, S.M.; Wang, X. Personalized route recommendation through historical travel behavior analysis. Geoinformatica Int. J. Adv. Comput. Sci. Geogr. 2022, 26, 505–540. [Google Scholar] [CrossRef]
- Ge, C.; Jun, L.; Xin, W. Personalized travel route recommendation using collaborative filtering based on GPS trajectories. Int. J. Digit. Earth 2018, 11, 284–307. [Google Scholar]
- Zhilenkov, A.A.; Chernyi, S.G.; Sokolov, S.S.; Nyrkov, A.P. Intelligent autonomous navigation system for UAV in randomly changing environmental conditions. J. Intell. Fuzzy Syst. 2020, 38, 6619–6625. [Google Scholar] [CrossRef]
- Liu, R.; Li, H.J. Intelligent logistics service combination algorithm based on Internet of Things. J. Intell. Fuzzy Syst. 2020, 38, 7849–7856. [Google Scholar] [CrossRef]
- Zouheir, T.; Sarmad, S.S.; Kadhim, H. Multi-BSM: An Anomaly Detection and Position Falsification Attack Mitigation Approach in Connected Vehicles. Electronics 2022, 11, 3282. [Google Scholar] [CrossRef]
- Xu, C.Q. Recent advances in the emerging technologies for connected vehicles in smart cities. Trans. Emerg. Telecommun. Technol. 2022, 33, e4667. [Google Scholar] [CrossRef]
- Bousbaa, F.Z.; Kerrache, C.A.; Lagraa, N.; Hussain, R.; Yagoubi, M.B.; Tahari, A.E.K. Group data communication in connected vehicles: A survey. Veh. Commun. 2022, 37, 100518. [Google Scholar] [CrossRef]
- Yu, Z.Y.; Cai, K.X. Perceived Risks toward In-Vehicle Infotainment Data Services on Intelligent Connected Vehicles. Systems 2022, 10, 162. [Google Scholar] [CrossRef]
- Mohamed, S.E.; Alshalfan, K.; AlHagery, M.; Othman, M.T.B. Safe Driving Distance and Speed for Collision Avoidance in Connected Vehicles. Sensors 2022, 22, 7051. [Google Scholar] [CrossRef]
- Alzoubaidi, M.; Zlatkovic, M. Operational assessment of continuous flow intersections in a connected vehicle environment. Transp. Plan. Technol. 2022, 45, 524–543. [Google Scholar] [CrossRef]
- Guo, H.Y.; Mehdi, K.E.; Xie, K. Lane change detection and prediction using real-world connected vehicle data. Transp. Res. Part C Emerg. Technol. 2022, 142, 103785. [Google Scholar] [CrossRef]
- Devarajan, M.; Fatima, N.S.; Vairavasundaram, S.; Ravi, L. Swarm intelligence clustering ensemble based point of interest recommendation for social cyber-physical systems. J. Intell. Fuzzy Syst. 2019, 36, 4349–4360. [Google Scholar] [CrossRef]
- Zhong, Y.; Huang, C.; Li, Q. A collaborative filtering recommendation algorithm based on fuzzy C-means clustering. J. Intell. Fuzzy Syst. 2022, 43, 309–323. [Google Scholar] [CrossRef]
- Sailesh, A.; Michelle, M. Public acceptance of connected vehicles: An extension of the technology acceptance model. Transp. Res. Part F Psychol. Behav. 2022, 88, 54–68. [Google Scholar]
- Ahmed, M.; Amine, M.M.; Amir, H.; Anthony, N.; François, D. Big data architecture for connected vehicles: Feedback and application examples from an automotive group. Future Gener. Comput. Syst. 2022, 134, 374–387. [Google Scholar]
- Wang, P.W.; Ye, R.S.; Zhang, J.; Wang, T.R. An Eco-Driving Controller Based on Intelligent Connected Vehicles for Sustainable Transportation. Appl. Sci. 2022, 12, 4533. [Google Scholar] [CrossRef]
- Xie, T.T.; Liu, Y. Impact of connected and autonomous vehicle technology on market penetration and route choices. Transp. Res. Part C Emerg. Technol. 2022, 139, 103646. [Google Scholar] [CrossRef]
- Wang, P.W.; Zhang, J.; Deng, H.; Zhang, M.F. Real-time urban regional route planning model for connected vehicles based on V2X communication. J. Transp. Land Use 2020, 13, 517–538. [Google Scholar] [CrossRef]
- Dai, R.; Lu, Y.; Ding, C.; Lu, G.; Wang, Y. A simulation-based approach to investigate the driver route choice behavior under the connected vehicle environment. Transp. Res. Part F Psychol. Behav. 2019, 65, 548–563. [Google Scholar] [CrossRef]
- Liu, C.L.; Wang, J.Q.; Cai, W.J.; Zhang, Y.Z. An Energy-Efficient Dynamic Route Optimization Algorithm for Connected and Automated Vehicles Using Velocity-Space-Time Networks. IEEE Access 2019, 7, 108866–108877. [Google Scholar] [CrossRef]
- Lee, S.; Heydecker, B.G.; Kim, J.; Park, S. Stability analysis on a dynamical model of route choice in a connected vehicle environment. Transp. Res. Part C 2017, 94, 67–82. [Google Scholar] [CrossRef]
- Diao, X.L.; Fan, H.M.; Ren, X.X.; Liu, C.Y. Multi-depot open vehicle routing problem with fuzzy time windows. J. Intell. Fuzzy Syst. 2021, 40, 427–438. [Google Scholar] [CrossRef]
- Yang, M.; Ni, Y.D.; Yang, X.F.; Ralescu, D.A. The consistent vehicle routing problem under uncertain environment. J. Intell. Fuzzy Syst. 2021, 41, 2797–2812. [Google Scholar] [CrossRef]
- Wang, Y.; Ma, X.L.; Xu, M.Z.; Wang, Y.H.; Liu, Y. Vehicle routing problem based on a fuzzy customer clustering approach for logistics network optimization. J. Intell. Fuzzy Syst. 2015, 29, 1427–1442. [Google Scholar] [CrossRef]
Disclaimer/Publisher’s Note: The statements, opinions and data contained in all publications are solely those of the individual author(s) and contributor(s) and not of MDPI and/or the editor(s). MDPI and/or the editor(s) disclaim responsibility for any injury to people or property resulting from any ideas, methods, instructions or products referred to in the content. |
© 2024 by the authors. Licensee MDPI, Basel, Switzerland. This article is an open access article distributed under the terms and conditions of the Creative Commons Attribution (CC BY) license (https://creativecommons.org/licenses/by/4.0/).













