On Knots with Cyclic Symmetries
Abstract
1. Introduction
2. Periodic and Freely Periodic Links
- 1.
- h is of order p,
- 2.
- the set γ of fixed points by h is homeomorphic to a circle and ,
- 1.
- h is of order p,
- 2.
- For all , has no fixed points.
3. Knot Invariants
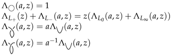
3.1. Polynomial Invariants
- ,
- ,
- ,
- ,
- ,
3.2. Categorification
4. Invariants of Periodic Links
4.1. The Alexander Polynomial
4.2. The Jones Polynomial
- (i)
- if , then
- (ii)
- if , thenand
4.3. The HOMFLYPT Polynomial
4.4. The Two-Variable Kauffman Polynomial
4.5. Link Homology
4.6. Other Invariants
5. Invariants of Freely Periodic Links
- If K is freely 3-periodic then where modulo 3 whenever i is not a multiple of 3.
- If K is a -lens knot, thenwith: and modulo 5, for all k.
6. Generalizations
6.1. Periodic Virtual Knots
6.2. Periodic Spatial Graphs
7. Conclusions and Discussion
Funding
Data Availability Statement
Conflicts of Interest
References
- Murasugi, K. Knot Theory and Its Applications; Translated from the 1993 Japanese Original by Bohdan Kupita; Birkhäuser: Boston, MA, USA, 1996. [Google Scholar]
- Chbili, N. Le polynôme de HOMFLY des nœuds librement périodiques. Comptes Rendus Acad. Sci. Ser. I-Math. 1997, 325, 411–414. [Google Scholar] [CrossRef]
- Kawauchi, A. Survey on Knot Theory; Springer Science & Business Media: Berlin/Heidelberg, Germany, 1996. [Google Scholar]
- Livingston, C. Knot Theory; Mathematical Association of America: Washington, DC, USA, 1993. [Google Scholar]
- Bass, H.; Morgan, J.W. The Smith Conjecture; Academic Press: New York, NY, USA, 1994; Volume 112. [Google Scholar]
- Edmonds, A.L. Least area Seifert surfaces and periodic knots. Topol. Appl. 1984, 18, 109–113. [Google Scholar] [CrossRef][Green Version]
- Flapan, E. Infinitely periodic knots. Canad. J. Math. 1985, 37, 17–28. [Google Scholar] [CrossRef]
- Gonzáles, A.F.C.; Hongler, C.V.Q. Periodic projections of alternating knots. Topol. Appl. 2021, 300, 107753. [Google Scholar]
- Rubinstein, J.H. An algorithm to recognize the 3-sphere. In Proceedings of the International Congress of Mathematicians, Zürich, Switzerland, 3–11 August 1994; pp. 601–611. [Google Scholar]
- Rubinstein, J.H. Free actions of some finite groups on S3: I. Math. Ann. 1979, 240, 165–176. [Google Scholar] [CrossRef]
- Lickorish, W.B.R. An Introduction to Knot Theory; Springer: New York, NY, USA, 1997. [Google Scholar]
- Alexander, J.W. Topological invariants of knots and links. Trans. Am. Math. Soc. 1928, 30, 275–306. [Google Scholar] [CrossRef]
- Jones, V.F.R. Polynomial invariant for knots via von Neumann algebras. Bull. Am. Math. Soc. 1985, 12, 103–111. [Google Scholar] [CrossRef]
- Kauffman, L. State models and the Jones polynomial. Topology 1987, 26, 395–407. [Google Scholar] [CrossRef]
- Freyd, P.; Yetter, D.; Hoste, J.; Lickorish, W.B.R.; Millet, K.; Ocneanu, A. A new polynomial invariant of knots and links. Bull. Am. Math. Soc. 1985, 12, 239–246. [Google Scholar] [CrossRef]
- Przytycki, J.; Traczyck, P. Invariants of links of Conway type. Kobe J. Math. 1987, 4, 115–139. [Google Scholar]
- Kauffman, L. An invariant of regular isotopy. Trans. Am. Math. Soc. 1990, 318, 417–471. [Google Scholar] [CrossRef]
- Khovanov, M. A categorification of the Jones polynomial. Duke Math. J. 2000, 101, 359–426. [Google Scholar] [CrossRef]
- Ozsváth, P.; Szabó, Z. Holomorphic disks and knot invariants. Adv. Math. 2004, 186, 58–116. [Google Scholar] [CrossRef]
- Rasmussen, J. Floer Homology and Knot Complements. Ph.D. Thesis, Harvard University, Cambridge, MA, USA, 2003. [Google Scholar]
- Murakami, H.; Ohtsuki, T.; Yamada, S. Homfly polynomial via an invariant of colored plane graphs. Enseign. Math. 1998, 44, 325–360. [Google Scholar]
- Khovanov, M.; Rozansky, L. Matrix factorizations and link homology. Fundam. Math. 2008, 199, 1–91. [Google Scholar] [CrossRef]
- Trotter, H.F. Periodic automorphisms of groups and knots. Duke Math. J. 1961, 28, 553–557. [Google Scholar] [CrossRef]
- Murasugi, K. On periodic knots. Comment. Math. Helv. 1971, 46, 162–174. [Google Scholar] [CrossRef]
- Conner, P.E. Transformation groups on a K(π, 1) II. Mich. Math. J. 1959, 6, 413–417. [Google Scholar] [CrossRef]
- Burde, G. Über periodische Knoten. Arch. Math. 1978, 30, 487–492. [Google Scholar] [CrossRef]
- Burde, G.; Zieschang, H.; Heusener, M. Knots; De Gruyter: Berlin, Germany, 2013. [Google Scholar]
- Hillman, J.A. New proofs of two theorems on periodic knots. Arch. Math. 1981, 37, 457–461. [Google Scholar] [CrossRef]
- Hillman, J.A. On the Alexander polynomial of a cyclically periodic knot. Proc. Am. Math. Soc. 1983, 89, 155–156. [Google Scholar] [CrossRef]
- Hillman, J.A. Symmetries of knots and links and invariants of abelian coverings I. Kobe Math. J. 1986, 2, 7–27. [Google Scholar]
- Hillman, J.A. Symmetries of knots and links, and invariants of abelian coverings II. Kobe Math. J. 1987, 3, 149–165. [Google Scholar]
- Sakuma, M. On the polynomials of periodic links. Math. Ann. 1981, 257, 487–494. [Google Scholar] [CrossRef]
- Davis, J.F.; Livingston, C. Periodic knots, Smith theory, and Murasugi’s congruence. Enseign. Math. 1991, 37, 1–9. [Google Scholar]
- Davis, J.F.; Livingston, C. Alexander polynomials of periodic knots. Topology 1991, 30, 551–564. [Google Scholar] [CrossRef][Green Version]
- Miyazawa, Y. Conway polynomials of periodic links. Osaka J. Math. 1994, 31, 147–163. [Google Scholar]
- Murasugi, K. On symmetry of knots. Tsukuba J. Math. 1980, 4, 331–347. [Google Scholar] [CrossRef]
- Lüdicke, U. Zyklische knoten. Arch. Math. 1979, 32, 588–599. [Google Scholar] [CrossRef]
- Bae, Y.; Lee, I.S. On the Alexander polynomial of periodic links. J. Knot Theory Ramif. 2011, 20, 749–761. [Google Scholar] [CrossRef]
- Hillman, J.A. On the splitting field of the Alexander polynomial of a periodic knot. Bull. Austral. Math. Soc. 1995, 52, 313–315. [Google Scholar] [CrossRef]
- Turaev, V.G. Reidemeister torsion in knot theory. Russ. Math. Surv. 1986, 41, 119. [Google Scholar] [CrossRef]
- Murasugi, K. The Jones polynomials of periodic links. Pacific J. Math. 1988, 131, 319–329. [Google Scholar] [CrossRef]
- Traczyk, P. 10101 has no period 7: A criterion for periodicity of links. Proc. Am. Math. Soc. 1990, 108, 845–846. [Google Scholar]
- Bae, Y.; Kim, Y.K.; Park, C.Y. Jones polynomials of periodic knots. Bull. Austral. Math. Soc. 1998, 58, 261–270. [Google Scholar] [CrossRef]
- Yokota, Y. The Jones Polynomial of Periodic Knots. Proc. Am. Math. Soc. 1991, 113, 889–894. [Google Scholar] [CrossRef]
- Przytycki, J.H. On Murasugi’s and Traczyk’s criteria for periodic links. Math. Ann. 1989, 283, 465–478. [Google Scholar] [CrossRef]
- Chbili, N. The quantum Su(3) invariants of links and Murasugi’s congruence. Topol. Appl. 2002, 122, 479–485. [Google Scholar] [CrossRef]
- Przytycki, J.H.; Sikora, A.S. SUn-quantum invariants for periodic links. In Diagrammatic Morphisms and Applications (San Francisco, CA, 2000); American Mathematical Society: Providence, RI, USA, 2000; Volume 318, pp. 199–205. [Google Scholar]
- Chen, Q.; Lê, T.T.Q. Quantum invariants of periodic links and periodic 3-manifolds. Fund. Math. 2004, 184, 55–71. [Google Scholar] [CrossRef]
- Kim, J.; Kim, K.T. Quantum invariant congruence for periodic links. J. Knot Theory Ramif. 2023, 32, 2350020. [Google Scholar] [CrossRef]
- Traczyk, P. Periodic knots and the skein polynomial. Invent. Math. 1991, 106, 73–84. [Google Scholar] [CrossRef]
- Traczyk, P. A criterion for knots of period 3. Topol. Appl. 1990, 36, 275–281. [Google Scholar] [CrossRef][Green Version]
- Livingston, C.; Moore, A.H. KnotInfo: Table of Knot Invariants. Available online: https://knotinfo.math.indiana.edu (accessed on 15 October 2024).
- Yokota, Y. The skein polynomial of periodic knots. Math. Ann. 1991, 291, 281–291. [Google Scholar] [CrossRef]
- Jones, V.F.R. Hecke algebra representations of braid groups and link polynomials. Ann. Math. 1987, 126, 335–388. [Google Scholar] [CrossRef]
- Przytycki, J.H. An elementary proof of the Traczyk-Yokota criteria for periodic knots. Proc. Am. Math. Soc. 1995, 123, 1607–1611. [Google Scholar] [CrossRef]
- Jaeger, F. Composition products and models for the Homfly polynomial. L’Enseign. Math. 1989, 35, 323–361. [Google Scholar]
- Yokota, Y. The Kauffman polynomial of periodic knots. Topology 1993, 32, 309–324. [Google Scholar] [CrossRef]
- Yokota, Y. Polynomial invariants of periodic knots. J. Knot Theory Ramif. 1996, 5, 553–567. [Google Scholar] [CrossRef]
- Markiewicz, M.; Politarczyk, W. A new polynomial criterion for periodic knots. J. Knot Theory Ramif. 2022, 31, 2250064. [Google Scholar] [CrossRef]
- Hendricks, K. Localization of the link Floer homology of doubly-periodic knots. J. Symplect. Geom. 2015, 13, 545–608. [Google Scholar] [CrossRef]
- Boyle, K. Rank inequalities on knot Floer homology of periodic knots. Bull. Lond. Math. Soc. 2022, 54, 668–681. [Google Scholar] [CrossRef]
- Jabuka, S.; Naik, S. Periodic knots and Heegaard Floer correction terms. J. Eur. Math. Soc. 2016, 18, 1651–1674. [Google Scholar] [CrossRef]
- Chbili, N. Equivalent Khovanov homology associated with symmetric links. Kobe J. Math. 2010, 27, 73–89. [Google Scholar]
- Politarczyk, W. Equivariant Jones polynomials of periodic links. Knot Theory Ramif. 2017, 26, 1741007. [Google Scholar] [CrossRef]
- Politarczyk, W. Equivariant Khovanov homology of periodic links. Mich. Math. J. 2019, 68, 859–889. [Google Scholar] [CrossRef]
- Borodzik, M.; Politarczyk, W. Khovanov homology and periodic links. Indiana Univ. Math. J. 2021, 70, 235–267. [Google Scholar] [CrossRef]
- Borodzik, M.; Politarczyk, W.; Silvero, M. Khovanov homotopy type, periodic links and localizations. Math. Ann. 2021, 380, 1233–1309. [Google Scholar] [CrossRef]
- Zhang, M. A rank inequality for the annular Khovanov homology of 2-periodic links. Algebr. Geom. Topol. 2018, 18, 1147–1194. [Google Scholar] [CrossRef]
- Przytycki, J.H. Vassiliev-Gusarov skein modules of 3-manifolds and criteria for periodicity of knots. In Low-Dimensional Topology (Knoxville, TN, 1992); Conference Proceedings and Lecture Notes in Geometry and Topology III; International Press: Cambridge, MA, USA, 1992; pp. 143–162. [Google Scholar]
- Naik, S. New invariants of periodic knots. Math. Proc. Camb. Philos. Soc. 1997, 122, 281–290. [Google Scholar] [CrossRef]
- Hillman, J.A.; Livingston, C.; Naik, S. Twisted Alexander polynomials of periodic knots. Algebr. Geom. Topol. 2006, 6, 145–169. [Google Scholar] [CrossRef]
- Hartley, R.I. Knots with free period. Canad. J. Math. 1981, 33, 91–102. [Google Scholar] [CrossRef]
- Kinoshita, S. On knots and periodic transformations. Osaka Math. J. 1958, 10, 43–52. [Google Scholar]
- Chbili, N. The Jones polynomials of freely periodic knots. J. Knot Theory Ramif. 2000, 9, 885–891. [Google Scholar] [CrossRef]
- Chbili, N. The skein polynomial of freely periodic knots. Topol. Appl. 2002, 121, 535–542. [Google Scholar] [CrossRef]
- Chbili, N. Skein algebras of the solid torus and symmetric spatial graphs. Fund. Math. 2006, 190, 1–10. [Google Scholar] [CrossRef]
- Kauffman, L.H. Virtual knot theory. Eur. J. Comb. 1999, 20, 663–690. [Google Scholar] [CrossRef]
- Boden, H.U.; Nicas, A.J.; White, L. Alexander invariants of periodic virtual knots. Diss. Math. 2018, 530, 59. [Google Scholar] [CrossRef]
- Im, Y.H.; Lee, S.Y. On the index and arrow polynomials of periodic virtual links. J. Knot Theory Ramif. 2012, 21, 1250058. [Google Scholar] [CrossRef]
- Jeong, M.J.; Park, C.Y. Periodic virtual links and the binary bracket polynomial. J. Knot Theory Ramif. 2012, 21, 1250002. [Google Scholar] [CrossRef]
- Kim, J.; Kim, K.T. Some congruence of the generalized Alexander invariant for periodic virtual links. J. Knot Theory Ramif. 2022, 31, 2250099. [Google Scholar] [CrossRef]
- Kim, J.; Kim, K.T.; Shin, M.H. The generalized Alexander polynomial of periodic virtual links. J. Knot Theory Ramif. 2019, 28, 1950042. [Google Scholar] [CrossRef]
- Kim, J.; Lee, S.Y.; Seo, M. The Miyazawa polynomial of periodic virtual links. Osaka J. Math. 2009, 46, 769–781. [Google Scholar]
- Kim, J.; Lee, S.Y.; Seo, M. On the VA-polynomial of periodic virtual knots. J. Knot Theory Ramif. 2013, 22, 1350016. [Google Scholar] [CrossRef]
- Kim, J.; Lee, S.Y.; Seo, M. On the virtual Alexander polynomial of periodic virtual knots. J. Knot Theory Ramif. 2014, 23, 1460011. [Google Scholar] [CrossRef]
- Yamada, S. An invariant of spatial graphs. J. Graph Theory 1989, 13, 537–551. [Google Scholar] [CrossRef]
- Chbili, N. Graph skein modules and symmetries of spatial graphs. J. Knot Theory Ramif. 2012, 21, 1250090. [Google Scholar] [CrossRef]
- Marui, Y. The Yamada polynomial of spatial graphs with Zn-symmetry. Kobe J. Math. 2001, 18, 23–49. [Google Scholar]










Disclaimer/Publisher’s Note: The statements, opinions and data contained in all publications are solely those of the individual author(s) and contributor(s) and not of MDPI and/or the editor(s). MDPI and/or the editor(s) disclaim responsibility for any injury to people or property resulting from any ideas, methods, instructions or products referred to in the content. |
© 2024 by the author. Licensee MDPI, Basel, Switzerland. This article is an open access article distributed under the terms and conditions of the Creative Commons Attribution (CC BY) license (https://creativecommons.org/licenses/by/4.0/).
Share and Cite
Chbili, N. On Knots with Cyclic Symmetries. Symmetry 2024, 16, 1418. https://doi.org/10.3390/sym16111418
Chbili N. On Knots with Cyclic Symmetries. Symmetry. 2024; 16(11):1418. https://doi.org/10.3390/sym16111418
Chicago/Turabian StyleChbili, Nafaa. 2024. "On Knots with Cyclic Symmetries" Symmetry 16, no. 11: 1418. https://doi.org/10.3390/sym16111418
APA StyleChbili, N. (2024). On Knots with Cyclic Symmetries. Symmetry, 16(11), 1418. https://doi.org/10.3390/sym16111418

