An Architecture Superposing Indefinite Causal Order and Path Superposition Improving Pauli Channels’ Parameter Estimation
Abstract
1. Introduction
2. QFI and Pauli Channels and Architectures for QPE
2.1. Quantum Fisher Information
2.2. Cramér–Rao Bound
2.3. Quantum Fisher Information Remarks and Limitations
2.4. A Brief Context of General Improved QPE Efforts
2.5. Pauli Channels Basic Preliminaries
2.6. Improved Circuits to Reach More Optimal QPE
3. Architectures Involving Copies of a Quantum Channel and Additional Quantum Controls
3.1. Kraus Representation for a Combined Architecture of Channels Involving Controls
3.2. Output State for the Tracing Out or the Measuring of the Control States
4. Proposed Architecture for the Improvement of QPE Controlling the Symmetry Balance of Superposition between Two Communication Strategies
5. Analysis and General Outcomes for QPE
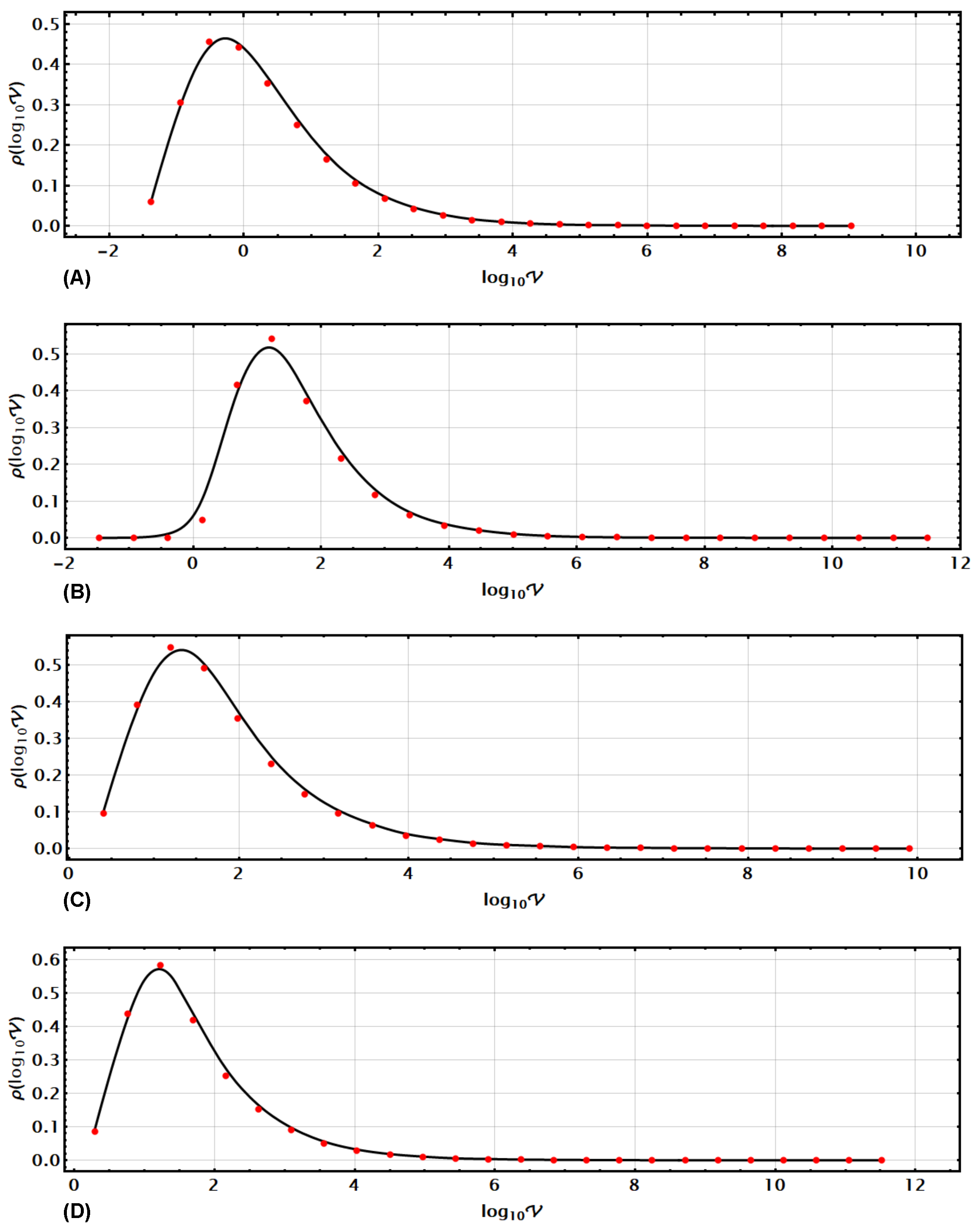
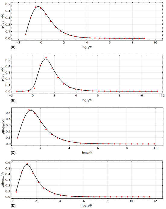
5.1. Bound for the Parameter Estimation through Several Emblematic Pauli Channels
5.2. Bound for the Parameter Estimation near Syndromic Pauli Channels
6. Alternative Scaffolding Strategies for the Architecture in QPE
6.1. Double Teleportation as an Additional PS Strategy in QPE of Pauli Channels
6.2. Entanglement States as Probe States in QPE of Pauli Channels
6.3. Bound for the Parameter Estimation for Pauli Channels Using the Architecture under PS or with Entangled Probe States
6.4. A Final Summary for Quantum Sensing in Quantum Parameter Estimation for Pauli Channels
7. Conclusions
Author Contributions
Funding
Data Availability Statement
Acknowledgments
Conflicts of Interest
Abbreviations
| CRB | Cramér–Rao Bound |
| ICO | Indefinite Causal Order |
| PCPS | Pauli Channels Parametric Space |
| PS | Path Superposition |
| QEC | Quantum Error Correction |
| QFI | Quantum Fisher Information |
| QPE | Quantum Parameter Estimation |
| SEQ | Sequential |
| U | Unitary operation |
Appendix A. Bloch Representation of Bipartite States
Appendix B. Parameterized Matrix D for a Bipartite State with Real Coefficients
References
- Baamara, Y.; Gessner, M.; Sinatra, A. Quantum-enhanced multiparameter estimation and compressed sensing of a field. SciPost Phys. 2023, 14, 14. [Google Scholar] [CrossRef]
- Ikken, N.; Slaoui, A.; Ahl Laamara, R. Bidirectional quantum teleportation of even and odd coherent states through the multipartite Glauber coherent state: Theory and implementation. Quantum Inf. Process. 2023, 22, 391. [Google Scholar] [CrossRef]
- Chen, K.; Wang, Q.; Long, P.; Ying, M. Unitarity Estimation for Quantum Channels. IEEE Trans. Inf. Theory. 2023, 69, 5116–5134. [Google Scholar] [CrossRef]
- Fisher, R.A. On the Mathematical Foundations of Theoretical Statistics. Philos. Trans. R. Soc. Lond. 1922, 222, 309–368. [Google Scholar]
- Helstrom, C. Quantum Detection and Estimation Theory; Academic Press: New York, NY, USA, 1976. [Google Scholar]
- Rao, C.R. Information and accuracy attainable in the estimation of statistical parameters. Bull. Calcutta Math. Soc. Springer Ser. Stat. 1945, 37, 81–91. [Google Scholar]
- Frieden, B.R.; Gatenby, R.A. Principle of maximum Fisher information from Hardy’s axioms applied to statistical systems. Phys. Rev. E. 2013, 88, 042144. [Google Scholar] [CrossRef] [PubMed]
- Frey, M.; Collins, D. Quantum Fisher information and the qudit depolarization channel. Proc. SPIE Quantum Inf. Comput. VII 2009, 7342, 73420N. [Google Scholar]
- Delgado, F. Symmetries of Quantum Fisher Information as Parameter Estimator for Pauli Channels under Indefinite Causal Order. Symmetry 2020, 14, 1813. [Google Scholar] [CrossRef]
- Yang, Y.; Ru, S.; An, M.; Wang, Y.; Wang, F.; Zhang, P.; Li, F. Multiparameter simultaneous optimal estimation with an SU(2) coding unitary evolution. Phys. Rev. A 2022, 105, 022406. [Google Scholar] [CrossRef]
- Kurdzialek, S.; Gorecki, W.; Albarelli, F.; Demkowicz-Dobrzanski, R. Using adaptiveness and causal superpositions against noise in quantum metrology. Phys. Rev. Lett. 2023, 131, 090801. [Google Scholar] [CrossRef]
- Virzì, S.; Avella, A.; Piacentini, F.; Gramegna, M.; Brida, G.; Degiovanni, I.P.; Genovese, M. Optimal estimation of parameters of an entangled quantum state. J. Phys. Conf. Ser. 2017, 841, 012033. [Google Scholar] [CrossRef]
- Grace, M.-R.; Gagatsos, C.-N.; Guha, S. Entanglement-enhanced estimation of a parameter embedded in multiple phases. Phys. Rev. Res. 2021, 3, 033114. [Google Scholar] [CrossRef]
- Fisher, R.A. Theory of statistical estimation. Proc. Camb. Philos. Soc. 1925, 22, 700–725. [Google Scholar] [CrossRef]
- Lehmann, E.L.; Casella, G. Theory of Point Estimation; Springer Science & Business Media: Berlin/Heidelberg, Germany, 1998. [Google Scholar]
- van der Vaart, A.W. Asymptotic Statistics; Cambridge University Press: Cambridge, UK, 2000. [Google Scholar]
- Abouelkhir, N.; El-Hadfi, H.; Slaoui, A.; Ahl-Laamara, R. A simple analytical expression of quantum Fisher and Skew information and their dynamics under decoherence channels. Phys. A Stat. Mech. Its Appl. 2023, 612, 128479. [Google Scholar] [CrossRef]
- Zhong, W.; Sun, Z.; Ma, J.; Wang, X.; Nori, F. Fisher information under decoherence in Bloch representation. Phys. Rev. A 2013, 87, 022337. [Google Scholar] [CrossRef]
- Liu, J.; Yuan, H.; Lu, X.; Wang, X. Quantum Fisher information matrix and multiparameter estimation. J. Phys. A Math. Theor. 2020, 53, 023001. [Google Scholar] [CrossRef]
- Cramér, H. Mathematical Methods of Statistics; Princeton University Press: Princeton, NJ, USA, 1946. [Google Scholar]
- Delgado, F. Parametric symmetries in architectures involving Indefinite Causal Order and Path Superposition for Quantum parameter estimation of Pauli channels. Symmetry 2023, 15, 1097. [Google Scholar] [CrossRef]
- Šafránek, D. Discontinuities of the quantum Fisher information and the Bures metric. Phys. Rev. A 2017, 95, 052320. [Google Scholar] [CrossRef]
- Pezzé, L.; Smerzi, A. Entanglement, Nonlinear Dynamics, and the Heisenberg Limit. Phys. Rev. Lett. 2009, 102, 100401. [Google Scholar] [CrossRef]
- Czekaj, L.; Przysiezna, A.; Horodecki, M.; Horodecki, P. Quantum metrology: Heisenberg limit with bound entanglement. Phys. Rev. A 2015, 92, 062303. [Google Scholar] [CrossRef]
- Erol, V.; Ozaydin, F.; Altintas, A. Analysis of Entanglement Measures and LOCC Maximized Quantum Fisher Information of General Two Qubit Systems. Sci. Rep. 2014, 4, 5422. [Google Scholar] [CrossRef] [PubMed]
- Hyllus, P.; Laskowski, W.; Laskowski, R.; Schwemmer, C.; Wieczorek, W.; Weinfurter, H.; Pezzé, L.; Smerzi, A. Fisher information and multiparticle entanglement. Phys. Rev. A 2012, 85, 022321. [Google Scholar] [CrossRef]
- Dür, W.; Skotiniotis, M.; Fröwis, F.; Kraus, B. Improved quantum metrology using quantum error correction. Phys. Rev. Lett. 2014, 112, 080801. [Google Scholar] [CrossRef]
- Kessler, E.; Lovchinsky, I.; Sushkov, A.; Lukin, M. Quantum error correction for metrology. Phys. Rev. Lett. 2014, 112, 150802. [Google Scholar] [CrossRef] [PubMed]
- Zhou, S.; Zhang, M.; Preskill, J.; Jiang, L. Achieving the Heisenberg limit in quantum metrology using quantum error correction. Nat. Commun. 2018, 9, 78. [Google Scholar] [CrossRef] [PubMed]
- Zhou, S.; Jiang, L. Optimal approximate quantum error correction for quantum metrology. Phys. Rev. Res. 2020, 2, 013235. [Google Scholar] [CrossRef]
- Fujiwara, A. Quantum channel identification problem. Phys. Rev. A 2001, 63, 042304. [Google Scholar] [CrossRef]
- Frey, M.; Collins, D.; Gerlach, K. Probing the qudit depolarizing channel. J. Phys. A Math. Theor. 2011, 44, 205306. [Google Scholar] [CrossRef][Green Version]
- Demkowicz-Dobrzański, R.; Maccone, L. Using entanglement against noise in quantum metrology. Phys. Rev. Lett. 2014, 113, 250801. [Google Scholar] [CrossRef]
- Zhao, X.; Yang, Y.; Chiribella, G. Quantum metrology with indefinite causal order. Phys. Rev. Lett. 2020, 124, 190503. [Google Scholar] [CrossRef]
- Frey, M. Indefinite causal order aids quantum depolarizing channel identification. Quantum Inf. Process. 2019, 18, 96. [Google Scholar] [CrossRef]
- Bavaresco, J.; Murao, M.; Quintino, M. Strict hierarchy between parallel, sequential, and indefinite-causal order strategies for channel discrimination. Phys. Rev. Lett. 2021, 127, 200504. [Google Scholar] [CrossRef] [PubMed]
- Liu, Q.; Hu, Z.; Yuan, H.; Yang, Y. Optimal Strategies of Quantum Metrology with a Strict Hierarchy. Phys. Rev. Lett. 2023, 130, 070803. [Google Scholar] [CrossRef] [PubMed]
- Delgado, F.; Cardoso-Isidoro, C. Performance characterization of Pauli channels assisted by indefinite causal order and post-measurement. Quantum Inf. Comput. 2020, 20, 1261–1280. [Google Scholar] [CrossRef]
- Kraus, K. States, Effects and Operations: Fundamental Notions of Quantum Theory; Springer: Berlin, Germany, 1983. [Google Scholar]
- Nielsen, M.A.; Chuang, I.L. Quantum Computation and Quantum Information; Cambridge University Press: Cambridge, UK, 2010. [Google Scholar]
- Chiribella, G.; D’Ariano, G.M.; Perinotti, P.; Valiron, B. Quantum computations without definite causal structure. Phys. Rev. A 2013, 88, 022318. [Google Scholar] [CrossRef]
- Ebler, D.; Salek, S.; Chiribella, G. Enhanced Communication With the Assistance of Indefinite Causal Order. Phys. Rev. Lett. 2017, 120, 120502. [Google Scholar] [CrossRef] [PubMed]
- Procopio, L.M.; Moqanaki, A.; Araujo, M.; Costa, F.; Calafell, I.A.; Dowd, E.G.; Hamel, D.R.; Rozema, L.A.; Brukner, C.; Walther, P. Experimental superposition of orders of quantum gates. Nat. Commun. 2015, 6, 7913. [Google Scholar] [CrossRef] [PubMed]
- Procopio, L.M.; Delgado, F.; Enríquez, M.; Belabas, N.; Levenson, J.A. Sending classical information via three noisy channels in superposition of causal orders. Phys. Rev. A 2020, 101, 012346. [Google Scholar] [CrossRef]
- Chiranjib, M.; Arun, K.P. Superposition of causal order enables quantum advantage in teleportation under very noisy channels. J. Phys. Commun. 2020, 4, 105003. [Google Scholar]
- Cardoso-Isidoro, C.; Delgado, F. Symmetries in Teleportation Assisted by N-Channels under Indefinite Causal Order and Post-Measurement. Symmetry 2020, 12, 1904. [Google Scholar] [CrossRef]
- Goswami, K.; Cao, Y.; Paz-Silva, G.A.; Romero, J.; White, A.-G. Increasing communication capacity via superposition of order. Phys. Rev. Res. 2020, 2, 033292. [Google Scholar] [CrossRef]
- Goswami, K.; Giarmatzi, C.; Kewming, M.; Costa, F.; Branciard, C.; Romero, J.; White, A.G. Indefinite Causal Order in a Quantum Switch. Phys. Rev. Lett. 2018, 121, 090503. [Google Scholar] [CrossRef] [PubMed]
- Rubino, G.; Rozema, L.A.; Ebler, D.; Kristjánsson, H.; Salek, S.; Guérin, P.A.; Abbott, A.A.; Branciard, C.; Brukner, C.; Chiribella, G.; et al. Experimental quantum communication enhancement by superposing trajectories. Phys. Rev. Res. 2021, 3, 013093. [Google Scholar] [CrossRef]
- Chiribella, G.; Kristjánsson, H. Quantum Shannon theory with superpositions of trajectories. Proc. R. Soc. A. 2019, 475, 20180903. [Google Scholar] [CrossRef] [PubMed]
- Blondeau, F. Quantum parameter estimation on coherently superposed noisy channels. Phys. Rev. A 2021, 104, 032214. [Google Scholar] [CrossRef]
- Blondeau, F. Noisy quantum metrology with the assistance of indefinite causal order. Phys. Rev. A 2021, 103, 032615. [Google Scholar] [CrossRef]
- Araújo, M.; Costa, F.; Brukner, Č. Computational Advantage from Quantum-Controlled Ordering of Gates. Phys. Rev. Lett. 2015, 113, 250402. [Google Scholar] [CrossRef]
- Costa, F.; Shrapnel, S.; Brukner, Č. Quantum Estimation with Indefinite Causal Structures. Phys. Rev. Lett. 2019, 123, 230401. [Google Scholar]
- Bakar, A.; Khraishi, T. Eigenvalues and Eigenvectors for 3 × 3 Symmetric Matrices: An Analytical Approach. J. Adv. Math. Comput. Sci. 2020, 35, 106–118. [Google Scholar]
- Cardoso, C.; Delgado, F. Shared quantum key distribution based on asymmetric double quantum teleportation. Symmetry 2022, 14, 713. [Google Scholar] [CrossRef]
- Giovannetti, V.; Lloyd, S.; Maccone, L. Quantum Metrology. Phys. Rev. Lett. 2006, 96, 010401. [Google Scholar] [CrossRef] [PubMed]
- Chapeau-Blondeau, F. Optimized entanglement for quantum parameter estimation from noisy qubits. Int. J. Quantum Inf. 2018, 16, 1850056. [Google Scholar] [CrossRef]
- Bermúdez, D.; Delgado, F. Stability of Quantum Loops and Exchange Operations in the Construction of Quantum Computation Gates. J. Phys. Conf. Ser. 2017, 839, 012016. [Google Scholar] [CrossRef]
- Cimini, V.; Valeri, M.; Polino, E.; Piacentini, S.; Ceccarelli, F.; Corrielli, G.; Spagnolo, N.; Osellame, R.; Sciarrino, F. Deep reinforcement learning for quantum multiparameter estimation. Adv. Photon. 2023, 5, 016005. [Google Scholar]
- Valeri, M.; Cimini, V.; Piacentini, S.; Ceccarelli, F.; Polino, E.; Hoch, F.; Bizzarri, G.; Corrielli, G.; Spagnolo, N.; Osellame, R.; et al. Experimental multiparameter quantum metrology in adaptive regime. Phys. Rev. Res. 2023, 5, 013138. [Google Scholar] [CrossRef]
- Zhang, H.; Ye, W.; Chang, S.; Xia, Y.; Hu, L.; Liao, Z. Quantum multiparameter estimation with multi-mode photon catalysis entangled squeezed state. Front. Phys. 2023, 18, 42304. [Google Scholar] [CrossRef]
- Len, Y.L. Multiparameter estimation for qubit states with collective measurements: A case study. New J. Phys. 2022, 24, 033037. [Google Scholar] [CrossRef]
- Ozols, M.; Mančinska, L. Generalized Bloch Vector and the Eigenvalues of a Density Matrix. 2007. Available online: https://api.semanticscholar.org/CorpusID:43545145 (accessed on 14 February 2023).
- Li, J.L.; Qiao, C.F. Separable decompositions of bipartite mixed states. Quantum Inf. Process. 2018, 17, 1–7. [Google Scholar] [CrossRef]
- Aerts, D.; Sassoli de Bianchi, M. The extended Bloch representation of quantum mechanics and the hidden-measurement solution to the measurement problem. Ann. Phys. 2014, 351, 975–1025. [Google Scholar] [CrossRef]














Disclaimer/Publisher’s Note: The statements, opinions and data contained in all publications are solely those of the individual author(s) and contributor(s) and not of MDPI and/or the editor(s). MDPI and/or the editor(s) disclaim responsibility for any injury to people or property resulting from any ideas, methods, instructions or products referred to in the content. |
© 2024 by the authors. Licensee MDPI, Basel, Switzerland. This article is an open access article distributed under the terms and conditions of the Creative Commons Attribution (CC BY) license (https://creativecommons.org/licenses/by/4.0/).
Share and Cite
Cardoso-Isidoro, C.; Delgado, F. An Architecture Superposing Indefinite Causal Order and Path Superposition Improving Pauli Channels’ Parameter Estimation. Symmetry 2024, 16, 74. https://doi.org/10.3390/sym16010074
Cardoso-Isidoro C, Delgado F. An Architecture Superposing Indefinite Causal Order and Path Superposition Improving Pauli Channels’ Parameter Estimation. Symmetry. 2024; 16(1):74. https://doi.org/10.3390/sym16010074
Chicago/Turabian StyleCardoso-Isidoro, Carlos, and Francisco Delgado. 2024. "An Architecture Superposing Indefinite Causal Order and Path Superposition Improving Pauli Channels’ Parameter Estimation" Symmetry 16, no. 1: 74. https://doi.org/10.3390/sym16010074
APA StyleCardoso-Isidoro, C., & Delgado, F. (2024). An Architecture Superposing Indefinite Causal Order and Path Superposition Improving Pauli Channels’ Parameter Estimation. Symmetry, 16(1), 74. https://doi.org/10.3390/sym16010074

