You are currently viewing a new version of our website. To view the old version click .
Symmetry
  • Article
  • Open Access

17 April 2023

Characteristics of Solitary Stochastic Structures for Heisenberg Ferromagnetic Spin Chain Equation

,
,
,
and
1
Department of Mathematics, College of Science and Humanities, Imam Abdulrahman Bin Faisal University, Jubail 35811, Saudi Arabia
2
Department of Mathematics, Faculty of Science, Mansoura University, Mansoura 35516, Egypt
3
Department of Mathematics, College of Science, Taibah University, Madinah 42353, Saudi Arabia
*
Author to whom correspondence should be addressed.
This article belongs to the Section Mathematics

Abstract

The impact of Stratonovich integrals on the solutions of the Heisenberg ferromagnetic spin chain equation using the unified solver approach is examined in this study. In particular, using arbitrary parameters, the traveling wave arrangements of rational, trigonometric, and hyperbolic functions are developed. The detailed arrangements are exceptionally critical for clarifying diverse complex wonders in plasma material science, optical fiber, quantum mechanics, super liquids and so on. Here, the Itô stochastic calculus and the Stratonovich stochastic calculus are considered. To describe the dynamic behaviour of random solutions, some graphical representations for these solutions are described with appropriate parameters.

1. Introduction

Understanding the dynamical wave patterns for nonlinear partial differential equations (NPDEs) is crucial for understanding the underlying workings of complex phenomena [1,2,3,4,5,6]. In mathematical physics, the NPDEs and symmetry are closely related concepts. Particularly, symmetry plays a significant role in the study of NPDEs. Furthermore, symmetry approaches have recently been developed to get unique reduced solutions for NPDEs [7]. Vinogradov proposed four distinct strategies for studying NPDE symmetries [8]. The waves generated numerous nonlinear scientific phenomena that have applications in many domains, including chemical physics, molecular biology, fluid mechanics, engineering, solid-state physics, ecology, nuclear physics, quantum mechanics [9,10,11,12,13,14]. Numerous scholars used NPDEs to develop voyaging wave arrangements by employing a few methods [15,16,17]. There is not a single method to solve all of these equations due to the complexity of nonlinear waves. The random impact on the soliton solutions’ spread has received an increasing amount of consideration recently. This effect is crucial in explaining many complicated issues.
Stochastic calculus is an area of mathematics that deals with stochastic processes, allowing the modeling of random systems [18,19]. The foundation of many stochastic processes is a continuous function that is not differentiable. Because differential equations requiring the use of derivative terms cannot be defined on non-smooth functions, they are excluded. Where integral equations do not require the direct definition of derivative terms, a theory of integration is required. The theory is known as Itô calculus and Stratonovich calculus in quantitative finance [20].
The Black–Scholes model, which models the random movement of an asset price, is the main application of stochastic calculus in finance. The Weiner process employs the physical process of Brownian motion (specifically, a geometric Brownian motion) as a model of asset prices. This process is represented by a stochastic differential equation, which is actually an integral equation despite its name [21,22].
A system is made up of multiple elements working in concert to accomplish a specific goal. It is referred to as a dynamical system if the output time-varying variables of this system depend on the initial conditions and some input variables. Modeling is the process of creating suitable mathematical equations that adequately describe the dynamical system. If the differential equations can be easily derived from engineering and physical circumstances, it is desirable to understand the solution behaviour [23,24]. Environmental and stochastic influences can affect nonlinear systems. Therefore, rather than studying these systems deterministically, it is best to do so stochastically. Additionally, it should be mentioned that each perturbation that occurs in these systems should be considered, because neglecting this perturbation could have negative consequences.
Heisenberg ferromagnet models are crucial in the modern magnet theory [25]. It describes the nonlinear dynamics of magnets. One of the intriguing types of nonlinear excitations that depict spin dynamics in semiclassical continuous Heisenberg systems is the magnetic soliton. The study of soliton propagation and interaction may aid in the analysis of magnetic materials’ nonlinear properties. Soliton is a wave that maintains its speed and shape as it travels. That is the main reason why it piques the interest of engineers, mathematicians and physicists. Besides the deterministic type perturbations, the stochastic type perturbations do have to be taken into account from practical considerations. All these features served as strong motivation for our new approach.
A branch of mathematics called stochastic calculus works with stochastic processes. It enables the definition of an integration theory that is consistent for integrals of stochastic processes relative to stochastic processes. A new integrable nonlinear Schrodinger equation (NLSE) in the dimension of the form (2 + 1) was recently discovered to regulate the nonlinear spin dynamics of the Heisenberg ferromagnetic spin chain (HFSC) equation [25,26,27,28]
i Ξ t + μ 1 Ξ x x + μ 2 Ξ y y + μ 3 Ξ x y μ 4 Ξ 2 Ξ + i σ Ξ B t = 0 , i = 1 ,
where μ 1 = γ 4 ( υ + υ 2 ) , μ 2 = γ 4 ( υ 1 + υ 2 ) , μ 3 = 2 γ 4 υ 2 , μ 4 = 2 γ 4 A . Here, the complex-valued function Ξ ( x , y , t ) denotes the wave propagation, γ is a lattice parameter, υ and υ 1 are the coefficients of bilinear exchange interactions along the x- and y-directions. The neighboring interaction on the diagonal is represented by υ 2 , whereas A denoted the uniaxial crystal field anisotropy parameter [25]. The noise B t is the time derivative of a standard Wiener process B ( t ) . The standard Wiener process is also known as Brownian motion. The parameter υ 2 denotes the random neighboring interaction along the diagonal. The parameter A represents the uniaxial crystal field anisotropy.
In this paper, we present some new stochastic solutions for Equation (1) via a Stratonovich sense, using the unified solver technique [29] based on He’s variations technique [30,31,32]. This technique provides some types of wave solutions based on the physical parameters. These solutions enable critical applications in modern magnet theory [25]. The proposed technique can be used as a box-solver for a number of natural science systems. It eliminates time-consuming computations and offers critical solutions in an explicit format. This solver is straightforward, robust, functional, and convenient. To the best of our knowledge, no one has ever used the proposed method to solve Equation (1) through a Stratonovich sense.
The remainder of the article is structured as follows. Section 2 introduces the some notes about stochastic calculus. In Section 3, random solutions for the nonlinear spin dynamics of (2 + 1)-dimensional HFSC are shown. In Section 4, we discuss the obtained results. Finally, concluding remarks are reported in Section 5.

2. On the Interpretation of Stochastic Calculus

2.1. Itô Integral

Since almost all sample functions of B t are of unbounded variation, we cannot, in general, interpret the integral:
a b G ( s ) d B ( s )
as an ordinary Riemann–Stieltjes integral.
The task is now to define the stochastic integral:
Definition 1 
([33]). For every G L 2 [ a , b ] , the stochastic integral (or Itô’s integral) of G with respect to the Wiener process B ( t ) over the interval [a, b] with mean square limits is defined as:
a b G ( s ) d B ( s ) = lim n a b G n d B ,
where G n is a sequence of step functions in L 2 [ a , b ] that approximate in the sense of:
lim n a b G ( s ) G n ( s ) 2 d s = 0 .
Definition 2 
([33]). If lim n Y n = Y exist, then the r.v. Y is called the Itô stochastic integral, or Itô integral for short, of X ( t ) with respect to B ( t ) over the interval T. It is denoted by:
a b X ( t ) d B ( t ) = lim n Y n .

2.2. Stratonovich Integral

The Itô integral’s most popular substitute is the Stratonovich. The Stratonovich integral is commonly employed in physics, despite the Itô integral typically being the preferred option in practical mathematics. The crucial characteristic of the Itô integral, which does not “see into the future”, is absent from the Stratonovich integral. Since past events are the sole information available in various real-world applications, like stock price modelling, the Itô interpretation makes more sense [20]. Typically, the Itô interpretation is applied in financial mathematics. Similar to the Riemann integral, which is defined as a limit of Riemann sums, the Stratonovich integral can be defined as follows:
a b X ( t ) d B ( t ) = lim n X ( t i + 1 ) + X ( t i ) 2 ( B ( t i + 1 ) B ( t i ) ) .
The Stratonovich and Itô variants of the stochastic integral are two commonly used variants. The modelling problem primarily determines which form is appropriate; however, once that form is selected, an equivalent equation of the other type can be created utilizing the same solutions. In many sources, such as Refs. [20,21], the following relationship is utilized to switch between Stratonovich (represented by 0 t Φ d η ) and Itô (represented by 0 t Φ d η ):
0 t Φ ( τ , Z τ ) d η ( τ ) = 0 t Φ ( τ , Z τ ) d η ( τ ) 1 2 0 t Φ ( τ , Z τ ) Φ ( τ , Z τ ) τ d τ ,
where Φ is considered to be sufficiently regular and Z t , t 0 is a stochastic process.

3. The Stochastic Solutions

Let the following complex wave transformation be [25]:
Ξ ( x , y , t ) = e i ( q x + p y w t ) σ 2 t σ B ( t ) u ( ζ ) , ζ = α 1 x + α 2 y ν t .
Here, u ( ζ ) denotes the amplitude function to be determined. The parameters q and p denote, respectively, the wave numbers in the x- and y-directions, w is frequency of the pulse and ν is the group velocity of the wave packet.
From the wave transformation (3) we find that Ξ x x , Ξ x x and Ξ x x take the form:
Ξ x x = [ α 1 2 u q 2 u + 2 i α 1 q u ] e i ( q x + p y w ) σ 2 t σ B ( t ) Ξ y y = [ α 2 2 u p 2 u + 2 i α 1 p u ] e i ( q x + p y w ) σ 2 t σ B ( t ) Ξ x y = [ α 1 α 2 u p q u + i ( α 1 p + α 2 q ) u ] e i ( q x + p y w ) σ 2 t σ B ( t ) .
For Ξ t , we find that:
Ξ t = [ ν u i w u + 1 2 σ 2 u σ 2 u σ B t u ] e i ( q x + p y w t ) σ 2 t σ B ( t ) ,
where 1 2 σ 2 u is the correction term. Thus,
Ξ t = [ ( ν u + i w u ) σ u ( B t + 1 2 σ ) ] e i ( q x + p y w ) σ 2 t σ B ( t ) .
Using the relation to swab from Itô to Stratonovich (2) the above equation will be
Ξ t = [ ( ν u + i w u ) + σ u B t ] e i ( q x + p y w t ) σ 2 t σ B ( t ) = ( ν u + i w u ) e i ( q x + p y w t ) σ 2 t σ B ( t ) σ Ξ B t .
Inserting Equations (3) and (4) into Equation (1) and then decomposing the result into real and imaginary parts, gives:
L u + M u 3 + N u + i ν ( 2 α 1 μ 1 + α 2 μ 3 ) q ( 2 α 2 μ 2 + α 1 μ 3 ) p = 0 ,
where
L = μ 1 α 1 2 + μ 2 α 2 2 + α 1 α 2 μ 3 , M = μ 4 , N = w ( μ 1 q 2 + μ 2 p 2 + μ 1 μ 2 p q ) .
The real part is displayed as:
L u + M u 3 + N u = 0 ,
and the imaginary part is written as
ν ( 2 α 1 μ 1 + α 2 μ 3 ) q ( 2 α 2 μ 2 + α 1 μ 3 ) p = 0 .
In view of the unified solver method [29], the random solutions of Equation (1) are:
Family I:
u 1 , 2 ( x , y , t ) = ± 2 N M sech ± N L ( α 1 x + α 2 y ν t ) = ± 2 w 2 ( μ 1 q 2 + μ 2 p 2 + μ 1 μ 2 p q ) μ 4 sech ± ( μ 1 q 2 + μ 2 p 2 + μ 1 μ 2 p q ) w μ 1 α 1 2 + μ 2 α 2 2 + α 1 α 2 μ 3 ( α 1 x + α 2 y ν t ) .
Therefore, the solutions for Equation (1) are
Ξ 1 , 2 ( x , y , t ) = ± 2 w 2 ( μ 1 q 2 + μ 2 p 2 + μ 1 μ 2 p q ) μ 4 e i ( q x + p y w t ) σ 2 t σ B ( t ) sech ± ( μ 1 q 2 + μ 2 p 2 + μ 1 μ 2 p q ) w μ 1 α 1 2 + μ 2 α 2 2 + α 1 α 2 μ 3 ( α 1 x + α 2 y ν t ) .
Family II:
u 3 , 4 ( x , y , t ) = ± 35 N 18 M sech 2 ± 5 N 12 L ( α 1 x + α 2 y ν t ) = ± 35 w 35 ( μ 1 q 2 + μ 2 p 2 + μ 1 μ 2 p q ) 18 μ 4 sech 2 ± 5 ( μ 1 q 2 + μ 2 p 2 + μ 1 μ 2 p q ) 5 w 12 ( μ 1 α 1 2 + μ 2 α 2 2 + α 1 α 2 μ 3 ) ( α 1 x + α 2 y ν t ) .
Therefore, the solutions for Equation (1) are
Ξ 3 , 4 ( x , y , t ) = ± 35 w 35 ( μ 1 q 2 + μ 2 p 2 + μ 1 μ 2 p q ) 18 μ 4 e i ( q x + p y w t ) σ 2 t σ B ( t ) sech 2 ± 5 ( μ 1 q 2 + μ 2 p 2 + μ 1 μ 2 p q ) 5 w 12 ( μ 1 α 1 2 + μ 2 α 2 2 + α 1 α 2 μ 3 ) ( α 1 x + α 2 y ν t ) .
Family III:
u 5 , 6 ( x , y , t ) = ± N M tanh ± N 2 L ( α 1 x + α 2 y ν t ) = ± w ( μ 1 q 2 + μ 2 p 2 + μ 1 μ 2 p q ) μ 4 tanh ± w ( μ 1 q 2 + μ 2 p 2 + μ 1 μ 2 p q ) 2 ( μ 1 α 1 2 + μ 2 α 2 2 + α 1 α 2 μ 3 ) ( α 1 x + α 2 y ν t ) .
Therefore, the solutions for Equation (1) are
Ξ 5 , 6 ( x , y , t ) = ± w ( μ 1 q 2 + μ 2 p 2 + μ 1 μ 2 p q ) μ 4 e i ( q x + p y w t ) σ 2 t σ B ( t ) tanh ± w ( μ 1 q 2 + μ 2 p 2 + μ 1 μ 2 p q ) 2 ( μ 1 α 1 2 + μ 2 α 2 2 + α 1 α 2 μ 3 ) ( α 1 x + α 2 y ν t ) .

4. Results and Discussion

The (2 + 1)-dimensional HFSC equation having a noise term with Brownian function B ( t ) is inspected. Many real random phenomena are better suited to Brownian motion than other processes. This stochastic HFSC model is converted to nonlinear ordinary differential equations via B ( t ) function. We extracted some vital stochastic solutions for the (2 + 1)-dimensional HFSC equation via a Stratonovich sense. These solutions based on Brownian motion processes produce vital applications in the modern theory of magnets and eternal inflation in physical cosmology.
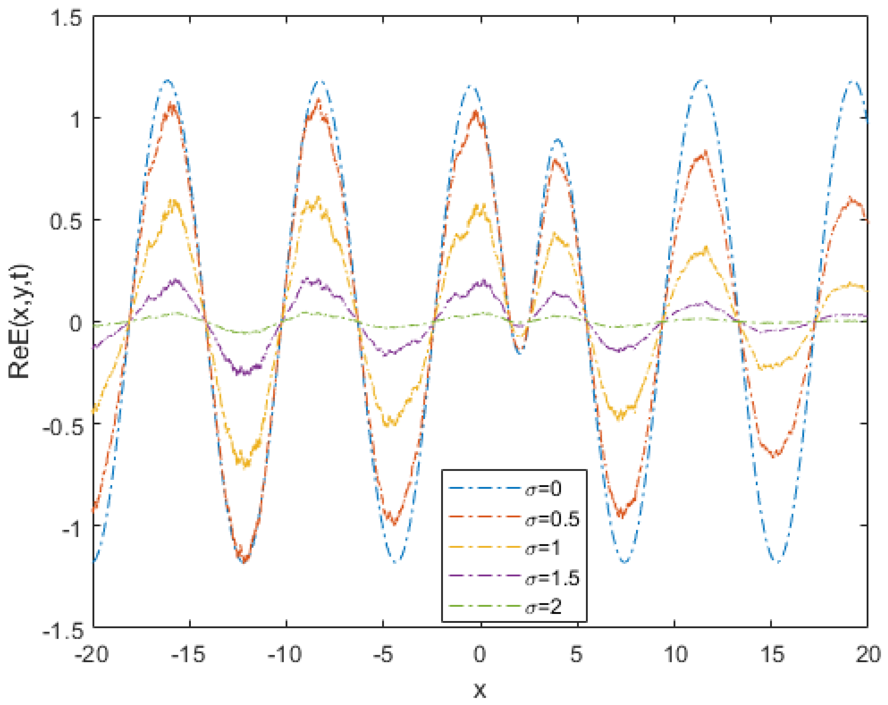
We describe the effects of the rigorous randomness factor on the structure, band width and amplitude of the provided solitary waves. When σ increases, we noticed that for the width, the wave’s amplitude shrink and the wave starts to collapse, which is completed at σ = 2 , as illustrated in Figure 1. In a stochastic case, the Brownian motion function B ( t ) is given in more detail in [34]. The ability of the abrupt wave collapse which depends in the main on the influence of randomness is grow with increasing time t, as depicted in Figure 2, Figure 3, Figure 4 and Figure 5. Furthermore, the dark solution (17), that represents the dissipative graph, was identified to be affected by time t and the noise term σ , as illustrated in Figure 4, Figure 5 and Figure 6. Furthermore, as shown in Figure 6, the parameter σ causes the wave to compress and transform into a super waveform with a limited amplitude. On the other hand, we provide some 3D graphs of solution (17) in Figure 7, Figure 8, Figure 9 and Figure 10 for more illustration about the collapsing of the amplitude for the waves. Namely, by increasing the value of the noise term σ , the waves’ amplitude are more collapsed.
Figure 1. Plot of Ξ 1 ( x , y , t ) with x, σ = 0 , 0.5 , 1 , 1.5 , 2 .
Figure 2. Trajectory of Ξ 1 ( x , y , t ) , σ = 0 for t = 0 , 0.5 , 1 , 1.5 .
Figure 3. Trajectory of Ξ 1 ( x , y , t ) , σ = 0.5 for t = 0 , 0.5 , 1 , 1.5 .
Figure 4. Trajectory of Ξ 5 ( x , y , t ) , σ = 0 for t = 0 , 0.5 , 1 , 1.5 .
Figure 5. Trajectory of Ξ 5 ( x , y , t ) , σ = 0.2 for t = 0 , 0.5 , 1 , 1.5 .
Figure 6. Plot of Ξ 5 ( x , y , t ) with x, σ = 0 , 0.5 , 1 , 1.5 , 2 .
Figure 7. 3D plot of Ξ 5 ( x , y , t ) for σ = 0 .
Figure 8. 3D plot of Ξ 5 ( x , y , t ) for σ = 0.2 .
Figure 9. 3D plot of Ξ 5 ( x , y , t ) for σ = 0.6 .
Figure 10. 3D plot of Ξ 5 ( x , y , t ) for σ = 1 .
Substantially, the examined model’s stochastic nonlinear solitonic structure with stochastic noise term caused the dynamical advantages of the isolated envelopes and dissipative–dispersive waves that were produced.

5. Conclusions

We have investigated the (2 + 1)-dimensional HFSC equation via a Stratonovich sense, using a unified technique. The proposed approach has a number of benefits, including avoiding complexity and time-consuming computations and obtaining accurate answers via physical parameters. We produced some new stochastic solutions, which play an important role in modern magnet theory. We also considered the influence of the noise term on the behaviour of solutions. It has been claimed that some modulations in collapsing dissipative and dispersive explosive formations can be shown by random stimuli. Finally, the proposed approach can be applied to other complex models, thus we will use it in our upcoming studies.

Author Contributions

M.A.: Conceptualization, Data curation, Writing—original draft. S.Z.H.: Conceptualization, Data curation, Formal analysis, Writing—original draft. A.A.-b.: Conceptualization, Data curation, Writing—original draft. M.A.S.: Conceptualization, Software, Formal analysis, Writing—review draft. M.A.E.A.: Conceptualization, Software, Formal analysis, Writing—review editing. All authors have read and agreed to the published version of the manuscript.

Funding

This research received no external funding.

Data Availability Statement

Data sharing not applicable to this article as no datasets were generated or analysed during the current study.

Conflicts of Interest

The authors declare no conflict of interest.

References

  1. Triki, H.; Bensalem, C.; Biswas, A.; Khan, S.; Zhou, Q.; Adesanya, S.; Moshokoa, S.P.; Belic, M. Self-similar optical solitons with continuous-wave background in a quadratic–cubic non-centrosymmetric waveguide. Opt. Commun. 2019, 437, 392–398. [Google Scholar] [CrossRef]
  2. Abdelrahman, M.A.; Sohaly, M.A. Solitary waves for the nonlinear Schrödinger problem with the probability distribution function in the stochastic input case. Eur. Phys. J. Plus 2017, 132, 1–9. [Google Scholar] [CrossRef]
  3. Ullah, M.S.; Roshid, H.O.; Ali, M.Z.; Rahman, Z. Dynamical structures of multi-soliton solutions to the Bogoyavlenskii’s breaking soliton equations. Eur. Phys. J. Plus 2020, 135, 282. [Google Scholar] [CrossRef]
  4. Abdelwahed, H.G.; El-Shewy, E.K.; Abdelrahman, M.A.E.; Alsarhana, A.F. On the physical nonlinear (n + 1)-dimensional Schrödinger equation applications. Results Phys. 2021, 21, 103798. [Google Scholar] [CrossRef]
  5. Ullah, M.S.; Abdeljabbar, A.; Roshid, H.O.; Ali, M.Z. Application of the unified method to solve the Biswas–Arshed model. Results Phys. 2022, 42, 105946. [Google Scholar] [CrossRef]
  6. Nandi, D.C.; Ullah, M.S.; Roshid, H.O.; Ali, M.Z. Application of the unified method to solve the ion sound and Langmuir waves model. Heliyon 2022, 8, e10924. [Google Scholar] [CrossRef]
  7. Bluman, G.W.; Cheviakov, A.F.; Anco, S.C. Applications of Symmetry Methods to Partial Differential Equations; Springer: New York, NY, USA, 2010; Volume 168, p. 398. [Google Scholar]
  8. Vinogradov, A.M. What are symmetries of nonlinear PDEs and what are they themselves? arXiv 2013, arXiv:1308.5861. [Google Scholar]
  9. Hosseini, K.; Samadani, F.; Kumar, D.; Faridi, M. New optical solitons of cubic-quartic nonlinear Schödinger equation. Optik 2018, 157, 1101–1105. [Google Scholar] [CrossRef]
  10. Hosseini, K.; Hincal, E.; Baleanu, D.; Obi, O.A.; Salahshour, S. Non-singular multi-complexiton wave to a generalized KdV equation. Nonlinear Dyn. 2023, 111, 7591–7597. [Google Scholar] [CrossRef]
  11. Abdelrahman, M.A.E.; Sohaly, M.A.; Alharbi, A. The new exact solutions for the deterministic and stochastic (2 + 1)-dimensional equations in natural sciences. J. Taibah Univ. Sci. 2019, 13, 834–843. [Google Scholar] [CrossRef]
  12. Alharbi, A. Traveling-wave and numerical solutions to a Novikov-Veselov system via the modified mathematical methods. AIMS Math. 2023, 8, 1230–1250. [Google Scholar] [CrossRef]
  13. Younas, U.; Rezazadeh, H.; Ren, J.; Bilal, M. Propagation of diverse exact solitary wave solutions in separation phase of iron (Fe-Cr-X(X = Mo, Cu)) for the ternary alloys. Int. J. Mod. Phys. B 2022, 36, 2250039. [Google Scholar] [CrossRef]
  14. Rezazadeh, H. New solitons solutions of the complex Ginzburg-Landau equation with Kerr law nonlinearity. Optik 2018, 167, 218–227. [Google Scholar] [CrossRef]
  15. Alharbi, Y.F.; Abdelrahman, M.A.E.; Sohaly, M.A.; Inc, M. Stochastic treatment of the solutions for the resonant nonlinear Schrödinger equation with spatio-temporal dispersions and inter-modal using beta distribution. Eur. Phys. J. Plus 2020, 135, 1–14. [Google Scholar] [CrossRef]
  16. Mirzaee, F.; Rezaei, S.; Samadyar, N. Solving one-dimensional nonlinear stochastic sine-Gordon equation with a new meshfree technique. Int. J. Numer. Model. Electron. Netw. Devices Fields 2021, 34, e2856. [Google Scholar] [CrossRef]
  17. Mirzaee, F.; Rezaei, S.; Samadyar, N. Numerical solution of two-dimensional stochastic time-fractional Sine–Gordon equation on non-rectangular domains using finite difference and meshfree methods. Eng. Anal. Bound. Elem. 2021, 127, 53–63. [Google Scholar] [CrossRef]
  18. Abdelrahman, M.A.; Alkhidhr, H.A.; Amin, A.H.; El-Shewy, E.K. A new structure of solutions to the system of ISALWs via stochastic sense. Results Phys. 2022, 37, 105473. [Google Scholar] [CrossRef]
  19. Abdelrahman, M.A.; Hassan, S.Z.; Alsaleh, D.M.; Alomair, R.A. The new structures of stochastic solutions for the nonlinear Schrödinger’s equations. J. Low Freq. Noise Vib. Act. Control 2022, 41, 1369–1379. [Google Scholar] [CrossRef]
  20. Karatzas, I.; Shreve, S.; Shreve, S.E. Brownian Motion and Stochastic Calculus; Springer Science+Business Media: Berlin/Heidelberg, Germany, 1991; Volume 113. [Google Scholar]
  21. Øksendal, B. Stochastic Differential Equations; Springer: Berlin/Heidelberg, Germany, 2003; pp. 65–84. [Google Scholar]
  22. Rakhshan, A.; Pishro-Nik, H. Introduction to simulation using MATLAB. In Introduction to Probability, Statistics, and Random Processes; Kappa Research, LLC: Boston, MA, USA, 2014; pp. 703–723. [Google Scholar]
  23. Meiss, J.D. Differential Dynamical Systems. In SIAM Monographs on Mathematical Modeling and Computation; Society for Industrial and Applied Mathematics: Philadelphia, PA, USA, 2007. [Google Scholar]
  24. Kluever, C.A. Dynamic Systems: Modeling, Simulation, and Control; John Wiley & Sons: New York, NY, USA, 2020. [Google Scholar]
  25. Triki, H.; Wazwaz, A.M. New solitons and periodic wave solutions for the (2 + 1)-dimensional Heisenberg ferromagnetic spin chain equation. J. Electromagn. Waves Appl. 2016, 30, 788–794. [Google Scholar] [CrossRef]
  26. Hosseini, K.; Kaur, L.; Mirzazadeh, M.; Baskonus, H.M. 1-Soliton solutions of the (2 + 1)-dimensional Heisenberg ferromagnetic spin chain model with the beta time derivative. Opt. Quantum Electron. 2021, 53, 125. [Google Scholar] [CrossRef]
  27. Hosseini, K.; Salahshour, S.; Mirzazadeh, M.; Ahmadian, A.; Baleanu, D.; Khoshrang, A. The (2 + 1)-dimensional Heisenberg ferromagnetic spin chain equation: Its solitons and Jacobi elliptic function solutions. Eur. Phys. J. Plus 2021, 136, 206. [Google Scholar] [CrossRef]
  28. Latha, M.M.; Vasanthi, C.C. An integrable model of (2 + 1)-dimensional Heisenberg ferromagnetic spin chain and soliton excitations. Phys. Scr. 2014, 89, 065204. [Google Scholar] [CrossRef]
  29. Alomair, R.A.; Hassan, S.Z.; Abdelrahman, M.A.E. A new structure of solutions to the coupled nonlinear Maccari’s systems in plasma physics. AIMS Math. 2022, 7, 8588–8606. [Google Scholar] [CrossRef]
  30. He, J.H. Semi-inverse method of establishing generalized variational principles for fluid mechanics with emphasis on turbo machinery aerodynamics. Int. J. Turbo Jet-Engines 1997, 14, 23–28. [Google Scholar] [CrossRef]
  31. He, J.H. Variational principles for some nonlinear partial differential equations with variable coefficients. Chaos Solitons Fractals 2004, 19, 847–851. [Google Scholar] [CrossRef]
  32. He, J.H. Some asymptotic methods for strongly nonlinear equations. Int. J. Mod. Phys. B 2006, 20, 1141–1199. [Google Scholar] [CrossRef]
  33. Soong, T.T. Random Differential Equations in Science and Engineering; Academic Press: New York, NY, USA, 1973. [Google Scholar]
  34. Higham, D.J. An algorithmic introduction to numerical simulation of stochastic differential equations. SIAM Rev. 2001, 43, 525–546. [Google Scholar] [CrossRef]
Disclaimer/Publisher’s Note: The statements, opinions and data contained in all publications are solely those of the individual author(s) and contributor(s) and not of MDPI and/or the editor(s). MDPI and/or the editor(s) disclaim responsibility for any injury to people or property resulting from any ideas, methods, instructions or products referred to in the content.

Article Metrics

Citations

Article Access Statistics

Multiple requests from the same IP address are counted as one view.