MHD Mixed Convection Flow of Hybrid Ferrofluid through Stagnation-Point over the Nonlinearly Moving Surface with Convective Boundary Condition, Viscous Dissipation, and Joule Heating Effects
Abstract
1. Introduction
2. Mathematical Formulations
3. Stability Analysis
4. Results and Discussion
5. Conclusions
- Stability analysis results imply the first solution is stable. On the other hand, the second solution is unstable.
- Varying nanoparticle volume fraction from until enhanced the skin friction by about 14.44% for case opposing flow region and 14.27% for case assisting flow region .
- The heat transfer rate drops by about 3.63% for case opposing flow region and 3.74% for case assisting flow region with various nanoparticle volume fraction from until
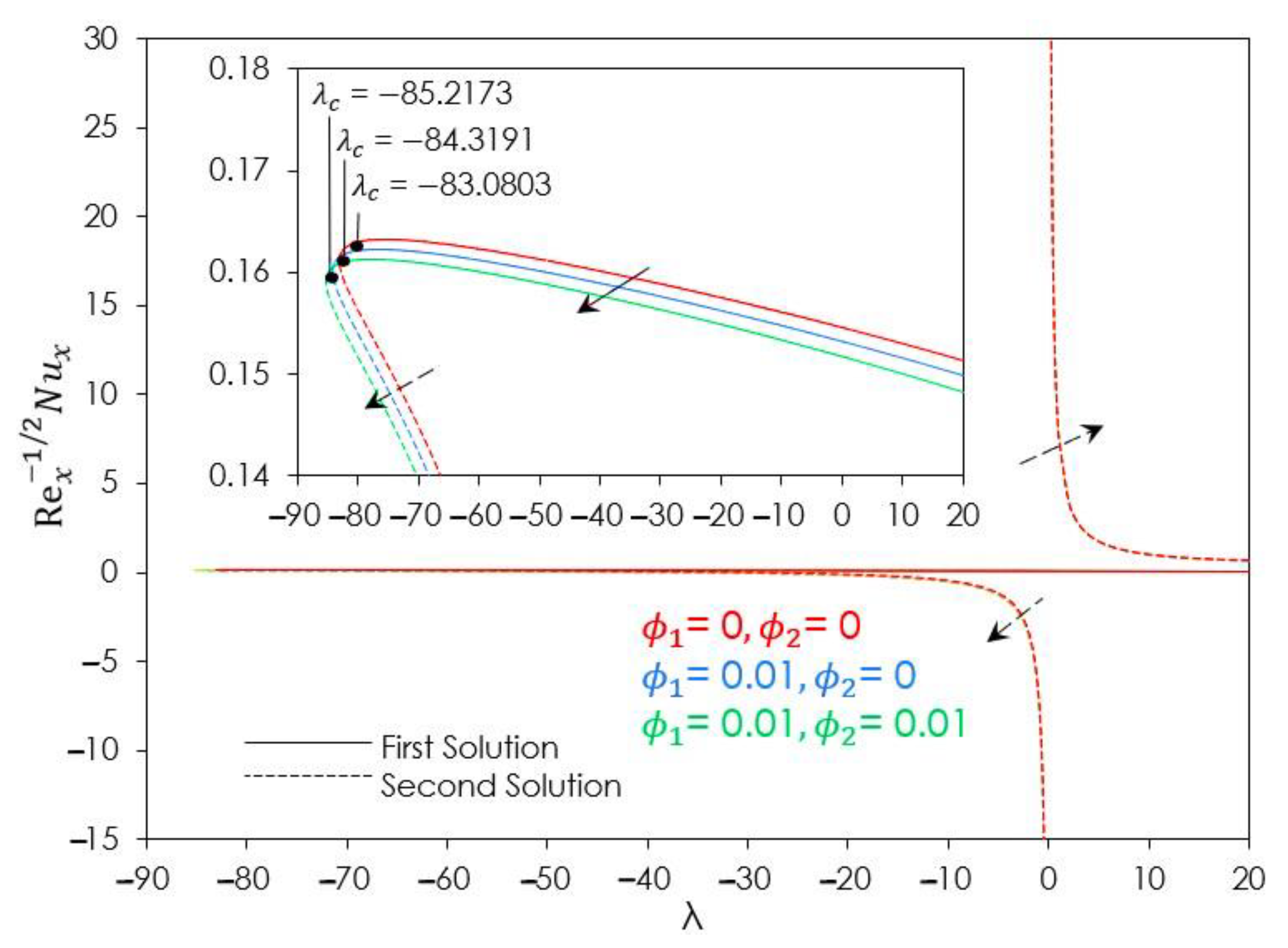
- hybrid ferrofluid has a better compares with water and / ferrofluid when adding the nanoparticle due to higher values for the nanoparticle volume fraction proved to physically enhance fluid viscosity performance and shear stress. As for case hybrid ferrofluid ( in both assisting , and opposing flow regions, the magnitude of enhanced by about 7.13% and 7.18%, respectively, as compared to water (. For the case hybrid ferrofluid ( against / ferrofluid (, the addition of 1% of in hybrid ferrofluid enhanced the magnitude of in both assisting , and opposing flow regions by about 3.35% and 3.37%, respectively.
- In terms of heat transfer rate, hybrid ferrofluid has a lower compared with water and / ferrofluid due to an external heat source from Joule heating and energy release from the friction between fluid flow and resistance in Lorentz force. As for case hybrid ferrofluid ( in both assisting , and opposing flow regions, the magnitude of reduced by about 1.85% and 1.81%, respectively, as compared to water (. For the case – hybrid ferrofluid ( against / ferrofluid (, the addition of 1% of in hybrid ferrofluid enhanced the magnitude of in both assisting , and opposing flow regions by about 0.90% and 0.92%,
- As the strength of the suction parameter increases, both skin friction and heat transfer rate significantly improve and facilitate reducing the boundary layer separation. With the increase in the strength of from 1.0 to 1.4, the magnitude of and rise by about 49.54% and 3.6%, accordingly, in the opposing flow region . However, it can be seen the percentage of enhancement for the magnitude of continue to reduce to 12.68% while the magnitude of grows to 6.82% as in assisting flow region .
- The existence of magnetic parameter lowered the heat transfer performance and built up the thermal boundary layer thickness due to the energy release from the frictional force between fluid flow and the resistance from the Lorentz force as well as improved the boundary layer separation. For the case in opposing flow region and assisting flow region , the magnitude reduced by about 10.65% and 8.75%, accordingly, as grows from 1 to 4.
- An increment of Eckert number, Ec (arising from Joule heating) reduced the heat transfer performance while the rise of Biot number, Bi, accelerates the heat transfer rate for both assisting and opposing flow regions. For the case in opposing flow region and assisting flow region , the magnitude reduced by about 7.27% and 10.24%, respectively, as Ec grows from 0.09 to 0.12. At the same time, for the case in opposing flow region and assisting flow region , the magnitude enhanced by about 280.98% and 280.64%, respectively, as Bi grows from 0.2 to 0.8. Interestingly, both Ec and Bi are responsible for the build-up of the temperature profile.
- The boundary layer separates more quickly, in which the range of solutions is reduced as Ec is increased. The boundary layer separation decreases as Bi increases while the variety of potential solutions increases.
Author Contributions
Funding
Acknowledgments
Conflicts of Interest
Nomenclature
| Roman Letter | |
| , | Constant |
| Characteristic magnetic field (constant) | |
| Magnetic field | |
| Biot number | |
| Velocity ratio parameter or stretching/shrinking parameter | |
| Skin friction coefficient | |
| Specific heat at constant pressure | |
| Ec | Eckert number |
| Dimensionless stream function | |
| Coefficient of heat transfer | |
| Thermal conductivity of the fluid | |
| Magnetic parameter | |
| Positive constant | |
| Local Nusselts number | |
| Pr | Prandtl number |
| Local Reynolds number | |
| Suction/injection parameter | |
| Hybrid ferrofluid temperature (K) | |
| Hybrid ferrofluid temperature characteristic (constant) | |
| The temperature at the surface (K) | |
| Ambient temperature (K) | |
| , | Velocity component in the - and - directions |
| Free stream velocity | |
| Surface velocity for stretching/shrinking cases | |
| The velocity of the wall’s mass flux | |
| , | Cartesian coordinates |
| Greek Symbol | |
| Thermal expansion coefficient | |
| Fluid density | |
| Dynamic viscosity | |
| Electrical conductivity | |
| Kinematic viscosity | |
| Similarity variable | |
| Dimensionless temperature | |
| Dimensionless time variable | |
| Mixed convection parameter | |
| Eigenvalue | |
| Magnetite concentration | |
| Cobalt ferrite concentration | |
| Subscripts | |
| Base fluid (water) | |
| Ferrofluid/Nanofluid | |
| Hybrid Ferrofluid/Hybrid Nanofluid | |
| Solid component for (Magnetite) | |
| Solid component for (Cobalt Ferrite) |
References
- Choi, S.U.; Eastman, J.A. Enhancing Thermal Conductivity of Fluids with Nanoparticles; (No. ANL/MSD/CP-84938; CONF-951135-29); Argonne National Lab.: Lemont, IL, USA, 1995. [Google Scholar]
- Rosenweig, R.E. Magnetic fluids. Annu. Rev. Fluid Mech. 1987, 19, 437–463. [Google Scholar] [CrossRef]
- Zhang, X.; Sun, L.; Yu, Y.; Zhao, Y. Flexible Ferrofluids: Design and Applications. Adv. Mater. 2019, 31, e1903497. [Google Scholar] [CrossRef] [PubMed]
- Bahiraei, M.; Hangi, M. Flow and heat transfer characteristics of magnetic nanofluids: A review. J. Magn. Magn. Mater. 2015, 374, 125–138. [Google Scholar] [CrossRef]
- Pîslaru-Danescu, L.; Morega, A.M.; Morega, M.; Stoica, V.; Marinica, O.M.; Nouras, F.; Paduraru, N.; Borbath, I.; Borbath, T. Prototyping a ferrofluid-cooled transformer. IEEE Trans. Ind. Appl. 2013, 49, 1289–1298. [Google Scholar] [CrossRef]
- Mohamed, M.K.A.; Abas, F.N.; Salleh, M.Z. MHD boundary layer flow over a permeable flat plate in a ferrofluid with thermal radiation effect. J. Phys. Conf. Ser. 2019, 1366, 012014. [Google Scholar] [CrossRef]
- El-Kabeir, S.M.M.; El-Zahar, E.R.; Modather, M.; Gorla, R.S.R.; Rashad, A.M. Unsteady MHD slip flow of a ferrofluid over an impulsively stretched vertical surface. AIP Adv. 2019, 9, 045112. [Google Scholar] [CrossRef]
- Jamaludin, A.; Naganthran, K.; Nazar, R.; Pop, I. Thermal radiation and MHD effects in the mixed convection flow of Fe3O4-water ferrofluid towards a nonlinearly moving surface. Processes 2020, 8, 95. [Google Scholar] [CrossRef]
- Mehrez, Z.; El Cafsi, A. Heat exchange enhancement of ferrofluid flow into rectangular channel in the presence of a magnetic field. Appl. Math. Comput. 2020, 391, 125634. [Google Scholar] [CrossRef]
- Hamid, R.A.; Nazar, R.; Naganthran, K.; Pop, I. Effects of Magnetic Fields, Coupled Stefan Blowing and Thermodiffusion on Ferrofluid Transport Phenomena. Mathematics 2022, 10, 1646. [Google Scholar] [CrossRef]
- Atashafrooz, M.; Sajjadi, H.; Delouei, A.A. Interacting influences of Lorentz force and bleeding on the hydrothermal behaviors of nanofluid flow in a trapezoidal recess with the second law of thermodynamics analysis. Int. Commun. Heat Mass Transf. 2019, 110, 104411. [Google Scholar] [CrossRef]
- Muneeshwaran, M.; Srinivasan, G.; Muthukumar, P.; Wang, C.C. Role of hybrid-nanofluid in heat transfer enhancement—A review. Int. Commun. Heat Mass Transf. 2021, 125, 105341. [Google Scholar] [CrossRef]
- Sidik, N.A.C.; Jamil, M.M.; Japar, W.M.A.A.; Adamu, I.M. A review on preparation methods, stability and applications of hybrid nanofluids. Renew. Sustain. Energy Rev. 2017, 80, 1112–1122. [Google Scholar] [CrossRef]
- Babar, H.; Sajid, M.U.; Ali, H.M. Viscosity of hybrid nanofluids: A critical review. Therm. Sci. 2019, 23, 1713–1754. [Google Scholar] [CrossRef]
- Urmi, W.T.; Shafiqah, A.S.; Rahman, M.M.; Kadirgama, K.; Maleque, M.A. Preparation methods and challenges of hybrid nanofluids: A review. J. Adv. Res. Fluid Mech. Therm. Sci. 2020, 78, 56–66. [Google Scholar] [CrossRef]
- Salman, S.; Talib, A.A.; Saadon, S.; Sultan, M.H. Hybrid nanofluid flow and heat transfer over backward and forward steps: A review. Powder Technol. 2020, 363, 448–472. [Google Scholar] [CrossRef]
- Kursus, M.; Liew, P.J.; Che Sidik, N.A.; Wang, J. Recent progress on the application of nanofluids and hybrid nanofluidin machining: A comprehensive review. Int. J. Adv. Manuf. Technol. 2022, 121, 1455–1481. [Google Scholar] [CrossRef]
- Turcu, R.; Darabont, A.L.; Nan, A.; Aldea, N.; Macovei, D.; Bica, D.; Vekas, L.; Pana, O.; Soran, M.L.; Koos, A.A.; et al. New polypyrrole-multiwall carbon nanotubes hybrid materials. J. Optoelectron. Adv. Mater. 2006, 8, 643–647. [Google Scholar]
- Jana, S.; Salehi-Khojin, A.; Zhong, W.-H. Enhancement of fluid thermal conductivity by the addition of single and hybrid nano-additives. Thermochim. Acta 2007, 462, 45–55. [Google Scholar] [CrossRef]
- Aminuddin, N.A.; Nasir, N.A.A.M.; Jamshed, W.; Ishak, A.; Pop, I.; Eid, M.R. Impact of Thermal Radiation on MHD GO-Fe2O4/EG Flow and Heat Transfer over a Moving Surface. Symmetry 2023, 15, 584. [Google Scholar] [CrossRef]
- Kho, Y.B.; Jusoh, R.; Salleh, M.Z.; Ariff, M.H.; Zainuddin, N. Magnetohydrodynamics flow of Ag-TiO2 hybrid nanofluid over a permeable wedge with thermal radiation and viscous dissipation. J. Magn. Magn. Mater. 2023, 565, 170284. [Google Scholar]
- Atashafrooz, M.; Sajjadi, H.; Delouei, A.A. Simulation of combined convective-radiative heat transfer of hybrid nanofluid flow inside an open trapezoidal enclosure considering the magnetic force impacts. J. Magn. Magn. Mater. 2023, 567, 170354. [Google Scholar] [CrossRef]
- Takabi, B.; Salehi, S. Augmentation of the Heat Transfer Performance of a Sinusoidal Corrugated Enclosure by Employing Hybrid Nanofluid. Adv. Mech. Eng. 2014, 6, 147059. [Google Scholar] [CrossRef]
- Devi, S.A.; Devi, S.S.U. Numerical investigation of hydromagnetic hybrid CuAl2O3/water nanofluid flow over a permeable stretching sheet with suction. Int. J. Nonlinear Sci. Numer. Simul. 2016, 17, 249–257. [Google Scholar] [CrossRef]
- Devi, S.U.; Devi, S.A. Heat transfer enhancement of CuAl2O3/water hybrid nanofluid flow over a stretching sheet. J. Niger. Math. Soc. 2017, 36, 419–433. [Google Scholar]
- Roşca, N.C.; Roşca, A.V.; Jafarimoghaddam, A.; Pop, I. Cross flow and heat transfer past a permeable stretching/shrinking sheet in a hybrid nanofluid. Int. J. Numer. Methods Heat Fluid Flow 2020, 31, 1295–1319. [Google Scholar] [CrossRef]
- Jamaludin, A.; Naganthran, K.; Nazar, R.; Pop, I. MHD mixed convection stagnation-point flow of CuAl2O3/water hybrid nanofluid over a permeable stretching/shrinking surface with heat source/sink. Eur. J. Mech.-B/Fluids 2020, 84, 71–80. [Google Scholar] [CrossRef]
- Zainal, N.A.; Nazar, R.; Naganthran, K.; Pop, I. MHD flow and heat transfer of hybrid nanofluid over a permeable moving surface in the presence of thermal radiation. Int. J. Numer. Methods Heat Fluid Flow 2020, 31, 858–879. [Google Scholar] [CrossRef]
- Khashi’ie, N.S.; Arifin, N.M.; Pop, I. Mixed convective stagnation point flow towards a vertical Riga plate in hybrid CuAl2O3/water nanofluid. Mathematics 2020, 6, 912. [Google Scholar] [CrossRef]
- Wahid, N.S.; Arifin, N.M.; Khashi’Ie, N.S.; Pop, I.; Bachok, N.; Hafidzuddin, M.E.H. Unsteady MHD mixed convection flow of a hybrid nanofluid with thermal radiation and convective boundary condition. Chin. J. Phys. 2022, 77, 378–392. [Google Scholar] [CrossRef]
- Waini, I.; Ishak, A.; Pop, I. Hybrid Nanofluid Flow over a Permeable Non-Isothermal Shrinking Surface. Mathematics 2021, 9, 538. [Google Scholar] [CrossRef]
- Waini, I.; Khashi’Ie, N.S.; Kasim, A.R.M.; Zainal, N.A.; Bin Hamzah, K.; Arifin, N.M.; Pop, I. Unsteady Magnetohydrodynamics (MHD) Flow of Hybrid Ferrofluid Due to a Rotating Disk. Mathematics 2022, 10, 1658. [Google Scholar] [CrossRef]
- Kumar, K.A.; Sandeep, N.; Sugunamma, V.; Animasaun, I.L. Effect of irregular heat source/sink on the radiative thin film flow of MHD hybrid ferrofluid. J. Therm. Anal. Calorim. 2019, 139, 2145–2153. [Google Scholar] [CrossRef]
- Tlili, I.; Mustafa, M.T.; Kumar, K.A.; Sandeep, N. Effect of asymmetrical heat rise/fall on the film flow of magnetohydrodynamic hybrid ferrofluid. Sci. Rep. 2020, 10, 6677. [Google Scholar] [CrossRef] [PubMed]
- Manh, T.D.; Khan, A.R.; Shafee, A.; Nam, N.D.; Tlili, I.; Nguyen-Thoi, T.; Li, Z. Hybrid nanoparticles migration due to MHD free convection considering radiation effect. Phys. A Stat. Mech. Its Appl. 2020, 551, 124042. [Google Scholar] [CrossRef]
- Zainodin, S.; Jamaludin, A.; Nazar, R.; Pop, I. MHD Mixed Convection of Hybrid Ferrofluid Flow over an Exponentially Stretching/Shrinking Surface with Heat Source/Sink and Velocity Slip. Mathematics 2022, 10, 4400. [Google Scholar] [CrossRef]
- Giwa, S.O.; Sharifpur, M.; Meyer, J.P. Effects of uniform magnetic induction on heat transfer performance of aqueous hybrid ferrofluid in a rectangular cavity. Appl. Therm. Eng. 2020, 170, 115004. [Google Scholar] [CrossRef]
- Anuar, N.S.; Bachok, N.; Pop, I. Influence of MHD Hybrid Ferrofluid Flow on Exponentially Stretching/Shrinking Surface with Heat Source/Sink under Stagnation Point Region. Mathematics 2021, 9, 2932. [Google Scholar] [CrossRef]
- Khashi’Ie, N.S.; Waini, I.; Zainal, N.A.; Bin Hamzah, K.; Kasim, A.R.M.; Arifin, N.M.; Pop, I. Thermal Progress of Unsteady Separated Stagnation Point Flow with Magnetic Field and Heat Generation in Hybrid Ferrofluid. Nanomaterials 2022, 12, 3205. [Google Scholar] [CrossRef]
- Sparrow, E.M.; Eichhorn, R.; Gregg, J.L. Combined Forced and Free Convection in a Boundary Layer Flow. Phys. Fluids 1959, 2, 319–328. [Google Scholar] [CrossRef]
- Jamaludin, A.; Nazar, R.; Pop, I. Mixed Convection Stagnation-Point Flow of a Nanofluid Past a Permeable Stretching/Shrinking Sheet in the Presence of Thermal Radiation and Heat Source/Sink. Energies 2019, 12, 788. [Google Scholar] [CrossRef]
- Waini, I.; Ishak, A.; Pop, I. Mixed convection flow over an exponentially stretching/shrinking vertical surface in a hybrid nanofluid. Alex. Eng. J. 2020, 59, 1881–1891. [Google Scholar] [CrossRef]
- Mahat, R.; Rawi, N.A.; Kasim, A.R.M.; Shafie, S. Heat generation effect on mixed convection flow of viscoelastic nanofluid: Convective boundary condition solution. Malays. J. Fundam. Appl. Sci. 2020, 16, 166–172. [Google Scholar] [CrossRef]
- Jha, B.K.; Samaila, G. Impact of nonlinear thermal radiation on nonlinear mixed convection flow near a vertical porous plate with convective boundary condition. Proc. Inst. Mech. Eng. Part E J. Process Mech. Eng. 2022, 236, 600–608. [Google Scholar] [CrossRef]
- Lund, L.A.; Lashin, M.M.A.; Yashkun, U.; Guedri, K.; Khan, S.U.; Khan, M.I.; Bafakeeh, O.T.; Kumam, P. Thermal stable properties of solid hybrid nanoparticles for mixed convection flow with slip features. Sci. Rep. 2022, 12, 16447. [Google Scholar] [CrossRef] [PubMed]
- Khan, A.Q.; Rasheed, A. Mixed Convection Magnetohydrodynamics Flow of a Nanofluid with Heat Transfer: A Numerical Study. Math. Probl. Eng. 2019, 2019, 8129564. [Google Scholar] [CrossRef]
- Wahid, N.S.; Arifin, N.M.; Khashi’Ie, N.S.; Pop, I.; Bachok, N.; Hafidzuddin, M.E.H. MHD mixed convection flow of a hybrid nanofluid past a permeable vertical flat plate with thermal radiation effect. Alex. Eng. J. 2021, 61, 3323–3333. [Google Scholar] [CrossRef]
- Sivasankaran, S.; Niranjan, H.; Bhuvaneswari, M. Chemical reaction, radiation and slip effects on MHD mixed convection stagnation-point flow in a porous medium with convective boundary condition. Int. J. Numer. Methods Heat Fluid Flow 2017, 27, 454–470. [Google Scholar] [CrossRef]
- Patil, P.M.; Kulkarni, M. Analysis of MHD mixed convection in a Ag-TiO2 hybrid nanofluid flow past a slender cylinder. Chin. J. Phys. 2021, 73, 406–419. [Google Scholar] [CrossRef]
- Lone, S.A.; Alyami, M.A.; Saeed, A.; Dawar, A.; Kumam, P.; Kumam, W. MHD micropolar hybrid nanofluid flow over a flat surface subject to mixed convection and thermal radiation. Sci. Rep. 2022, 12, 17283. [Google Scholar] [CrossRef]
- Reddy, M.G.; Reddy, K.V. Influence of Joule Heating on MHD Peristaltic Flow of a Nanofluid with Compliant Walls. Procedia Eng. 2015, 127, 1002–1009. [Google Scholar] [CrossRef]
- Khashi’Ie, N.S.; Arifin, N.M.; Pop, I. Magnetohydrodynamics (MHD) boundary layer flow of hybrid nanofluid over a moving plate with Joule heating. Alex. Eng. J. 2021, 61, 1938–1945. [Google Scholar] [CrossRef]
- Yashkun, U.; Zaimi, K.; Ishak, A.; Pop, I.; Sidaoui, R. Hybrid nanofluid flow through an exponentially stretching/shrinking sheet with mixed convection and Joule heating. Int. J. Numer. Methods Heat Fluid Flow 2020, 31, 1930–1950. [Google Scholar] [CrossRef]
- Zainal, N.A.; Nazar, R.; Naganthran, K.; Pop, I. Magnetic Impact on the Unsteady Separated Stagnation-Point Flow of Hybrid Nanofluid with Viscous Dissipation and Joule Heating. Mathematics 2022, 10, 2356. [Google Scholar] [CrossRef]
- Yan, L.; Dero, S.; Khan, I.; Mari, I.A.; Baleanu, D.; Nisar, K.S.; Sherif, E.-S.M.; Abdo, H.S. Dual Solutions and Stability Analysis of Magnetized Hybrid Nanofluid with Joule Heating and Multiple Slip Conditions. Processes 2020, 8, 332. [Google Scholar] [CrossRef]
- Khashi’Ie, N.S.; Arifin, N.M.; Pop, I.; Wahid, N.S. Flow and heat transfer of hybrid nanofluid over a permeable shrinking cylinder with Joule heating: A comparative analysis. Alex. Eng. J. 2020, 59, 1787–1798. [Google Scholar] [CrossRef]
- Khan, M.R.; Mao, S.; Deebani, W.; Elsiddieg, A.M. Numerical analysis of heat transfer and friction drag relating to the effect of Joule heating, viscous dissipation and heat generation/absorption in aligned MHD slip flow of a nanofluid. Int. Commun. Heat Mass Transf. 2022, 131, 105843. [Google Scholar] [CrossRef]
- Asghar, A.; Ying, T.Y.; Zaimi, K. Two-dimensional magnetized mixed convection hybrid nanofluid over a vertical exponentially shrinking sheet by thermal radiation, Joule heating, velocity and thermal slip conditions. J. Adv. Res. Fluid Mech. Therm. Sci. 2022, 95, 159–179. [Google Scholar] [CrossRef]
- Sayed, H.M.; Aly, E.H.; Vajravelu, K. Influence of slip and convective boundary conditions on peristaltic transport of non-Newtonian nanofluids in an inclined asymmetric channel. Alex. Eng. J. 2016, 55, 2209–2220. [Google Scholar] [CrossRef]
- Malik, R.; Khan, M.; Munir, A.; Khan, W.A. Flow and Heat Transfer in Sisko Fluid with Convective Boundary Condition. PLoS ONE 2014, 9, e107989. [Google Scholar] [CrossRef] [PubMed]
- Aly, E.H.; Pop, I. MHD flow and heat transfer over a permeable stretching/shrinking sheet in a hybrid nanofluid with a convective boundary condition. Int. J. Numer. Methods Heat Fluid Flow 2019, 29, 3012–3038. [Google Scholar] [CrossRef]
- Jusoh, R.; Naganthran, K.; Jamaludin, A.; Ariff, M.; Basir, M.; Pop, I. Mathematical analysis of the flow and heat transfer of Ag-Cu hybrid nanofluid over a stretching/shrinking surface with convective boundary condition and viscous dissipation. Data Anal. Appl. Math. (DAAM) 2020, 1, 11–22. [Google Scholar] [CrossRef]
- Khashi’Ie, N.S.; Wahid, N.S.; Arifin, N.M.; Pop, I. MHD stagnation-point flow of hybrid nanofluid with convective heated shrinking disk, viscous dissipation and Joule heating effects. Neural Comput. Appl. 2022, 34, 17601–17613. [Google Scholar] [CrossRef]
- Waini, I.; Ishak, A.; Pop, I. Hybrid nanofluid flow and heat transfer past a permeable stretching/shrinking surface with a convective boundary condition. J. Phys. Conf. Ser. 2019, 1366, 012022. [Google Scholar] [CrossRef]
- Zainal, N.A.; Nazar, R.; Naganthran, K.; Pop, I. MHD mixed convection stagnation point flow of a hybrid nanofluid past a vertical flat plate with convective boundary condition. Chin. J. Phys. 2020, 66, 630–644. [Google Scholar] [CrossRef]
- Fatunmbi, E.O.; Okoya, S.S.; Makinde, O.D. Convective Heat Transfer Analysis of Hydromagnetic Micropolar Fluid Flow Past an Inclined Nonlinear Stretching Sheet with Variable Thermo-Physical Properties. Diffus. Found. 2020, 26, 63–77. [Google Scholar] [CrossRef]
- Munivenkatappa, U.; Shankar, S.; Nagendra, V.B.; Samuel, N. Study on MHD flow over a stretching surface with convective boundary condition by numerical method. Biointerface Res. Appl. Chem. 2022, 12, 6437–6446. [Google Scholar]
- Shen, M.; Wang, F.; Chen, H. MHD mixed convection slip flow near a stagnation-point on a nonlinearly vertical stretching sheet. Bound. Value Probl. 2015, 2015, 78. [Google Scholar] [CrossRef]
- Tiwari, R.K.; Das, M.K. Heat transfer augmentation in a two-sided lid-driven differentially heated square cavity utilizing nanofluids. Int. J. Heat Mass Transf. 2007, 50, 2002–2018. [Google Scholar] [CrossRef]
- Merkin, J.H. On dual solutions occurring in mixed convection in a porous medium. J. Eng. Math. 1986, 20, 171–179. [Google Scholar] [CrossRef]
- Weidman, P.; Turner, M. Stagnation-point flows with stretching surfaces: A unified formulation and new results. Eur. J. Mech.-B/Fluids 2017, 61, 144–153. [Google Scholar] [CrossRef]
- Pang, C.; Jung, J.-Y.; Kang, Y.T. Aggregation based model for heat conduction mechanism in nanofluids. Int. J. Heat Mass Transf. 2014, 72, 392–399. [Google Scholar] [CrossRef]
- Ebrahimi, A.; Rikhtegar, F.; Sabaghan, A.; Roohi, E. Heat transfer and entropy generation in a microchannel with longitudinal vortex generators using nanofluids. Energy 2016, 101, 190–201. [Google Scholar] [CrossRef]
- Lund, L.A.; Omar, Z.; Raza, J.; Khan, I. Magnetohydrodynamic flow of Cu–Fe3O4/H2O hybrid nanofluid with effect of viscous dissipation: Dual similarity solutions. J. Therm. Anal. Calorim. 2021, 143, 915–927. [Google Scholar] [CrossRef]
- Oztop, H.F.; Abu-Nada, E. Numerical study of natural convection in partially heated rectangular enclosures filled with nanofluids. Int. J. Heat Fluid Flow 2008, 29, 1326–1336. [Google Scholar] [CrossRef]
- Nazar, R.; Jaradat, M.; Arifin, N.; Pop, I. Stagnation-point flow past a shrinking sheet in a nanofluid. Open Phys. 2011, 9, 1195–1202. [Google Scholar] [CrossRef]





















| Properties | Nanofluid | Hybrid Nanofluid |
|---|---|---|
| Viscosity | ||
| Density | ||
| Electrical Conductivity | where | |
| Thermal Diffusivity | ||
| Thermal Expansion Coefficient | ||
| Heat Capacity | ||
| Thermal Conductivity |
| Thermophysical Properties | |||
|---|---|---|---|
| 670 | 700 | 4179 | |
| 5180 | 4907 | 997.1 | |
| 9.7 | 3.7 | 0.613 | |
| 0.5 | 1.3 | 21 | |
| Nazar et al. [76] | Jamaludin et al. [8] | Present Result | Nazar et al. [76] | Jamaludin et al. [8] | Present Result | |
|---|---|---|---|---|---|---|
| −1.1 | 1.54239 (0.06399) | 1.54239 (0.06399) | 1.542389 (0.063985) | −0.06258 (−3.69342) | −0.06258 (−3.69356) | −0.062582 (−3.693556) |
| −1.15 | 1.40663 (0.15168) | 1.40663 (0.15168) | 1.406631 (0.151684) | −0.18285 (−2.41407) | −0.18287 (−2.41407) | −0.182867 (−2.414073) |
| −1.2 | 1.21198 (0.30369) | 1.21198 (0.30369) | 1.211984 (0.303686) | −0.35356 (−1.65139) | −0.35359 (−1.65140) | −0.353586 (−1.651395) |
| 3 | 5.130316 | 5.49515 | 5.862622 |
| 2 | 5.092475 | 5.45530 | 5.820690 |
| 1 | 5.054645 | 5.41547 | 5.778787 |
| −1 | 4.979006 | 5.335855 | 5.695051 |
| −2 | 4.941192 | 5.296066 | 5.653213 |
| −3 | 4.903377 | 5.256285 | 5.611391 |
| 3 | 0.154154 | 0.151289 | 0.148388 |
| 2 | 0.154311 | 0.151457 | 0.148567 |
| 1 | 0.154467 | 0.151624 | 0.148745 |
| −1 | 0.154777 | 0.151956 | 0.149100 |
| −2 | 0.154931 | 0.152121 | 0.149275 |
| −3 | 0.155084 | 0.152284 | 0.149450 |
| M | Bi | λ | γ1 | γ2 |
|---|---|---|---|---|
| 1 | 0.2 | −85 −85.1 −85.11 −85.111 | 0.4569 0.3345 0.3198 0.3183 | −0.4457 −0.3284 −0.3142 −0.3127 |
| 1 | 0.4 | −83 −83.9 −83.99 −83.999 | 1.0211 0.3653 0.2135 0.1920 | −0.9672 −0.3582 −0.2111 −0.1900 |
Disclaimer/Publisher’s Note: The statements, opinions and data contained in all publications are solely those of the individual author(s) and contributor(s) and not of MDPI and/or the editor(s). MDPI and/or the editor(s) disclaim responsibility for any injury to people or property resulting from any ideas, methods, instructions or products referred to in the content. |
© 2023 by the authors. Licensee MDPI, Basel, Switzerland. This article is an open access article distributed under the terms and conditions of the Creative Commons Attribution (CC BY) license (https://creativecommons.org/licenses/by/4.0/).
Share and Cite
Zainodin, S.; Jamaludin, A.; Nazar, R.; Pop, I. MHD Mixed Convection Flow of Hybrid Ferrofluid through Stagnation-Point over the Nonlinearly Moving Surface with Convective Boundary Condition, Viscous Dissipation, and Joule Heating Effects. Symmetry 2023, 15, 878. https://doi.org/10.3390/sym15040878
Zainodin S, Jamaludin A, Nazar R, Pop I. MHD Mixed Convection Flow of Hybrid Ferrofluid through Stagnation-Point over the Nonlinearly Moving Surface with Convective Boundary Condition, Viscous Dissipation, and Joule Heating Effects. Symmetry. 2023; 15(4):878. https://doi.org/10.3390/sym15040878
Chicago/Turabian StyleZainodin, Syafiq, Anuar Jamaludin, Roslinda Nazar, and Ioan Pop. 2023. "MHD Mixed Convection Flow of Hybrid Ferrofluid through Stagnation-Point over the Nonlinearly Moving Surface with Convective Boundary Condition, Viscous Dissipation, and Joule Heating Effects" Symmetry 15, no. 4: 878. https://doi.org/10.3390/sym15040878
APA StyleZainodin, S., Jamaludin, A., Nazar, R., & Pop, I. (2023). MHD Mixed Convection Flow of Hybrid Ferrofluid through Stagnation-Point over the Nonlinearly Moving Surface with Convective Boundary Condition, Viscous Dissipation, and Joule Heating Effects. Symmetry, 15(4), 878. https://doi.org/10.3390/sym15040878
