The Impact of Heat Source and Temperature Gradient on Brinkman–Bènard Triple-Diffusive Magneto-Marangoni Convection in a Two-Layer System
Abstract
1. Introduction
2. Formulation of the Problem and Physical Model
3. Normal Mode Technique and Stability Analysis
4. Profiles and Thermal Marangoni Numbers
4.1. Velocity Profiles
4.2. Salinity Profiles
4.3. Temperature Profiles
4.3.1. Linear Model
4.3.2. Parabolic Model
4.3.3. Inverted Parabolic Model
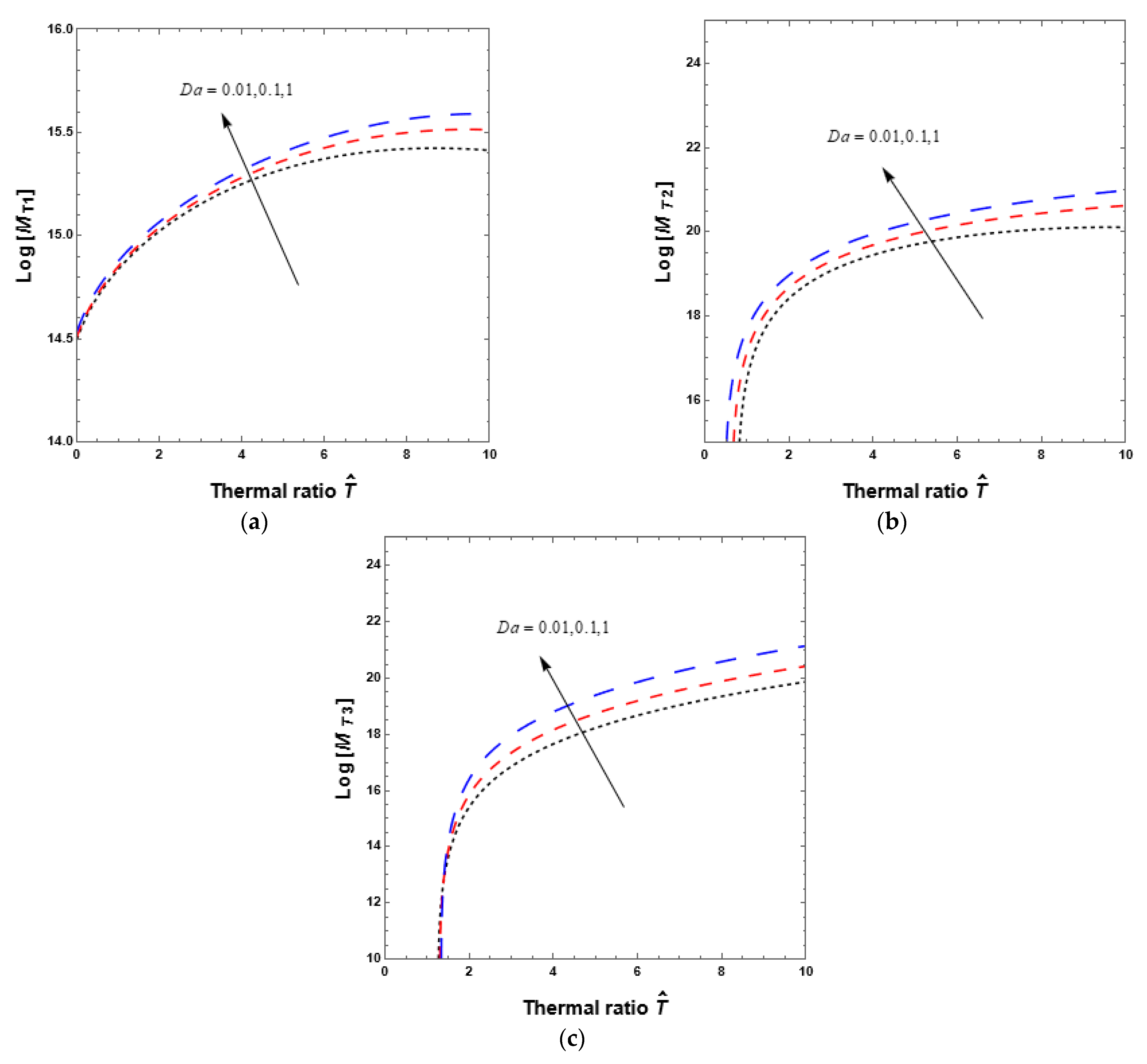
5. Results and Discussion
6. Conclusions
- ➢
- The inverted parabolic TP on BBTDMM convection in a double layer is the most stable of all the three TPs, the linear TP is the most unstable one, and the parabolic TP is the moderate one.
- ➢
- The study’s pertinent physical parameters hold true for higher values of thermal ratios.
- ➢
- One can delay BBTDMM convection in two layers by raising the values of the modified internal Rayleigh number for the fluid layer and the solute Marangoni numbers, Darcy number, and viscosity ratio for the group of physical factors used in the study.
- ➢
- An applied magnetic field stabilizes the system by postponing BBTDMM convection.
- ➢
- The modified internal Rayleigh number for the porous region destabilizes the system. Higher values of the modified internal Rayleigh number for region II augment BBTDMM convection.
- ➢
- The destabilizing effects under conditions of normal gravity are more effective in the production of permanent magnetic materials. It is possible to create a high-quality permanent magnetic material by increasing the modified internal Rayleigh number for the porous medium.
- ➢
- The findings are in good agreement with earlier research articles.
Author Contributions
Funding
Data Availability Statement
Conflicts of Interest
References
- Ravi, S.K.; Singh, A.K.; Alawadhi, K.A. Effect of temperature dependent heat source/sink on free convective flow of a micropolar fluid between two vertical walls. Int. J. Energy Technol. 2011, 3, 1–8. [Google Scholar]
- Liu, I.-C.; Wang, H.-H.; Umavathi, J.C. Effect of viscous dissipation, internal heat source/sink, and thermal radiation on a hydromagnetic liquid film over an unsteady stretching sheet. J. Heat Transf. 2013, 135, 031701. [Google Scholar] [CrossRef]
- Srinivasacharya, D.; Surender, O. Non-Darcy mixed convection in a doubly stratified porous medium with Soret-Dufour effects. Int. J. Eng. Math. 2014, 2014, 126218. [Google Scholar] [CrossRef]
- Dessie, H.; Kishan, N. MHD effects on heat transfer over stretching sheet embedded in porous medium with variable viscosity, viscous dissipation and heat source/sink. Ain Shams Eng. J. 2014, 5, 967–977. [Google Scholar] [CrossRef]
- Gireesha, B.J.; Mahanthesh, B.; Rashidi, M.M. MHD boundary layer heat and mass transfer of a chemically reacting Casson fluid over a permeable stretching surface with non-uniform heat source/sink. Int. J. Ind. Math. 2015, 7, 247–260. [Google Scholar]
- Hayat, T.; Awais, M.; Imtiaz, A. Heat source/sink in a magneto-hydrodynamic non-Newtonian fluid flow in a porous medium: Dual solutions. PLoS ONE 2016, 11, e0162205. [Google Scholar] [CrossRef]
- Mabood, F.; Ibrahim, S.M.; Rashidi, M.M.; Shadloo, M.S.; Lorenzini, G. Non-uniform heat source/sink and Soret effects on MHD non-Darcian convective flow past a stretching sheet in a micropolar fluid with radiation. Int. J. Heat Mass Transf. 2016, 93, 674–682. [Google Scholar] [CrossRef]
- Oni, M.O. Combined effect of heat source, porosity and thermal radiation on mixed convection flow in a vertical annulus: An exact solution. Eng. Sci. Tech. Int. J. 2017, 20, 518–527. [Google Scholar] [CrossRef]
- Hakeem, A.K.A.; Ganga, B.; Ansari, S.M.Y.; Ganesh, N.V.; Rahman, M.M. Nonlinear studies on the effect of non-uniform heat generation/absorption on hydromagnetic flow of nanofluid over a vertical plate. Nonlinear Anal. Model. Control 2017, 22, 1–16. [Google Scholar]
- Venkateswara Raju, K.; Reddy, S.R.R.; Bala Anki Reddy, P. Effects of viscous dissipation and non-uniform heat source/sink on Casson fluid flow over an unsteady inclined permeable stretching surface. Int. J. Sci. Res. Math. Stat. Sci. 2018, 5, 130–136. [Google Scholar]
- Khan, Z.; Rasheed, H.U.; Alkanhal, T.A.; Ullah, M.; Khan, I.; Tlili, I. Effect of magnetic field and heat source on Upper-convected-Maxwell fluid in a porous channel. Open Phys. 2018, 16, 917–928. [Google Scholar] [CrossRef]
- Melathil, G.; Pranesh, S.; Tarannum, S. Effects of magnetic field and internal heat generation on triple diffusive convection in an Oldroyd-B liquid. Int. J. Res. Advent Technol. 2019, 7, 154–163. [Google Scholar] [CrossRef]
- Archana, M.; Gireesha, B.J.; Prasannakumara, B.C. Triple diffusive flow of Casson nanofluid with buoyancy forces and nonlinear thermal radiation over a horizontal plate. Arch. Thermodyn. 2019, 40, 49–69. [Google Scholar]
- Rana, P.; Agarwal, S.; Bhardwaj, A. Triple diffusive convection study of a binary nanofluid saturated rotating porous layer under the influence of magnetic field. Int. J. Comput. Methods Eng. Sci. Mech. 2019, 20, 395–403. [Google Scholar] [CrossRef]
- Manjunatha, N.; Sumithra, R. Effects of non-uniform temperature gradients on triple diffusive surface tension driven magneto convection in a composite layer. Univers. J. Mech. Eng. 2019, 7, 398–410. [Google Scholar]
- Taiwo, Y.S.; Gambo, D.; Olaife, A.H. Effect of heat source/sink on MHD start-up natural convective flow in an annulus with isothermal and isoflux boundaries. Arab J. Basic Appl. Sci. 2020, 27, 365–374. [Google Scholar] [CrossRef]
- Jha, B.K.; Samaila, G. Impact of temperature dependent heat source on MHD natural convection flow between two vertical plates filled with nanofluid with induced magnetic field effect. Arab J. Basic Appl. Sci. 2020, 27, 299–312. [Google Scholar] [CrossRef]
- Thumma, T.; Mishra, S.R. Effect of nonuniform heat source/sink, and viscous and Joule dissipation on 3D Eyring–Powell nanofluid flow over a stretching sheet. J. Comput. Des. Eng. 2020, 7, 412–426. [Google Scholar] [CrossRef]
- Dwivedi, N.; Singh, A.K. Transient free convective hydromagnetic flow in an infinite vertical cylinder with Hall current and heat source/sink. Heat Transf. 2020, 49, 4091–4108. [Google Scholar] [CrossRef]
- Singh, A.K. Role of heat source/sink in transient free convective flow through a vertical cylinder filled with a permeable medium: An analytical approach. Heat Transf. 2021, 50, 3154–3175. [Google Scholar]
- Singh, A.K.; Chandran, P.; Sacheti, N.C. Effect of Newtonian heating/cooling on free convection in an annular permeable region in the presence of heat source/sink. Heat Transf. 2021, 50, 712–732. [Google Scholar]
- Rudziva, M.; Sibanda, P.; Noreldin OA, I.; Goqo, S. On trigonometric cosine, square, sawtooth, and triangular wave-type rotational modulations on triple-diffusive convection in salted water. Heat Transf. 2021, 50, 6886–6914. [Google Scholar] [CrossRef]
- Pranesh, S.; Siddheshwar, P.G.; Zhao, Y.; Mathew, A. Linear and nonlinear triple diffusive convection in the presence of sinusoidal/non-sinusoidal gravity modulation: A comparative study. Mech. Res. Commun. 2021, 113, 103694. [Google Scholar] [CrossRef]
- Nagendramma, V.; Durgaprasad, P.; Sivakumar, N.; Rao, B.M.; Raju, C.S.K.; Shah, N.A.; Yook, S.J. Dynamics of triple diffusive free convective MHD fluid flow: Lie group transformation. Mathematics 2022, 10, 2456. [Google Scholar] [CrossRef]
- Zainodin, S.; Jamaludin, A.; Nazar, R.; Pop, I. MHD mixed convection of hybrid ferrofluid flow over an exponentially stretching/shrinking surface with heat source/sink and velocity slip. Mathematics 2022, 10, 4400. [Google Scholar] [CrossRef]
- Lakshmi Devi, G.; Niranjan, H. The novelty of thermo-diffusion and diffusion-thermo, slip, temperature and concentra-tion boundary conditions on magneto–chemically reactive fluid flow past a vertical plate with radiation. Symmetry 2022, 14, 1496. [Google Scholar] [CrossRef]
- Kune, R.; Naik, H.S.; Reddy, B.S.; Chesneau, C. Role of nanoparticles and heat source/sink on MHD flow of Cu-H2O nanofluid flow past a vertical plate with Soret and Dufour effects. Math. Comput. Appl. 2022, 27, 102. [Google Scholar] [CrossRef]
- Kaleem, M.M.; Usman, M.; Asjad, M.I.; Eldin, S.M. magnetic field, variable thermal conductivity, thermal radiation, and viscous dissipation effect on heat and momentum of fractional Oldroyd-B bio nano-fluid within a channel. Fractal Fract. 2022, 6, 712. [Google Scholar] [CrossRef]
- Khan, U.; Zaib, A.; Ishak, A.; Alotaibi, A.M.; Eldin, S.M.; Akkurt, N.; Waini, I.; Madhukesh, J.K. Stability analysis of buoyancy magneto flow of hybrid nanofluid through a stretchable/shrinkable vertical sheet induced by a micropolar fluid subject to nonlinear heat sink/source. Magnetochemistry 2022, 8, 188. [Google Scholar] [CrossRef]
- Khan, Y.; Akram, S.; Razia, A.; Hussain, A.; Alsulaimani, H.A. Effects of double diffusive convection and inclined magnetic field on the peristaltic flow of fourth grade nanofluids in a non-uniform channel. Nanomaterials 2022, 12, 3037. [Google Scholar] [CrossRef]
- Rafeek, K.V.M.; Reddy, G.J.; Ragoju, R.; Reddy, G.S.K.; Sheremet, M.A. Impact of throughflow and coriolis force on the onset of double-diffusive convection with internal heat source. Coatings 2022, 12, 1096. [Google Scholar] [CrossRef]
- Corcione, M.; Quintino, A. Double-diffusive effects on the onset of Rayleigh-Bènard convection of water-based nanofluids. Appl. Sci. 2022, 12, 8485. [Google Scholar] [CrossRef]
- Liu, C.; Knobloch, E. Single-mode solutions for convection and double-diffusive convection in porous media. Fluids 2022, 7, 373. [Google Scholar] [CrossRef]
- Manjunatha, N.; Sumithra, R. Effects of heat source/sink on Darcian-Bènard-Magneto-Marangoni convection in a composite layer subjected to non-uniform temperature gradients. TWMS J. Appl. Eng. Math. 2022, 12, 669–684. [Google Scholar]
- Manjunatha, N.; Sumithra, R.; Vanishree, R.K. Influence of constant heat source/sink on non-Darcian-Bènard double diffusive Marangoni convection in a composite layer system. JAMI J. Appl. Math. Inform. 2022, 40, 99–115. [Google Scholar]
- Barna, I.F.; Bognár, G.; Mátyás, L.; Hriczó, K. Self-similar analysis of the time-dependent compressible and incompressible boundary layers including heat conduction. J. Therm. Anal. Calorim. 2022, 147, 13625–13632. [Google Scholar] [CrossRef]
- Barna, I.F.; Mátyás, L. Analytic self-similar solutions of the Oberbeck-Boussinesq equation. Chaos Solitons Fractals 2015, 78, 249–255. [Google Scholar] [CrossRef]
- Shivakumara, I.S.; Rudraiah, N.; Nanjundappa, C.E. Effect of non-uniform basic temperature gradient on Rayleigh-Benard-Marangoni convection in ferrofluids. J. Magn. Magn. Mater. 2002, 248, 379–395. [Google Scholar] [CrossRef]
- Shiva kumara, I.S.; Suma, S.P.; Chavaraddi, K.B. Onset of surface tension driven convection in superposed layers of fluid and saturated porous medium. Arch. Mech. 2006, 58, 71–92. [Google Scholar]
- Shivakumara, I.S.; Sureshkumar, S.; Devaraju, N. Effect of non-uniform temperature gradients on the onset of convection in a couple-stress fluid-saturated porous medium. J. Appl. Fluid Mech. 2012, 5, 49–55. [Google Scholar] [CrossRef]
- Sparrow, E.M.; Goldstein, R.J.; Jonson, V.K. Thermal instability in a horizontal fluid layer effect of boundary conditions and non-linear temperature profile. J. Fluid. Mech 1964, 18, 513. [Google Scholar] [CrossRef]








| Profiles | Region I | Region II |
|---|---|---|
| Linear profile | ||
| Parabolic profile | ||
| Inverted parabolic profile |
Disclaimer/Publisher’s Note: The statements, opinions and data contained in all publications are solely those of the individual author(s) and contributor(s) and not of MDPI and/or the editor(s). MDPI and/or the editor(s) disclaim responsibility for any injury to people or property resulting from any ideas, methods, instructions or products referred to in the content. |
© 2023 by the authors. Licensee MDPI, Basel, Switzerland. This article is an open access article distributed under the terms and conditions of the Creative Commons Attribution (CC BY) license (https://creativecommons.org/licenses/by/4.0/).
Share and Cite
Yellamma; Narayanappa, M.; Udhayakumar, R.; Almarri, B.; Ramakrishna, S.; Elshenhab, A.M. The Impact of Heat Source and Temperature Gradient on Brinkman–Bènard Triple-Diffusive Magneto-Marangoni Convection in a Two-Layer System. Symmetry 2023, 15, 644. https://doi.org/10.3390/sym15030644
Yellamma, Narayanappa M, Udhayakumar R, Almarri B, Ramakrishna S, Elshenhab AM. The Impact of Heat Source and Temperature Gradient on Brinkman–Bènard Triple-Diffusive Magneto-Marangoni Convection in a Two-Layer System. Symmetry. 2023; 15(3):644. https://doi.org/10.3390/sym15030644
Chicago/Turabian StyleYellamma, Manjunatha Narayanappa, Ramalingam Udhayakumar, Barakah Almarri, Sumithra Ramakrishna, and Ahmed M. Elshenhab. 2023. "The Impact of Heat Source and Temperature Gradient on Brinkman–Bènard Triple-Diffusive Magneto-Marangoni Convection in a Two-Layer System" Symmetry 15, no. 3: 644. https://doi.org/10.3390/sym15030644
APA StyleYellamma, Narayanappa, M., Udhayakumar, R., Almarri, B., Ramakrishna, S., & Elshenhab, A. M. (2023). The Impact of Heat Source and Temperature Gradient on Brinkman–Bènard Triple-Diffusive Magneto-Marangoni Convection in a Two-Layer System. Symmetry, 15(3), 644. https://doi.org/10.3390/sym15030644

