Simulation Studies of Track-Based Analysis of Charged Particles in Symmetric Hadron–Hadron Collisions at 7 TeV
Abstract
1. Introduction
2. The Method and Models
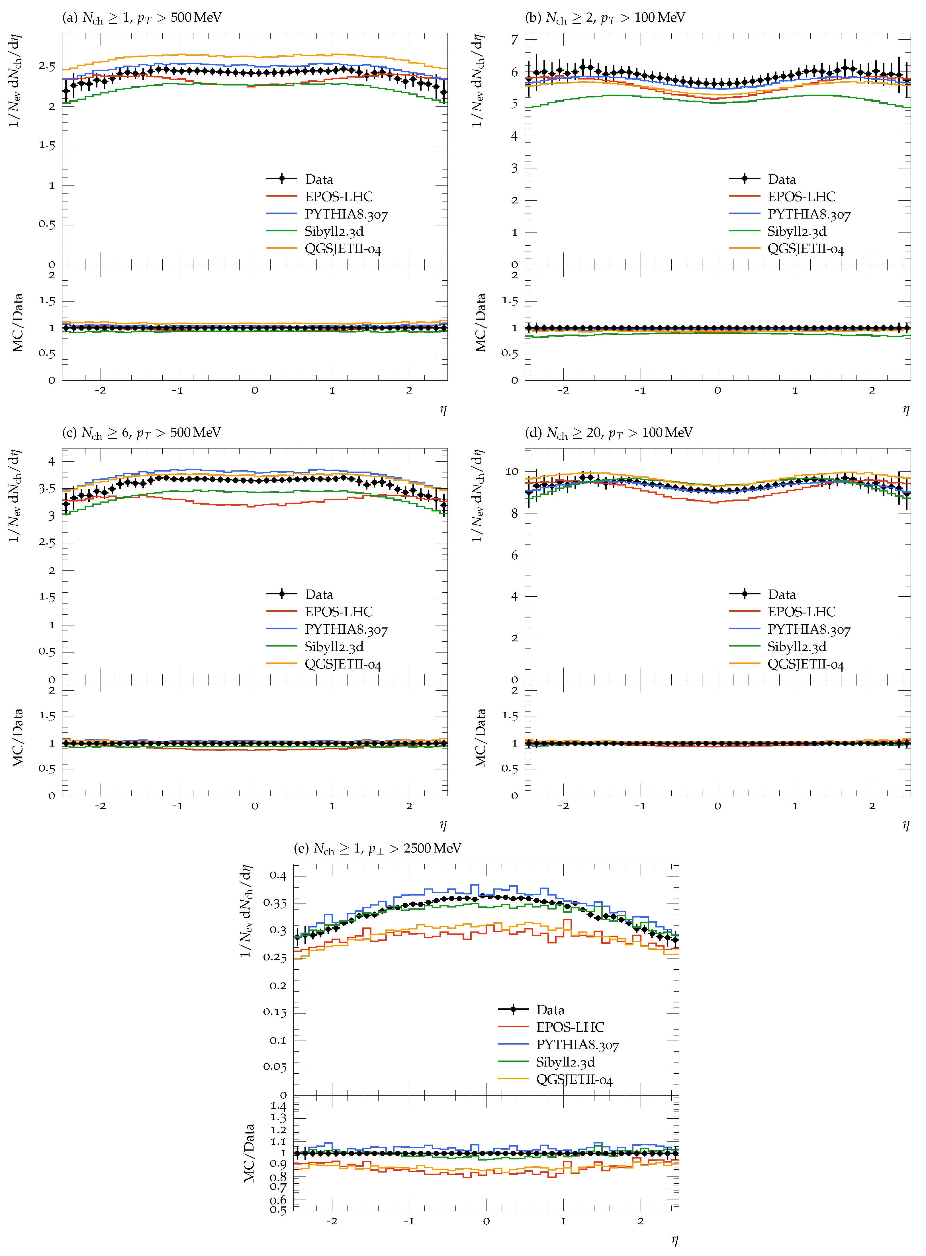
- The EPOS model is a multi-scattering quantum mechanical approach using the off-shell remnants of partons and their ladders’ splitting [23]. It is a well-known MC package that simulates the interactions of hadrons and nuclei to reproduce high-energy cosmic ray showers. The Reggie–Gribov’s theory [29] is the model base, and the Pomerons’ swap describe the interactions in hard, semi-hard, or soft scatterings. The particle production process in EPOS assumes two kinds of sources: remnant decays and cut Pomerons [30]. To account for the energies of the LHC, the model was recently updated to a newer version named EPOS-LHC [23], which covers all the minimum-bias results for the particle production in the range from 0 to several GeV/c. Lastly, different parameters to incorporate the flow effects have been proposed for high multiplicity collisions in small volumes and heavy-ion collisions in large volumes. The EPOS-LHC version is used in the presented simulation in this analysis, but we used EPOS throughout the paper for simplicity.
- PYTHIA8 is an MC event generator based on partons’ interactions that produce showers. The model uses the Lund string fragmentation model for hadronization [31]. It is widely used in particle collision at high energy, mainly emphasizing the interaction [24]. The events of collisions are represented by different processes such as diffractive, elastic, electroweak, hard, and soft QCD scattering, and top quark production. The EPOS model also includes the Higgs mechanism within and beyond the standard model, as well as supersymmetry and the implementation of the hidden valley, and incorporates several models on dark matter. Several other exotic processes are also added to the PYTHIA8 model described in [26]. The model includes multiple parton interactions, final and initial state interactions, and beam remnants [25]. There is a possibility of three different modules for parton showers, where we used the simple/default model in our case. The Pythia8.307 version is used in this analysis, but for simplicity and consistency, we will use PYTHIA8 in the text throughout the manuscript.
- Sibyll is an event generator to simulate cosmic rays and describe hadronic high energy interactions. Sibyll uses a dual-parton model [32], mini-jet model [33,34], and Lund MC algorithm [35,36] to adopt the hadronization of particles. The DPM treats the soft interactions, while the Lund string fragmentation model is used for hard interactions. To determine the first point of the interaction in hadronic, semi-hadronic, and nuclear collisions, the Sibyll model uses a semi-superposition model. The exact cut-off value is used to separate hard and soft Pomeron in the EPOS model. In addition, Sibyll can be used to generate high-energy cosmic rays up to GeV. We used the last freely available version of the Sibyll model, Sibyll2.3d, but again, for convenience, only Sibyll will be used throughout the text.
- The QGSJET model uses Pomeron exchanges to represent a simple scattering process [28]. The model uses the Quark–Gluon Sting model [37] as a starting point, which in turn uses the Regge–Gribov theory. The model distinguishes between nonperturbative and perturbative (also termed as soft interactions and hard interactions, respectively) processes by a cut-off value. Nevertheless, both processes simultaneously contribute to the case of the QGSJET model. All soft interactions resulting in elastic scattering represent a pure nonperturbative parton cascade. In contrast, exchanging two soft Pomerons produces a “semi-hard” Pomeron merged by a parton-ladder [38]. The semi-hard Pomeron’s contribution exceeds the soft ones at high energies, resulting in many such scatterings.
3. Results and Discussions
Simulation and Data Comparison
4. Summary and Conclusions
Author Contributions
Funding
Institutional Review Board Statement
Informed Consent Statement
Data Availability Statement
Acknowledgments
Conflicts of Interest
Abbreviations
| Transverse momentum | |
| Kinetic freeze-out temperature | |
| Effective temperature | |
| Transverse flow velocity | |
| Average transverse flow velocity | |
| MC | Monte Carlo | 
| LHC | Large Hadron Collider | 
| Number of charged particles | 
References
- Bocquet, G.; Norton, A.; Wang, H.Q.; Karimaki, V.; Kinnunen, R.; Pimia, M.; Tuominiemi, J.; Albajar, C.; Revol, J.P.; Sphicas, P.; et al. Inclusive production of strange particles in pp collisions at s = 630 GeV with UA1. Phys. Lett. B 1996, 366, 441–446. [Google Scholar] [CrossRef]
- Hagedorn, R. Multiplicities, pT distributions and the expected hadron –> quark-gluon phase transition. Riv. Nuovo Cim. 1983, 6, 1–50. [Google Scholar] [CrossRef]
- Ansorge, R.; Åsman, B.; Booth, C.N.; Burow, L.; Carlson, P.; Dewolf, R.S.; Eckart, B.; Ekspong, G.; Fuglesang, C.; Gaudaen, J.; et al. Kaon production at 200 and 900 GeV cm energy. Phys. Lett. B 1987, 199, 311–316. [Google Scholar] [CrossRef]
- Ansorge, R.E.; Åsman, B.; Burow, L.; Carlson, P.; DeWolf, R.S.; Eckart, B.; Ekspong, G.; Fuglesang, C.; Gaudaen, J.; Geich-Gimbel, C.; et al. Hyperon production at 200 and 900 GeV c.m. Energy. Nucl. Phys. B 1989, 328, 36–58. [Google Scholar] [CrossRef]
- Tsallis, C. Possible generalization of Boltzmann-Gibbs statistics. J. Stat. Phys. 1988, 52, 479–487. [Google Scholar] [CrossRef]
- Tsallis, C.; Mendes, R.; Plastino, A.R. The role of constraints within generalized nonextensive statistics. Phys. A Stat. Mech. Appl. 1998, 261, 534–554. [Google Scholar] [CrossRef]
- Muller, B.; Nagle, J.L. Results from the relativistic heavy ion collider. Annu. Rev. Nucl. Part. Sci. 2006, 56, 93–135. [Google Scholar] [CrossRef]
- Gibney, E. How the revamped Large Hadron Collider will hunt for new physics. Nature 2022, 605, 604–607. [Google Scholar] [CrossRef]
- Aad, G.; Abat, E.; Abbott, B.; Abdallah, J.; Abdelalim, A.A.; Abdesselam, A.; Abdinov, O.; Abi, B.; Abolins, M.; Abramowicz, H.; et al. Charged-particle multiplicities in pp interactions at GeV measured with the ATLAS detector at the LHC. Phys. Lett. B 2010, 688, 21–42. [Google Scholar] [CrossRef]
- Khachatryan, V.; Sirunyan, A.M.; Tumasyan, A.; Adam, W.; Bergauer, T.; Dragicevic, M.; Ero, J.; Friedl, M.; Fruhwirth, R.; Ghete, V.M.; et al. Transverse-Momentum and Pseudorapidity Distributions of Charged Hadrons in pp Collisions at TeV. Phys. Rev. Lett. 2010, 105, 022002. [Google Scholar] [CrossRef]
- Ajaz, M.; Ashraf, M.U.; Waqas, M.; Yasin, Z.; Khubrani, A.M.; Hassan, S.; Ismail, A.H.; Li, L.L. Model studies of V0 production ratios in pp collisions at , and 7 TeV. Eur. Phys. J. Plus 2023, 138, 14. [Google Scholar] [CrossRef]
- Li, L.L.; Ajaz, M.; Atiq, A.; Atiq, M.; Waqas, M.; Ashraf, M.U.; Khubrani, A.M.; Adil Khan, M.; Yahia, I.S. Study of identified particle ratios using cosmic rays Monte-Carlo models in pp collisions at s = 0.9 and 7 TeV. Results Phys. 2022, 43, 106058. [Google Scholar] [CrossRef]
- Waqas, M.; Peng, G.X.; Ajaz, M.; Haj Ismail, A.; Dawi, E.A. Analyses of the collective properties of hadronic matter in Au-Au collisions at 54.4 GeV. Phys. Rev. D 2022, 106, 075009. [Google Scholar] [CrossRef]
- Ajaz, M.; Khubrani, A.M.; Waqas, M.; Yasin, Z.; Hassan, S.; Suleymanov, M.K. Study of charged particles in pp collisions at TeV. Eur. Phys. J. Plus 2022, 137, 1364. [Google Scholar] [CrossRef]
- Ajaz, M.; Waqas, M.; Khan, R.; Adil Khan, M.; Li, L.L.; Alrebdi, H.I.; Abdel-Aty, A.H. Inclusive Charged-Particle Kinematic Distributions at LHC Energies: Data versus Theory. Symmetry 2022, 14, 2401. [Google Scholar] [CrossRef]
- Welsh, T.; Loveland, W.; Yanez, R.; Barrett, J.S.; McCutchan, E.A.; Sonzogni, A.A.; Johnson, T.; Zhu, S.; Greene, J.P.; Ayangeakaa, A.D.; et al. Modeling multi-nucleon transfer in symmetric collisions of massive nuclei. Phys. Lett. B 2017, 771, 119–124. [Google Scholar] [CrossRef]
- Yang, P.P.; Duan, M.Y.; Liu, F.H.; Sahoo, R. Analysis of Identified Particle Transverse Momentum Spectra Produced in pp, p–Pb and Pb–Pb Collisions at the LHC Using TP-like Function. Symmetry 2022, 14, 1530. [Google Scholar] [CrossRef]
- Li, L.L.; Haj Ismail, A.A.K. Study of Bulk Properties of Strange Particles in Au+Au Collisions at GeV. Entropy 2022, 24, 1720. [Google Scholar] [CrossRef]
- Aamodt, K.; Abel, N.; Abeysekara, U.; Quintana, A.A.; Abramyan, A.; Adamova, D.; Aggarwal, M.M.; Rinella, G.A.; Agocs, A.G.; Salazar, S.A.; et al. Charged-particle multiplicity measurement in proton–proton collisions at TeV with ALICE at LHC. Eur. Phys. J. C 2010, 68, 345–354. [Google Scholar] [CrossRef]
- Haj Ismail, A. Monte Carlo simulation of the cosmic muon charge ratio. Kuwait J. Sci. 2022, 49, 1–8. [Google Scholar] [CrossRef]
- Aad, G.; Abbott, B.; Abdallah, J.; Abdelalim, A.A.; Abdesselam, A.; Abdinov, O.; Abi, B.; Abolins, M.; Abramowicz, H.; Abreu, H.; et al. Charged-particle multiplicities in pp interactions measured with the ATLAS detector at the LHC. New J. Phys. 2011, 13, 053033. [Google Scholar] [CrossRef]
- Aad, G.; Abat, E.; Abdallah, J.; Abdelalim, A.A.; Abdesselam, A.; Abdinov, O.; Abi, B.A.; Abolins, M.; Abramowicz, H.; Acerbi, E.; et al. The ATLAS Experiment at the CERN Large Hadron Collider. J. Instrum. 2008, 3, S08003. [Google Scholar] [CrossRef]
- Pierog, T.; Karpenko, I.; Katzy, J.M.; Yatsenko, E.; Werner, K. EPOS LHC: Test of collective hadronization with data measured at the CERN Large Hadron Collider. Phys. Rev. C 2015, 92, 034906. [Google Scholar] [CrossRef]
- Sjostrand, T.; Mrenna, S.; Skands, P.Z. PYTHIA 6.4 Physics and Manual. JHEP 2006, 5, 026. [Google Scholar] [CrossRef]
- Sjöstrand, T.; Ask, S.; Christiansen, J.R.; Corke, R.; Desai, N.; Ilten, P.; Mrenna, S.; Prestel, S.; Rasmussen, C.O.; Skands, P.Z. An introduction to PYTHIA 8.2. Comput. Phys. Commun. 2015, 191, 159–177. [Google Scholar] [CrossRef]
- Bierlich, C.; Chakraborty, S.; Desai, N.; Gellersen, L.; Helenius, I.; Ilten, P.; Lonnblad, L.; Mrenna, S.; Prestel, S.; Preuss, C.T.; et al. A comprehensive guide to the physics and usage of PYTHIA 8.3. arXiv 2022, arXiv:2203.11601. [Google Scholar] [CrossRef]
- Riehn, F.; Engel, R.; Fedynitch, A.; Gaisser, T.K.; Stanev, T. Hadronic interaction model Sibyll 2.3d and extensive air showers. Phys. Rev. D 2020, 102, 063002. [Google Scholar] [CrossRef]
- Ostapchenko, S. QGSJET-II: Towards reliable description of very high energy hadronic interactions. Nucl. Phys. B Proc. Suppl. 2006, 151, 143–146. [Google Scholar] [CrossRef]
- Drescher, H.; Hladik, M.; Ostapchenko, S.; Pierog, T.; Werner, K. Parton-based Gribov-Regge theory. Phys. Rep. 2001, 350, 93–289. [Google Scholar] [CrossRef]
- Pierog, T.; Werner, K. EPOS Model and Ultra High Energy Cosmic Rays. Nucl. Phys. B Proc. Suppl. 2009, 196, 102–105. [Google Scholar] [CrossRef]
- Andersson, B.; Gustafson, G.; Ingelman, G.; Sjöstrand, T. Parton fragmentation and string dynamics. Phys. Rep. 1983, 97, 31–145. [Google Scholar] [CrossRef]
- Fletcher, R.S.; Gaisser, T.K.; Lipari, P.; Stanev, T. sibyll: An event generator for simulation of high energy cosmic ray cascades. Phys. Rev. D 1994, 50, 5710–5731. [Google Scholar] [CrossRef] [PubMed]
- Pancheri, G.; Srivastava, Y. Jets in minimum bias physics. Phys. Lett. B 1985, 159, 69–75. [Google Scholar] [CrossRef]
- Pancheri, G.; Srivastava, Y. Low-pt jets and the rise with energy of the inelastic cross section. Phys. Lett. B 1986, 182, 199–207. [Google Scholar] [CrossRef]
- Bengtsson, H.U.; Sjöstrand, T. The Lund Monte Carlo for hadronic processes—PYTHIA version 4.8. Comput. Phys. Commun. 1987, 46, 43–82. [Google Scholar] [CrossRef]
- Sjöstrand, T. Status of fragmentation models. Int. J. Mod. Phys. A 1988, 3, 751–823. [Google Scholar] [CrossRef]
- Kaidalov, A.B.; Ter-Martirosian, K.A. Multiple Production of Hadrons at High-Energies in the Model of Quark-Gluon Strings. Sov. J. Nucl. Phys. 1984, 39, 979. [Google Scholar]
- Ostapchenko, S. Status of QGSJET. AIP Conf. Proc. 2007, 928, 118–125. [Google Scholar] [CrossRef]
- Sirunyan, A.M.; Tumasyan, A.; Adam, W.; Asilar, E.; Bergauer, T.; Brstetter, J.; Brondolin, E.; Dragicevic, M.; Erö, J.; Flechl, M.; et al. Measurement of charged pion, kaon, and proton production in proton-proton collisions at TeV. Phys. Rev. D 2017, 96, 112003. [Google Scholar] [CrossRef]
- Ajaz, M.; Ismail, A.A.K.H.; Ahmed, A.; Wazir, Z.; Shehzadi, R.; Younis, H.; Khan, G.; Khan, R.; Ali, S.; Waqas, M.; et al. Centrality dependence of PT distributions and nuclear modification factor of charged particles in Pb–Pb interactions at SNN = 2.76 TeV. Results Phys. 2021, 30, 104790. [Google Scholar] [CrossRef]
- Biro, T.S.; Purcsel, G.; Urmossy, K. Non-Extensive Approach to Quark Matter. Eur. Phys. J. A 2009, 40, 325–340. [Google Scholar] [CrossRef]
- Chatrchyan, S.; Khachatryan, V.; Sirunyan, A.M.; Tumasyan, A.; Adam, W.; Aguilo, E.; Bergauer, T.; Dragicevic, M.; Erö, M.; Fabjan, C.; et al. Study of the Inclusive Production of Charged Pions, Kaons, and Protons in pp Collisions at , 2.76, and 7 TeV. Eur. Phys. J. C 2012, 72, 2164. [Google Scholar] [CrossRef]
- Chatrchyan, S.; Khachatryan, V.; Sirunyan, A.M.; Tumasyan, A.; Adam, W.; Aguilo, E.; Bergauer, T.; Dragicevic, M.; Erö, J.; Fabjan, C.; et al. Observation of Long-Range Near-Side Angular Correlations in Proton-Proton Collisions at the LHC. JHEP 2010, 9, 091. [Google Scholar] [CrossRef]
- Chatrchyan, S.; Khachatryan, V.; Sirunyan, A.M.; Tumasyan, A.; Adam, W.; Bergauer, T.; Dragicevic, M.; Erö, J.; Fabjan, C.; Friedl, M.; et al. Study of the Production of Charged Pions, Kaons, and Protons in pPb Collisions at TeV. Eur. Phys. J. C 2014, 74, 2847. [Google Scholar] [CrossRef] [PubMed]
- Khandai, P.K.; Sett, P.; Shukla, P.; Singh, V. System size dependence of hadron pT spectra in p+p and Au+Au collisions at GeV. J. Phys. G 2014, 41, 025105. [Google Scholar] [CrossRef]
- Olimov, K.K.; Liu, F.H.; Musaev, K.A.; Olimov, K.; Shodmonov, M.Z.; Fedosimova, A.I.; Lebedev, I.A.; Kanokova, S.Z.; Tukhtaev, B.J.; Yuldashev, B.S. Study of midrapidity pt distributions of identified charged particles in Xe+Xe collisions at (snn)1/2 = 5.44 TeV using non-extensive Tsallis statistics with transverse flow. Mod. Phys. Lett. A 2022, 37, 2250095. [Google Scholar] [CrossRef]
- Ajaz, M.; Waqas, M.; Peng, G.; Yasin, Z.; Younis, H.; Ismail, A.A.K.H. Study of pT spectra of light particles using modified Hagedorn function and cosmic rays Monte Carlo event generators in proton-proton collisions at 900 GeV center of mass energy. Eur. Phys. J. Plus 2022, 137, 52. [Google Scholar] [CrossRef]
- Ajaz, M.; Haj Ismail, A.A.K.; Waqas, M.; Suleymanov, M.; AbdelKader, A.; Suleymanov, R. Pseudorapidity dependence of the bulk properties of hadronic medium in pp collisions at 7 TeV. Sci Rep 2022, 12, 8142. [Google Scholar] [CrossRef]
- Wang, Q.; Liu, F.H.; Olimov, K.K. Initial- and Final-State Temperatures of Emission Source from Differential Cross-Section in Squared Momentum Transfer in High-Energy Collisions. Adv. High Energy Phys. 2021, 2021, 6677885. [Google Scholar] [CrossRef]





| Figure | Type | /dof | /dof | |||||
|---|---|---|---|---|---|---|---|---|
| (GeV) | (c) | (GeV) | ||||||
| Data | 0.138 ± 0.01 | 6.4 ± 0.2 | 12.052/33 | 0.12 ± 0.06 | 0.101 ± 0.008 | 6.4 ± 0.2 | 12.443/32 | |
| EPOS-LHC | 0.134 ± 0.01 | 6.2 ± 0.2 | 33.979/33 | 0.12 ± 0.06 | 0.099 ± 0.008 | 6.2 ± 0.2 | 37.297/32 | |
| Figure 3a | PYTHIA8.307 | 0.145 ± 0.01 | 6.4 ± 0.2 | 26.594/33 | 0.12 ± 0.06 | 0.109 ± 0.008 | 6.4 ± 0.2 | 25.143/32 | 
| Sibyll2.3d | 0.125 ± 0.01 | 5.6 ± 0.2 | 103.796/33 | 0.12 ± 0.06 | 0.090 ± 0.008 | 5.6 ± 0.2 | 153.478/32 | |
| QGSJETII-04 | 0.151 ± 0.01 | 7.0 ± 0.2 | 221.407/33 | 0.12 ± 0.06 | 0.110 ± 0.008 | 6.9 ± 0.2 | 266.848/32 | |
| Data | 0.146 ± 0.01 | 6.4 ± 0.2 | 24.256/41 | 0.15 ± 0.06 | 0.101 ± 0.008 | 6.3 ± 0.2 | 22.227/40 | |
| EPOS-LHC | 0.145 ± 0.01 | 6.3 ± 0.2 | 139.942/41 | 0.15 ± 0.06 | 0.102 ± 0.008 | 6.3 ± 0.2 | 137.161/40 | |
| Figure 3b | PYTHIA8.307 | 0.158 ± 0.01 | 6.5 ± 0.2 | 92.206/41 | 0.14 ± 0.06 | 0.110 ± 0.008 | 6.4 ± 0.2 | 88.329/40 | 
| Sibyll2.3d | 0.150 ± 0.01 | 6.0 ± 0.2 | 230.685/41 | 0.14 ± 0.06 | 0.110 ± 0.008 | 6.0 ± 0.2 | 251.161/40 | |
| QGSJETII-04 | 0.170 ± 0.01 | 7.2 ± 0.3 | 221.959/41 | 0.14 ± 0.06 | 0.132 ± 0.008 | 7.2 ± 0.3 | 147.431/40 | |
| Data | 0.162 ± 0.01 | 6.5 ± 0.2 | 35.926/33 | 0.13 ± 0.06 | 0.122 ± 0.008 | 6.5 ± 0.2 | 33.346/32 | |
| EPOS-LHC | 0.147 ± 0.01 | 6.3 ± 0.2 | 68.705/33 | 0.11 ± 0.06 | 0.113 ± 0.008 | 6.3 ± 0.2 | 82.078/32 | |
| Figure 3c | PYTHIA8.307 | 0.160 ± 0.01 | 6.5 ± 0.2 | 25.926/33 | 0.11 ± 0.06 | 0.122 ± 0.008 | 6.5 ± 0.2 | 25.215/32 | 
| Sibyll2.3d | 0.142 ± 0.01 | 5.8 ± 0.2 | 88.605/33 | 0.11 ± 0.06 | 0.108 ± 0.008 | 5.8 ± 0.2 | 127.931/32 | |
| QGSJETII-04 | 0.167 ± 0.01 | 7.1 ± 0.3 | 76.731/33 | 0.11 ± 0.06 | 0.130 ± 0.008 | 7.1 ± 0.3 | 87.593/32 | |
| Data | 0.156 ± 0.01 | 6.6 ± 0.2 | 23.171/41 | 0.15 ± 0.06 | 0.111 ± 0.008 | 6.5 ± 0.2 | 28.566/40 | |
| EPOS-LHC | 0.150 ± 0.01 | 6.3 ± 0.2 | 169.631/41 | 0.14 ± 0.06 | 0.110 ± 0.008 | 6.3 ± 0.2 | 150.190/40 | |
| Figure 3d | PYTHIA8.307 | 0.165 ± 0.01 | 6.5 ± 0.2 | 59.013/41 | 0.14 ± 0.07 | 0.123 ± 0.008 | 6.5 ± 0.3 | 48.746/40 | 
| Sibyll2.3d | 0.155 ± 0.01 | 5.9 ± 0.2 | 204.494/41 | 0.14 ± 0.06 | 0.113 ± 0.008 | 5.9 ± 0.2 | 195.757/40 | |
| QGSJETII-04 | 0.164 ± 0.01 | 6.8 ± 0.2 | 226.862/41 | 0.14 ± 0.07 | 0.123 ± 0.008 | 6.8 ± 0.2 | 205.024/40 | |
| Data | 0.120 ± 0.01 | 6.4 ± 0.2 | 8.526/13 | 0.12 ± 0.07 | 0.094 ± 0.008 | 6.5 ± 0.2 | 6.841/12 | |
| EPOS-LHC | 0.122 ± 0.01 | 6.1 ± 0.2 | 4.573/13 | 0.10 ± 0.07 | 0.090 ± 0.008 | 6.1 ± 0.2 | 5.272/12 | |
| Figure 3e | PYTHIA8.307 | 0.122 ± 0.01 | 6.4 ± 0.2 | 2.646/13 | 0.11 ± 0.07 | 0.092 ± 0.008 | 6.4 ± 0.2 | 2.778/12 | 
| Sibyll2.3d | 0.107 ± 0.01 | 5.6 ± 0.2 | 11.510/13 | 0.10 ± 0.07 | 0.080 ± 0.008 | 5.6 ± 0.2 | 14.031/12 | |
| QGSJETII-04 | 0.128 ± 0.01 | 7.0 ± 0.2 | 12.894/13 | 0.10 ± 0.07 | 0.100 ± 0.008 | 7.0 ± 0.2 | 13.911/12 | 
| Disclaimer/Publisher’s Note: The statements, opinions and data contained in all publications are solely those of the individual author(s) and contributor(s) and not of MDPI and/or the editor(s). MDPI and/or the editor(s) disclaim responsibility for any injury to people or property resulting from any ideas, methods, instructions or products referred to in the content. | 
© 2023 by the authors. Licensee MDPI, Basel, Switzerland. This article is an open access article distributed under the terms and conditions of the Creative Commons Attribution (CC BY) license (https://creativecommons.org/licenses/by/4.0/).
Share and Cite
Ajaz, M.; Haj Ismail, A.A.K.; Alrebdi, H.I.; Abdel-Aty, A.-H.; Mian, M.U.; Khan, M.A.; Waqas, M.; Khubrani, A.M.; Wei, H.-R.; AbdelKader, A. Simulation Studies of Track-Based Analysis of Charged Particles in Symmetric Hadron–Hadron Collisions at 7 TeV. Symmetry 2023, 15, 618. https://doi.org/10.3390/sym15030618
Ajaz M, Haj Ismail AAK, Alrebdi HI, Abdel-Aty A-H, Mian MU, Khan MA, Waqas M, Khubrani AM, Wei H-R, AbdelKader A. Simulation Studies of Track-Based Analysis of Charged Particles in Symmetric Hadron–Hadron Collisions at 7 TeV. Symmetry. 2023; 15(3):618. https://doi.org/10.3390/sym15030618
Chicago/Turabian StyleAjaz, Muhammad, Abd Al Karim Haj Ismail, Haifa I. Alrebdi, Abdel-Haleem Abdel-Aty, Mateen Ullah Mian, Muhammad Adil Khan, Muhammad Waqas, Ahmed M. Khubrani, Hua-Rong Wei, and Atef AbdelKader. 2023. "Simulation Studies of Track-Based Analysis of Charged Particles in Symmetric Hadron–Hadron Collisions at 7 TeV" Symmetry 15, no. 3: 618. https://doi.org/10.3390/sym15030618
APA StyleAjaz, M., Haj Ismail, A. A. K., Alrebdi, H. I., Abdel-Aty, A.-H., Mian, M. U., Khan, M. A., Waqas, M., Khubrani, A. M., Wei, H.-R., & AbdelKader, A. (2023). Simulation Studies of Track-Based Analysis of Charged Particles in Symmetric Hadron–Hadron Collisions at 7 TeV. Symmetry, 15(3), 618. https://doi.org/10.3390/sym15030618
 
        





 
       