Joint Model for Estimating the Asymmetric Distribution of Medical Costs Based on a History Process
Abstract
:1. Introduction
2. Estimation Methods
2.1. Description of Models
2.2. Proposed Estimator for the Parameter
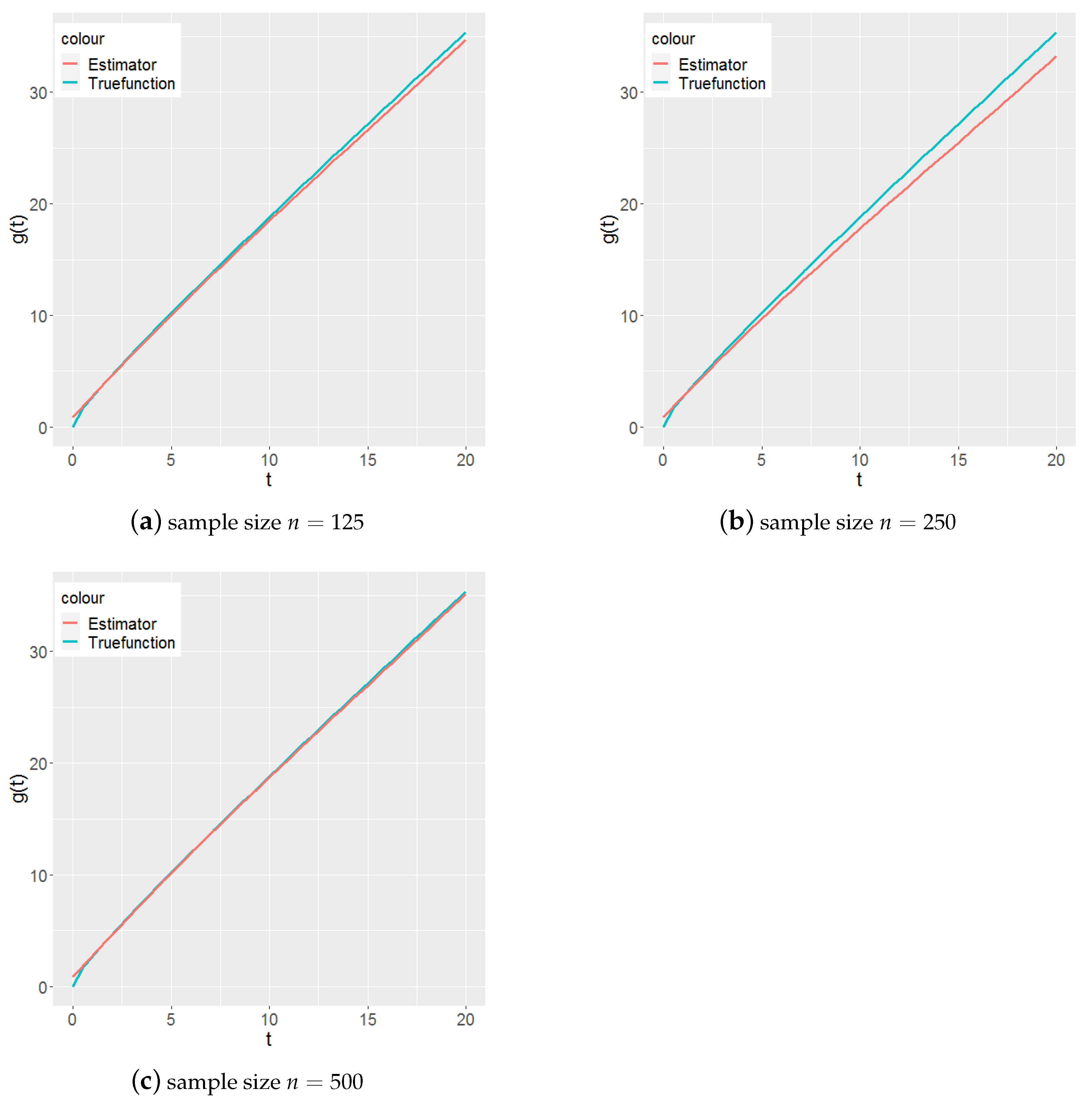
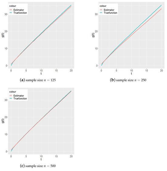
3. Simulation
| Algorithm 1: Estimation for the cumulative state function |
Input: The sample size n, the covariate , the true function , the true value of parameters , the censoring rate r. Process: Generate a random sample ; Generate a random sample ; Generate a random sample , where ; Generate a lifetime random sample with the hazards function ; Generate a random censoring sample ; Set ; Generate the response variables . Output: The estimated function , the estimated value of parameters , the bias and the std.err of parameters , the RASE of estimated function, the std.err of . Estimator: Give the estimation of parameters and the estimation of parameters in with the likelihood method. |
4. An Application to MADIT Data
- Hospitalization and emergency department visits;
- Outpatient tests and procedures;
- Physician/specialist visits;
- Community services;
- Medical supplies;
- Medication.
- ID code (from 1 to 181);
- Treatment code (1 for ICD and 0 for conventional);
- Observed survival time;
- Death indicator (1 for death, 0 for censored);
- Daily cost of the whole trial;
- Cost type 1–6 of patients at all observed time points.
5. Discussion
Author Contributions
Funding
Data Availability Statement
Conflicts of Interest
Appendix A
References
- Rizopoulos, D. Joint Models for Longitudinal and Time-to-Event Data: With Applications in R; CRC Press: Boca Raton, FL, USA, 2012. [Google Scholar]
- Kalbfleisch, J.D.; Prentice, R.L. The Statistical Analysis of Failure Time Data; John Wiley & Sons: Hoboken, NJ, USA, 2011. [Google Scholar]
- Lagakos, S.W. General Right Censoring and Its Impact on the Analysis of Survival Data. Biometrics 1979, 35, 139–156. [Google Scholar] [CrossRef] [PubMed]
- Lin, D.Y.; Feuer, E.J.; Etzioni, R.; Wax, Y. Estimating Medical Costs from Incomplete Follow-Up Data. Biometrics 1997, 53, 419–434. [Google Scholar] [CrossRef] [PubMed]
- Huang, Y.; Lovato, L. Tests for lifetime utility or cost via calibrating survival time. Stat. Sin. 2002, 12, 707–723. [Google Scholar]
- Bang, H.; Tsiatis, A. Estimating medical costs with censored data. Biometrika 2000, 87, 329–343. [Google Scholar] [CrossRef]
- Zhao, H.; Tsiatis, A.A. Estimating Mean Quality Adjusted Lifetime with Censored Data. Sankhyā Indian J. Stat. Ser. 2000, 62, 175–188. [Google Scholar]
- Zhao, H.; Tian, L. On Estimating Medical Cost and Incremental Cost-Effectiveness Ratios with Censored Data. Biometrics 2001, 57, 1002–1008. [Google Scholar] [CrossRef] [PubMed]
- Korn, E.L. On estimating the distribution function for quality of life in cancer clinical trials. Biometrika 1993, 80, 535–542. [Google Scholar] [CrossRef]
- Strawderman, R.L. Estimating the Mean of an Increasing Stochastic Process at a Censored Stopping Time. J. Am. Stat. Assoc. 2000, 95, 1192–1208. [Google Scholar] [CrossRef]
- Fang, H.B.; Wang, J.; Deng, D.; Tang, M.L. Estimating the mean of a mark variable under right censoring on the basis of a state function. Comput. Stat. Data Anal. 2011, 55, 1726–1735. [Google Scholar] [CrossRef]
- Liu, L.; Wolfe, R.A.; Kalbfleisch, J.D. A shared random effects model for censored medical costs and mortality. Stat. Med. 2007, 26, 139–155. [Google Scholar] [CrossRef] [PubMed]
- Deng, D. Estimating the cumulative mean function for history process with time-dependent covariates and censoring mechanism: Estimating the cumulative mean function for history process. Stat. Med. 2016, 35, 4624–4636. [Google Scholar] [CrossRef] [PubMed]
- Zhao, X.; Tong, X.; Sun, L. Joint analysis of longitudinal data with dependent observation times. Stat. Sin. 2012, 22, 317–336. [Google Scholar] [CrossRef]
- Li, C.; Xiao, L.; Luo, S. Joint model for survival and multivariate sparse functional data with application to a study of Alzheimer’s Disease. Biometrics 2022, 78, 435–447. [Google Scholar] [CrossRef] [PubMed]
- Do, H.; Nandi, S.; Putzel, P.; Smyth, P.; Zhong, J. A Joint Fairness Model with Applications to Risk Predictions for Under-represented Populations. Biometrics 2022, 79, 826–840. [Google Scholar] [CrossRef] [PubMed]
- Tang, A.M.; Peng, C.; Tang, N. Semiparametric normal transformation joint model of multivariate longitudinal and bivariate time-to-event data. Stat. Med. 2023, 42, 5491–5512. [Google Scholar] [CrossRef]
- Xu, C.; Baines, P.D.; Wang, J.L. Standard error estimation using the EM algorithm for the joint modeling of survival and longitudinal data. Biostatistics 2014, 15, 731–744. [Google Scholar] [CrossRef]
- Zeng, D.; Cai, J. Asymptotic Results for Maximum Likelihood Estimators in Joint Analysis of Repeated Measurements and Survival Time. Ann. Stat. 2005, 33, 2132–2163. [Google Scholar] [CrossRef]
- Phadia, E.G.; Ryzin, J.V. A Note on Convergence Rates for the Product Limit Estimator. Ann. Stat. 1980, 8, 673–678. [Google Scholar] [CrossRef]








| n = 125 | n = 250 | n = 500 | |||||
|---|---|---|---|---|---|---|---|
| Parameter | True | Bias | Std. Err. | Bias | Std. Err. | Bias | Std. Err. |
| −0.9 | −0.0250 | 0.0459 | 0.0164 | 0.0634 | 0.0100 | 0.0387 | |
| 0.25 | 0.0058 | 0.0477 | 0.0161 | 0.0769 | 0.0321 | 0.0493 | |
| 1.0 | 0.1550 | 0.3130 | 0.0824 | 0.1460 | 0.0429 | 0.1560 | |
| n = 125 | n = 250 | n = 500 | |||||
|---|---|---|---|---|---|---|---|
| Parameter | True | Bias | Std. Err. | Bias | Std. Err. | Bias | Std. Err. |
| −0.9 | −0.0209 | 0.0226 | 0.0022 | 0.0353 | 0.0121 | 0.0121 | |
| 0.5 | 0.0148 | 0.0164 | 0.0191 | 0.0111 | 0.0187 | 0.0085 | |
| 1.0 | 0.0193 | 0.3600 | 0.0265 | 0.2280 | 0.0610 | 0.1670 | |
| n = 125 | n = 250 | n = 500 | |
|---|---|---|---|
| RASE | 0.4195809 | 0.141695 | 0.133229 |
| 0.1100 | 0.2180 | 0.0547 | |
| 0.0422 | 0.0714 | 0.0216 | |
| 0.0486 | 0.0934 | 0.0255 | |
| 0.0164 | 0.0315 | 0.0087 |
| n = 125 | n = 250 | n = 500 | |
|---|---|---|---|
| RASE | 0.1743747 | 0.1637406 | 0.1599371 |
| 0.1380 | 0.0808 | 0.0577 | |
| 0.0548 | 0.1430 | 0.0216 | |
| 0.0580 | 0.0668 | 0.0262 | |
| 0.0234 | 0.0953 | 0.0259 |
| Parameter | Value | Std. Err. | p-Value |
|---|---|---|---|
| Type 1 | 4.1596 | 0.0203 | <0.0001 |
| Type 2 | 1.2453 | 0.0605 | <0.0001 |
| Type 3 | 0.5954 | 0.0138 | <0.0001 |
| Type 4 | 0.2598 | 0.0276 | <0.0001 |
| Type 5 | −0.3873 | 0.0725 | <0.0001 |
| Type 6 | 1.2308 | 0.0517 | <0.0001 |
| Parameter | Value | Std. Err. | p-Value |
|---|---|---|---|
| 4.9650 | 0.0796 | <0.0001 | |
| −0.0237 | 0.0017 | <0.0001 | |
| 0.0037 | 0.0002 | <0.0001 | |
| −0.0002 | 0.0000 | <0.0001 |
| Parameter | Value | Std. Err. | p-Value |
|---|---|---|---|
| Treatment | −1.1999 | 0.3369 | 0.0004 |
| Association | 0.2499 | 0.1776 | 0.1594 |
| Year 1 | Year 2 | Year 3 | Year 4 | Year 5 | Total |
|---|---|---|---|---|---|
| 23,256.29 | 44,811.79 | 68,177.86 | 97,343.17 | 120,904.7 | 121,210.8 |
Disclaimer/Publisher’s Note: The statements, opinions and data contained in all publications are solely those of the individual author(s) and contributor(s) and not of MDPI and/or the editor(s). MDPI and/or the editor(s) disclaim responsibility for any injury to people or property resulting from any ideas, methods, instructions or products referred to in the content. |
© 2023 by the authors. Licensee MDPI, Basel, Switzerland. This article is an open access article distributed under the terms and conditions of the Creative Commons Attribution (CC BY) license (https://creativecommons.org/licenses/by/4.0/).
Share and Cite
Li, S.; Deng, D.; Han, Y.; Zhang, D. Joint Model for Estimating the Asymmetric Distribution of Medical Costs Based on a History Process. Symmetry 2023, 15, 2130. https://doi.org/10.3390/sym15122130
Li S, Deng D, Han Y, Zhang D. Joint Model for Estimating the Asymmetric Distribution of Medical Costs Based on a History Process. Symmetry. 2023; 15(12):2130. https://doi.org/10.3390/sym15122130
Chicago/Turabian StyleLi, Simeng, Dianliang Deng, Yuecai Han, and Dingwen Zhang. 2023. "Joint Model for Estimating the Asymmetric Distribution of Medical Costs Based on a History Process" Symmetry 15, no. 12: 2130. https://doi.org/10.3390/sym15122130
APA StyleLi, S., Deng, D., Han, Y., & Zhang, D. (2023). Joint Model for Estimating the Asymmetric Distribution of Medical Costs Based on a History Process. Symmetry, 15(12), 2130. https://doi.org/10.3390/sym15122130

