Application of Homotopy Analysis Transform Method for Solving a Fractional Singular One-Dimensional Thermo-Elasticity Coupled System
Abstract
:1. Introduction
2. Basic Outlines of -HATM
3. Application
3.1. Application of the q-HATM
3.2. Application of the LDM
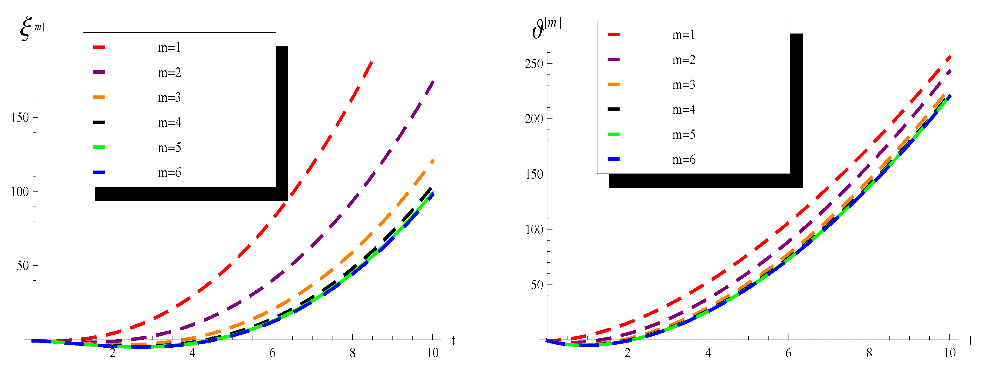
4. Numerical Results
5. Conclusions
Funding
Data Availability Statement
Acknowledgments
Conflicts of Interest
References
- Nadeem, M.; Islam, A.; Karim, S.; Mureşan, S.; Iambor, L.F. Numerical analysis of time-fractional porous media and heat transfer equations using a semi-analytical approach. Symmetry 2023, 15, 1374. [Google Scholar] [CrossRef]
- Shi, D.; Zhang, Y.; Liu, W.; Liu, J. Some exact solutions and conservation laws of the coupled time-fractional Boussinesq-Burgers system. Symmetry 2019, 11, 77. [Google Scholar] [CrossRef]
- Wang, K.-J. New exact solutions of the local fractional modified equal width-Burgers equation on the Cantor sets. Fractals 2023. [Google Scholar] [CrossRef]
- He, J.-H. Fractal calculus and its geometrical explanation. Results Phys. 2018, 10, 272–276. [Google Scholar] [CrossRef]
- Wang, K.-J.; Xu, P. Generalized variational structure of the fractal modified KDV-Zakharov-Kuznetsov equation. Fractals 2023, 31, 2350084. [Google Scholar] [CrossRef]
- Wang, K.-J.; Xu, P.; Shi, F. Nonlinear dynamic behaviors of the fractional (3+1)-dimensional modified Zakharov-Kuznetsov equation. Fractals 2023, 31, 2350088. [Google Scholar] [CrossRef]
- Adomian, G. Nonlinear Stochastic Operator Equations; Kluwer Academic Publishers: Alphen aan den Rijn, The Netherlands, 1986; ISBN 978-0-12-044375-8. [Google Scholar]
- Adomian, G.A. Review of the decomposition method in applied mathematics. J. Math. Anal. Appl. 1988, 135, 501–544. [Google Scholar] [CrossRef]
- Adomian, G.A. Review of the decomposition method and some recent results for nonlinear equations. Comput. Math. Appl. 1991, 21, 101–127. [Google Scholar]
- Abbaoui, K.; Cherruault, Y. Convergence of Adomian’s mathod applied to nonlinear equations. Math. Comput. Model. 1994, 20, 69–73. [Google Scholar] [CrossRef]
- He, J.H. Variational iteration method a kind of non-linear analytical technique: Some examples. Int. J. Non-Linear Mech. 1999, 34, 699–708. [Google Scholar] [CrossRef]
- He, J.H. Variational iteration method for autonomous ordinary differential systems. Appl. Math. Comput. 2000, 114, 115–123. [Google Scholar] [CrossRef]
- Crank, J.; Nicolson, P. A practical method for numerical evaluation of solutions of partial differential equations of the heat conduction type. Proc. Camb. Phil. Soc. 1947, 43, 50–67. [Google Scholar] [CrossRef]
- He, J.H. Homotopy perturbation technique. Comptut. Methods Appl. Mech. Engrg. 1999, 178, 257–262. [Google Scholar] [CrossRef]
- He, J.H. A coupling method of a homotopy technique and a perturbation technique for non-linear problems. Internat. J. Nonlinear Mech. 2000, 35, 37–43. [Google Scholar] [CrossRef]
- He, J.H. New interpretation of homotopy perturbation method. Internat. J. Mod. Phys. B 2006, 20, 2561–2568. [Google Scholar] [CrossRef]
- Khuri, S.A. A Laplace decomposition algorithm applied to a class of nonlinear differential equations. J. Appl. Math. 2001, 1, 141–155. [Google Scholar] [CrossRef]
- Khuri, S.A. A new approach to Bratu’s problem. Appl. Math. Comput. 2004, 147, 131–136. [Google Scholar] [CrossRef]
- Liao, S.J. The Proposed Homotopy Analysis Technique for the Solution of Nonlinear Problems. Ph.D. Thesis, Shanghai Jiao Tong University, Shanghai, China, 1992. [Google Scholar]
- Liao, S.J. Homotopy analysis method a new analytical technique for nonlinear problems. Commun. Nonl. Sci. Numer. Simul. 1997, 2, 95–100. [Google Scholar] [CrossRef]
- Liao, S.J. An explicit, totally analytic approximation of Blasius’ viscous flow problems. Int. J. Non-Linear Mech. 1999, 34, 759–778. [Google Scholar] [CrossRef]
- Liao, S.J. Beyond Perturbation: Introduction to the Homotopy Analysis Method; Chapman & Hall/CRC Press: Boca Raton, FL, USA, 2003; ISBN 978-1-58488-407-1. [Google Scholar]
- Liao, S.J. On the homotopy analysis method for nonlinear problems. Appl. Math. Comput. 2004, 147, 499–513. [Google Scholar] [CrossRef]
- El-Tawil, M.A.; Huseen, S.N. The q-homotopy analysis method q-HAM. Int. J. Appl. Math. Mech. 2012, 8, 51–75. [Google Scholar]
- El-Tawil, M.A.; Huseen, S.N. On convergence of the qhomotopy analysis method. Int. J. Contemp. Math. Sci. 2013, 8, 481–497. [Google Scholar] [CrossRef]
- Prakash, A.; Kaur, H. q-Homotopy analysis transform method for space and time-fractional KdV-Burgers equation. Nonlinear Sci. Lett. A 2018, 9, 44–61. [Google Scholar]
- Arafa, A.A.M.; Hagag, A.M.S. q-Homotopy analysis transform method applied to fractional Kundu-Eckhaus equation and fractional massive Thirring model arising in quantum field theory. Asian-Eur. J. Math. 2019, 12, 1950045. [Google Scholar] [CrossRef]
- Kumar, D.; Singh, J.; Baleanu, D. A new analysis for fractional model of regularized long-wave equation arising in ion acoustic plasma waves. Math. Methods Appl. Sci. 2017, 40, 5642–5653. [Google Scholar] [CrossRef]
- Mesloub, S.; Aboelrish, M.R. On an evolution-mixed thermoelastic system problem. Int. J. Comput. Math. 2015, 92, 424–439. [Google Scholar] [CrossRef]
- Caputo, M. Linear models of dissipation whose Q is almost frequency independent, part II. Geophys. J. Int. 1967, 13, 529–539. [Google Scholar] [CrossRef]
- Eltayeb, H.; Kiliçman, A.; Mesloub, S. Application of the double Laplace Adomian decomposition method for solving linear singular one-dimensional thermo-elasticity coupled system. J. Nonlinear Sci. Appl. 2017, 10, 278–289. [Google Scholar] [CrossRef]
- Mesloub, S.; Obaidat, S. On the numerical solution of a singular second-order thermoelastic system. Adv. Mech. Eng. 2017, 9, 1–12. [Google Scholar] [CrossRef]
- Kilbas, A.A.; Srivastava, H.; Trujillo, J.J. Theory and Applications of Fractional Differential Equations; Elsevier: Amsterdam, The Netherlands, 2006. [Google Scholar]
- Podlubny, I. Fractional Differential Equations; Academic Press: Cambridge, MA, USA, 1999. [Google Scholar]
- Caputo, M. Elasticita e Dissipazione; Zanichelli: Bologna, Italy, 1969. [Google Scholar]
- Miller, K.S.; Ross, B. An Introduction to the Fractional Calculus and Fractional Differential Equations; Willey: New York, NY, USA, 1993. [Google Scholar]
- Yasmin, H.; Alshehry, A.S.; Saeed, A.M.; Shah, R.; Nonlaopon, K. Application of the q-homotopy analysis transform method to fractional-order Kolmogorov and Rosenau-Hyman models within the Atangana-Baleanu operator. Symmetry 2023, 15, 671. [Google Scholar] [CrossRef]
- Mukhtar, S.; Shah, R.; Noor, S. The numerical investigation of a fractional-order multi-dimensional model of Navier-Stokes equation via novel techniques. Symmetry 2022, 14, 1102. [Google Scholar] [CrossRef]
- Shah, R.; Alkhezi, Y.; Alhamad, K. An analytical approach to solve the fractional Benney equation using the q-homotopy analysis transform method. Symmetry 2023, 15, 669. [Google Scholar] [CrossRef]
- Prakash, A.; Goyal, M.; Gupta, S. q-Homotopy analysis method for fractional Bloch model arising in nuclear magnetic resonance via the Laplace transform. Indian J. Phys. 2020, 94, 507–520. [Google Scholar] [CrossRef]






| t | ||||||||
|---|---|---|---|---|---|---|---|---|
| 0.1 | 1 | 5 | ||||||
| 0.1 | 1 | −0.200720 | −0.226554 | 3.59117 | 2.2964 | 227.281 | 207.308 | |
| 5.28214 | 4.91095 | 0.831902 | 3.58913 | −96.6100 | −38.8371 | |||
| 2 | −0.226554 | −0.226554 | 2.29640 | 2.29640 | 207.308 | 207.308 | ||
| 4.91095 | 4.91095 | 3.58913 | 3.58913 | −38.8371 | −38.8371 | |||
| 20 | −0.226554 | −0.226554 | 2.29640 | 2.29640 | 207.308 | 207.308 | ||
| 4.91095 | 4.91095 | 3.58913 | 3.58913 | −38.8371 | −38.8371 | |||
| 0.5 | 1 | −0.0578117 | −0.0836456 | 1.60200 | 0.307238 | 89.5254 | 69.5526 | |
| 1.89810 | 1.52691 | −0.368544 | 2.38868 | −94.5321 | −36.7592 | |||
| 2 | −0.0836456 | −0.0836456 | 0.307238 | 0.307238 | 69.5526 | 69.5526 | ||
| 1.52691 | 1.52691 | 2.38868 | 2.38868 | −36.7592 | −36.7592 | |||
| 20 | −0.0836456 | −0.0836456 | 0.307238 | 0.307238 | 69.5526 | 69.5526 | ||
| 1.52691 | 1.52691 | 2.38868 | 2.38868 | −36.7592 | −36.7592 | |||
| 0.9 | 1 | −0.00561994 | −0.0314538 | 0.875532 | −0.419230 | 39.2154 | 19.2426 | |
| 0.662211 | 0.291022 | −0.806961 | 1.95026 | −93.7732 | −36.0004 | |||
| 2 | −0.0314538 | −0.0314538 | −0.419230 | −0.419230 | 19.2426 | 19.2426 | ||
| 0.291022 | 0.291022 | 1.95026 | 1.95026 | −36.0004 | −36.0004 | |||
| 20 | −0.0314538 | −0.0314538 | −0.419230 | −0.419230 | 19.2426 | 19.2426 | ||
| 0.291022 | 0.291022 | 1.95026 | 1.95026 | −36.0004 | −36.0004 |
| t | ||||||||
|---|---|---|---|---|---|---|---|---|
| 0.1 | 0.5 | 5 | ||||||
| x | ||||||||
| 0.1 | 1 | −0.0668385 | −0.226571 | 1.27317 | 0.602298 | 287.393 | 255.466 | |
| 1.97995 | 5.76698 | 1.37805 | 2.27969 | −112.984 | −20.3642 | |||
| 2 | −0.0695093 | −0.226571 | 0.602298 | 0.602298 | 255.466 | 255.466 | ||
| 1.73925 | 5.76698 | 2.27969 | 2.27969 | −20.3642 | −20.3642 | |||
| 20 | −0.0695093 | −0.226571 | 0.602298 | 0.602298 | 255.466 | 255.466 | ||
| 1.73925 | 5.76698 | 2.27969 | 2.27969 | −20.3642 | −20.3642 | |||
| 0.5 | 1 | −0.0668385 | −0.0695093 | 0.699324 | 0.0284545 | 112.934 | 81.0069 | |
| 1.97995 | 1.73925 | 0.125798 | 1.02744 | −107.633 | −15.0128 | |||
| 2 | −0.0695093 | −0.0695093 | 0.0284545 | 0.0284545 | 81.0069 | 81.0069 | ||
| 1.73925 | 1.73925 | 1.02744 | 1.02744 | −15.0128 | −15.0128 | |||
| 20 | −0.0695093 | −0.0695093 | 0.0284545 | 0.0284545 | 81.0069 | 81.0069 | ||
| 1.73925 | 1.73925 | 1.02744 | 1.02744 | −15.0128 | −15.0128 | |||
| 0.9 | 1 | −0.00947778 | −0.0121486 | 0.489749 | −0.181120 | 49.2199 | 17.2923 | |
| 0.508974 | 0.268272 | −0.331539 | 0.570103 | −105.679 | −13.0584 | |||
| 2 | −0.0121486 | −0.0121486 | −0.181120 | −0.181120 | 17.2923 | 17.2923 | ||
| 0.268272 | 0.268272 | 0.570103 | 0.570103 | −13.0584 | −13.0584 | |||
| 20 | −0.0121486 | −0.0121486 | −0.181120 | −0.181120 | 17.2923 | 17.2923 | ||
| 0.268272 | 0.268272 | 0.570103 | 0.570103 | −13.0584 | −13.0584 |
| t | ||||||||
|---|---|---|---|---|---|---|---|---|
| 0.1 | 1 | 5 | ||||||
| x | ||||||||
| 0.1 | 1 | −2.49107 | −2.55566 | −4.38644 | −7.62334 | 41.2062 | −8.72583 | |
| −3.01524 | −5.21112 | 3.15269 | −7.85278 | 69.3833 | 35.4296 | |||
| 2 | −2.55566 | −2.55566 | −7.62334 | −7.62334 | −8.72583 | −8.72583 | ||
| −5.21112 | −5.21112 | −7.85278 | −7.85278 | 35.4296 | 35.4296 | |||
| 20 | −2.55566 | −2.55566 | −7.62334 | −7.62334 | −8.72583 | −8.72583 | ||
| −5.21112 | −5.21112 | −7.85278 | −7.85278 | 35.4296 | 35.4296 | |||
| 0.5 | 1 | −0.743360 | −0.807945 | −0.0180716 | −3.25498 | 65.1720 | 15.2400 | |
| −0.683663 | −2.87954 | 6.57607 | -4.42941 | 74.4459 | 40.4921 | |||
| 2 | −0.807945 | −0.807945 | −3.25498 | −3.25498 | 15.2400 | 15.2400 | ||
| −2.87954 | −2.87954 | −4.42941 | −4.42941 | 40.4921 | 40.4921 | |||
| 20 | −0.807945 | −0.807945 | −3.25498 | −3.25498 | 15.2400 | 15.2400 | ||
| −2.87954 | −2.87954 | −4.42941 | −4.42941 | 40.4921 | 40.4921 | |||
| 0.9 | 1 | −0.105074 | −0.169659 | 1.57731 | −1.65959 | 73.9246 | 23.9926 | |
| 0.167859 | −2.02802 | 7.82632 | −3.17915 | 76.2948 | 42.3410 | |||
| 2 | −0.169659 | −0.169659 | −1.65959 | −1.65959 | 23.9926 | 23.9926 | ||
| −2.02802 | −2.02802 | −3.17915 | −3.17915 | 42.3410 | 42.3410 | |||
| 20 | −0.169659 | −0.169659 | −1.65959 | −1.65959 | 23.9926 | 23.9926 | ||
| −2.02802 | −2.02802 | −3.17915 | −3.17915 | 42.3410 | 42.3410 |
| t | ||||||||
|---|---|---|---|---|---|---|---|---|
| 0.1 | 1 | 5 | ||||||
| x | ||||||||
| 0.1 | 1 | −2.35149 | −2.35817 | −4.03540 | −5.71257 | 44.3256 | −35.4934 | |
| −2.72454 | −3.04503 | 1.87245 | −6.17798 | 86.2490 | 9.62286 | |||
| 2 | −2.35817 | −2.35817 | −5.71257 | −5.71257 | −35.4934 | −35.4934 | ||
| −3.04503 | −3.04503 | 1.87245 | −6.17798 | 9.62286 | 9.62286 | |||
| 20 | −2.35817 | −2.35817 | −5.71257 | −5.71257 | −35.4934 | −35.4934 | ||
| −3.04503 | −3.04503 | 1.87245 | −6.17798 | 9.62286 | 9.62286 | |||
| 0.5 | 1 | −0.706464 | −0.713141 | −0.424620 | −2.10179 | 79.3945 | −0.424480 | |
| −0.714807 | −1.03530 | 5.26992 | −2.78051 | 92.9483 | 16.3222 | |||
| 2 | −0.713141 | −0.713141 | −2.10179 | −2.10179 | −0.424480 | −0.424480 | ||
| −1.03530 | −1.03530 | −2.78051 | −2.78051 | 16.3222 | 16.3222 | |||
| 20 | −0.713141 | −0.713141 | −2.10179 | −2.10179 | −0.424480 | −0.424480 | ||
| −1.03530 | −1.03530 | −2.78051 | −2.78051 | 16.3222 | 16.3222 | |||
| 0.9 | 1 | −0.105680 | −0.112357 | 0.894081 | −0.783093 | 92.2020 | 12.3831 | |
| 0.0191709 | −0.301323 | 6.51072 | −1.53971 | 95.3950 | ||||
| 2 | −0.112357 | −0.112357 | −0.783093 | −0.783093 | 12.3831 | 12.3831 | ||
| −0.301323 | −0.301323 | −1.53971 | −1.53971 | 18.7688 | ||||
| 20 | −0.112357 | −0.112357 | −0.783093 | −0.783093 | 12.3831 | 12.3831 | ||
| −0.301323 | −0.301323 | −1.53971 | −1.53971 | 18.7688 | 18.7688 |
| t | ||||||||
|---|---|---|---|---|---|---|---|---|
| 0.1 | 1 | 5 | ||||||
| x | ||||||||
| 0.1 | 1 | 7.13659 | −5.70225 | 8.15776 | −225.788 | 95.1809 | 9327.71 | |
| −3.14325 | −14.2973 | −6.90776 | −1000.92 | 567.526 | 104,323 | |||
| 2 | 7.13571 | −48.9027 | 6.90776 | −19793.9 | −269.402 | |||
| −2.64825 | −906.041 | −6.90776 | −57,543.6 | −32.4740 | ||||
| 4 | 7.13571 | −23,084.0 | 6.90776 | −269.402 | ||||
| −2.64825 | −2.83707 | −6.90776 | −32.4740 | |||||
| 0.5 | 1 | 2.14894 | 1.85859 | 3.32944 | 5.00487 | 283.485 | −2324.10 | |
| −1.29220 | 1.57557 | −2.07944 | −25.9033 | 590.224 | 4778.26 | |||
| 2 | 2.14806 | 1.73289 | 2.07944 | −89.7380 | −81.0982 | 42115.8 | ||
| −0.797202 | −25.4133 | −2.07944 | −192.244 | −9.77565 | 4281.22 | |||
| 4 | 2.14806 | −8.60542 | 2.07944 | −25,471.4 | −81.0982 | |||
| −0.797202 | −610.033 | −2.07944 | −9.77565 | −175,454 | ||||
| 0.9 | 1 | 0.327387 | 0.401310 | 1.56608 | 8.69824 | 352.256 | −2985.78 | |
| −0.616177 | 1.77678 | −0.316082 | −14.8761 | 598.514 | 1485.35 | |||
| 2 | 0.326512 | 0.380032 | 0.316082 | −8.58753 | −12.3272 | 12334.8 | ||
| −0.121177 | −6.34458 | −0.316082 | −22.0275 | −1.48593 | 4887.13 | |||
| 4 | 0.326512 | −1.94451 | 0.316082 | −2128.81 | −12.3272 | 319,519 | ||
| −0.121177 | −133.995 | −0.316082 | −7827.00 | −1.48593 | −10,299.8 |
| t | ||||||||
|---|---|---|---|---|---|---|---|---|
| 0.1 | 1 | 5 | ||||||
| x | ||||||||
| 0.1 | 1 | 7.13458 | 3.83500 | 7.82014 | −181.595 | 103.806 | 9818.09 | |
| −4.17120 | −1.82618 | −5.89382 | −641.931 | 472.924 | 98,809.2 | |||
| 2 | 7.12751 | 2.12439 | 5.15639 | −6433.88 | −210.775 | 698,279 | ||
| −2.96769 | −116.019 | −10.4020 | −24,560.5 | 9.82302 | ||||
| 4 | 7.12751 | −52.1407 | 5.15639 | −210.775 | ||||
| −2.96769 | −265,147 | −10.4020 | 9.82302 | |||||
| 0.5 | 1 | 2.14920 | 2.07148 | 3.56567 | 1.60583 | 273.436 | −1819.880 | |
| −2.11295 | 1.1827 | −0.329041 | −13.5076 | 510.471 | 4669.25 | |||
| 2 | 2.14213 | 2.06707 | 0.901923 | −25.8340 | −41.1445 | 28,486.1 | ||
| −0.909437 | −2.73552 | −4.83725 | −138.091 | 47.3700 | 3870.46 | |||
| 4 | 2.14213 | 1.93882 | 0.901923 | −2014.43 | −41.1445 | |||
| −0.909437 | −8.46116 | −4.83725 | −27079.7 | 47.3700 | ||||
| 0.9 | 1 | 0.328481 | 0.343344 | 2.01188 | 4.67504 | 335.387 | −2514.04 | |
| −1.36125 | 1.19248 | 1.70329 | −5.84939 | 524.184 | 1366.79 | |||
| 2 | 0.321411 | 0.342650 | −0.651863 | −0.372439 | 20.8067 | 8949.48 | ||
| −0.157739 | −0.00607621 | −2.80492 | −28.9225 | 61.0826 | 5635.91 | |||
| 4 | 0.321411 | 0.305315 | −0.651863 | −202.622 | 20.8067 | −323,568 | ||
| −0.157739 | −1.33735 | −2.80492 | −1529.67 | 61.0826 | −587,610 |
Disclaimer/Publisher’s Note: The statements, opinions and data contained in all publications are solely those of the individual author(s) and contributor(s) and not of MDPI and/or the editor(s). MDPI and/or the editor(s) disclaim responsibility for any injury to people or property resulting from any ideas, methods, instructions or products referred to in the content. |
© 2023 by the author. Licensee MDPI, Basel, Switzerland. This article is an open access article distributed under the terms and conditions of the Creative Commons Attribution (CC BY) license (https://creativecommons.org/licenses/by/4.0/).
Share and Cite
Mesloub, S. Application of Homotopy Analysis Transform Method for Solving a Fractional Singular One-Dimensional Thermo-Elasticity Coupled System. Symmetry 2023, 15, 1952. https://doi.org/10.3390/sym15101952
Mesloub S. Application of Homotopy Analysis Transform Method for Solving a Fractional Singular One-Dimensional Thermo-Elasticity Coupled System. Symmetry. 2023; 15(10):1952. https://doi.org/10.3390/sym15101952
Chicago/Turabian StyleMesloub, Said. 2023. "Application of Homotopy Analysis Transform Method for Solving a Fractional Singular One-Dimensional Thermo-Elasticity Coupled System" Symmetry 15, no. 10: 1952. https://doi.org/10.3390/sym15101952
APA StyleMesloub, S. (2023). Application of Homotopy Analysis Transform Method for Solving a Fractional Singular One-Dimensional Thermo-Elasticity Coupled System. Symmetry, 15(10), 1952. https://doi.org/10.3390/sym15101952
