A Monopole UWB Antenna for WIFI 7/Bluetooth and Satellite Communication
Abstract
1. Introduction
2. Structure and Analysis
2.1. Antenna Geometry
2.2. Evolution of Multi-Frequency Antennas
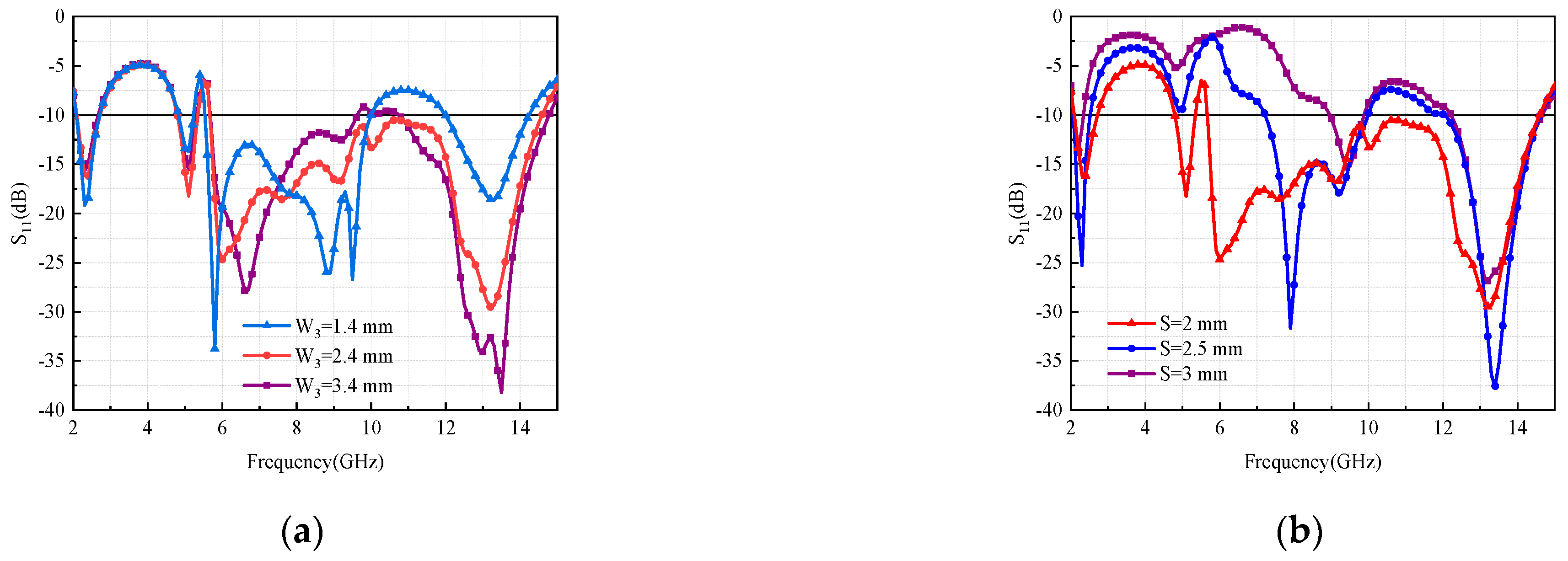
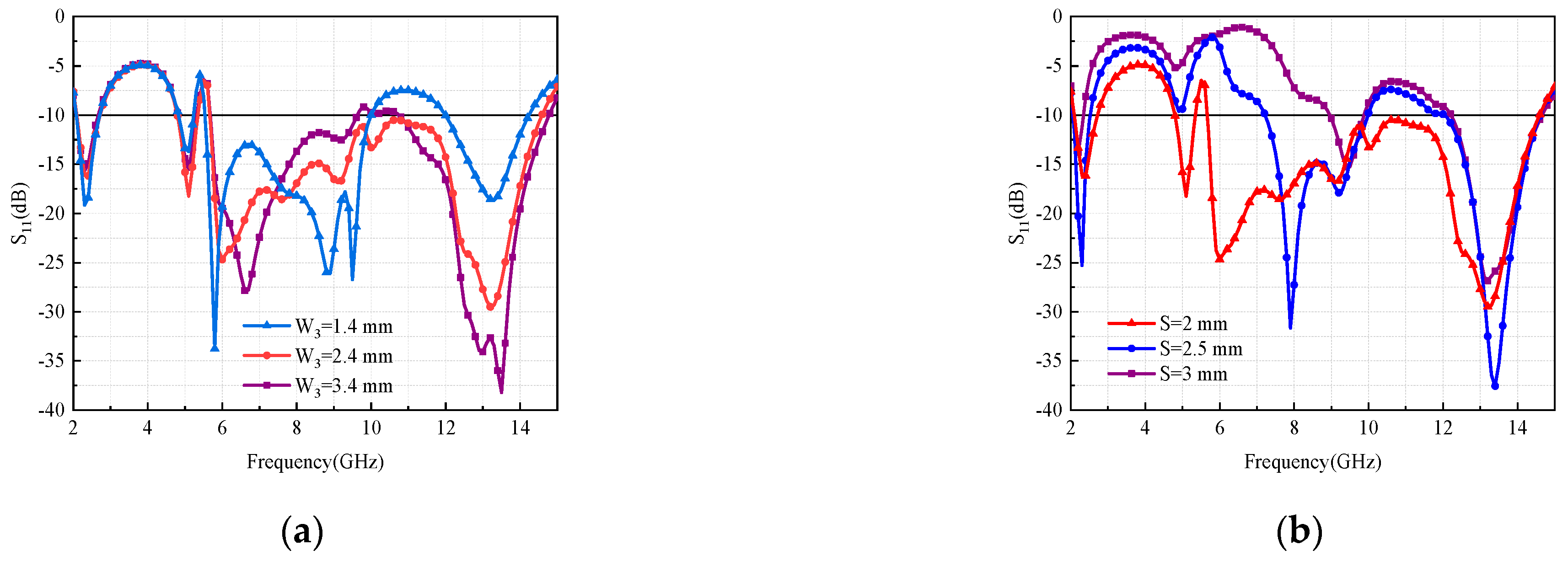
3. Parametric Study
4. Surface Current Distributions
5. Measurement and Discussion
5.1. S-parameter Results
5.2. Far-Field Characteristics
6. Conclusions
Author Contributions
Funding
Institutional Review Board Statement
Informed Consent Statement
Data Availability Statement
Conflicts of Interest
References
- Faouri, Y.S.; Ahmad, S.; Parchin, N.O.; See, C.H.; Abd-Alhameed, R. A Novel Meander Bowtie-Shaped Antenna with Multi-Resonant and Rejection Bands for Modern 5G Communications. Electronics 2022, 11, 821. [Google Scholar] [CrossRef]
- Awan, W.A.; Naqvi, S.I.; Ali, W.A.E.; Hussain, N.; Iqbal, A.; Tran, H.H.; Alibakhshikenari, M.; Limiti, E. Design and Realization of a Frequency Reconfigureurable Antenna with Wide, Dual, and Single-Band Operations for Compact Sized Wireless Applications. Electronics 2021, 10, 1321. [Google Scholar] [CrossRef]
- Zebiri, C.; Sayad, D.; Elfergani, I.; Iqbal, A.; Mshwat, W.F.A.; Kosha, J.; Rodriguez, J.; Abd-Alhameed, R. A Compact Semi-Circular and Arc-Shaped Slot Antenna for Heterogeneous RF Front-Ends. Electronics 2019, 8, 1123. [Google Scholar] [CrossRef]
- Saha, H.K.; Paul, L.C.; Shezan, S.A.; Azim, R.; Al-Hadi, A.A. A 1 × 2 Rectangular Patch Array Antenna for 6 GHz WiFi Applications. In 2022 International Conference on Innovations in Science, Engineering and Technology (ICISET); IEEE: Piscataway, NJ, USA, 2022; pp. 101–105. [Google Scholar]
- Islam, M.K.; Rana, M.M.; Inum, R. A comparative performance analysis of inverted F antenna using different substrates. In 2015 International Conference on Electrical Engineering and Information Communication Technology (ICEEICT); IEEE: Piscataway, NJ, USA, 2015; pp. 1–4. [Google Scholar]
- Paul, L.C.; Sarkar, A.K.; Haque, M.A.; Miah, P.; Ghosh, P.M.; Islam, M.R. Investigation of the Dependency of an Inset Feed Rectangular Patch Antenna Parameters With the Variation of Notch Width for WiMAX Applications. In 2018 Second International Conference on Electronics, Communication and Aerospace Technology (ICECA); IEEE: Piscataway, NJ, USA, 2018; pp. 151–154. [Google Scholar]
- Qing, X.; Chen, Z.N. Compact Asymmetric-Slit Microstrip Antennas for Circular Polarization. IEEE Trans. Antennas Propag. 2011, 59, 285–288. [Google Scholar]
- Sah, B.K.; Singla, G.; Sharma, S. Design and development of enhanced bandwidth multi-frequency slotted antenna for 4G-LTE/WiMAX/WLAN and S/C/X-band applications. Int J RF Microw Comput Aided Eng. 2020, 30, e22214–e22228. [Google Scholar] [CrossRef]
- Kumar, A. A compact H-shaped slot triple-band microstrip antenna for WLAN and WiMAX applications. In 2016 IEEE Annual India Conference (INDICON); IEEE: Piscataway, NJ, USA, 2016; pp. 1–4. [Google Scholar]
- Bharadwaj, S.S.; Sipal, D.; Yadav, D.; Koul, S.K. Shorting Pin Switchable Frequency ReconFigureurable Antenna for WLAN/WiMAX Applications. In 2019 IEEE Indian Conference on Antennas and Propogation (InCAP); IEEE: Piscataway, NJ, USA, 2019; pp. 1–4. [Google Scholar]
- Haripriya, D.; Venkatakiran, S.; Gokulachandar, A. UWB-Mimo antenna of high isolation two elements with wlan single band-notched behavior using roger material. Mater. Today Proc. 2022, 62, 1717–1721. [Google Scholar] [CrossRef]
- Kumar, A.; Narayaswamy, N.K.; Kumar, H.V.; Mishra, B.; Siddique, S.A.; Dwivedi, A.K. High-isolated WiFi-2.4 GHz/LTE MIMO antenna for RF-energy harvesting applications. AEU—Int. J. Electron. Commun. 2021, 141, 153964–153975. [Google Scholar] [CrossRef]
- Rui, X.; Ying, L.J.; Jun, Y.J.; Kun, W.; Xiao, Q.Y. A Design of U-Shaped Slot Antenna With Broadband Dual Circularly Polarized Radiation. IEEE Trans. Antennas Propag. 2017, 65, 3217–3220. [Google Scholar]
- Liu, X.; Wang, H.; Yang, X.; Wang, J. Quad-Band Circular Polarized Antenna for GNSS, 5G and WIFI-6E Applications. Electronics 2022, 11, 1133. [Google Scholar] [CrossRef]
- Rui, X.; Ying, L.J.; Xiao, Q.Y.; Wei, Y.G.; Jun, Y.J. A Design of Triple-Wideband Triple-Sense Circularly Polarized Square Slot Antenna. IEEE Antennas Wirel. Propag. Lett. 2017, 16, 1763–1766. [Google Scholar]
- Zehforoosh, A.; Zehforoosh, Y. Evaluation of a novel hook-shaped multiband monopole antenna based on the AHP method. IET Commun. 2022, 16, 266–273. [Google Scholar] [CrossRef]
- Mewara, H.S.; Deegwal, J.K.; Sharma, M.M. A slot resonators based quintuple band-notched Y-shaped planar monopole ultra-wideband antenna. AEU—Int. J. Electron. Commun. 2018, 83, 470–478. [Google Scholar] [CrossRef]
- Dhasarathan, V.; Sharma, M.; Kapil, M.; Vashist, P.C.; Patel, S.K.; Nguyen, T.K. Integrated bluetooth/LTE2600 superwideband monopole antenna with triple notched (WiMAX/WLAN/DSS) band characteristics for UWB/X/Ku band wireless network applications. Wirel. Netw. 2020, 26, 2845–2855. [Google Scholar] [CrossRef]
- Rao, P.K.; Singh, K.J.; Mishra, R. A Circular Shaped Microstrip patch Antenna for Bluetooth/Wi-Fi/UWB/X-band Applications. In 2018 International Conference on Power Energy, Environment and Intelligent Control (PEEIC); IEEE: Piscataway, NJ, USA, 2018; pp. 638–641. [Google Scholar]
- Nitin, N.; Ansari, J.A.; Agrawal, N. Inset Fed J Slotted Microstrip Multiband Antenna for WiFi/LTE/WiMAX/C Band/X Band/Ku Band Applications. In 2020 IEEE Students Conference on Engineering & Systems (SCES); IEEE: Piscataway, NJ, USA, 2020; pp. 1–6. [Google Scholar]
- He, H.; Ying, L.; Shuai, Z.S.; Shuxi, G. Multiband Metamaterial-Loaded Monopole Antenna for WLAN/WiMAX Applications. IEEE Antennas Wirel. Propag. Lett. 2015, 14, 662–665. [Google Scholar]
- Mangal, J.; Gupta, N. An Annular Switchable Antenna For WiFi, WiMAX, WLAN & UWB Frequency Range Applications. In 2021 International Conference on Control, Automation, Power and Signal Processing (CAPS); IEEE: Piscataway, NJ, USA, 2021; pp. 1–4. [Google Scholar]
- Orugu, R.; Nesasudha, M.; Janapala, D.K. A Frequency Tunable Hexagon Shaped Antenna for 5.8 GHz-WiFi and Sub 6—5G Mobile IoT Applications. In 2021 International Conference on Computer Communication and Informatics (ICCCI); IEEE: Piscataway, NJ, USA, 2021; pp. 1–4. [Google Scholar]
- Zhen, Y.; Guo, Y.J.; Ying, R.X.; Hua, Z.C. A novel Koch and Sierpinski combined fractal antenna for 2G/3G/4G/5G/WLAN/navigation applications. Microw. Opt. Technol. Lett. 2017, 59, 2147–2155. [Google Scholar]
- Mehdipour, A.; Rosca, I.D.; Sebak, A.R.; Trueman, C.W.; Hoa, S.V. Carbon Nanotube Composites for Wideband Millimeter-Wave Antenna Applications. IEEE Trans. Antennas Propag. 2011, 10, 3572–3578. [Google Scholar] [CrossRef]
- Vera, E.R.; Correa, M.A.; Muno, A.G.; Ochoa, D.C.; Marin, J.S. Development of an Improved Response Ultra-Wideband Antenna Based on Conductive Adhesive of Carbon Composite. Prog. Electromagn. Res. C 2017, 79, 199–208. [Google Scholar] [CrossRef][Green Version]










| Parameter | Value/mm | Parameter | Value/mm |
|---|---|---|---|
| W | 42 | W5 | 1.1 |
| L | 46 | L5 | 8 |
| W1 | 2.9 | W6 | 1 |
| L1 | 14.5 | L6 | 6.1 |
| W2 | 14 | W7 | 0.4 |
| L2 | 16.5 | L7 | 1.2 |
| W3 | 2.4 | L8 | 3 |
| L3 | 6.3 | L9 | 12.6 |
| W4 | 0.5 | R1 | 10 |
| L4 | 6 | R2 | 6 |
| Ref. | Size (mm2) | Peak Gain (dBi) | Bandwidth (GHz) | Applications |
|---|---|---|---|---|
| 2 | 25 × 15 | 4.1 | 4–7.8, 3.3–4.2, 5.8–7.2, 3.3–4.2 | WiMAX, WAVE |
| 4 | 20 × 35 | 3.52 | 5.5356–7.0449 | WiFi (6G) |
| 8 | 56 × 54 | 6.4 | 2.12–2.90, 4.07–4.31, 5.08–5.40, 7.90–10.19 | LTE, WiMAX, WLAN (2.4G, 5G), S/C/X-band |
| 14 | 80 × 80 | 4.56 | 0.95–2.11, 3.05–5.39, 5.84–8.19,9.14–10.68 | GNSS, 5G, WIFI-6E |
| 16 | 32 × 18 | 4.5 | 1.7–2.1, 2.4–2.7, 3.3–3.6, 5.0–5.7 | GSM (1.8G, 1.9G), Bluetooth, WLAN (2.4G, 5.2G), WiMAX |
| 17 | 36 × 38 | 4.51 | 2.86–13.3 | Quintuple Band-Notched (WiMAX, WLAN, ITU-8, X-band, RN band) |
| 18 | 20 × 28 | 4.98 | 2.34–20 | Bluetooth, LTE2600, UWB X/Ku-Band |
| 19 | 36 × 32 | / | 2.35–12.9 | Bluetooth, WiFi (2.4G, 5G), UWB, X-Band |
| 20 | 57.3 × 46.9 | / | 5.0848–5.8534, 7.7244–8.9496, 10.0453–10.6162, 11.6128–12.3012, 12.7174–15.58019 | WiFi (5.8G), LTE, WiMAX, C/X/Ku-Band |
| 21 | 6.5 × 12.9 | 3.2 | 2.3–4.0, 5–6.6 | WiFi (2.4G, 5.2G), WiMAX |
| 23 | 46 × 44 | 1.76 | 5.8–7.2 | WiFi (5.8G), Sub-6 5G |
| 24 | 80 × 54 | 4.64 | 0.85–0.96, 1.22–1.54, 1.86–2.12, 2.4–3.22, 3.69–3.97, 4.84–5.98 | 2G/3G/4G/5G, WLAN (2.4G, 5G), navigation |
| 26 | 41 × 41 | / | 0.609–9.105 | UHF/L/S/C/X band |
| This work | 46 × 42 | 5.43 | 2.12–2.55, 4.67–5.38, 5.7–14.56 | WiFi 7 (2.4G, 5G, 6G), Bluetooth, 4G/5G, C/X/Ku-Band |
Publisher’s Note: MDPI stays neutral with regard to jurisdictional claims in published maps and institutional affiliations. |
© 2022 by the authors. Licensee MDPI, Basel, Switzerland. This article is an open access article distributed under the terms and conditions of the Creative Commons Attribution (CC BY) license (https://creativecommons.org/licenses/by/4.0/).
Share and Cite
Wang, Z.; Wang, M.; Nie, W. A Monopole UWB Antenna for WIFI 7/Bluetooth and Satellite Communication. Symmetry 2022, 14, 1929. https://doi.org/10.3390/sym14091929
Wang Z, Wang M, Nie W. A Monopole UWB Antenna for WIFI 7/Bluetooth and Satellite Communication. Symmetry. 2022; 14(9):1929. https://doi.org/10.3390/sym14091929
Chicago/Turabian StyleWang, Zhonggen, Mingqing Wang, and Wenyan Nie. 2022. "A Monopole UWB Antenna for WIFI 7/Bluetooth and Satellite Communication" Symmetry 14, no. 9: 1929. https://doi.org/10.3390/sym14091929
APA StyleWang, Z., Wang, M., & Nie, W. (2022). A Monopole UWB Antenna for WIFI 7/Bluetooth and Satellite Communication. Symmetry, 14(9), 1929. https://doi.org/10.3390/sym14091929

