Effects of the Vertices on the Topological Bound States in a Quasicrystalline Topological Insulator
Abstract
:1. Introduction
2. Model
2.1. Lattice
2.2. Model Hamiltonian
3. Results
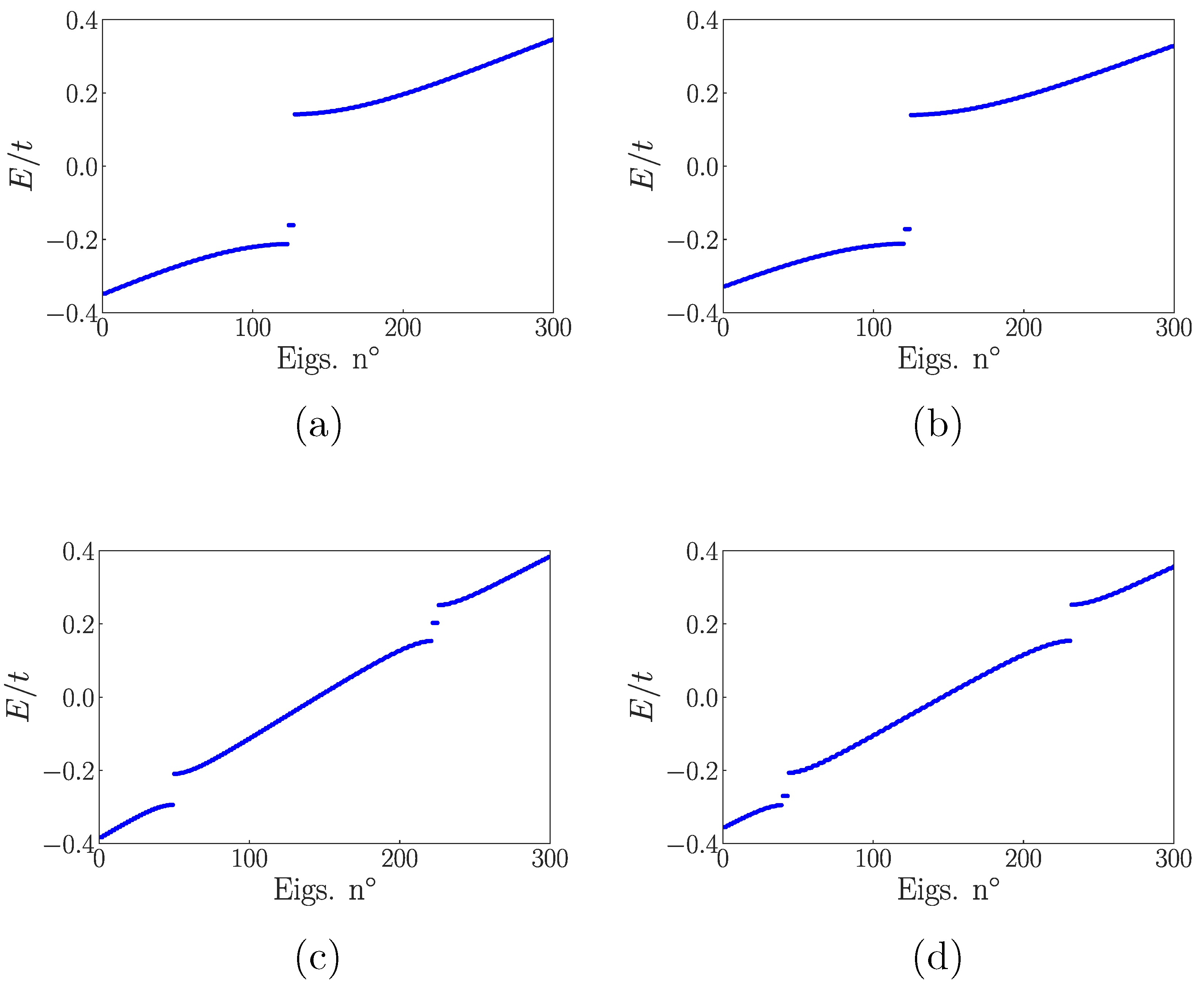
3.1. Existence
3.2. Energy
3.3. Degeneracy
4. Conclusions
Author Contributions
Funding
Institutional Review Board Statement
Informed Consent Statement
Data Availability Statement
Conflicts of Interest
References
- Qi, X.; Zhang, S.-C. Topological insulators and superconductors. Rev. Mod. Phys. 2011, 83, 1057. [Google Scholar] [CrossRef]
- Pesin, D.; MacDonald, A.H. Spintronics and pseudospintronics in graphene and topological insulators. Nat. Mater. 2012, 11, 409. [Google Scholar] [CrossRef] [PubMed]
- Michetti, P.; Trauzettel, B. Devices with electrically tunable topological insulating phases. Appl. Phys. Lett. 2013, 102, 063503. [Google Scholar] [CrossRef]
- Calvo, M.R.; de Juan, F.; Ilan, R.; Fox, E.J.; Bestwick, A.J.; Mühlbauer, M.; Wang, J.; Ames, C.; Leubner, P.; Brüne, C.; et al. Interplay of Chiral and Helical States in a Quantum Spin Hall Insulator Lateral Junction. Phys. Rev. Lett. 2017, 119, 226401. [Google Scholar] [CrossRef] [PubMed]
- Traverso Ziani, N.; Fleckenstein, C.; Dolcetto, G.; Trauzettel, B. Fractional charge oscillations in quantum dots with quantum spin Hall effect. Phys. Rev. B 2017, 95, 205418. [Google Scholar] [CrossRef]
- Bendias, K.; Shamim, S.; Herrmann, O.; Budewitz, A.; Shekhar, P.; Leubner, P.; Kleinlein, J.; Bocquillon, E.; Buhmann, H.; Molenkamp, L.W. High Mobility HgTe Microstructures for Quantum Spin Hall Studies. Nano Lett. 2018, 18, 4831. [Google Scholar] [CrossRef]
- Kane, C.L.; Mele, E.J. Z2 topological order and the quantum spin hall effect. Phys. Rev. Lett. 2005, 95, 146802. [Google Scholar] [CrossRef]
- Kane, C.L.; Mele, E.J. Quantum spin hall effect in graphene. Phys. Rev. Lett. 2005, 95, 226801. [Google Scholar]
- Bernevig, B.; Hughes, T.; Zhang, S. Quantum spin Hall effect and topological phase transition in HgTe quantum wells. Science 2006, 314, 1757. [Google Scholar] [CrossRef]
- König, M.; Wiedmann, J.; Brüne, C.; Roth, A.; Buhmann, H.; Molenkamp, L.W.; Qi, X.L.; Zhang, S.-C. Quantum Spin Hall Insulator State in HgTe Quantum Wells. Science 2007, 318, 766. [Google Scholar] [CrossRef]
- Linder, J.; Robinson, J.W.A. Superconducting spintronics. Nat. Phys. 2015, 11, 307. [Google Scholar] [CrossRef]
- Cayao, J.; Black-Schaffer, A.M. Odd-frequency superconducting pairing and subgap density of states at the edge of a two-dimensional topological insulator without magnetism. Phys. Rev. B 2017, 96, 155426. [Google Scholar] [CrossRef]
- Breunig, D.; Burset, P.; Trauzettel, B. Creation of Spin-Triplet Cooper Pairs in the Absence of Magnetic Ordering. Phys. Rev. Lett. 2018, 120, 037701. [Google Scholar] [CrossRef] [PubMed]
- Blasi, G.; Taddei, F.; Giovannetti, V.; Braggio, A. Manipulation of Cooper pair entanglement in hybrid topological Josephson junctions. Phys. Rev. B. 2019, 99, 064514. [Google Scholar] [CrossRef]
- Keidel, F.; Hwang, S.Y.; Trauzettel, B.; Sothmann, B.; Burset, P. On-demand thermoelectric generation of equal-spin Cooper pairs. Phys. Rev. Res. 2020, 2, 022019. [Google Scholar] [CrossRef]
- Kitaev, A. Unpaired Majorana fermions in quantum wires. Phys. Uspekhi 2001, 44, 131. [Google Scholar] [CrossRef]
- Ivanov, D.A. Non-Abelian Statistics of Half-Quantum Vortices in p-Wave Superconductors. Phys. Rev. Lett. 2001, 86, 268. [Google Scholar] [CrossRef]
- Nayak, C.; Simon, S.H.; Stern, A.; Freedman, M.; Das Sarma, S. Non-Abelian anyons and topological quantum computation. Rev. Mod. Phys. 2008, 80, 1083. [Google Scholar] [CrossRef]
- Alicea, J.; Oreg, Y.; Refael, G.; von Oppen, F.; Fisher, M.P.A. Non-Abelian statistics and topological quantum information processing in 1D wire networks. Nat. Phys. 2011, 7, 412. [Google Scholar] [CrossRef]
- Fu, L.; Kane, C.L. Josephson current and noise at a superconductor/quantum-spin-Hall-insulator/superconductor junction. Phys. Rev. B 2009, 79, 161408. [Google Scholar] [CrossRef]
- Shivamoggi, V.; Refael, G.; Moore, J.E. Majorana fermion chain at the quantum spin Hall edge. Phys. Rev. B 2010, 82, 041405. [Google Scholar] [CrossRef]
- Li, J.; Pan, W.; Bernevig, B.A.; Lutchyn, R.M. Detection of Majorana Kramers Pairs Using a Quantum Point Contact. Phys. Rev. Lett. 2016, 117, 046804. [Google Scholar] [PubMed]
- Klinovaja, J.; Yacoby, A.; Loss, D. Kramers pairs of Majorana fermions and parafermions in fractional topological insulators. Phys. Rev. B 2014, 90, 155447. [Google Scholar]
- Schrade, C.; Zyuzin, A.A.; Klinovaja, J.; Loss, D. Proximity-Induced π Josephson Junctions in Topological Insulators and Kramers Pairs of Majorana Fermions. Phys. Rev. Lett. 2015, 115, 237001. [Google Scholar] [CrossRef] [PubMed]
- Keidel, F.; Burset, P.; Trauzettel, B. Tunable hybridization of Majorana bound states at the quantum spin Hall edge. Phys. Rev. B 2018, 97, 075408. [Google Scholar] [CrossRef]
- Traverso Ziani, N.; Fleckenstein, C.; Vigliotti, L.; Trauzettel, B.; Sassetti, M. From fractional solitons to Majorana fermions in a paradigmatic model of topological superconductivity. Phys. Rev. B 2020, 101, 195303. [Google Scholar]
- Schulz, F.; Plekhanov, K.; Loss, D.; Klinovaja, J. Majorana bound states in topological insulators with hidden Dirac points. Phys. Rev. Res. 2020, 2, 033215. [Google Scholar] [CrossRef]
- Laubscher, K.; Chughtai, D.; Chughtai, D.; Klinovaja, J. Kramers pairs of Majorana corner states in a topological insulator bilayer. Phys. Rev. B 2020, 102, 195401. [Google Scholar] [CrossRef]
- Fleckenstein, C.; Traverso Ziani, N.; Calzona, A.; Sassetti, M.; Trauzettel, B. Formation and detection of Majorana modes in quantum spin Hall trenches. Phys. Rev. B 2021, 103, 125303. [Google Scholar]
- Zhang, F.; Kane, C.L. Time-Reversal-Invariant Z4 Fractional Josephson Effect. Phys. Rev. Lett. 2015, 113, 036401. [Google Scholar] [CrossRef]
- Orth, C.P.; Tiwari, R.P.; Meng, T.; Schmidt, T.L. Non-Abelian parafermions in time-reversal-invariant interacting helical systems. Phys. Rev. B 2015, 91, 081406. [Google Scholar] [CrossRef]
- Vinkler-Aviv, Y.; Brouwer, P.W.; von Oppen, F. Z4 parafermions in an interacting quantum spin Hall Josephson junction coupled to an impurity spin. Phys. Rev. B 2017, 96, 195421. [Google Scholar] [CrossRef]
- Fleckenstein, C.; Traverso Ziani, N.; Trauzettel, B. Z4 parafermions in Weakly Interacting Superconducting Constrictions at the Helical Edge of Quantum Spin Hall Insulators. Phys. Rev. Lett. 2019, 122, 066801. [Google Scholar] [CrossRef] [PubMed]
- Sato, M.; Ando, Y. Topological superconductors: A review. Rep. Prog. Phys. 2017, 80, 076501. [Google Scholar] [CrossRef] [PubMed]
- Budich, J.C.; Dolcini, F.; Recher, P.; Trauzettel, B. Phonon-Induced Backscattering in Helical Edge States. Phys. Rev. Lett. 2012, 108, 086602. [Google Scholar] [CrossRef] [PubMed]
- Schmidt, T.L.; Rachel, S.; von Oppen, F.; Glazman, L.I. Inelastic Electron Backscattering in a Generic Helical Edge Channel. Phys. Rev. Lett. 2012, 108, 156402. [Google Scholar] [CrossRef] [PubMed]
- Cheianov, V.; Glazman, L.I. Mesoscopic Fluctuations of Conductance of a Helical Edge Contaminated by Magnetic Impurities. Phys. Rev. Lett. 2013, 110, 206803. [Google Scholar] [CrossRef]
- Väyrynen, J.I.; Goldstein, M.; Glazman, L.I. Helical Edge Resistance Introduced by Charge Puddles. Phys. Rev. Lett. 2013, 110, 216402. [Google Scholar] [CrossRef]
- Altshuler, B.L.; Aleiner, I.L.; Yudson, V.I. Localization at the Edge of a 2D Topological Insulator by Kondo Impurities with Random Anisotropies. Phys. Rev. Lett. 2013, 111, 086401. [Google Scholar] [CrossRef]
- Väyrynen, J.I.; Goldstein, M.; Gefen, Y.; Glazman, L.I. Resistance of helical edges formed in a semiconductor heterostructure. Phys. Rev. B 2014, 90, 115309. [Google Scholar] [CrossRef]
- Kainaris, N.; Gornyi, I.V.; Carr, S.; Mirlin, A.D. Conductivity of a generic helical liquid. Phys. Rev. B 2014, 90, 075118. [Google Scholar] [CrossRef]
- Väyrynen, J.I.; Pikulin, D.I.; Alicea, J. Noise-induced Backscattering in a Quantum Spin Hall Edge. Phys. Rev. Lett. 2018, 121, 106601. [Google Scholar] [CrossRef] [PubMed]
- McGinley, M.; Cooper, N.R. Fragility of time-reversal symmetry protected topological phases. Nat. Phys. 2020, 16, 1181. [Google Scholar] [CrossRef]
- Brouwer, P.W.; Duckheim, M.; Romito, A.; von Oppen, F. Probability Distribution of Majorana End-State Energies in Disordered Wires. Phys. Rev. Lett. 2011, 107, 196804. [Google Scholar] [CrossRef] [PubMed]
- Brouwer, P.W.; Duckheim, M.; Romito, A.; von Oppen, F. Topological superconducting phases in disordered quantum wires with strong spin-orbit coupling. Phys. Rev. B 2011, 84, 144526. [Google Scholar] [CrossRef]
- Pientka, F.; Kells, G.; Romito, A.; Brouwer, P.W.; von Oppen, F. Enhanced Zero-Bias Majorana Peak in the Differential Tunneling Conductance of Disordered Multisubband Quantum-Wire/Superconductor Junctions. Phys. Rev. Lett. 2012, 109, 227006. [Google Scholar] [CrossRef]
- Liu, J.; Potter, A.C.; Law, K.T.; Lee, P.A. Zero-Bias Peaks in the Tunneling Conductance of Spin-Orbit-Coupled Superconducting Wires with and without Majorana End-States. Phys. Rev. Lett. 2012, 109, 267002. [Google Scholar] [CrossRef]
- Kells, G.; Meidan, D.; Brouwer, P.W. Near-zero-energy end states in topologically trivial spin-orbit coupled superconducting nanowires with a smooth confinement. Phys. Rev. B 2012, 86, 100503(R). [Google Scholar] [CrossRef]
- Pikulin, D.I.; Dahlhaus, J.; Wimmer, M.; Schomerus, H.; Beenakker, C. A zero-voltage conductance peak from weak antilocalization in a Majorana nanowire. New J. Phys. 2012, 14, 125011. [Google Scholar] [CrossRef]
- Rainis, D.; Trifunovic, L.; Klinovaja, J.; Loss, D. Towards a realistic transport modeling in a superconducting nanowire with Majorana fermions. Phys. Rev. B 2013, 87, 024515. [Google Scholar] [CrossRef]
- Roy, D.; Bondyopadhaya, N.; Tewari, S. Topologically trivial zero-bias conductance peak in semiconductor Majorana wires from boundary effects. Phys. Rev. B 2013, 88, 020502(R). [Google Scholar] [CrossRef]
- Stanescu, T.D.; Tewari, S. Disentangling Majorana fermions from topologically trivial low-energy states in semiconductor Majorana wires. Phys. Rev. B 2013, 87, 140504(R). [Google Scholar] [CrossRef]
- Hui, H.-Y.; Sau, J.D.; Das Sarma, S. Bulk disorder in the superconductor affects proximity-induced topological superconductivity. Phys. Rev. B 2015, 92, 174512. [Google Scholar] [CrossRef]
- Klinovaja, J.; Loss, D. Fermionic and Majorana bound states in hybrid nanowires with non-uniform spin-orbit interaction. Eur. Phys. J. B 2015, 88, 62. [Google Scholar] [CrossRef]
- Cole, W.S.; Sau, J.D.; Das Sarma, S. Proximity effect and Majorana bound states in clean semiconductor nanowires coupled to disordered superconductors. Phys. Rev. B 2016, 94, 140505(R). [Google Scholar] [CrossRef]
- Liu, C.-X.; Sau, J.D.; Stanescu, T.D.; Das Sarma, S. Andreev bound states versus Majorana bound states in quantum dot-nanowire-superconductor hybrid structures: Trivial versus topological zero-bias conductance peaks. Phys. Rev. B 2017, 96, 075161. [Google Scholar] [CrossRef]
- Liu, D.E.; Rossi, E.; Lutchyn, R.M. Impurity-induced states in superconducting heterostructures. Phys. Rev. B 2018, 97, 161408(R). [Google Scholar] [CrossRef]
- Moore, C.; Zeng, C.; Stanescu, T.D.; Tewari, S. Quantized zero-bias conductance plateau in semiconductor-superconductor heterostructures without topological Majorana zero modes. Phys. Rev. B 2018, 98, 155314. [Google Scholar] [CrossRef]
- Fleckenstein, C.; Dominguez, F.; Traverso Ziani, N.; Trauzettel, B. Decaying spectral oscillations in a Majorana wire with finite coherence length. Phys. Rev. B 2018, 97, 155425. [Google Scholar] [CrossRef]
- Cao, Z.; Zhang, H.; Lü, H.-F.; He, W.-X.; Lu, H.-Z.; Xie, X.C. Decays of Majorana or Andreev Oscillations Induced by Steplike Spin-Orbit Coupling. Phys. Rev. Lett. 2019, 122, 147701. [Google Scholar] [CrossRef]
- Vuik, A.; Nijholt, B.; Akhmerov, A.; Wimmer, M. Reproducing topological properties with quasi-Majorana states. SciPost Phys. 2019, 7, 061. [Google Scholar] [CrossRef]
- Kiendl, T.; von Oppen, F.; Brouwer, P.W. Proximity induced gap in nanowires with a thin superconducting shell. Phys. Rev. B 2019, 100, 035426. [Google Scholar] [CrossRef]
- Pan, H.; Liu, C.-X.; Wimmer, M.S.; Das Sarma, S. Quantized and unquantized zero-bias tunneling conductance peaks in Majorana nanowires: Conductance below and above 2e2/h. Phys. Rev. B 2021, 103, 214502. [Google Scholar] [CrossRef]
- Benalcazar, W.A.; Bernevig, B.A.; Hughes, T.L. Electric multipole moments, topological multipole moment pumping, and chiral hinge states in crystalline insulators. Phys. Rev. B 2017, 96, 245115. [Google Scholar] [CrossRef]
- Langbehn, J.; Peng, Y.; Trifunovic, L.; von Oppen, F.; Brouwer, P.W. Reflection-symmetric second-order topological insulators and superconductors. Phys. Rev. Lett. 2017, 119, 246401. [Google Scholar] [CrossRef]
- Benalcazar, W.A.; Bernevig, B.A.; Hughes, T.L. Quantized electric multipole insulators. Science 2017, 357, 61. [Google Scholar] [CrossRef]
- Schindler, F.; Cook, A.M.; Vergniory, M.G.; Wang, Z.; Parkin, S.S.P.; Bernevig, B.A.; Neupert, T. Higher-order topological insulators. Sci. Adv. 2018, 4, eaat0346. [Google Scholar] [CrossRef]
- Fang, C.; Fu, L. New classes of topological crystalline insulators having surface rotation anomaly. Sci. Adv. 2019, 5, eaat2374. [Google Scholar] [CrossRef]
- Schindler, F.; Wang, W.; Vergniory, M.; Cook, A.; Murani, A.; Sengupta, S.; Kasumov, A.; Deblock, R.; Jeon, S.; Drozdov, I.; et al. Higher-order topology in bismuth. Nat. Phys 2018, 14, 918. [Google Scholar] [CrossRef]
- Noguchi, R.; Kobayashi, M.; Jiang, Z.; Kuroda, K.; Takahashi, T.; Xu, Z.; Lee, D.; Hirayama, M.; Ochi, M.; Shirasawa, T.; et al. Evidence for a higher-order topological insulator in a three-dimensional material built from van der waals stacking of bismuth-halide chains. Nat. Mater. 2021, 20, 1. [Google Scholar] [CrossRef]
- Spurrier, S.; Cooper, N.R. Kane-mele with a twist: Quasicrystalline higher-order topological insulators with fractional mass kinks. Phys. Rev. Research 2020, 2, 033071. [Google Scholar] [CrossRef]
- Traverso, S.; Sassetti, M.; Traverso Ziani, N. Role of the edges in a quasicrystalline Haldane model. arXiv 2022, arXiv:2207.12996. [Google Scholar]
- Ahn, S.J.; Moon, P.; Kim, T.-H.; Kim, H.-W.; Shin, H.-C.; Kim, E.H.; Cha, H.W.; Kahng, S.-J.; Kim, P.; Koshino, M.; et al. Dirac electrons in a dodecagonal graphene quasicrystal. Science 2008, 361, 782. [Google Scholar] [CrossRef] [PubMed]
- Haldane, F.D.M. Model for a quantum hall effect without landau levels: Condensed-matter realization of the “parity anomaly”. Phys. Rev. Lett. 1988, 61, 2015. [Google Scholar] [CrossRef]
- Bernevig, B.; Hughes, T. Topological Insulators and Topological Superconductors; Princeton University Press: Princeton, NJ, USA, 2013. [Google Scholar]
- Moon, P.; Koshino, M. Energy spectrum and quantum hall effect in twisted bilayer graphene. Phys. Rev. B 2012, 85, 195458. [Google Scholar] [CrossRef]
- Moon, P.; Koshino, M. Optical absorption in twisted bilayer graphene. Phys. Rev. B 2013, 87, 205404. [Google Scholar] [CrossRef]
- Moldovan, D.; Andelković, M.; Peeters, F. pybinding v0.9.5: A Python Package for Tight-Binding Calculations (v0.9.5); Zenodo: Geneva, Switzerland, 2020. [Google Scholar]






Publisher’s Note: MDPI stays neutral with regard to jurisdictional claims in published maps and institutional affiliations. |
© 2022 by the authors. Licensee MDPI, Basel, Switzerland. This article is an open access article distributed under the terms and conditions of the Creative Commons Attribution (CC BY) license (https://creativecommons.org/licenses/by/4.0/).
Share and Cite
Traverso, S.; Traverso Ziani, N.; Sassetti, M. Effects of the Vertices on the Topological Bound States in a Quasicrystalline Topological Insulator. Symmetry 2022, 14, 1736. https://doi.org/10.3390/sym14081736
Traverso S, Traverso Ziani N, Sassetti M. Effects of the Vertices on the Topological Bound States in a Quasicrystalline Topological Insulator. Symmetry. 2022; 14(8):1736. https://doi.org/10.3390/sym14081736
Chicago/Turabian StyleTraverso, Simone, Niccolò Traverso Ziani, and Maura Sassetti. 2022. "Effects of the Vertices on the Topological Bound States in a Quasicrystalline Topological Insulator" Symmetry 14, no. 8: 1736. https://doi.org/10.3390/sym14081736
APA StyleTraverso, S., Traverso Ziani, N., & Sassetti, M. (2022). Effects of the Vertices on the Topological Bound States in a Quasicrystalline Topological Insulator. Symmetry, 14(8), 1736. https://doi.org/10.3390/sym14081736
