Hopf Bifurcation and Control of a Fractional-Order Delay Stage Structure Prey-Predator Model with Two Fear Effects and Prey Refuge
Abstract
:1. Introduction
2. Preliminary Knowledge
3. Model Description
4. Hopf Bifurcation Analysis and Control of System (9)
4.1. Hopf Bifurcation Analysis of System (9)
4.2. Hopf Bifurcation Control of System (9)
5. Numerical Simulations
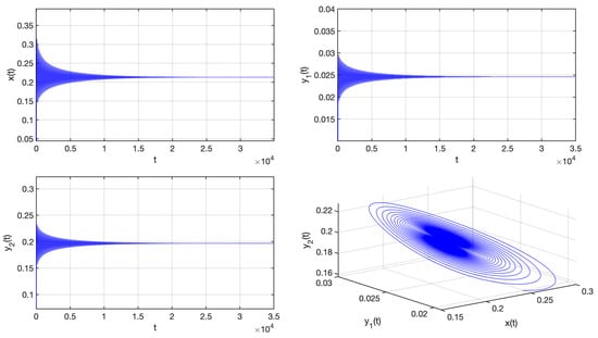
5.1. Example 1
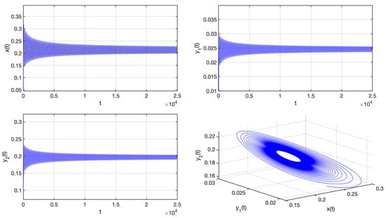
5.2. Example 2
6. Conclusions
Author Contributions
Funding
Institutional Review Board Statement
Informed Consent Statement
Data Availability Statement
Acknowledgments
Conflicts of Interest
Appendix A
Appendix B
Appendix C
Appendix D
References
- He, X.; Zhao, X.; Feng, T.; Qiu, Z. Dynamical behaviors of a prey-predator model with foraging arena scheme in polluted environments. Math. Slovaca 2021, 71, 235–250. [Google Scholar] [CrossRef]
- Kumar, A.; Dubey, B. Stability and Bifurcation of a Prey-Predator System with Additional Food and Two Discrete Delays. Comput. Model. Eng. Sci. 2021, 126, 505–547. [Google Scholar] [CrossRef]
- Panigoro, H.S.; Suryanto, A.; Kusumawinahyu, W.M.; Darti, I. Dynamics of an Eco-Epidemic Predator–Prey Model Involving Fractional Derivatives with Power-Law and Mittag–Leffler Kernel. Symmetry 2021, 13, 785. [Google Scholar] [CrossRef]
- Satria, A.; Putri, A.R.; Syafwan, M. Stability Analysis and Numerical Simulation of a Diffusive Prey-Predator Holling Type II Model. J. Phys. Conf. Ser. 2021, 1940, 012013. [Google Scholar] [CrossRef]
- Das, M.; Samanta, G.P. A delayed fractional order food chain model with fear effect and prey refuge. Math. Comput. Simul. 2020, 178, 218–245. [Google Scholar] [CrossRef]
- Shireen, J.; Raid, K.N. Stability Analysis of Stage Structure Prey-Predator Model with a Partially Dependent Predator and Prey Refuge. Int. J. Eng. Manuf. 2022, 12, 1–11. [Google Scholar]
- Al-Salti, N.; Al-Musalhi, F.; Gandhi, V.; Al-Moqbali, M.; Elmojtaba, I. Dynamical analysis of a prey-predator model incorporating a prey refuge with variable carrying capacity. Ecol. Complex. 2021, 45, 100888. [Google Scholar] [CrossRef]
- Alabacy, Z.K.; Majeed, A.A. The Fear Effect on a Food Chain Prey-Predator Model Incorporating a Prey Refuge and Harvesting. J. Phys. Conf. Ser. 2021, 1804, 012077. [Google Scholar] [CrossRef]
- Li, S. Hopf bifurcation, stability switches and chaos in a prey-predator system with three stage structure and two time delays. Math. Biosci. Eng. 2019, 16, 6934–6961. [Google Scholar] [CrossRef]
- Panja, P.; Jana, S.; Mondal, S.K. Dynamics of a stage structure prey-predator model with ratio-dependent functional response and anti-predator behavior of adult prey. Numer. Algebra Control. Optim. 2021, 11, 391–405. [Google Scholar] [CrossRef]
- Alkhasawneh, R.A. A New Stage Structure Predator-Prey Model with Diffusion. Int. J. Appl. Comput. Math. 2021, 7, 1–11. [Google Scholar] [CrossRef]
- Sarkar, K.; Khajanchi, S. Impact of fear effect on the growth of prey in a predator-prey interaction model. Ecol. Complex. 2020, 42, 100826. [Google Scholar] [CrossRef]
- Cresswell, W. Predation in bird populations. J. Ornithol. 2011, 152, 251–263. [Google Scholar] [CrossRef]
- Yan, J.C.; Liu, X.N. A Predator-Prey System with Beddington–DeAngelis Functional Response and Fear Effect. J. Southwest Univ. 2018, 40, 109–114. [Google Scholar]
- Zhang, H.; Cai, Y.; Fu, S.; Wang, W. Impact of the fear effect in a prey-predator model incorporating a prey refuge. Appl. Math. Comput. 2019, 356, 328–337. [Google Scholar] [CrossRef]
- Du, Y.P.; Huang, Y.; Li, D.S.; Zhang, H. Predator Recognition in Prey Animals and the Application in Reintroduction Program. Sichuan J. Zool. 2012, 31, 332–335. [Google Scholar]
- Kar, T.K.; Batabyal, A. Stability and bifurcation of a prey–predator model with time delay. Comptes Rendus Biol. 2009, 332, 642–651. [Google Scholar] [CrossRef]
- Rao, F.; Castillo-Chavez, C.; Kang, Y. Dynamics of a stochastic delayed Harrison-type predation model: Effects of delay and stochastic components. Math. Biosci. Eng. 2018, 15, 1401–1423. [Google Scholar] [CrossRef] [Green Version]
- Chang, L.; Sun, G.Q.; Wang, Z.; Jin, Z. Rich dynamics in a spatial predator–prey model with delay. Math. Slovaca 2015, 256, 540–550. [Google Scholar] [CrossRef]
- Celik, C. The stability and Hopf bifurcation for a predator–prey system with time delay. Chaos Solitons Fractals 2008, 37, 87–99. [Google Scholar] [CrossRef]
- Yang, Y. Hopf bifurcation in a two-competitor, one-prey system with time delay. Appl. Math. Comput. 2009, 214, 228–235. [Google Scholar] [CrossRef]
- Bagley, R.L.; Torvik, P.J. A Theoretical Basis for the Application of Fractional Calculus to Viscoelasticity. J. Rheol. 1983, 27, 201–210. [Google Scholar] [CrossRef]
- Bagley, R.L.; Torvik, P.J. Fractional calculus—A different approach to the analysis of viscoelastically damped structures. Aiaa J. 1983, 21, 741–748. [Google Scholar] [CrossRef]
- Sakthivel, R.; Ganesh, R.; Ren, Y.; Anthoni, S.M. Approximate controllability of nonlinear fractional dynamical systems. Commun. Nonlinear Sci. Numer. Simul. 2013, 18, 3498–3508. [Google Scholar] [CrossRef]
- Li, C.; Ma, Y. Fractional dynamical system and its linearization theorem. Nonlinear Dyn. 2012, 71, 621–633. [Google Scholar] [CrossRef]
- Miller, K.S.; Ross, B. An Introduction to the Fractional Calculus and Fractional Differential Equations; Wiley: New York, NY, USA, 1993. [Google Scholar]
- Brunner, H. Numerical Solution of Fractional Differential Equations. Math. Sci. Eng. 1999, 198, 223–242. [Google Scholar]
- Zhao, H.; Zhang, X.; Huang, X. Hopf bifurcation and spatial patterns of a delayed biological economic system with diffusion. Appl. Math. Comput. 2015, 266, 462–480. [Google Scholar] [CrossRef]
- Xiao, M.; Zheng, W.X.; Cao, J. Hopf bifurcation of an (n + 1)-neuron bidirectional associative memory neural network model with delays. IEEE Trans. Neural Netw. Learn. Syst. 2013, 24, 118–132. [Google Scholar] [CrossRef]
- Shi, M.; Wang, Z.H. Stability and Hopf bifurcation control of a fractional-order small world network model. Sci. Sin. 2013, 43, 467–477. [Google Scholar]
- Xiao, M.; Jiang, G.; Zhao, L. State feedback control at Hopf bifurcation in an exponential RED algorithm model. Nonlinear Dyn. 2014, 76, 1469–1484. [Google Scholar] [CrossRef]
- Chen, S.; Zou, Y.; Zhang, X. An efficient method for Hopf bifurcation control in fractional-order neuron model. IEEE Access 2019, 7, 77490–77498. [Google Scholar] [CrossRef]
- Ding, D.; Qian, X.; Hu, W.; Wang, N.; Liang, D. Chaos and Hopf bifurcation control in a fractional-order memristor-based chaotic system with time delay. Eur. Phys. J. Plus 2017, 132, 447. [Google Scholar] [CrossRef]
- Zheng, K.; Zhou, X.; Wu, Z.; Wang, Z.; Zhou, T. Hopf bifurcation controlling for a fractional order delayed paddy ecosystem in the fallow season. Adv. Differ. Equ. 2019, 2019, 307. [Google Scholar] [CrossRef] [Green Version]
- Wang, C.X.; Hu, Z.X. Stability of a delayed prey-predatory model with fear effect and prey refuge. J. Henan Norm. Univ. 2021, 49, 10–17. [Google Scholar]
- Mukherjee, D. Dynamical study of non-integer order predator–prey system with fear effect. Int. J. Model. Simul. 2022, 42, 441–449. [Google Scholar] [CrossRef]
- Podlubny, I. Fractional Differential Equations; Academic Press: London, UK, 1999. [Google Scholar]
- Caputo, M. Linear models of dissipation whose Q is almost frequency independent—II. Geophys. J. Int. 1967, 13, 529–539. [Google Scholar] [CrossRef]
- Phillips, M.J. Transform Methods with Applications to Engineering and Operations Research. J. Oper. Res. Soc. 1978, 29, 1038–1039. [Google Scholar] [CrossRef]
- Liu, X.; Fang, H. Periodic pulse control of Hopf bifurcation in a fractional-order delay predator–prey model incorporating a prey refuge. Adv. Differ. Equ. 2019, 2019, 479. [Google Scholar] [CrossRef]
- Xiao, Z.; Li, Z.; Zhu, Z.; Chen, F. Hopf bifurcation and stability in a Beddington–DeAngelis predator-prey model with stage structure for predator and time delay incorporating prey refuge. Open Math. 2019, 17, 141–159. [Google Scholar] [CrossRef]
- Lin, S.D.; Lu, C.H. Laplace transform for solving some families of fractional differential equations and its applications. Adv. Differ. Equ. 2013, 2013, 137. [Google Scholar] [CrossRef] [Green Version]
- Bhalekar, S.; Daftardar-Gejji, V. A predictor-corrector scheme for solving nonlinear delay differential equations of fractional order. J. Fract. Calc. Appl. 2011, 1, 1–9. [Google Scholar]






| Transversality Condition | |||
|---|---|---|---|
| 0.05 | 0.038858 | 35.533 | 0.0000899288 |
| 0.1 | 0.038850 | 35.608 | 0.0000900460 |
| 0.2 | 0.038833 | 35.757 | 0.0000902623 |
| 0.3 | 0.038815 | 35.906 | 0.0000904556 |
| 0.4 | 0.038796 | 36.054 | 0.0000906266 |
| 0.5 | 0.038776 | 36.202 | 0.0000907763 |
| 0.6 | 0.038755 | 36.348 | 0.0000909056 |
| 0.7 | 0.038732 | 36.494 | 0.0000910151 |
| 0.8 | 0.038709 | 36.640 | 0.0000911057 |
| 0.9 | 0.038685 | 36.784 | 0.0000911781 |
| 0.99 | 0.038663 | 36.914 | 0.0000912283 |
| Transversality Condition | |||
|---|---|---|---|
| 0.1 | 0.038858 | 35.533 | 0.0000899288 |
| 0.2 | 0.039765 | 34.178 | 0.0000966910 |
| 0.3 | 0.040387 | 33.304 | 0.0001012262 |
| 0.4 | 0.040800 | 32.752 | 0.0001040106 |
| 0.5 | 0.041056 | 32.429 | 0.0001054188 |
| 0.6 | 0.041191 | 32.276 | 0.0001057446 |
| 0.7 | 0.041229 | 32.255 | 0.0001052195 |
| 0.8 | 0.041192 | 32.338 | 0.0001040259 |
| 0.9 | 0.041092 | 32.507 | 0.0001023092 |
| 0.99 | 0.040958 | 32.721 | 0.0001004132 |
| m | Transversality Condition | ||
|---|---|---|---|
| 0.05 | 0.038858 | 35.533 | 0.0000899288 |
| 0.06 | 0.036354 | 40.349 | 0.0000686956 |
| 0.07 | 0.033570 | 46.673 | 0.0000499478 |
| 0.08 | 0.030428 | 55.381 | 0.0000338849 |
| 0.09 | 0.026812 | 68.210 | 0.0000207164 |
| 0.10 | 0.022526 | 89.220 | 0.0000106555 |
| 0.11 | 0.017200 | 130.850 | 0.0000038985 |
| 0.12 | 0.009920 | 262.802 | 0.0000005387 |
| Transversality Condition | |||
|---|---|---|---|
| 0.63 | 0.001594 | 1641.098 | 0.0000000631 |
| 0.67 | 0.002666 | 951.636 | 0.0000001883 |
| 0.71 | 0.004259 | 573.477 | 0.0000005115 |
| 0.75 | 0.006541 | 355.943 | 0.0000012877 |
| 0.79 | 0.009698 | 226.110 | 0.0000030445 |
| 0.83 | 0.013900 | 146.548 | 0.0000068265 |
| 0.87 | 0.019235 | 96.960 | 0.0000145882 |
| 0.91 | 0.025648 | 65.706 | 0.0000296835 |
| 0.95 | 0.032949 | 45.759 | 0.0000571911 |
| 0.98 | 0.038858 | 35.533 | 0.0000899288 |
| 0.99 | 0.040891 | 32.769 | 0.0001037719 |
| 1 | 0.042951 | 30.268 | 0.0001192876 |
| Transversality Condition | |||
|---|---|---|---|
| 0.63 | 0.033009 | 46.423 | 0.0000585174 |
| 0.67 | 0.034213 | 43.729 | 0.0000646623 |
| 0.71 | 0.035273 | 41.558 | 0.0000702717 |
| 0.75 | 0.036199 | 39.808 | 0.0000752912 |
| 0.79 | 0.037000 | 38.400 | 0.0000796967 |
| 0.83 | 0.037686 | 37.275 | 0.0000834898 |
| 0.87 | 0.038266 | 36.382 | 0.0000866934 |
| 0.91 | 0.038751 | 35.681 | 0.0000893461 |
| 0.95 | 0.039149 | 35.141 | 0.0000914972 |
| 0.98 | 0.039398 | 34.824 | 0.0000928146 |
| 0.99 | 0.039472 | 34.733 | 0.0000932021 |
| 1 | 0.039542 | 34.649 | 0.0000935654 |
| Transversality Condition | |||
|---|---|---|---|
| 0.63 | 0.010074 | 236.261 | 0.0000029780 |
| 0.67 | 0.013125 | 170.912 | 0.0000057800 |
| 0.71 | 0.016401 | 128.390 | 0.0000102249 |
| 0.75 | 0.019836 | 99.378 | 0.0000167187 |
| 0.79 | 0.023394 | 78.732 | 0.0000256033 |
| 0.83 | 0.027064 | 63.492 | 0.0000371544 |
| 0.87 | 0.030851 | 51.884 | 0.0000515967 |
| 0.91 | 0.034772 | 42.804 | 0.0000691252 |
| 0.95 | 0.038858 | 35.533 | 0.0000899288 |
| 0.98 | 0.042054 | 30.971 | 0.0001078058 |
| 0.99 | 0.043148 | 29.589 | 0.0001142184 |
| 1 | 0.044259 | 28.269 | 0.0001208652 |
| L | Transversality Condition | ||
|---|---|---|---|
| −0.003 | 0.036053 | 40.542 | 0.0000654495 |
| −0.005 | 0.034009 | 44.827 | 0.0000512848 |
| −0.007 | 0.031796 | 50.214 | 0.0000388544 |
| −0.010 | 0.028071 | 61.544 | 0.0000234772 |
| −0.013 | 0.023680 | 80.183 | 0.0000120318 |
| −0.015 | 0.020215 | 101.259 | 0.0000065762 |
| −0.018 | 0.013707 | 172.017 | 0.0000015764 |
| −0.020 | 0.007774 | 344.276 | 0.0000002167 |
Publisher’s Note: MDPI stays neutral with regard to jurisdictional claims in published maps and institutional affiliations. |
© 2022 by the authors. Licensee MDPI, Basel, Switzerland. This article is an open access article distributed under the terms and conditions of the Creative Commons Attribution (CC BY) license (https://creativecommons.org/licenses/by/4.0/).
Share and Cite
Lan, Y.; Shi, J.; Fang, H. Hopf Bifurcation and Control of a Fractional-Order Delay Stage Structure Prey-Predator Model with Two Fear Effects and Prey Refuge. Symmetry 2022, 14, 1408. https://doi.org/10.3390/sym14071408
Lan Y, Shi J, Fang H. Hopf Bifurcation and Control of a Fractional-Order Delay Stage Structure Prey-Predator Model with Two Fear Effects and Prey Refuge. Symmetry. 2022; 14(7):1408. https://doi.org/10.3390/sym14071408
Chicago/Turabian StyleLan, Yongzhong, Jianping Shi, and Hui Fang. 2022. "Hopf Bifurcation and Control of a Fractional-Order Delay Stage Structure Prey-Predator Model with Two Fear Effects and Prey Refuge" Symmetry 14, no. 7: 1408. https://doi.org/10.3390/sym14071408
APA StyleLan, Y., Shi, J., & Fang, H. (2022). Hopf Bifurcation and Control of a Fractional-Order Delay Stage Structure Prey-Predator Model with Two Fear Effects and Prey Refuge. Symmetry, 14(7), 1408. https://doi.org/10.3390/sym14071408

