Particle Multiplicity Fluctuations and Spatiotemporal Properties of Particle-Emitting Source of Strongly Interacting Matter for NICA and RHIC Energies
Abstract
1. Introduction
2. Materials and Methods
2.1. Simulation of Heavy Ion Collisions
2.2. Correlation Femtoscopy
2.3. Experimental Effects Affecting Femtoscopic Observables
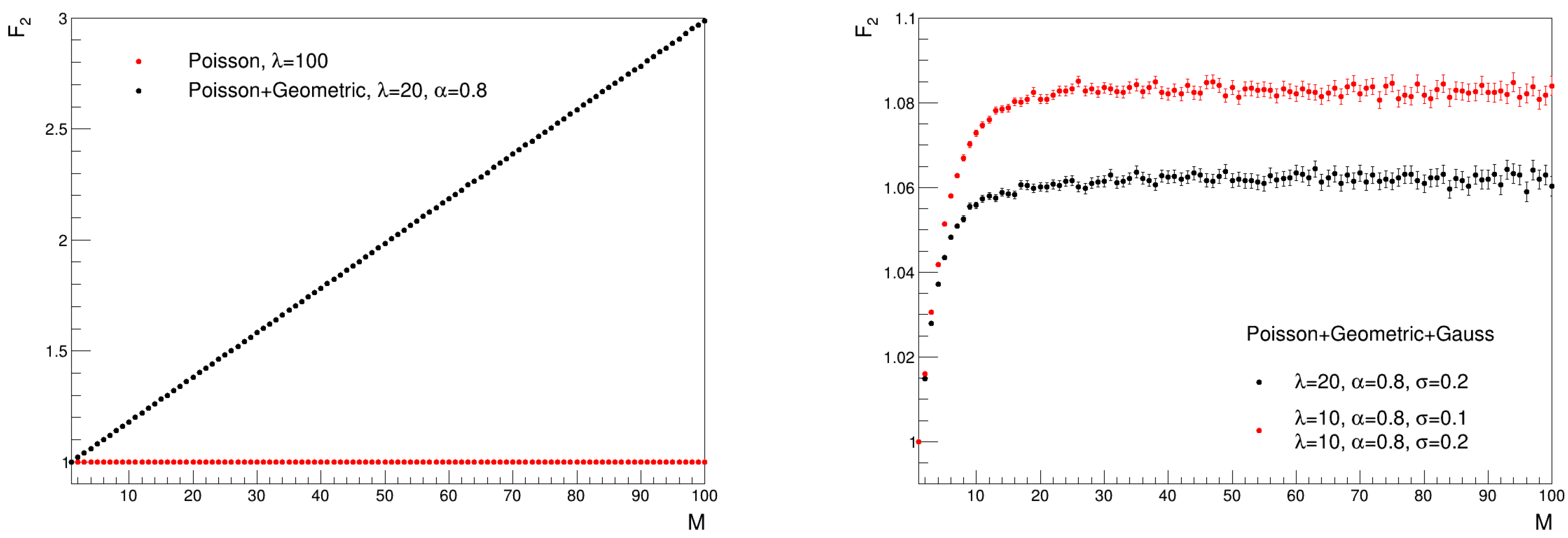
2.4. Factorial Moments (Intermittency) Method
- is multiplied to purity and transformed into at M.
- The equation is solved by ROOUNFOLD with output .
- is divided to acceptance to obtain an distribution.
- The response matrix, purity, and acceptance are estimated over the limited number of events.
- We estimated the mean value of the factorial moment distribution (shown in Figure 7). For some distribution factorial moments, the value may appear in the overflow of the histogram, and the mean value is slightly shifted for the response matrix, purity, acceptance, and reconstructed distribution.
- We fit the plateau of the factorial moments’ dependency on the number of bins using a constant function. The fit depends on the number of used divisions.
- The response matrix, purity, and acceptance are created based on some detector model and then applied to the data. Although the detector model is verified for each experiment with additional alignment and calibration measurements, the difference is unavoidable.
3. Results
3.1. Femtoscopic Correlations of Pions and Kaons in the NICA Energy Range
3.2. Sensitivity of the Factorial Moments to the Type of Phase Transition in A+A Collisions
4. Discussion
4.1. Femtoscopic Correlations of Pions and Kaons
4.2. Intermittency Analysis
4.3. Detector Effects
5. Conclusions
Author Contributions
Funding
Institutional Review Board Statement
Informed Consent Statement
Data Availability Statement
Acknowledgments
Conflicts of Interest
References
- Arsene, I.; Bearden, I.G.; Beavis, D.; Besliu, C.; Budick, B.; Bøggild, C.H.G.; Chasmana, C.H.; Christensen, G.; Christiansen, P.; Cibor., J.; et al. Quark-gluon plasma and color glass condensate at RHIC? The perspective from the BRAHMS experiment. Nucl. Phys. A 2005, 757, 1–27. [Google Scholar] [CrossRef]
- Back, B.; Baker, M.D.; Ballintijn, M.; Barton, D.S.; Becker, B.; Betts, R.R.; Bickley, A.A.; Bindel, R.; Budzanowski, A.; Busza, W.; et al. The PHOBOS perspective on discoveries at RHIC. Nucl. Phys. A 2005, 757, 28–101. [Google Scholar] [CrossRef]
- Adams, J.; Aggarwal, M.M.; Ahammed, Z.; Amonett, J.; Anderson, B.D.; Arkhipkin, D.; Averichev, G.S.; Badyal, S.K.; Bai, Y.; Balewski, J.; et al. Experimental and theoretical challenges in the search for the quark–gluon plasma: The STAR Collaboration’s critical assessment of the evidence from RHIC collisions. Nucl. Phys. A 2005, 757, 102–183. [Google Scholar] [CrossRef]
- Adcox, K.; Adler, S.S.; Afanasiev, S.; Aidala, C.; Ajitanand, N.N.; Akiba, Y.; Al-Jamel, A.; Alexander, J.; Amirikas, R.; Aoki, K.; et al. Formation of dense partonic matter in relativistic nucleus-nucleus collisions at RHIC: Experimental evaluation by the PHENIX Collaboration. Nucl. Phys. A 2005, 757, 184–283. [Google Scholar] [CrossRef]
- Aamodt, K.; Abelev, B.; Abrahantes Quintana, A.; Adamova, D.; Adare, A.M.; Aggarwal, M.M.; Aglieri Rinella, G.; Agocs, A.G.; Aguilar Salazar, S.; Ahammed, Z.; et al. Elliptic flow of charged particles in Pb-Pb collisions at = 2.76 TeV. Phys. Rev. Lett. 2010, 105, 252302. [Google Scholar] [CrossRef]
- Aad, G.; Abbott, B.; Abdallah, J.; Abdelalim, A.A.; Abdesselam, A.; Abdinov, O.; Abi, B.; Abolins, M.; Abramowicz, H.; Acerbi, E.; et al. Measurement of the pseudorapidity and transverse momentum dependence of the elliptic flow of charged particles in lead-lead collisions at = 2.76 TeV with the ATLAS detector. Phys. Lett. B 2012, 707, 330–348. [Google Scholar] [CrossRef]
- Chatrchyan, S.; Khachatryan, V.; Sirunyan, A.M.; Tumasyan, A.; Adam, W.; Bergauer, T.; Dragicevic, M.; Ero, J.; Fabjan, C.; Friedl, M.; et al. Measurement of the elliptic anisotropy of charged particles produced in PbPb collisions at = 2.76 TeV. Phys. Rev. C 2013, 87, 014902. [Google Scholar] [CrossRef]
- Gyulassy, M.; McLerran, L. New forms of QCD matter discovered at RHIC. Nucl. Phys. A 2005, 750, 30–63. [Google Scholar] [CrossRef]
- Aoki, Y.; Endrodi, G.; Fodor, Z.; Katz, S.D.; Szabo, K.K. The order of the quantum chromodynamics transition predicted by the standard model of particle physics. Nature 2006, 443, 675–678. [Google Scholar] [CrossRef]
- Ejiri, S. Canonical partition function and finite density phase transition in lattice QCD. Phys. Rev. D 2008, 78, 074507. [Google Scholar] [CrossRef]
- Stephanov, M. QCD phase diagram and the critical point. Prog. Theor. Phys. Suppl. 2004, 153, 139–156. [Google Scholar] [CrossRef]
- Hatta, Y.; Stephanov, M. Proton-number fluctuation as a signal of the QCD critical end point. Phys. Rev. Lett. 2003, 91, 129901. [Google Scholar] [CrossRef]
- Borsanyi, S.; Fodor, Z.; Guenther, J.N.; Katz, S.K.; Pasztor, A.; Portillo, I.; Ratti, C.; Szabó, K.K. Towards the equation of state at finite density from the lattice. Nucl. Phys. A 2019, 982, 223–226. [Google Scholar] [CrossRef]
- Bazavov, A.; Bollweg, D.; Ding, H.-T.; Enns, P.; Goswami, J.; Hegde, P.; Kaczmarek, O.; Karsch, F.; Larsen, R.; Mukherjee, S.; et al. Skewness, kurtosis, and the fifth and sixth order cumulants of net baryon-number distributions from lattice QCD confront high-statistics STAR data. Phys. Rev. D 2020, 101, 074502. [Google Scholar] [CrossRef]
- Abdallah, M.S.; Adam, J.; Adamczyk, L.; Adams, J.R.; Adkins, J.K.; Agakishiev, G.; Aggarwal, I.; Aggarwal, M.; Ahammed, Z.; Alekseev, I.; et al. Measurement of the sixth-order cumulant of net-proton multiplicity distributions in Au + Au collisions at = 27, 54.4, and 200 GeV at RHIC. Phys. Rev. Lett. 2021, 127, 262301. [Google Scholar] [CrossRef]
- Fraga, E.; Kodama, T.; Palhares, L.F.; Sorensen, P. Finite-size effects and the search for the critical endpoint of QCD. PoS FACES QCD 2010, 117, 17. [Google Scholar]
- Adam, J.; Adamczyk, L.; Adams, J.R.; Adkins, J.K.; Agakishiev, G.; Aggarwal, M.M.; Ahammed, Z.; Alekseev, I.; Anderson, D.M.; Aparin, A.; et al. Nonmonotonic energy dependence of net-proton number fluctuations. Phys. Rev. Lett. 2021, 126, 092301. [Google Scholar] [CrossRef]
- Bialas, A.; Peschanski, R. Moments of rapidity distributions as a measure of short-range fluctuations in high-energy collisions. Nucl. Phys. 1986, B273, 703. [Google Scholar] [CrossRef]
- Antoniou, N.G.; Davis, N.N.; Diakonos, F.K. Improved intermittency analysis of proton density fluctuations in NA49 ion collisions at 158 AGeV. EPJ Web Conf. 2014, 71, 00035. [Google Scholar] [CrossRef]
- Khan, M.M.; Hussain, T.; Das, I.; Ahmad, S.; Chattopadhyay, S. Improved intermittency analysis of charged particle density fluctuations in Pb+Pb collisions at = 2.76 TeV. DAE-BRNS. Symp. Nucl. Phys. 2016, 61, 840. [Google Scholar]
- Davis, N. Searching for the Critical Point of Strongly Interacting Matter in Nucleus–Nucleus Collisions at CERN SPS. Acta Phys. Polon. Supp. 2020, 13, 637–643. [Google Scholar] [CrossRef]
- Anticic, T.; Baatar, B.; Barna, D.; Bartke, J.; Beck, J.; Betev, L.; Białkowska, H.; Blume, C.; Bogusz, M.; Boimska, B.; et al. Critical fluctuations of the proton density in A+A collisions at 158A GeV. Eur. Phys. J. C 2015, 75, 587. [Google Scholar] [CrossRef]
- Kodolova, O.; Cheremnova, M.; Lokhtin, I.; Chernyshov, A.; Malinina, L.; Mikhaylov, K.; Batyuk, P.; Nigmatkulov, G. Factorial Moments in the NICA/MPD Experiment. Phys. Part. Nucl. 2021, 52, 658–662. [Google Scholar] [CrossRef]
- Lisa, M.; Frodermann, E.; Graef, G.; Mitrovski, M.; Mount, E.; Petersen, H.; Bleicher, M. Shape analysis of strongly interacting systems: The heavy ion case. New J. Phys. 2011, 13, 065006. [Google Scholar] [CrossRef][Green Version]
- Kopylov, G.I.; Podgoretsky, M. Correlations of identical particles emitted by highly excited nuclei. Sov. J. Nucl. Phys. 1972, 15, 219. [Google Scholar]
- Kopylov, G. Like particle correlations as a tool to study the multiple production mechan. Phys. Lett. B 1974, 50, 472–474. [Google Scholar] [CrossRef]
- Podgoretsky, M.I. Identical pion interferometry correlations. Theory. Sov. J. Part. Nucl. 1989, 20, 266. [Google Scholar]
- Lisa, M.A.; Pratt, S.; Soltz, R.; Wiedemann, U. Femtoscopy in relativistic heavy ion collisions: Two decades of progress. Ann. Rev. Nucl. Part. Sci. 2005, 55, 357–402. [Google Scholar] [CrossRef]
- Akkelin, S.V.; Sinyukov, Y.M. The HBT-interferometry of expanding sources. Phys. Lett. B 1995, 356, 525–530. [Google Scholar] [CrossRef]
- Kravchenko, Y.V.; Khyzhniak, Y.V.; Bravina, L.V.; Nigmatkulov, G.A.; Sinyukov, Y.M.; Zabrodin, E.E. Space-time structure of the pion emission in central Au+Au collisions at RHIC energies. Phys. Scr. 2021, 96. [Google Scholar] [CrossRef]
- Adams, J.; Aggarwal, M.M.; Ahammed, Z.; Amonett, J.; Anderson, B.D.; Arkhipkin, D.; Averichev, G.S.; Badyal, S.K.; Bai, Y.; Balewski, J.; et al. Pion interferometry in Au+Au collisions at = 200 GeV. Phys. Rev. C 2005, 71, 044906. [Google Scholar] [CrossRef]
- Adam, J.; Adamova, D.; Aggarwal, M.M.; Aglieri Rinella, G.; Agnello, M.; Agrawal, N.; Ahammed, Z.; Ahn, S.U.; Aimo, I.; Aiola, S.; et al. Centrality dependence of pion freeze-out radii in Pb-Pb collisions at = 2.76 TeV. Phys. Rev. C 2016, 93, 024905. [Google Scholar] [CrossRef]
- Shapoval, V.M.; Sinyukov, Y.M. Kaon and pion maximal emission times extraction from the femtoscopy analysis of 5.02A TeV LHC collisions within the integrated hydrokinetic model. Nucl. Phys. A 2021, 1016, 122322. [Google Scholar] [CrossRef]
- Acharya, S.; Adam, J.; Adamova, D.; Adolfsson, J.; Aggarwal, M.M.; Aglieri Rinella, G.; Agnello, M.; Agrawal, N.; Ahammed, Z.; Ahmad, N.; et al. Kaon femtoscopy in Pb-Pb collisions at = 2.76 TeV. Phys. Rev. C 2017, 96, 064613. [Google Scholar] [CrossRef]
- Shapoval, V.M.; Braun-Munzinger, P.; Karpenko, Y.M.; Sinyukov, Y.M. Femtoscopy correlations of kaons in Pb+Pb collisions at LHC within hydrokinetic model. Nucl. Phys. A 2014, 929, 1–8. [Google Scholar] [CrossRef]
- Pratt, S. Pion interferometry of quark–gluon plasma. Phys. Rev. D 1986, 33, 1314–1327. [Google Scholar] [CrossRef]
- Bertsch, G.; Gong, M.; Tohyama, M. Pion interferometry in ultrarelativistic heavy-ion collisions. Phys. Rev. C 1988, 37, 1896–1900. [Google Scholar] [CrossRef]
- Rischke, D.H.; Gyulassy, M. The time-delay signature of quark–gluon plasma formation in relativistic nuclear collisions. Nucl. Phys. A 1996, 608, 479–512. [Google Scholar] [CrossRef]
- Adler, C.; Aggarwal, M.M.; Ahammed, Z.; Amonett, J.; Anderson, B.D.; Arkhipkin, D.; Averichev, G.S.; Badyal, S.K.; Bai, Y.; Balewski, J.; et al. Pion interferometry of = 130 GeV Au + Au collisions at RHIC. Phys. Rev. Lett. 2001, 87, 082301. [Google Scholar] [CrossRef]
- Adcox, K.; Adler, S.S.; Ajitanand, N.N.; Akiba, Y.; Alexander, J.; Aphecetche, L.; Arai, Y.; Aronson, S.H.; Averbeck, R.; Awes, T.C.; et al. Centrality dependence of π+/−, K+/−, p, and production from = 130 GeV Au+Au collisions at RHIC. Phys. Rev. Lett. 2002, 88, 242301. [Google Scholar] [CrossRef]
- Heinz, U.; Kolb, P. Early thermalization at RHIC. Nucl. Phys. A 2002, 702, 269–280. [Google Scholar] [CrossRef]
- Shapoval, V.; Adzhymambetov, M.D.; Sinyukov, Y.M. Femtoscopy scales and particle production in the relativistic heavy ion collisions from Au+Au at 200 AGeV to Xe+Xe at 5.44 ATeV within the integrated hydrokinetic model. Eur. Phys. J. A 2020, 56, 260. [Google Scholar] [CrossRef]
- Sinyukov, Y.M.; Akkelin, S.V.; Karpenko, I.A.; Hama, Y. Kinetics versus hydrodynamics: Generalization of Landau/Cooper-Frye prescription for freeze-out. Acta Phys. Polon. B 2009, 40, 1025–1036. [Google Scholar]
- Broniowski, W.; Chojnacki, M.; Florkowski, W.; Kisiel, A. Uniform description of soft observables in heavy-ion collisions at = 200 GeV. Phys. Rev. Lett. 2008, 101, 022301. [Google Scholar] [CrossRef] [PubMed]
- Pratt, S. The long slow death of the HBT puzzle. Nucl. Phys. A 2009, 830, 51C–57C. [Google Scholar] [CrossRef]
- Karpenko, I.; Bleicher, M.; Huovinen, P.; Petersen, H. Effects of EoS in viscous hydro + cascade model for the RHIC Beam Energy Scan. Nucl. Phys. A 2016, 956, 834–837. [Google Scholar] [CrossRef][Green Version]
- Adamczyk, L.; Adkins, J.K.; Agakishiev, G.; Aggarwal, M.M.; Ahammed, Z.; Alekseev, I.; Alford, J.; Anson, C.D.; Aparin, A.; Arkhipkin, D.; et al. Beam-energy-dependent two-pion interferometry and the freeze-out eccentricity of pions measured in heavy ion collisions at the STAR detector. Phys. Rev. C 2015, 92, 014904. [Google Scholar] [CrossRef]
- Batyuk, P.; Karpenko, Y.; Lednicky, R.; Malinina, L.; Mikhaylov, K.; Rogachevsky, O.; Wielanek, D. Correlation femtoscopy study at energies available at the JINR Nuclotron-based Ion Collider fAcility and the BNL Relativistic Heavy Ion Collider within a viscous hydrodynamic plus cascade model. Phys. Rev. C 2017, 96, 024911. [Google Scholar] [CrossRef]
- Bass, S.A.; Belkacem, M.; Bleicher, M.; Brandstetter, M.; Bravina, L.; Ernst, C.; Gerland, L.; Hofmann, M.; Hofmann, S.; Konopka, J.; et al. Microscopic models for ultrarelativistic heavy ion collisions. Prog. Part. Nucl. Phys. 1998, 41, 225. [Google Scholar] [CrossRef]
- Bleicher, M.; Zabrodin, E.; Spieles, C.; Bass, S.A.; Ernst, C.; Soff, S.; Bravina, L.; Belkacem, M.; Weber, H.; Stöcker, H. Relativistic hadron-hadron collisions in the ultra-relativistic quantum molecular dynamics model. J. Phys. G Nucl. Part. Phys. 1999, 25, 1859. [Google Scholar] [CrossRef]
- Karpenko, I.A.; Huovinen, P.; Petersen, H.; Bleicher, M. Estimation of the shear viscosity at finite net-baryon density from A+A collision data at = 7.7–200 GeV. Phys. Rev. C 2015, 91. [Google Scholar] [CrossRef]
- Lokhtin, I.P.; Malinina, L.V.; Petrushanko, S.V.; Snigirev, A.M.; Arsene, I.; Tywoniuk, K. Heavy ion event generator HYDJET++ (HYDrodynamics plus JETs). Comput. Phys. Commun. 2009, 180, 779–799. [Google Scholar] [CrossRef]
- Steinheimer, J.; Schramm, S.; Stöcker, H. An effective chiral hadron-quark equation of state. J. Phys. G Nucl. Part. Phys. 2011, 38, 035001. [Google Scholar] [CrossRef]
- Kolb, P.F.; Sollfrank, J.; Heinz, U. Anisotropic transverse flow and the quark–hadron phase transition. Phys. Rev. C 2000, 62, 054909. [Google Scholar] [CrossRef]
- Koonin, S. Proton pictures of high-energy nuclear collisions. Phys. Lett. B 1977, 70, 43–47. [Google Scholar] [CrossRef]
- Ackermann, K.H.; Adams, N.; Adler, C.; Ahammed, Z.; Ahmad, S.; Allgower, C.; Amonett, J.; Amsbaugh, J.; Anderson, B.D.; Anderson, M.; et al. STAR Detector Overview. Nucl. Instrum. Meth. 2003, A 499, 624–632. [Google Scholar] [CrossRef]
- Aamodt, K.; Quintana, A.A.; Achenbach, R.; Acounis, S.; Adamova, D.; Adler, C.; Aggarwal, M.; Agnese, F.; Rinella, G.A.; Ahammed, Z.; et al. The ALICE experiment at the CERN LHC. JINST 2008, 3, S08002. [Google Scholar] [CrossRef]
- Alme, J.; Andres, Y.; Appelshauser, H.; Bablok, S.; Bialas, N.; Bolgen, R.; Bonnes, U.; Bramm, R.; Braun-Munzinger, P.; Campagnolo, R.; et al. The ALICE TPC, a large 3-dimensional tracking device with fast readout for ultra-high multiplicity events. Nucl. Instrum. Meth. A 2010, 622, 316–367. [Google Scholar] [CrossRef]
- Anderson, M.; Berkovitz, J.; Betts, W.; Bossingham, R.; Bieser, F.; Brown, R.; Burks, M.; de la Barca Sánchez, M.C.; Cebra, D.; Cherney, M.; et al. The STAR time projection chamber: A unique tool for studying high multiplicity events at RHIC. Nucl. Instrum. Meth. A 2003, 499, 659–678. [Google Scholar] [CrossRef]
- Abraamyan, K.U.; Afanasiev, S.V.; Alfeev, V.S.; Anfimov, N.; Arkhipkin, D.; Aslanyan, P.Z.; Babkin, V.A.; Baznat, M.I.; Bazylev, S.N.; Blaschke, D.; et al. The MPD detector at the NICA heavy-ion collider at JINR. Nucl. Instrum. Meth. A 2011, 628, 99–102. [Google Scholar] [CrossRef]
- Bogolyubsky, M.Y.; Levitskii, M.S.; Maksimov, V.V.; Minaenko, A.A.; Moiseev, A.M.; Chekulaev, S.V.; Bravina, L.V.; Zabrodin, E.E.; Kodolova, O.L.; Kruglov, N.A.; et al. Clan model and factorial moments of the multiplicity distribution in intervals. Phys. Atom. Nucl. 1994, 57, 2132. [Google Scholar]
- Bogolyubsky, M.Y.; Levitskii, M.S.; Maksimov, V.V.; Minaenko, A.A.; Moiseev, A.M.; Chekulaev, S.V.; Bravina, L.V.; Zabrodin, E.E.; Kodolova, O.L.; Kruglov, N.A.; et al. Characteristics of the groups of charged particles in pbar p, pp and K-p interactions at 32 GeV/c. Phys. Atom. Nucl. 1995, 58, 1984. [Google Scholar]
- Giovannini, A.; Van Hove, L. Negative Binomial Properties and Clan Structure in Multiplicity Distributions. Acta Phys. Polon. B 1988, 19, 495. [Google Scholar]
- Bhaduri, S.; Bhaduri, A.; Ghosh, D. Clan-Model of Particle Production Process-Revisited in Chaos-based Complex Network Scenario. Phys. Part. Nucl. Lett. 2018, 15, 446–455. [Google Scholar] [CrossRef]
- Giovannini, A.; Ugoccioni, R. Clan structure analysis and QCD parton showers in multiparticle dynamics: An Intriguing dialog between theory and experiment. Int. J. Mod. Phys. A 2005, 20, 3897–4000. [Google Scholar] [CrossRef]
- Adye, T. Unfolding algorithms and tests using RooUnfold. In Proceedings of the PHYSTAT 2011 Workshop on Statistical Issues Related to Discovery Claims in Search Experiments and Unfolding, Geneva, Switzerland, 17–20 January 2011; pp. 313–318. [Google Scholar] [CrossRef]













Publisher’s Note: MDPI stays neutral with regard to jurisdictional claims in published maps and institutional affiliations. |
© 2022 by the authors. Licensee MDPI, Basel, Switzerland. This article is an open access article distributed under the terms and conditions of the Creative Commons Attribution (CC BY) license (https://creativecommons.org/licenses/by/4.0/).
Share and Cite
Cheremnova, M.; Chernyshov, A.; Khyzhniak, Y.; Kodolova, O.; Kuzmin, V.; Lokhtin, I.; Malinina, L.; Mikhaylov, K.; Nigmatkulov, G. Particle Multiplicity Fluctuations and Spatiotemporal Properties of Particle-Emitting Source of Strongly Interacting Matter for NICA and RHIC Energies. Symmetry 2022, 14, 1316. https://doi.org/10.3390/sym14071316
Cheremnova M, Chernyshov A, Khyzhniak Y, Kodolova O, Kuzmin V, Lokhtin I, Malinina L, Mikhaylov K, Nigmatkulov G. Particle Multiplicity Fluctuations and Spatiotemporal Properties of Particle-Emitting Source of Strongly Interacting Matter for NICA and RHIC Energies. Symmetry. 2022; 14(7):1316. https://doi.org/10.3390/sym14071316
Chicago/Turabian StyleCheremnova, Mariya, Alexey Chernyshov, Yevheniia Khyzhniak, Olga Kodolova, Valentin Kuzmin, Igor Lokhtin, Ludmila Malinina, Konstantin Mikhaylov, and Grigory Nigmatkulov. 2022. "Particle Multiplicity Fluctuations and Spatiotemporal Properties of Particle-Emitting Source of Strongly Interacting Matter for NICA and RHIC Energies" Symmetry 14, no. 7: 1316. https://doi.org/10.3390/sym14071316
APA StyleCheremnova, M., Chernyshov, A., Khyzhniak, Y., Kodolova, O., Kuzmin, V., Lokhtin, I., Malinina, L., Mikhaylov, K., & Nigmatkulov, G. (2022). Particle Multiplicity Fluctuations and Spatiotemporal Properties of Particle-Emitting Source of Strongly Interacting Matter for NICA and RHIC Energies. Symmetry, 14(7), 1316. https://doi.org/10.3390/sym14071316

