Abstract
Discrete integrable nonlinear differential difference equations (NDDEs) have various mathematical structures and properties, such as Lax pair, infinitely many conservation laws, Hamiltonian structure, and different kinds of symmetries, including Lie point symmetry, generalized Lie bäcklund symmetry, and master symmetry. Symmetry is one of the very effective methods used to study the exact solutions and integrability of NDDEs. The Toda lattice equation is a famous example of NDDEs, which may be used to simulate the motions of particles in lattices. In this paper, we investigated the generalized Toda lattice equation related to matrix linear spectral problem. This discrete equation is related to continuous linear and nonlinear partial differential equations under the continuous limit. Based on the known Lax pair of this equation, the discrete generalized -fold Darboux transformation was constructed for the first time and extended from the Lax pair to the Lax pair to give its rational solutions. Furthermore, the limit states of such rational solutions are discussed via the asymptotic analysis technique. Finally, the exponential–rational mixed solutions of the generalized Toda lattice equation are obtained in the form of determinants.
1. Introduction
Nonlinear differential difference equations (NDDEs) may describe many physical phenomena in nonlinear optics, biology, lattice dynamics, and electronics [,,]. One of the most famous integrable NDDEs is the Toda lattice system, which can describe the lattice motions dependent on the distance between particles and their nearest neighbors [,]. For a better understanding of this phenomenon, the reader can refer to the first figure in Reference []; in that figure, the N particles labeled from 1 to N are connected by springs, which shows the interactions of the one-dimensional lattice at a fixed distance. Since the Toda lattice was proposed [,], the properties related to this equation have been widely studied, such as the related integrable hierarchy and Hamiltonian structures [], rational solutions [], complexiton solutions [], positon–negaton-type solutions [], mixed soliton–rational solutions [], soliton solutions [], and so on. Later, for the practical need of scientific research, researchers proposed other discrete equations related to the Toda lattice equation, such as the relativistic Toda lattice [], modified Toda lattice equation [,], and generalized Toda lattice equation [,], etc.
In this paper, we mainly investigate the following generalized Toda lattice equation [,] given by
where , , are potential functions of variables n and t. When , Equation (1) degenerates to the famous Toda lattice equation. In References [,], the Lax pair of Equation (1) is given by
in which represents the spectral parameter independent of time t, the shift operator E meets the condition , , and is an eigenfunction vector solution of Equation (1). The compatibility condition of Lax pair (2) yields Equation (1). In Reference [], the Darboux transformation (DT) and exact one-soliton solutions of Equation (1) are given.
Some methods for constructing the explicit exact solutions of the discrete integrable NDDEs have been presented and developed, such as the inverse scattering method [], discrete Hirota method [], classical Lie symmetry approach [,], and discrete DT method [,]. Among them, the Lie symmetry approach is a very effective method used to find the exact solutions of NDDEs and predict their integrability; its main idea is to decrease the order of NDDEs by using symmetry so as to obtain their exact solutions [,]. Moreover, the discrete DT method is also regarded as an effective means to solve Lax integrable NDDEs [,]. Recently, a discrete generalized -fold DT related to Lax pair has been proposed [], comparing with the usual DT, its main advantage is that it can give not only usual soliton solutions, but also rational solutions, as well as mixed solutions of usual soliton and rational solutions. In Reference [], this generalized method is extended to obtain exact solutions of the discrete coupled Ablowitz–Ladik equation from a matrix spectral problem to matrix spectral problem. In Reference [], this method is once again extended to the discrete generalized -fold DT to obtain various exact solutions of a relativistic Toda lattice equation related to the matrix spectral problem. However, this discrete generalized method has never been extended to solve the discrete integrable NDDEs related to the Lax pair. Therefore, the main goal of this paper is to extend this technique to solve the Lax integrable NDDEs with Lax pair, and we take Equation (1) as an example and construct its discrete generalized -fold DT to give some rational and mixed solutions.
This paper is structured as follows. Section 2 presents the continuous limit of Equation (1), from which Equation (1) is converged to linear partial differential equations (PDEs) and nonlinear partial differential equations (NPDEs). Section 3 shows the discrete generalized -fold DT of Equation (1) for the first time. In Section 4, we obtain the first-order rational solutions and exponential–rational mixed solutions of Equation (1) by using the discrete generalized -fold DT, and we analyze the asymptotic states of the first-order rational solutions. Finally, the conclusions are presented in the last section.
2. Continuous Limit
Continuous limit may be regarded as a bridge between discrete equations and continuous equations. Through appropriate continuous limits, discrete NDDEs and continuous NPDEs can be transformed to each other []. In this section, we will mainly investigate the continuous limit of Equation (1). According to the appropriate approximation, we find that Equation (1) can converge not only to a linear PDE, but also to an NPDE. Under the continuous conditions
Equation (1) can be transformed to
which is just the linear PDEs when the fourth order terms of the infinitesimal are neglected and is written as time variable t. Here, is an arbitrary small parameter.
Moreover, under the limit conditions
Equation (1) is equivalent to
which is just the NPDEs if we also ignore the fourth order terms of and change into time variable t.
3. Discrete Generalized (m, 3N − m)-Fold DT
In this section, the discrete generalized -fold DT of Equation (1) related to Lax pair will be investigated. First of all, a special gauge transformation is considered as follows
then the Lax pair (2) is transformed into the following forms
where the forms of , are the same as , , except that the old solutions , , are replaced by the new ones , , , respectively. To this end, we define a particular Darboux matrix as
in which N is an arbitrary positive integer, and , , , , , , , , and are unknown functions of the variables n and t. If we choose appropriate values of , the unknowns in can be uniquely determined by a linear algebraic system of equations . In this linear algebraic system, we use the Taylor expansion of by expanding with and the binomial expansion of given by , where the nonnegative integer means the order number of the highest derivative used in the Taylor expansion of .
Therefore, from the analysis above, we have the following discrete generalized DT theorem:
Theorem 1.
Supposing Lax pair (2) has m different solutions with the spectral parameters (i = 1, 2,…,m), the following transformations are generated from the old solutions , , to the new ones , ,
with
where
with , , in which , , are given by
and is derived by replacing the th column of determinant by the column vector with in which , , and are obtained by replacing the first, th and th columns of determinant by the column vector with in which , respectively, and is given by replacing the first column of determinant by the column vector with in which , where and are derived from and by changing n into and , respectively.
Remark 1.
Here, we refer to the transformations (7) and (9) using m spectral parameters as the discrete generalized -fold DT of Equation (1), in this term, m means the number of parameters we use, N represents the order number of DT, and represents the sum of the highest derivative used in Taylor expansion. When and , Theorem 1 degenerates to the discrete generalized -fold DT, which contains the usual DT [], which can derive soliton solutions. When and , Theorem 1 becomes the discrete generalized -fold DT, which can give rational or semi-rational solutions as shown in the next part. When , we can obtain mixed solutions, which will not be discussed in detail in this paper to save space. Here, the detailed proof derivation process of Theorem 1 is omitted, and the readers can refer to the proof process and steps in References [,,] and references therein to complete the proof of Theorem 1; therefore, we leave it as an exercise for the reader. Furthermore, in the next section, we can solve Equation (1) by using Theorem 1, and then bring these solutions into Equation (1) with the help of the symbolic calculation Maple, which can also verify the correctness of Theorem 1.
4. Explicit Exact Solutions and Their Asymptotic Analysis
In this section, we will use the discrete generalized -fold DT to obtain first-order rational solutions and mixed solutions, and utilize an asymptotic analysis to investigate the properties of the obtained rational solution.
4.1. Rational Solutions and Their Asymptotic Analyses
In this part, we will only discuss the rational solutions of Equation (1) when . When , Theorem 1 reduces to the discrete generalized -fold DT. In order to give the rational solutions of Equation (1) associated with Lax pair, the solution process is more complex than Lax pair. Therefore, we choose the special trivial initial solutions , , of Equation (1) to substitute them into Equation (2), which yields its exact solutions as below:
with
where , , represents arbitrary real constants, and i represents the imaginary unit. Let with , by using Taylor expansion, we expand at through choosing as
with
in which
where , and the rest of are omitted here.
When , from Equation (9), the first-order rational solutions of Equation (1) are written as
with
in which
where and are given from and by changing n into and , respectively. For the convenience of analysis, we rewrite solutions (11) as
with
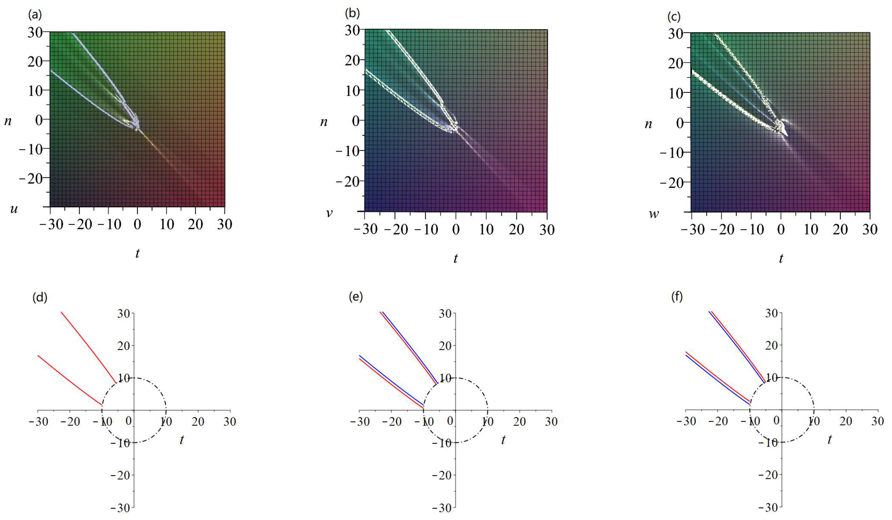
with the help of the symbolic calculation Maple, we can easily verify the correctness of solutions (12) by substituting them into Equation (1). By drawing their structure figures as shown in Figure 1a–c, from which we can see that the solutions of these rational solutions are singular. However, it is very difficult to solve these singular curves directly from the denominator of these solutions. To better understand the positions of these singular curves and dynamical properties of solutions (12), we investigate their limit states via asymptotic analysis technique. Let , where , we can obtain the limit states of solutions as , which are listed as follows:
with
where C is just a constant, and represent the limit state expressions of as respectively.

Figure 1.
(Color online) first-order rational solutions (12): (a) the three-dimensional plot of ; (d) the singular trajectory plot of in (13); (b) the three-dimensional plot of ; (e) the singular trajectory plot of in (13); (c) the three-dimensional plot of ; (f) the singular trajectory plot of in (13).
It should be noted here that the first-order rational solutions (12) of Equation (1) are significantly different from those of the equations with Lax pairs in References [,]. The solutions of Equation (1) are obviously more complex than those of the equations with Lax pairs in References [,] or even the Lax pair in Reference [], and the structures of the solutions (12) are not as symmetrical as those in References [,,].
Remark 2.
From the above discussion, we know that Equation (13) are the limit states of Equation (12) when , while for the case of , the solutions , and tend to their backgrounds respectively, so we do not discuss the case of here. The interaction structures of solutions are complex in the area , and we do not discuss the states of solutions in this part, so we only draw the singular trajectory plots of the solutions (12) when is relatively large. Therefore, it can be easily found that the solution becomes singular at one curve (i.e., ), possess singularities along two curves and (i.e., and ), and has singularities at two curves and (i.e., and ). To show the correctness of our above analysis of solutions (12), we draw the figures of the above singular trajectory analysis results, as displayed in Figure 1d–f. By comparing them with Figure 1a–c, it is easily found that the singularities of first-order rational solutions correspond with our asymptotic analysis results when time t is beyond the range circled by the dash dot, which also shows that what we analyze above is correct.
4.2. Exponential-and-Rational Mixed Solutions
In this section, we will take as an example to obtain the exponential–rational mixed solutions of Equation (1) by using Theorem 1. When , if we take two different spectral parameters and , Theorem 1 degenerates to the discrete generalized -fold DT. Similarly, we choose , , and make the Taylor expansion of around for as in (11), but do not expand for . Therefore, the exponential and rational mixed solutions of Equation (1) are given by
with
in which
where and are given from and by changing n into and , respectively. Because of the complexity of solutions (14), we only use determinants to express them here.
When N and m are greater than or equal to 2, we can also discuss higher-order rational formal solutions or mixed solutions, which we will not discuss here.
5. Conclusions
In this paper, we investigated the generalized Toda lattice Equation (1) associated with a Lax pair, which might model the motions of particles in lattices. The main achievements of this paper are as follows. Firstly, we corresponded Equation (1) to continuous linear PDE (4) and NPDE (6) by using the continuous limit technique. Secondly, the discrete generalized -fold DT of Equation (1) was constructed for the first time, from which the rational solutions and exponential–rational mixed interaction solutions were obtained. Thirdly, the rational solutions of Equation (1)were given by using the discrete generalized -fold DT, and their limit states were discussed by using an asymptotic analysis. In order to better understand their dynamical properties, the three-dimensional and singular trajectory plots of rational solutions were also drawn in Figure 1. Finally, the mixed solutions in the form of determinants of Equation (1) were derived by use of the discrete generalized -fold DT. The results and properties of Equation (1) given above are first reported, and we hope these results in this paper might be helpful to understand the dynamics of particles in lattices.
Author Contributions
Formal analysis, X.-K.L.; funding acquisition, X.-Y.W.; methodology, X.-K.L. and X.-Y.W.; validation, X.-K.L. and X.-Y.W.; writing—original draft, X.-K.L.; writing—revision, X.-Y.W. All authors have read and agreed to the published version of the manuscript.
Funding
This work was partially supported by the National Natural Science Foundation of China under grant no. 12071042 and the Beijing Natural Science Foundation under grant no. 1202006.
Institutional Review Board Statement
Not applicable.
Informed Consent Statement
Not applicable.
Data Availability Statement
Not applicable.
Conflicts of Interest
The authors declare no conflict of interest.
References
- Ablowitz, M.J.; Prinari, B.; Trubatch, A.D. Discrete and Continuous Nonlinear Schrödinger Systems; Cambridge University Press: Cambridge, UK, 2003. [Google Scholar]
- Toda, M. Vibration of a chain with nonlinear interaction. J. Phys. Soc. Jpn. 1967, 22, 431–436. [Google Scholar] [CrossRef]
- Wadati, M. Transformation theories for nonlinear discrete systems. Prog. Theor. Phys. Suppl. 1976, 59, 36–63. [Google Scholar] [CrossRef]
- Tu, G.Z. A trace identity and its applications to the theory of discrete integrable systems. J. Phys. A 1990, 23, 3903–3922. [Google Scholar]
- Ma, W.X.; You, Y.C. Rational solutions of the Toda lattice equation in Casoratian form. Chaos 2004, 22, 395–406. [Google Scholar] [CrossRef]
- Ma, W.X. Complexiton solutions to integrable equations. Nonlinear. Anal. 2005, 63, e2461–e2471. [Google Scholar] [CrossRef]
- Maruno, K.; Ma, W.X.; Oikawa, M. Generalized casorati determinant and positon-negaton-type solutions of the Toda lattice equation. J. Phys. Soc. Jpn. 2004, 73, 831–837. [Google Scholar] [CrossRef]
- Cârstea, A.S.; Grecu, D. On a class of rational and mixed soliton-rational solutions of the Toda lattice. Prog. Theor. Phys. 1996, 96, 29–36. [Google Scholar] [CrossRef][Green Version]
- Wen, X.Y. N-fold Darboux transformation and soliton solutions for Toda lattice equation. Rep. Math. Phys. 2011, 68, 211–223. [Google Scholar] [CrossRef]
- Suris, Y.B. The Problem of Integrable Discretization: Hamiltonian Approach; Birkhäuser: Basel, Switzerland, 2003. [Google Scholar]
- Ma, W.X.; Xu, X.X. A modified Toda spectral problem and its hierarchy of bi-hamiltonian lattice equations. J. Phys. A 2004, 37, 1323–1336. [Google Scholar] [CrossRef]
- Wang, X. Darboux Transformation for Two Discrete Soliton Equations; Zhengzhou University: Zhengzhou, China, 2012. [Google Scholar]
- Wu, Y.T.; Geng, X.G. A new integrable symplectic map of neumann type. J. Phys. Soc. Jpn. 1999, 68, 784–790. [Google Scholar] [CrossRef]
- Ablowitz, J.; Clarkson, P.A. Solitons, Nonlinear Evolution Equations and Inverse Scattering; Cambridge University Press: Cambridge, UK, 1991. [Google Scholar]
- Wang, Y.F.; Tian, B.; Li, M.; Wang, P.; Jiang, Y. Soliton dynamics of a discrete integrable Ablowitz-Ladik equation for some electrical and optical systems. Appl. Math. Lett. 2014, 35, 4651. [Google Scholar] [CrossRef]
- Wang, X.; Chen, Y.; Dong, Z.Z. Symmetries and conservation laws of one Blaszak-Marciniak four-field lattice equation. Chin. Phys. B 2014, 23, 010201. [Google Scholar] [CrossRef]
- Olver, P.J. Applications of Lie Groups to Differential Equations; Springer: Berlin/Heidelberg, Germany, 2000. [Google Scholar]
- Yu, F.J.; Feng, S. Explicit solution and Darboux transformation for a new discrete integrable soliton hierarchy with 4 × 4 Lax pairs. Math. Method Appl. Sci. 2017, 40, 5515–5525. [Google Scholar] [CrossRef]
- Wen, X.Y.; Yan, Z.Y.; Malomed, B.A. Higher-order vector discrete rogue-wave states in the coupled Ablowitz-Ladik equations: Exact solutions and stability. Chaos 2016, 26, 123110. [Google Scholar] [CrossRef] [PubMed]
- Wen, X.Y.; Yuan, C.L. Controllable rogue wave and mixed interaction solutions for the coupled Ablowitz-Ladik equations with branched dispersion. Appl. Math. Lett. 2022, 123, 107591. [Google Scholar] [CrossRef]
- Qin, M.L.; Wen, X.Y.; Yuen, M. A relativistic Toda lattice hierarchy, discrete generalized (m, 2N − m)-Fold Darboux transformation and diverse exact solutions. Symmetry 2021, 13, 2315. [Google Scholar] [CrossRef]
- Liu, P.; Jia, M.; Lou, S.Y. A discrete Lax-integrable coupled system related to coupled KdV and coupled mKdV equations. Chin. Phys. Lett. 2007, 24, 2717–2719. [Google Scholar]
Publisher’s Note: MDPI stays neutral with regard to jurisdictional claims in published maps and institutional affiliations. |
© 2022 by the authors. Licensee MDPI, Basel, Switzerland. This article is an open access article distributed under the terms and conditions of the Creative Commons Attribution (CC BY) license (https://creativecommons.org/licenses/by/4.0/).