Approximate Solution of Nonlinear Time-Fractional Klein-Gordon Equations Using Yang Transform
Abstract
:1. Introduction
2. Preliminaries and Concepts
Remarks
3. Idea of Yang Homotopy Perturbation Transform Method (HPTM)
4. Numerical Applications
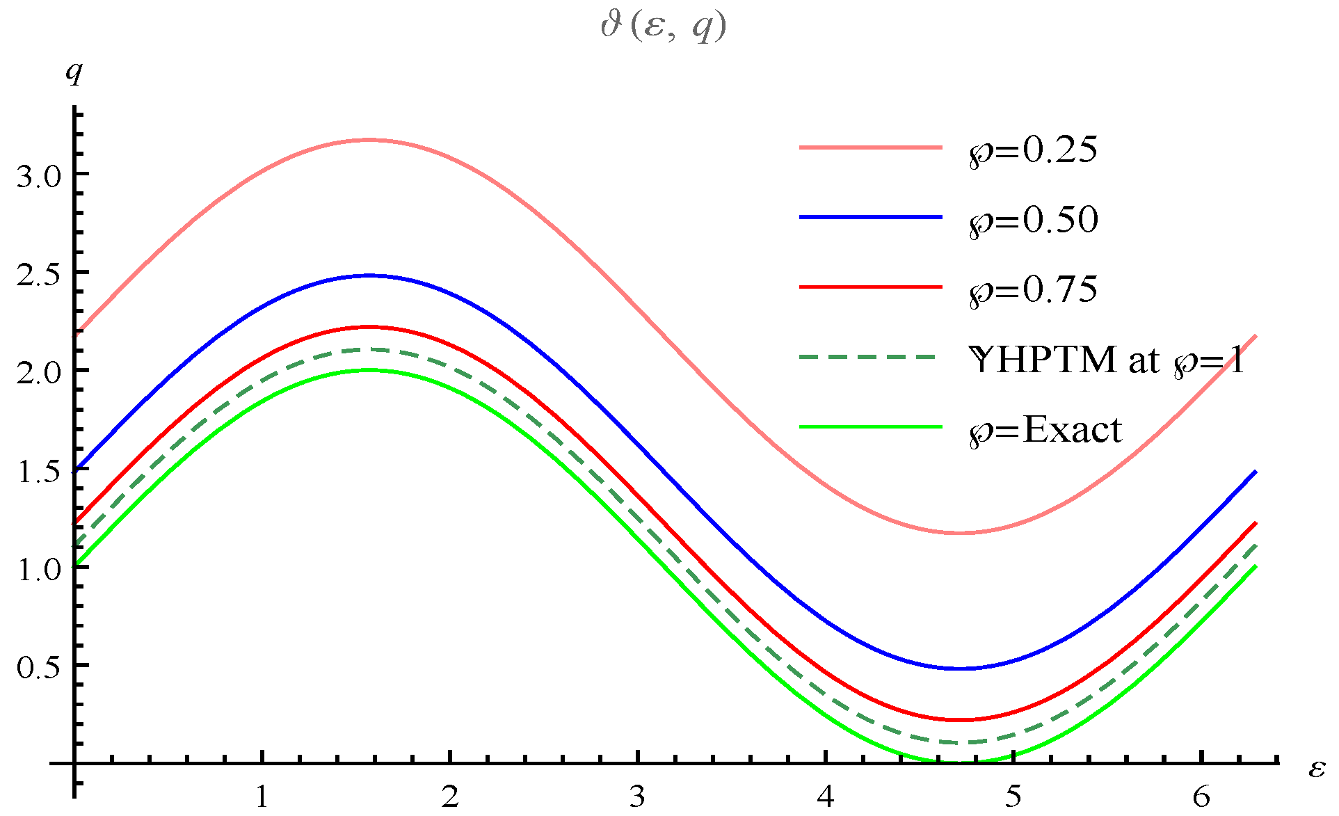
4.1. Example 1
4.2. Example 2
4.3. Example 3
5. Conclusions
Author Contributions
Funding
Institutional Review Board Statement
Informed Consent Statement
Data Availability Statement
Conflicts of Interest
Abbreviations
| HPTM | Yang homotopy perturbation transform method |
| T | Yang transform |
| CF | Caputo–Fabrizio |
| FPDEs | Fractional partial differential equations |
| KG | Homotopy perturbation method |
| HPM | Klein–Gordon |
References
- Miller, K.S.; Ross, B. An Introduction to the Fractional Calculus and Fractional Differential Equations; Wiley: New York, NY, USA, 1993. [Google Scholar]
- Baleanu, D.; Machado, J.A.T.; Luo, A.C. Fractional Dynamics and Control; Springer Science & Business Media: Berlin, Germany, 2011. [Google Scholar]
- Owolabi, K.M.; Atangana, A.; Akgul, A. Modelling and analysis of fractal-fractional partial differential equations: Application to reaction-diffusion model. Alex. Eng. J. 2020, 59, 2477–2490. [Google Scholar] [CrossRef]
- Ara, A.; Khan, N.A.; Razzaq, O.A.; Hameed, T.; Raja, M.A.Z. Wavelets optimization method for evaluation of fractional partial differential equations: An application to financial modelling. Adv. Differ. Equ. 2018, 1, 8. [Google Scholar] [CrossRef]
- Wang, G.W.; Xu, T.Z. The improved fractional sub-equation method and its applications to nonlinear fractional partial differential equations. Rom. Rep. Phys. 2014, 66, 595–602. [Google Scholar]
- Almalahi, M.A.; Ibrahim, A.B.; Almutairi, A.; Bazighifan, O.; Aljaaidi, T.A.; Awrejcewicz, J. A qualitative study on second-order nonlinear fractional differential evolution equations with generalized abc operator. Symmetry 2022, 14, 207. [Google Scholar] [CrossRef]
- Dehghan, M.; Mohebbi, A.; Asgari, Z. Fourth-order compact solution of the nonlinear klein-gordon equation. Numer. Algorithms 2009, 52, 523–540. [Google Scholar] [CrossRef]
- Venkatesh, S.; Balachandar, S.R.; Ayyaswamy, S.; Krishnaveni, K. An efficient approach for solving klein-gordon equation arising in quantum field theory using wavelets. Comput. Appl. Math. 2018, 37, 81–98. [Google Scholar] [CrossRef]
- Singh, H.; Kumar, D.; Pandey, R.K. An efficient computational method for the time-space fractional klein-gordon equation. Front. Phys. 2020, 8, 281. [Google Scholar] [CrossRef]
- Amin, M.; Abbas, M.; Iqbal, M.K.; Baleanu, D. Numerical treatment of time-fractional klein–gordon equation using redefined extended cubic b-spline functions. Front. Phys. 2020, 8, 288. [Google Scholar] [CrossRef]
- Khan, H.; Khan, A.; Chen, W.; Shah, K. Stability analysis and a numerical scheme for fractional klein-gordon equations. Math. Methods Appl. Sci. 2019, 42, 723–732. [Google Scholar] [CrossRef]
- Ganji, R.; Jafari, H.; Kgarose, M.; Mohammadi, A. Numerical solutions of time-fractional klein-gordon equations by clique polynomials. Alex. Eng. J. 2021, 60, 4563–4571. [Google Scholar] [CrossRef]
- Belayeh, W.G.; Mussa, Y.O.; Gizaw, A.K. Approximate analytic solutions of two-dimensional nonlinear klein-gordon equation by using the reduced differential transform method. Math. Probl. Eng. 2020, 2020, 1–12. [Google Scholar] [CrossRef]
- Gepreel, K.A.; Mohamed, M.S. Analytical approximate solution for nonlinear space-time fractional klein-gordon equation. Chin. Phys. B 2013, 22, 010201. [Google Scholar] [CrossRef]
- Nadeem, M.; Li, F. Modified laplace variational iteration method for analytical approach of klein-gordon and sine-gordon equations. Iran. J. Sci. Technol. Trans. A Sci. 2019, 43, 1933–1940. [Google Scholar] [CrossRef]
- Tamsir, M.; Srivastava, V.K. Analytical study of time-fractional order klein-gordon equation. Alex. Eng. J. 2016, 55, 561–567. [Google Scholar] [CrossRef] [Green Version]
- Bansu, H.; Kumar, S. Numerical solution of space-time fractional klein-gordon equation by radial basis functions and chebyshev polynomials. Int. J. Appl. Comput. Math. 2021, 7, 7. [Google Scholar] [CrossRef]
- Kurulay, M. Solving the fractional nonlinear klein-gordon equation by means of the homotopy analysis method. Adv. Differ. Equ. 2012, 2012, 187. [Google Scholar] [CrossRef] [Green Version]
- Khader, M.; Adel, M. Analytical and numerical validation for solving the fractional klein-gordon equation using the fractional complex transform and variational iteration methods. Nonlinear Eng. 2016, 5, 141–145. [Google Scholar] [CrossRef]
- Zhmud, V.; Dimitrov, L. Using the fractional differential equation for the control of objects with delay. Symmetry 2022, 14, 635. [Google Scholar] [CrossRef]
- Odibat, Z.; Momani, S. A generalized differential transform method for linear partial differential equations of fractional order. Appl. Math. Lett. 2008, 21, 194–199. [Google Scholar] [CrossRef] [Green Version]
- Ghoreishi, M.; Ismail, A.M.; Ali, N. Adomian decomposition method (adm) for nonlinear wave-like equations with variable coefficient. Appl. Math. Sci. 2010, 4, 2431–2444. [Google Scholar]
- Tan, Y.; Abbasbandy, S. Homotopy analysis method for quadratic riccati differential equation. Commun. Nonlinear Sci. Numer. Simul. 2008, 13, 539–546. [Google Scholar] [CrossRef]
- Batiha, B.; Noorani, M.; Hashim, I. Numerical solution of sine-gordon equation by variational iteration method. Phys. Lett. A 2007, 370, 437–440. [Google Scholar] [CrossRef]
- Qin, Y.; Khan, A.; Ali, I.; Qurashi, M.A.; Khan, H.; Shah, R.; Baleanu, D. An efficient analytical approach for the solution of certain fractional-order dynamical systems. Energies 2020, 13, 2725. [Google Scholar] [CrossRef]
- Khan, H.; Khan, A.; Kumam, P.; Baleanu, D.; Arif, M. An approximate analytical solution of the navier-stokes equations within caputo operator and elzaki transform decomposition method. Adv. Differ. Equ. 2020, 2020, 622. [Google Scholar]
- Yuanlu, L. Solving a nonlinear fractional differential equation using chebyshev wavelets. Commun. Nonlinear Sci. Numer. Simul. 2010, 15, 2284–2292. [Google Scholar]
- Rehman, M.U.; Khan, R.A. The legendre wavelet method for solving fractional differential equations. Commun. Nonlinear Sci. Numer. Simul. 2011, 16, 4163–4173. [Google Scholar] [CrossRef]
- Ali, M.; Jaradat, I.; Alquran, M. New computational method for solving fractional riccati equation. J. Math. Comput. Sci. 2017, 17, 106–114. [Google Scholar] [CrossRef] [Green Version]
- Alquran, M.; Al-Khaled, K.; Ali, M.; Arqub, O.A. Bifurcations of the time-fractional generalized coupled hirota-satsuma kdv system. Waves Wavelets Fractals 2017, 3, 31–39. [Google Scholar] [CrossRef] [Green Version]
- Caputo, M.; Fabrizio, M. On the singular kernels for fractional derivatives. some applications to partial differential equations. Progr. Fract. Differ. Appl. 2021, 7, 79–82. [Google Scholar]
- Alesemi, M.; Iqbal, N.; Abdo, M.S. Novel investigation of fractional-order cauchy-reaction diffusion equation involving caputo-fabrizio operator. J. Funct. Spaces 2022, 2022, 1–14. [Google Scholar] [CrossRef]
- Shah, N.A.; El-Zahar, E.R.; Chung, J.D. Fractional analysis of coupled burgers equations within yang caputo-fabrizio operator. J. Funct. Spaces 2022, 2022, 1–13. [Google Scholar] [CrossRef]
- Yang, X.J. A new integral transform method for solving steady heat-transfer problem. Therm. Sci. 2016, 20 (suppl. 3), 639–642. [Google Scholar] [CrossRef] [Green Version]
- Ahmad, S.; Ullah, A.; Akgül, A.; la Sen, M.D. A novel homotopy perturbation method with applications to nonlinear fractional order kdv and burger equation with exponential-decay kernel. J. Funct. Spaces 2021, 2021, 1–11. [Google Scholar] [CrossRef]
- El-Sayed, S.M. The decomposition method for studying the klein-gordon equation. Chaos Solitons Fractals 2003, 18, 1025–1030. [Google Scholar] [CrossRef]
- Yusufoğlu, E. The variational iteration method for studying the klein-gordon equation. Appl. Math. Lett. 2008, 21, 669–674. [Google Scholar] [CrossRef] [Green Version]
- Golmankhaneh, A.K.; Golmankhaneh, A.K.; Baleanu, D. On nonlinear fractional klein-gordon equation. Signal Process. 2011, 91, 446–451. [Google Scholar] [CrossRef]






| Sr. No. | |||||||||
|---|---|---|---|---|---|---|---|---|---|
| [36] | [37] | HPTM | [36] | [37] | HPTM | [36] | [37] | HPTM | |
| 0.0 | 0.9949999861 | 0.9950000249 | 0.903 | 0.9799991162 | 0.9800015775 | 0.824 | 0.9549900052 | 0.9550176534 | 0.781 |
| 0.1 | 1.093291132 | 1.093291179 | 0.976100 | 1.073723730 | 1.073726319 | 0.871321 | 1.073723730 | 1.073726319 | 0.792208 |
| 0.2 | 1.190502988 | 1.190503087 | 1.04725 | 1.166134875 | 1.166138050 | 0.915126 | 1.125945576 | 1.125974851 | 0.794835 |
| 0.3 | 1.285668610 | 1.285668848 | 1.11584 | 1.256326130 | 1.256331032 | 0.955409 | 1.208114007 | 1.208147932 | 0.789972 |
| 0.4 | 1.377844211 | 1.377844710 | 1.18132 | 1.343423788 | 1.343432104 | 0.992136 | 1.287043874 | 1.287088824 | 0.778571 |
| 0.5 | 1.466118315 | 1.466119219 | 1.24317 | 1.426594492 | 1.426608263 | 1.0252 | 1.362025218 | 1.362089477 | 0.761295 |
| 0.6 | 1.549620480 | 1.549621939 | 1.3009 | 1.505052082 | 1.505073495 | 1.05442 | 1.432404521 | 1.432497282 | 0.738476 |
| 0.7 | 1.627529538 | 1.627531694 | 1.35406 | 1.578063673 | 1.578094808 | 1.07951 | 1.497587424 | 1.497717706 | 0.710192 |
| 0.8 | 1.699081273 | 1.699084244 | 1.40223 | 1.644954933 | 1.644997540 | 1.0023 | 1.557040327 | 1.557215916 | 0.676451 |
| 0.9 | 1.763575490 | 1.763579356 | 1.44504 | 1.705114628 | 1.705169916 | 1.11635 | 1.610291023 | 1.610517519 | 0.63744 |
| 1.0 | 1.820382425 | 1.820387216 | 1.48219 | 1.757998450 | 1.758066925 | 1.12781 | 1.656928567 | 1.657208637 | 0.593784 |
Publisher’s Note: MDPI stays neutral with regard to jurisdictional claims in published maps and institutional affiliations. |
© 2022 by the authors. Licensee MDPI, Basel, Switzerland. This article is an open access article distributed under the terms and conditions of the Creative Commons Attribution (CC BY) license (https://creativecommons.org/licenses/by/4.0/).
Share and Cite
Liu, J.; Nadeem, M.; Habib, M.; Akgül, A. Approximate Solution of Nonlinear Time-Fractional Klein-Gordon Equations Using Yang Transform. Symmetry 2022, 14, 907. https://doi.org/10.3390/sym14050907
Liu J, Nadeem M, Habib M, Akgül A. Approximate Solution of Nonlinear Time-Fractional Klein-Gordon Equations Using Yang Transform. Symmetry. 2022; 14(5):907. https://doi.org/10.3390/sym14050907
Chicago/Turabian StyleLiu, Jinxing, Muhammad Nadeem, Mustafa Habib, and Ali Akgül. 2022. "Approximate Solution of Nonlinear Time-Fractional Klein-Gordon Equations Using Yang Transform" Symmetry 14, no. 5: 907. https://doi.org/10.3390/sym14050907
APA StyleLiu, J., Nadeem, M., Habib, M., & Akgül, A. (2022). Approximate Solution of Nonlinear Time-Fractional Klein-Gordon Equations Using Yang Transform. Symmetry, 14(5), 907. https://doi.org/10.3390/sym14050907

