On the Vibrations of a Rigid Solid Hung by Kinematic Chains
Abstract
1. Introduction
2. Vibrations of the Rigid Solid Hung by Several Elastic Kinematic Chains and One Kinematic Chain with Rigid Elements
2.1. Generalities
2.2. Notations
2.3. Small Displacements
2.4. The Rigidity Matrix
3. Calculation of the Displacement
4. The Equation of the Free Vibrations
5. The Equation of the Forced Vibrations
6. Example
- (i)
- , (the diameters of the bars for each kinematic chain, corresponds to the bars of the kinematic chain etc.);
- (ii)
- , ;
- (iii)
- , , , ;
- (iv)
- , , , .
6.1. Case (i)
- (a)
- If we consider that all the kinematic chains contain only elastic elements, then the eigenpulsations are , (for and ), , (for and ), (for ), and (for ); they form two pairs of doubly degenerate ones (, , and , , respectively), and a pair of singly degenerate one s(, ).
- (b)
- If the kinematic chain consists of rigid elements, then the corresponding eigenvalues are , , (for and ), , and (for and ).
- (c)
- The correspondences mentioned above between the eigenpulsations and the kinematic parameters (at points (a) and (b)) also hold true for the rest of the cases.
6.2. Case (ii)
6.3. Case (iii)
- (a)
- if all kinematic chains consist of elastic elements, then the eigenpulsations read now , , (for , , and ), and , , and (for , , and );
- (b)
- if the kinematic chain consists of rigid elements, then one obtains the eigenpulsations , (for and ), and , and (for and ).
6.4. Case (iv)
- (a)
- if all kinematic chains consist of elastic elements, then one obtains the eigenpulsations , , , , , and ;
- (b)
- if the kinematic chain consists of rigid elements, then one obtains the eigenpulsations , , , and .
6.5. Dependency on the Diameters of Bars
6.6. Dependency on the Length of Bars
6.7. Dependency on the Mass of the Shell
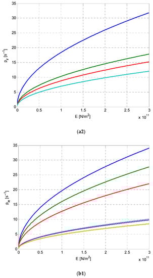
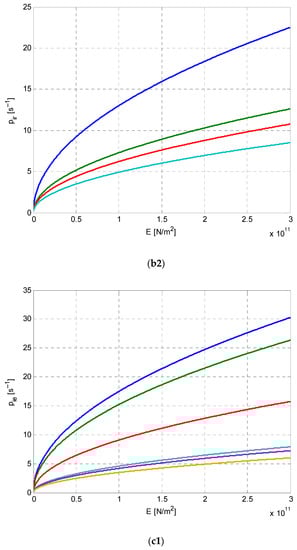
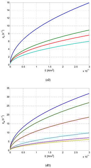
6.8. Dependency on the Elasticity Modulus
6.9. Forced Vibrations
7. Conclusions
Author Contributions
Funding
Conflicts of Interest
Nomenclature
| the general reference system (the system of the principal axes of inertia for the rigid solid | |
| , g, …, , … | the rotational matrices of the local references systems with respect to the general reference system |
| , , , , , , …, , , , … | the coordinates of the points , , …, , … relative to the general reference system |
| , , …, , … | the translational matrices in the form |
| , , …, , … | the matrices of position given by |
| , | the small angular displacement, and the small linear displacement, respectively, of the rigid solid |
| , , , and , , | the projections of the vectors , and , respectively, onto the axes , , and |
| the column matrix of the displacements of the rigid solid, | |
| the column matrices of the possible displacements , , …, at the kinematic joint , in the motion of the element with respect to the element , | |
| the matrix of the screw coordinates of the kinematic joint | |
| the matrix given by | |
| , | the Young modulus, and the shear modulus, respectively, of a bar |
| , and , , | the area, and the moments of inertia, respectively, of the homogeneous bar |
| the length of a homogeneous bar | |
| the rigidity matrix of a bar relative to the local reference system | |
| the flexibility matrix of a bar relative to the local reference system | |
| the matrix given by | |
| , and , , | the mass, and the central principal moments of inertia, respectively, of the rigid solid |
| the matrix |
Appendix A
Appendix B

Appendix C
- (a)
- if we consider that all the kinematic chains contain only elastic elements, then we obtainand the matrix differential systemThe previous system separates into
- (b)
- If the kinematic chain consists of rigid elements, then it results inand the matrix differential systemwhich separates into the systems
- (a)
- if all kinematic chains consist of elastic elements, then the system of differential equations readswhich separates into the systems
- (b)
- if the kinematic chain consists of rigid elements, then it results in the following system of differential equationswhich separates into the systems
- (a)
- if all kinematic chains consist of elastic elements, then the system of differential equations takes the formwhich separates into the systems
- (b)
- if the kinematic chain consists of rigid elements, then one obtains the following system of differential equationswhich separates into the systems
- (a)
- if all kinematic chains consist of elastic elements, then one obtains the system of differential equation
- (b)
- if the kinematic chain consists of rigid elements, then one obtains the system of differential equations
References
- Gallardo-Alvarado, J.; Posadas-Garcia, J.-d.-D. Mobility analysis and kinematics of the semi-general 2 (3-RPS) series-parallel manipulator. Robot. Comput.-Integr. Manuf. 2013, 29, 463–472. [Google Scholar] [CrossRef]
- Gallardo-Alvarado, J.; Camarillo-Gomez, K.A.; García-Murillo, M.A. A Gough/Stewart-type platform under a combined scheme of actuation. Int. J. Adv. Manuf. Technol. 2013, 68, 981–991. [Google Scholar] [CrossRef]
- Gallardo-Alvarado, J.; Rodriguez-Castro, R.; Aguilar-Nájera, C.R.; Pérez-González, L. A novel six-degrees-of-freedom series-parallel manipulator. J. Mech. Sci. Technol. 2012, 26, 1901–1909. [Google Scholar] [CrossRef]
- Gallardo-Alvarado, J.; García-Murillo, M.A.; Nazul Islam, M.; Abedinnasab, M.H. A simple approach to solving the kinematics of the 4-UPS/PS (3RIT) parallel manipulator. J. Mech. Sci. Technol. 2016, 30, 2303–2309. [Google Scholar] [CrossRef]
- Yi, B.-J.; Kim, W.K. Task-oriented type synthesis of the lower-mobility parallel mechanisms with a common platform. J. Mech. Sci. Technol. 2018, 32, 5373–5387. [Google Scholar] [CrossRef]
- Bu, W.; Yan, S.; Chen, J.; An, X. Mobility analysis for parallel manipulators based on intersection of screw manifolds. J. Mech. Sci. Technol. 2016, 30, 4345–4352. [Google Scholar] [CrossRef]
- Nazari, A.A.; Hasani, A.; Beedel, M. Screw theory-based mobility analysis and projection-based kinematic modeling of a 3-CRRR parallel manipulator. J. Braz. Soc. Mech. Sci. Eng. 2018, 40, 357. [Google Scholar] [CrossRef]
- Hu, B.; Lu, Y.; Tan, Q.; Yu, J.; Han, J. Analysis of stiffness and elastic deformation of a 2 (SP+SPR+SPU) serial-parallel manipulator. Robot. Comput.-Integr. Manuf. 2011, 27, 418–425. [Google Scholar] [CrossRef]
- Kong, Y.; Cheng, G.; Guo, F.; Gu, W.; Zhang, L. Inertia matching analysis of a 5-DOF hybrid optical machining manipulator. J. Mech. Sci. Technol. 2019, 33, 4991–5002. [Google Scholar] [CrossRef]
- Wang, Q.; Su, J.; Lv, Z.; Zhang, L.; Lin, H.; Xu, G. Efficient hybrid method for forward kinematics analysis of parallel robots based on signal decomposition and reconstruction. Adv. Mech. Eng. 2017, 9, 1–14. [Google Scholar] [CrossRef]
- Zhao, J.-S.; Fen, Z.-J.; Zhou, K.; Gao, Y.-F. The design kinematic chains based on the principle of invariable terminal constraints. Int. J. Adv. Manuf. Technol. 2005, 26, 138–143. [Google Scholar] [CrossRef]
- Afroun, M.; Dequidt, A.; Vermeiren, L. Revisiting the inverse dynamics of the Gough-Stewart platform manipulator with special emphasis on universal-prismatic-spherical leg and internal singularity. Proc. Int. Inst. Mech. Eng. Part C J. Mech. Eng. Sci. 2012, 226, 2422–2439. [Google Scholar] [CrossRef]
- Hernández Martinez, E.E.; Valdez Peña, S.I.; Sánchez Soto, E. Towards a Robust Solution of the Non-linear Kinematics for the General Stewart Platform with Estimation of Distribution Algorithms. Int. J. Adv. Robot. Syst. 2013, 10, 1–11. [Google Scholar] [CrossRef]
- Li, B.; Cao, Y.; Zhang, Q.; Wang, C. Singularity Representation and Workspace Determination of a Special Class of the Gough-Stewart Platforms. Int. J. Adv. Robot. Syst. 2013, 10, 1–13. [Google Scholar] [CrossRef]
- Müller, A.; Shai, O. A systematic approach to the instantaneous duality of mechanisms and its application. Proc. Int. Inst. Mech. Eng. Part C J. Mech. Eng. Sci. 2016, 230, 437–444. [Google Scholar] [CrossRef]
- Andrievskiy, B.R.; Arseniev, D.G.; Zegzhda, S.A.; Kazunin, D.V.; Kuznetsov, N.V.; Leonov, G.A.; Tovstik, P.E.; Tovstik, T.P.; Yushkov, M.P. Dynamics of a Stewart platform. Vestn. St. Petersburg Univ. Math. 2017, 50, 297–309. [Google Scholar] [CrossRef][Green Version]
- Șumnu, A.; Güzelbey, I.H.; Çakir, M.V. Simulation and PID control of a Stewart platform with linear motor. J. Mech. Sci. Technol. 2017, 31, 345–356. [Google Scholar] [CrossRef]
- Meng, Q.; Zhang, T.; He, J.-F.; Song, J.-Y.; Han, J.-W. Dynamic modeling of a 6-degree-of-freedom Stewart platform driven by a permanent synchronous motor. J. Zhanjiang Univ. Sci. C (Comput. Electron.) 2010, 11, 751–761. [Google Scholar] [CrossRef]
- Kalani, H.; Rezaei, A.; Akbarzadeh, A. Improved general solution for the dynamic modeling of Gough-Stewart platform based on principle of virtual work. Nonlinear Dyn. 2016, 83, 2393–2418. [Google Scholar] [CrossRef]
- Leonov, G.A.; Zegzhda, S.A.; Zuev, S.M.; Ershov, B.A.; Kazunin, D.V.; Kostygova, D.M.; Kuznetsov, N.V.; Tovstik, P.E.; Tovstik, T.P.; Yushkov, M.P. Dynamics and Control of the Stewart platform. Dokl. Phys. 2014, 59, 405–410. [Google Scholar] [CrossRef]
- Jakobovič, D.; Budin, L. Forward Kinematics of a Stewart Platform Mechanism. In Proceedings of the INES 2002, 6th International Conference on Intelligent Engineering Systems, Opatija, Croatia, 26–29 May 2002. [Google Scholar]
- Gallardo-Alvarado, J. Jerk distribution of a 6-3 Gough-Stewart platform. Proc. Inst. Mech. Eng. Part K J. Multi-Body Dyn. 2003, 217, 77–84. [Google Scholar] [CrossRef]
- Bai, X.; Junkins, J.L.; Turner, J.D. Dynamic Analysis and Adaptive Control of a Stewart Platform Using a Novel Automatic Differentiation Method. In Proceedings of the AIAA/AAS Astrodynamics Specialist Conference and Exhibit, Keystone, CO, USA, 21–24 August 2006. [Google Scholar]
- Hajimirzaallan, H.; Ferraresi, C.; Moosavi, H.; Massah, M. An analytical method for the inverse dynamic analysis of the Stewart platform with asymmetric-adjustable payload. Proc. Int. Inst. Mech. Eng. Part K J. Multi-Body Dyn. 2013, 227, 162–171. [Google Scholar] [CrossRef]
- Zhou, H.; Cao, Y.; Li, B.; Wu, M.; Yu, J.; Chen, H. Position-Singularity Analysis of a Class of the 3/6-Gough-Stewart Manipulators based on Singularity-Equivalent-Mechanism. Int. J. Adv. Robot. Syst. 2012, 9, 1–9. [Google Scholar] [CrossRef]
- Zhao, Q.; Wang, N.; Spencer, B.F., Jr. Adaptive position tracking control of electro-hydraulic six-degree-of-freedom driving simulator subject to perturbation. Simul. Trans. Soc. Modeling Simul. Int. 2015, 91, 265–275. [Google Scholar] [CrossRef]
- Pedrammehr, S.; Mahboubkhah, M.; Khani, N. Improved dynamic equations for the generally configured Stewart platform manipulator. J. Mech. Sci. Technol. 2012, 26, 711–721. [Google Scholar] [CrossRef]
- Alyushin, Y.-A.; Elenev, S.-A. Mathematical Model of a Stewart Platform Motion. J. Mach. Manuf. Reliab. 2010, 39, 305–312. [Google Scholar] [CrossRef]
- Lazard, D.; Merlet, J.-P. The (true) Stewart platform has 12 configurations. In Proceedings of the 1994 IEEE International Conference on Robotics and Automation, San Diego, CA, USA, 8–13 May 1994. [Google Scholar] [CrossRef]
- Huang, C.-I.; Chang, C.-F.; Yu, M.-Y.; Fu, L.-C. Sliding-Mode Tracking Control of the Stewart Platform. In Proceedings of the 5th Asian Control Conference, Melbourne, Australia, 20–23 July 2004. [Google Scholar] [CrossRef]
- Lee, S.-H.; Song, J.-B.; Choi, W.-C.; Hong, D. Position control of Stewart platform using inverse dynamics control with approximate dynamics. Mechatronics 2003, 13, 605–619. [Google Scholar] [CrossRef]
- Gallardo-Alvarado, J. Enhancing the originality of the Stewart platform through its kinematic analyses. Proc. Int. Inst. Mech. Eng. Part C J. Mech. Eng. Sci. 2012, 226, 3013–3025. [Google Scholar] [CrossRef]
- Ke, W.; Fuzhou, D.; Xianzhi, Z. Algorithm and experiments of six-dimensional force/torque dynamic measurements based on a Stewart platform. Chin. J. Aeronaut. 2016, 29, 1840–1851. [Google Scholar] [CrossRef]
- Afzali-Far, B.; Lidström, P.; Nilsson, K. Parametric damped vibrations of Gough-Stewart platforms for symmetric configurations. Mech. Mach. Theory 2014, 80, 52–69. [Google Scholar] [CrossRef]
- Tang, J.; Cao, D.; Yu, T. Decentralized vibration control of a voice coil motor-based Stewart parallel mechanism: Simulation and experiments. Proc. Int. Inst. Mech. Eng. Part C J. Mech. Eng. Sci. 2018, 233, 132–145. [Google Scholar] [CrossRef]
- Meng, Q.; Zhang, T.; He, J.-F.; Song, J.-Y.; Yuan, C.-Y. Fault-tolerant control under uncertain Stewart platform under loss of the actuator effectiveness. Proc. Int. Inst. Mech. Eng. Part C J. Mech. Eng. Sci. 2014, 228, 1286–1298. [Google Scholar] [CrossRef]
- Zhao, Q.; Gao, F. Bond graph modelling of hydraulic six-degree-of-freedom motion simulator. Proc. Int. Inst. Mech. Eng. Part C J. Mech. Eng. Sci. 2012, 226, 2887–2901. [Google Scholar] [CrossRef]
- Damic, V.; Cohodar, M. Dynamic Analysis of Stewart Platform by Bond Graphs. Proceedia Eng. 2015, 100, 226–233. [Google Scholar] [CrossRef][Green Version]
- Halder, B.; Saha, R.; Sanyal, D. Semi-isotropic design of a Stewart platform through constrained optimization. Proc. Int. Inst. Mech. Eng. Part C J. Mech. Eng. Sci. 2015, 231, 1897–1906. [Google Scholar] [CrossRef]
- Xie, Z.; Li, G.; Liu, G.; Zhao, J. Optimal design of a Stewart platform using the global transmission index under determinate constraint of workspace. Adv. Mech. Eng. 2017, 9, 1–14. [Google Scholar] [CrossRef]
- Shao, Z.-F.; Tang, X.; Wang, L.-P. Optimum Design of 3-3 Stewart Platform Considering Inertia Property. Adv. Mech. Eng. 2013, 5, 249121. [Google Scholar] [CrossRef]
- Tourajizadeh, H.; Yousefzadeh, M.; Tajik, A. Closed Loop Optimal Control of a Stewart Platform Using an Optimal Feedback Linearization Method. Int. J. Adv. Robot. Syst. 2016, 13, 134. [Google Scholar] [CrossRef][Green Version]
- Taghizadeh, M.; Yarmohammadi, M.J. Development of a Self-tuning PID Controller on Hydraulically Actuated Stewart Platform Stabilizer with Base Excitation. Int. J. Control Autom. Syst. 2018, 16, 2990–2999. [Google Scholar] [CrossRef]
- Li, Y.; Yang, X.L.; Wu, H.T.; Chen, B. Optimal design of a six-axis vibration isolator via Stewart platform by using homogeneous Jacobian matrix formulation based on dual quaternions. J. Mech. Sci. Technol. 2018, 32, 11–19. [Google Scholar] [CrossRef]
- Keshtkar, S.; Poznyak, A.S.; Hernandez, E.; Oropeza, A. Adaptive Sliding Mode Controller Based on the “Super-Twist” State Observer for Control of the Stewart Platform. Autom. Remote Control 2017, 78, 1218–1233. [Google Scholar] [CrossRef]
- Yao, R.; Zhu, W.; Hunag, P. Accuracy Analysis of Stewart Platform Based on Interval Analysis Method. Chin. J. Mech. Eng. 2013, 26, 29–34. [Google Scholar] [CrossRef]
- Sun, T.; Lian, B.; Song, Y. Stiffness analysis of a 2DoF over-constrained RPM with an articulated traveling platform. Mech. Mach. Theory 2016, 96, 165–178. [Google Scholar] [CrossRef]
- Wu, M.; Mei, J.; Zhao, Y.; Niu, W. Vibration reduction of delta robot based on trajectory planning. Mech. Mach. Theory 2020, 153, 104004. [Google Scholar] [CrossRef]
- Wang, G.; Wang, L. Dynamics investigation of spatial parallel mechanism considering rod flexibility and spherical joint clearance. Mech. Mach. Theory 2019, 117, 83–107. [Google Scholar] [CrossRef]
- Liu, S.; Dai, J.; Sheng, G.; Li, A.; Cao, G.; Feng, S.; Meng, D. Dynamic analysis of spatial parallel manipulator with rigid and flexible couplings. J. Cent. South Univ. 2017, 24, 840–853. [Google Scholar] [CrossRef]
- Li, Y.; Zheng, H.; Chen, B.; Sun, P.; Wang, Z.; Shuai, K.; Yue, Y. Dynamic Modeling and Analysis of 5-PSS/UPU Parallel Mechanism with Elastically Active Branched Chains. Chin. J. Mech. Eng. 2020, 33, 44. [Google Scholar] [CrossRef]
- Jia, Y.-H.; Xu, S.-J.; Hu, Q. Dynamics of a spacecraft with large flexible appendage constrained by multi-strut passive damper. Acta Mech. Sin. 2013, 29, 294–308. [Google Scholar] [CrossRef]
- Zhao, Y.; Jin, Y.; Zhang, J. Kinetostatic Modeling and Analysis of an Exechon Parallel Kinematic Machine (PKM) Module. Chin. J. Mech. Eng. 2016, 29, 33–44. [Google Scholar] [CrossRef]
- Jiao, J.; Wu, Y.; Yu, K.; Zhao, R. Dynamic modeling and experimental analyses of Stewart platform with flexible hinges. J. Vib. Control 2018, 25, 151–171. [Google Scholar] [CrossRef]
- Ebrahimi, S.; Eshaghiyeh-Firoozabadi, A. Dynamic Performance Evaluation of Serial and Parallel RPR Manipulators with Flexible Intermediate Links. Iran. J. Sci. Technol. Trans. Mech. Eng. 2016, 40, 160–180. [Google Scholar] [CrossRef]
- Yun, Y.; Li, Y. Design and analysis of a novel 6-DOF redundant actuated parallel robot with compliant hinges for high precision positioning. Nonlinear Dyn. 2010, 61, 829–845. [Google Scholar] [CrossRef]
- Ma, S.; Duan, W. Dynamic Coupled Analysis of the Floating Platform Using the Asynchronous Coupling Algorithm. J. Mar. Sci. Appl. 2014, 13, 85–91. [Google Scholar] [CrossRef]
- Inner, B.; Kucuk, S. A novel kinematic design, analysis and simulation tool for general Stewart platforms. Simul. Trans. Soc. Modeling Simul. Int. 2013, 89, 876–897. [Google Scholar] [CrossRef]
- Tabacu, S.; Negrea, R.F.; Negrea, D. Experimental, numerical and analytical investigation of 2D tetra-anti-chiral structure under compressive loads. Thin-Walled Struct. 2020, 155, 106929. [Google Scholar] [CrossRef]
- Furqan, M.; Suhaib, M.; Ahmad, N. Studies on Stewart platform manipulator: A review. J. Mech. Sci. Technol. 2017, 31, 4459–4470. [Google Scholar] [CrossRef]
- Pnevmatikos, N.G.; Thomos, G.C. Stochastic structural control under earthquake excitations. J. Struct. Control Health Monit. 2014, 21, 620–633. [Google Scholar] [CrossRef]








































Publisher’s Note: MDPI stays neutral with regard to jurisdictional claims in published maps and institutional affiliations. |
© 2022 by the authors. Licensee MDPI, Basel, Switzerland. This article is an open access article distributed under the terms and conditions of the Creative Commons Attribution (CC BY) license (https://creativecommons.org/licenses/by/4.0/).
Share and Cite
Stan, A.-F.; Pandrea, N.; Stănescu, N.-D.; Munteanu, L.; Chiroiu, V. On the Vibrations of a Rigid Solid Hung by Kinematic Chains. Symmetry 2022, 14, 770. https://doi.org/10.3390/sym14040770
Stan A-F, Pandrea N, Stănescu N-D, Munteanu L, Chiroiu V. On the Vibrations of a Rigid Solid Hung by Kinematic Chains. Symmetry. 2022; 14(4):770. https://doi.org/10.3390/sym14040770
Chicago/Turabian StyleStan, Alin-Florentin, Nicolae Pandrea, Nicolae-Doru Stănescu, Ligia Munteanu, and Veturia Chiroiu. 2022. "On the Vibrations of a Rigid Solid Hung by Kinematic Chains" Symmetry 14, no. 4: 770. https://doi.org/10.3390/sym14040770
APA StyleStan, A.-F., Pandrea, N., Stănescu, N.-D., Munteanu, L., & Chiroiu, V. (2022). On the Vibrations of a Rigid Solid Hung by Kinematic Chains. Symmetry, 14(4), 770. https://doi.org/10.3390/sym14040770

