From Memristor-Modeled Jerk System to the Nonlinear Systems with Memristor
Abstract
:1. Introduction
2. The Generalized Memristor-Based Jerk System
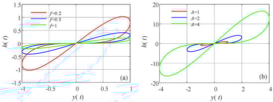
2.1. The Generalized Memristor
2.2. Model of the Jerk System with Memristor
3. Dynamics and Circuit Implementation
3.1. Dynamical Behaviours
3.1.1. Bifurcation Analysis
3.1.2. Complexity Analysis
3.2. Circuit Implementation
3.2.1. Circuit Design of the Memristor
3.2.2. Hardware Circuit Implementation of the Jerk System
4. Nonlinear Systems with Memristor
4.1. Modeling Using the Generalized Memristor
4.2. Further Discussions
5. Conclusions
Author Contributions
Funding
Institutional Review Board Statement
Informed Consent Statement
Data Availability Statement
Acknowledgments
Conflicts of Interest
References
- Chua, L. Memristor-the missing circuit element. IEEE Trans. Circuit Theory 1971, 18, 507–519. [Google Scholar] [CrossRef]
- Chua, L.O.; Kang, S.M. Memristive devices and systems. Proc. IEEE 1976, 64, 209–223. [Google Scholar] [CrossRef]
- Strukov, D.; Snider, G.S.; Stewart, D.; Williams, R. The missing memristor found. Nature 2008, 453, 80–83. [Google Scholar] [CrossRef]
- Lai, Q.; Wan, Z.; Kuate, P.D.K.; Fotsin, H. Coexisting attractors, circuit implementation and synchronization control of a new chaotic system evolved from the simplest memristor chaotic circuit. Commun. Nonlinear Sci. Numer. Simul. 2020, 89, 105341. [Google Scholar] [CrossRef]
- Rajagopal, K.; Vaidyanathan, S.; Karthikeyan, A.; Srinivasan, A. Complex novel 4D memristor hyperchaotic system and its synchronization using adaptive sliding mode control. Alex. Eng. J. 2018, 57, 683–694. [Google Scholar] [CrossRef]
- Siddik, A.; Haldar, P.K.; Garu, P.; Bhattacharjee, S.; Das, U.; Barman, A.; Roy, A.; Sarkar, P. Enhancement of data storage capability in a bilayer oxide-based memristor for wearable electronic applications. J. Phys. D 2020, 53, 295103. [Google Scholar] [CrossRef]
- Kim, H.; Sah, M.P.; Yang, C.; Roska, T.; Chua, L.O. Memristor bridge synapses. Proc. IEEE 2011, 100, 2061–2070. [Google Scholar] [CrossRef]
- Li, C.; Belkin, D.; Li, Y.; Yan, P.; Hu, M.; Ge, N.; Jiang, H.; Montgomery, E.; Lin, P.; Wang, Z.; et al. Efficient and self-adaptive in-situ learning in multilayer memristor neural networks. Nat. Commun. 2018, 9, 1–8. [Google Scholar] [CrossRef] [Green Version]
- He, S.; Sun, K.; Peng, Y.; Wang, L. Modeling of discrete fracmemristor and its application. AIP Adv. 2020, 10, 015332. [Google Scholar] [CrossRef]
- Peng, Y.; He, S.; Sun, K. A higher dimensional chaotic map with discrete memristor. AEU-Int. J. Electron. Commun. 2021, 129, 153539. [Google Scholar] [CrossRef]
- Sprott, J.C. A new chaotic jerk circuit. IEEE Trans. Circuits Syst. II Express Briefs 2011, 58, 240–243. [Google Scholar] [CrossRef]
- Vaidyanathan, S. Analysis, adaptive control and synchronization of a novel 4-D hyperchaotic hyperjerk system via backstepping control method. Arch. Control Sci. 2016, 26, 311–338. [Google Scholar] [CrossRef] [Green Version]
- Kengne, J.; Njitacke, Z.; Nguomkam Negou, A.; Fouodji Tsostop, M.; Fotsin, H.B. Coexistence of multiple attractors and crisis route to chaos in a novel chaotic jerk circuit. Int. J. Bifurc. Chaos 2016, 26, 1650081. [Google Scholar] [CrossRef]
- Sabarathinam, S.; Volos, C.K.; Thamilmaran, K. Implementation and study of the nonlinear dynamics of a memristor-based Duffing oscillator. Nonlinear Dyn. 2017, 87, 37–49. [Google Scholar] [CrossRef]
- Volos, C.; Akgul, A.; Pham, V.T.; Stouboulos, I.; Kyprianidis, I. A simple chaotic circuit with a hyperbolic sine function and its use in a sound encryption scheme. Nonlinear Dyn. 2017, 89, 1047–1061. [Google Scholar] [CrossRef]
- Bao, H.; Wang, N.; Bao, B.; Chen, M.; Jin, P.; Wang, G. Initial condition-dependent dynamics and transient period in memristor-based hypogenetic jerk system with four line equilibria. Commun. Nonlinear Sci. Numer. Simul. 2018, 57, 264–275. [Google Scholar] [CrossRef]
- Kengne, J.; Negou, A.N.; Tchiotsop, D. Antimonotonicity, chaos and multiple attractors in a novel autonomous memristor-based jerk circuit. Nonlinear Dyn. 2017, 88, 2589–2608. [Google Scholar] [CrossRef]
- Hua, M.; Yang, S.; Xu, Q.; Chen, M.; Wu, H.; Bao, B. Forward and reverse asymmetric memristor-based jerk circuits. AEU-Int. J. Electron. Commun. 2020, 123, 153294. [Google Scholar] [CrossRef]
- Wang, Z.; Sun, W.; Wei, Z.; Zhang, S. Dynamics and delayed feedback control for a 3D jerk system with hidden attractor. Nonlinear Dyn. 2015, 82, 577–588. [Google Scholar] [CrossRef]
- Zhang, Y.; Liu, Z.; Wu, H.; Chen, S.; Bao, B. Extreme multistability in memristive hyper-jerk system and stability mechanism analysis using dimensionality reduction model. Eur. Phys. J. Spec. Top. 2019, 228, 1995–2009. [Google Scholar] [CrossRef]
- He, S.; Sun, K.; Peng, Y. Detecting chaos in fractional-order nonlinear systems using the smaller alignment index. Phys. Lett. A 2019, 383, 2267–2271. [Google Scholar] [CrossRef]
- Lai, Q.; Kuate, P.D.K.; Liu, F.; Iu, H.H.C. An extremely simple chaotic system with infinitely many coexisting attractors. IEEE Trans. Circuits Syst. II Express Briefs 2019, 67, 1129–1133. [Google Scholar] [CrossRef]
- Šupová, M. The Significance and Utilisation of Biomimetic and Bioinspired Strategies in the Field of Biomedical Material Engineering: The Case of Calcium Phosphat—Protein Template Constructs. Materials 2020, 13, 327. [Google Scholar] [CrossRef] [PubMed] [Green Version]
- Adhikari, S.P.; Sah, M.; Kim, H.; Chua, L. Three Fingerprints of Memristor. IEEE Trans. Circuits Syst. I Regul. Pap. 2013, 60, 3008–3021. [Google Scholar] [CrossRef]
- Yang, Z.X.; Zhong, J.H. A hybrid EEMD-based SampEn and SVD for acoustic signal processing and fault diagnosis. Entropy 2016, 18, 112. [Google Scholar] [CrossRef] [Green Version]
- Sun, K.; Wang, X.; Sprott, J.C. Bifurcations and chaos in fractional-order simplified Lorenz system. Int. J. Bifurc. Chaos 2010, 20, 1209–1219. [Google Scholar] [CrossRef]
- Muthuswamy, B.; Chua, L.O. Simplest chaotic circuit. Int. J. Bifurc. Chaos 2010, 20, 1567–1580. [Google Scholar] [CrossRef]
- Itoh, M.; Chua, L.O. Memristor oscillators. Int. J. Bifurc. Chaos 2008, 18, 3183–3206. [Google Scholar] [CrossRef]
- Bao, B.; Jiang, P.; Wu, H.; Hu, F. Complex transient dynamics in periodically forced memristive Chua’s circuit. Nonlinear Dyn. 2015, 79, 2333–2343. [Google Scholar] [CrossRef]
- Bao, B.; Zou, X.; Liu, Z.; Hu, F. Generalized memory element and chaotic memory system. Int. J. Bifurc. Chaos 2013, 23, 1350135. [Google Scholar] [CrossRef]
- Prousalis, D.A.; Volos, C.K.; Stouboulos, I.N.; Kyprianidis, I.M. A hyperjerk memristive system with infinite equilibrium points. AIP Conf. Proc. 2017, 1872, 020024. [Google Scholar]
- Zhulin, W.; Fuhong, M.; Guangya, P.; Yaoda, W.; Yi, C. Bifurcation and Chaos of the Memristor Circuit. Int. J. Comput. Inf. Eng 2016, 10, 1976–1982. [Google Scholar]
- Bao, B.; Liu, Z.; Xu, J. Steady periodic memristor oscillator with transient chaotic behaviours. Electron. Lett. 2010, 46, 237–238. [Google Scholar] [CrossRef]
- Feng, W.; He, Y.G.; Li, C.L.; Su, X.M.; Chen, X.Q. Dynamical behavior of a 3D jerk system with a generalized Memristive device. Complexity 2018, 2018, 5620956. [Google Scholar] [CrossRef]
- Wu, R.; Wang, C. A new simple chaotic circuit based on memristor. Int. J. Bifurc. Chaos 2016, 26, 1650145. [Google Scholar] [CrossRef]
- Zhong, G.Q. Implementation of Chua’s circuit with a cubic nonlinearity. IEEE Trans. Circuits Syst. I Fundam. Theory Appl. 1994, 41, 934–941. [Google Scholar] [CrossRef] [Green Version]
- Wang, C.; Xia, H.; Zhou, L. Implementation of a new memristor-based multiscroll hyperchaotic system. Pramana 2017, 88, 34. [Google Scholar] [CrossRef]
- Ostrovskii, V.; Fedoseev, P.; Bobrova, Y.; Butusov, D. Structural and Parametric Identification of Knowm Memristors. Nanomaterials 2021, 12, 63. [Google Scholar] [CrossRef]
- Volos, C.; Nistazakis, H.; Pham, V.T.; Stouboulos, I. The first experimental evidence of chaos from a nonlinear circuit with a real memristor. In Proceedings of the 2020 9th International Conference on Modern Circuits and Systems Technologies (MOCAST), Bremen, Germany, 7–9 September 2020; pp. 1–4. [Google Scholar]
- Ding, Y.; Zhang, Q. Impulsive homoclinic chaos in Van der Pol Jerk system. Trans. Tianjin Univ. 2010, 16, 457–460. [Google Scholar] [CrossRef]
- Sanjaya, W.; Anggraeni, D.; Denya, R.; Ismail, N. Numerical Simulation Bidirectional Chaotic Synchronization of Spiegel-Moore Circuit and Its Application for Secure Communication. IOP Conf. Ser. Mater. Sci. Eng. 2017, 180, 012066. [Google Scholar] [CrossRef] [Green Version]
- Li, Q.; Zeng, H.; Li, J. Hyperchaos in a 4D memristive circuit with infinitely many stable equilibria. Nonlinear Dyn. 2015, 79, 2295–2308. [Google Scholar] [CrossRef]
- Rocha, R.; Ruthiramoorthy, J.; Kathamuthu, T. Memristive oscillator based on Chua’s circuit: Stability analysis and hidden dynamics. Nonlinear Dyn. 2017, 88, 2577–2587. [Google Scholar] [CrossRef]
- Peng, G.; Min, F. Multistability analysis, circuit implementations and application in image encryption of a novel memristive chaotic circuit. Nonlinear Dyn. 2017, 90, 1607–1625. [Google Scholar] [CrossRef]













| Type | Reference | Equations |
|---|---|---|
| Piecewise-linear | Ref. [28] | |
| Absolute value | Ref. [29] | |
| Linear function | Ref. [30] | |
| Ref. [31] | ||
| Sine function | Ref. [32] | |
| Square function | Ref. [33] | |
| Ref. [34] | ||
| Ref. [35] | ||
| Cubic function | Ref. [36] | |
| Higher-order | Ref. [37] | |
| Knowm memristor | Ref. [38] | , fitted curve |
| Ref. [39] | characteristic curves presented |
Publisher’s Note: MDPI stays neutral with regard to jurisdictional claims in published maps and institutional affiliations. |
© 2022 by the authors. Licensee MDPI, Basel, Switzerland. This article is an open access article distributed under the terms and conditions of the Creative Commons Attribution (CC BY) license (https://creativecommons.org/licenses/by/4.0/).
Share and Cite
Wu, X.; He, S.; Tan, W.; Wang, H. From Memristor-Modeled Jerk System to the Nonlinear Systems with Memristor. Symmetry 2022, 14, 659. https://doi.org/10.3390/sym14040659
Wu X, He S, Tan W, Wang H. From Memristor-Modeled Jerk System to the Nonlinear Systems with Memristor. Symmetry. 2022; 14(4):659. https://doi.org/10.3390/sym14040659
Chicago/Turabian StyleWu, Xianming, Shaobo He, Weijie Tan, and Huihai Wang. 2022. "From Memristor-Modeled Jerk System to the Nonlinear Systems with Memristor" Symmetry 14, no. 4: 659. https://doi.org/10.3390/sym14040659
APA StyleWu, X., He, S., Tan, W., & Wang, H. (2022). From Memristor-Modeled Jerk System to the Nonlinear Systems with Memristor. Symmetry, 14(4), 659. https://doi.org/10.3390/sym14040659

