Temporal Quantum Memory and Non-Locality of Two Trapped Ions under the Effect of the Intrinsic Decoherence: Entropic Uncertainty, Trace Norm Nonlocality and Entanglement
Abstract
:1. Introduction
2. The Physical Model
3. Quantum Memory and Non-Locality Quantifiers
3.1. Two Trapped-Ions Entropic Uncertainty
3.2. Trace Norm Measurement-Induced Nonlocality (Trace Norm-MIN)
3.3. Concurrence Entanglement
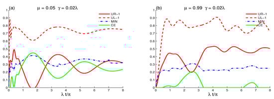
4. Dynamics of Correlations
5. Comparison of Current and Previous Results
6. Conclusions
Author Contributions
Funding
Institutional Review Board Statement
Informed Consent Statement
Data Availability Statement
Acknowledgments
Conflicts of Interest
References
- Nielsen, M.A.; Chuang, I.L. Quantum Computation and Quantum Information; Cambridge University Press: Cambridge, UK, 2000. [Google Scholar]
- Jozsa, R.; Linden, N. On the role of entanglement in quantum-computational speed-up. Proc. R. Soc. A 2003, 459, 2011. [Google Scholar] [CrossRef] [Green Version]
- Zhu, S.L.; Wang, Z.D.; Zanardi, P. Geometric quantum computation and multiqubit entanglement with superconducting qubits inside a cavity. Phys. Rev. Lett. 2005, 94, 100502. [Google Scholar] [CrossRef] [Green Version]
- Blatt, R.; Roos, C.F. Quantum simulations with trapped ions. Nat. Phys. 2012, 8, 277–284. [Google Scholar] [CrossRef]
- Pan, G.-X.; Liu, Y.-M.; Zhang, Z.-J. Classical communication and entanglement cost in preparing a class of multi-qubit states. Commun. Theor. Phys. 2008, 49, 631. [Google Scholar]
- Li, Y.H.; Li, X.L.; Nie, L.P.; Sang, M.H. Quantum teleportation of three and four-qubit state using multi-qubit cluster states. Int. J. Theor. Phys. 2016, 55, 1820–1823. [Google Scholar] [CrossRef]
- Huang, Y.B.; Li, S.S.; Nie, Y.Y. Controlled dense coding between multi-parties. Int. J. Theor. Phys. 2009, 48, 95–100. [Google Scholar] [CrossRef]
- Rahman, A.U.; Javed, M.; Ji, Z.; Ullah, A. Probing multipartite entanglement, coherence and quantum information preservation under classical Ornstein-Uhlenbeck noise. J. Phys. A Math. Theor. 2022, 55, 025305. [Google Scholar] [CrossRef]
- Huang, Z.; Macchiavello, C.; Maccone, L. Noise-dependent optimal strategies for quantum metrology. Phys. Rev. A 2018, 97, 032333. [Google Scholar] [CrossRef] [Green Version]
- Rahman, A.U.; Noman, M.; Javed, M.; Luo, M.X.; Ullah, A. Quantum correlations of tripartite entangled states under Gaussian noise. Quantum Inf. Process. 2021, 20, 1–20. [Google Scholar] [CrossRef]
- Zhang, Y.; Liu, T.; Zhao, J.; Yu, Y.; Yang, C.P. Generation of hybrid Greenberger-Horne-Zeilinger entangled states of particlelike and wavelike optical qubits in circuit QED. Phys. Rev. A 2020, 101, 062334. [Google Scholar] [CrossRef]
- Berrada, K.; Chafik, A.; Eleuch, H.; Hassouni, Y. Concurrence in the framework of coherent states. Quantum Inf. Process. 2010, 9, 13–26. [Google Scholar] [CrossRef]
- Eleuch, H. Quantum trajectories and autocorrelation function in semiconductor microcavity. Appl. Math. Inf. Sci. 2009, 3, 185. [Google Scholar]
- Piccione, N.; Militello, B.; Napoli, A.; Bellomo, B. Generation of minimum-energy entangled states. Phys. Rev. A 2021, 103, 062402. [Google Scholar] [CrossRef]
- Neeley, M.; Bialczak, R.C.; Lenander, M.; Lucero, E.; Mariantoni, M.; O’connell, A.D.; Martinis, J.M. Generation of three-qubit entangled states using superconducting phase qubits. Nature 2010, 467, 570–573. [Google Scholar] [CrossRef] [Green Version]
- Gubarev, F.V.; Dyakonov, I.V.; Saygin, M.Y.; Struchalin, G.I.; Straupe, S.S.; Kulik, S.P. Improved heralded schemes to generate entangled states from single photons. Phys. Rev. A 2020, 102, 012604. [Google Scholar] [CrossRef]
- Warring, U.; Hakelberg, F.; Kiefer, P.; Wittemer, M.; Schaetz, T. Trapped Ion Architecture for Multi-Dimensional Quantum Simulations. Adv. Quantum Technol. 2020, 3, 1900137. [Google Scholar] [CrossRef]
- Zhong, Z.R.; Huang, X.J.; Yang, Z.B.; Shen, L.T.; Zheng, S.B. Generation and stabilization of entangled coherent states for the vibrational modes of a trapped ion. Phys. Rev. A 2018, 98, 032311. [Google Scholar] [CrossRef] [Green Version]
- Coles, P.J.; Berta, M.; Tomamichel, M.; Wehner, S. Entropic uncertainty relations and their applications. Rev. Mod. Phys. 2017, 89, 015002. [Google Scholar] [CrossRef] [Green Version]
- Hertz, A.; Cerf, N.J. Continuous-variable entropic uncertainty relations. J. Phys. A Math. Theor. 2019, 52, 173001. [Google Scholar] [CrossRef] [Green Version]
- Bialynicki-Birula, I. Entropic uncertainty relations. Phys. Lett. A 1984, 103, 253–254. [Google Scholar] [CrossRef] [Green Version]
- Maassen, H.; Uffink, J.B. Generalized entropic uncertainty relations. Phys. Rev. Lett. 1988, 60, 1103. [Google Scholar] [CrossRef] [PubMed]
- Hu, M.L.; Fan, H. Quantum-memory-assisted entropic uncertainty principle, teleportation, and entanglement witness in structured reservoirs. Phys. Rev. A 2012, 86, 032338. [Google Scholar] [CrossRef] [Green Version]
- Chen, Z.; Zhang, Y.; Wang, X.; Yu, S.; Guo, H. Improving parameter estimation of entropic uncertainty relation in continuous-variable quantum key distribution. Entropy 2019, 21, 652. [Google Scholar] [CrossRef] [Green Version]
- Krawec, W.O. Quantum sampling and entropic uncertainty. Quantum Inf. Process. 2019, 18, 1–18. [Google Scholar] [CrossRef] [Green Version]
- Ng, N.H.Y.; Berta, M.; Wehner, S. Min-entropy uncertainty relation for finite-size cryptography. Phys. Rev. A 2012, 86, 042315. [Google Scholar] [CrossRef] [Green Version]
- Luis, A.; Rodil, A. Alternative measures of uncertainty in quantum metrology: Contradictions and limits. Phys. Rev. A 2013, 87, 034101. [Google Scholar] [CrossRef] [Green Version]
- Mohamed, A.B.; Eleuch, H.; Ooi, C.R. Non-locality correlation in two driven qubits inside an open coherent cavity: Trace norm distance and maximum bell function. Sci. Rep. 2019, 9, 19632. [Google Scholar] [CrossRef] [Green Version]
- Mohamed, A.-B.A.; Eleuch, H.; Raymond Ooi, C.H. Quantum coherence and entanglement partitions for two driven quantum dots inside a coherent micro cavity. Phys. Lett. A 2019, 383, 125905. [Google Scholar] [CrossRef]
- Luo, S.; Fu, S. Measurement-induced nonlocality. Phys. Rev. Lett. 2011, 106, 120401. [Google Scholar] [CrossRef]
- Bengtsson, I.; Zyczkowski, K. Geometry of Quantum States: An Introduction to Quantum Entanglement; Cambridge University Press: Cambridge, UK, 2017. [Google Scholar]
- Horodecki, R.; Horodecki, P.; Horodecki, M.; Horodecki, K. Quantum entanglement. Rev. Mod. Phys. 2009, 81, 865. [Google Scholar] [CrossRef] [Green Version]
- Vedral, V. Quantum entanglement. Nat. Phys. 2014, 10, 256–258. [Google Scholar] [CrossRef]
- Shih, Y.H. Quantum entanglement and quantum teleportation. Annalen Physik 2001, 10, 19–34. [Google Scholar] [CrossRef]
- Asjad, M.; Qasymeh, M.; Eleuch, H. Continuous-Variable Quantum Teleportation Using a Microwave-Enabled Plasmonic Graphene Waveguide. Phys. Rev. Appl. 2021, 16, 034046. [Google Scholar] [CrossRef]
- Degen, C.L.; Reinhard, F.; Cappellaro, P. Quantum sensing. Rev. Mod. Phys. 2017, 89, 035002. [Google Scholar] [CrossRef] [Green Version]
- Steane, A. Quantum computing. Rep. Prog. Phys. 1998, 61, 117. [Google Scholar] [CrossRef]
- Ursin, R.; Tiefenbacher, F.; Schmitt-Manderbach, T.; Weier, H.; Scheidl, T.; Lindenthal, M.; Zeilinger, A. Entanglement-based quantum communication over 144 km. Nat. Phys. 2007, 3, 481–486. [Google Scholar] [CrossRef] [Green Version]
- Rahman, A.U.; Ji, Z.; Zhang, H. Demonstration of entanglement and coherence in GHZ-like state when exposed to classical environments with power-law noise. arXiv 2021, arXiv:2111.01747. [Google Scholar]
- Mohamed, A.-B.A.; Eleuch, H. Quantum correlation control for two semiconductor microcavities connected by an optical fiber. Phys. Scr. 2017, 92, 065101. [Google Scholar] [CrossRef]
- Zheng, S.B.; Guo, G.C. Efficient scheme for two-atom entanglement and quantum information processing in cavity QED. Phys. Rev. Lett. 2000, 85, 2392. [Google Scholar] [CrossRef]
- Mlynek, J.A.; Abdumalikov, A.A.; Eichler, C.; Wallraff, A. Observation of Dicke superradiance for two artificial atoms in a cavity with high decay rate. Nat. Commun. 2014, 5, 5186. [Google Scholar] [CrossRef] [Green Version]
- Mohamed, A.B.A.; Farouk, A.; Yassen, M.F.; Eleuch, H. Fisher and Skew Information Correlations of Two Coupled Trapped Ions: Intrinsic Decoherence and Lamb-Dicke Nonlinearity. Symmetry 2021, 13, 2243. [Google Scholar] [CrossRef]
- Browne, D.; Bose, S.; Mintert, F.; Kim, M.S. From quantum optics to quantum technologies. Prog. Quantum Electron. 2017, 54, 2–18. [Google Scholar] [CrossRef] [Green Version]
- Mortezapour, A.; Naeimi, G.; Franco, R.L. Coherence and entanglement dynamics of vibrating qubits. Opt. Commun. 2018, 424, 26–31. [Google Scholar] [CrossRef] [Green Version]
- Brown, K.R.; Chiaverini, J.; Sage, J.M.; Haffner, H. Materials challenges for trapped-ion quantum computers. Nat. Rev. Mater. 2021, 6, 892. [Google Scholar] [CrossRef]
- Milburn, G.J. Intrinsic decoherence in quantum mechanics. Phys. Rev. A 1991, 44, 5401. [Google Scholar] [CrossRef] [PubMed] [Green Version]
- Diási, L. Intrinsic Time-Uncertainties and Decoherence: Comparison of 4 Models. Braz. J. Phys. 2005, 35, 260. [Google Scholar] [CrossRef]
- Sharma, S.S.; Sharma, N.K. Intrinsic decoherence effects on tripartite GHZ state generation using a trapped ion coupled to an optical cavity. J. Opt. B Quantum Semiclass. Opt. 2005, 7, 230. [Google Scholar] [CrossRef]
- Flores, J.C. Intrinsic decoherence theory applied to single C60 solid state transistors: Robustness in the transmission regimen. Phys. Lett. A 2016, 380, 1063. [Google Scholar] [CrossRef]
- Vogel, W.; de Matos Filho, R.L. Nonlinear Jaynes-Cummings dynamics of a trapped ion. Phys. Rev. A 1995, 52, 4214. [Google Scholar] [CrossRef]
- Retzker, A.; Solano, E.; Reznik, B. Tavis-Cummings model and collective multiqubit entanglement in trapped ions. Phys. Rev. A 2007, 75, 022312. [Google Scholar] [CrossRef] [Green Version]
- Wei, L.F.; Nori, F. An efficient single-step scheme for manipulating quantum information of two trapped ions beyond the Lamb-Dicke limit. Phys. Lett. A 2003, 320, 131. [Google Scholar] [CrossRef] [Green Version]
- Simeonov, L.S.; Vitanov, N.V.; Ivanov, P.A. Compensation of the trap-induced quadrupole interaction in trapped Rydberg ions. Sci. Rep. 2019, 9, 7340. [Google Scholar] [CrossRef] [PubMed]
- Zhang, Z.-Y.; Liu, J.-M. Quantum Correlations and Coherence of Polar Symmetric Top Molecules in Pendular States. Sci. Rep. 2017, 7, 17822. [Google Scholar] [CrossRef] [PubMed] [Green Version]
- Naveena, P.; Muthuganesan, R.; Chandrasekar, V.K. Effects of intrinsic decoherence on quantum correlations in a two superconducting charge qubit system. Physica A 2022, 592, 126852. [Google Scholar] [CrossRef]
- Berta, M.; Christandl, M.; Colbeck, R.; Renes, J.M.; Renner, R. The uncertainty principle in the presence of quantum memory. Nat. Phys. 2010, 6, 659. [Google Scholar] [CrossRef]
- Paula, F.M.; de Oliveira, T.R. Geometric quantum discord through the Schatten 1-norm. Phys. Rev. A 2013, 87, 064101. [Google Scholar] [CrossRef] [Green Version]
- Hu, M.-L.; Hu, X.; Wang, J.; Peng, Y.; Zhang, Y.-R.; Fan, H. Quantum coherence and geometric quantum discord. Phys. Rep. 2018, 762–764, 1–100. [Google Scholar] [CrossRef] [Green Version]
- Mohamed, A.-B.A.; Metwally, N. Enhancing non-local correlations in a dissipative two-qubit system via dipole dipole interplay. Quantum Inf. Process. 2019, 18, 79. [Google Scholar] [CrossRef]
- Wootters, W.K. Entanglement of Formation of an Arbitrary State of Two Qubits. Phys. Rev. Lett. 1998, 80, 2245. [Google Scholar] [CrossRef] [Green Version]
- Zidan, N.; Bakry, H.; Rahman, A.U. Entanglement and Entropic Uncertainty of Two Two-Level Atoms. Annalen Physik 2022, 2100555. [Google Scholar] [CrossRef]
- Mohamed, A.B.; Abdel-Aty, A.H.; Eleuch, H. Dynamics of trace distance and Bures correlations in a three-qubit XY chain: Intrinsic noise model. Physica E 2021, 128, 114529. [Google Scholar] [CrossRef]
- Wang, D.; Hansson, T.; Larson, A.; Karlsson, H.O.; Larson, J. Quantum interference structures in trapped-ion dynamics beyond the Lamb-Dicke and rotating wave approximations. Phys. Rev. A 2008, 77, 053808. [Google Scholar] [CrossRef]
- Mohamed, A.B.A. Bipartite non-classical correlations for a lossy two connected qubit-cavity systems: Trace distance discord and Bell’s non-locality. Quantum Inf. Process. 2018, 17, 96. [Google Scholar] [CrossRef]
- Yu, T.; Eberly, J.H. Sudden Death of Entanglement. Science 2009, 323, 598. [Google Scholar] [CrossRef] [Green Version]
- Rahman, A.U.; Noman, M.; Javed, M.; Ullah, A. Dynamics of bipartite quantum correlations and coherence in classical environments described by pure and mixed Gaussian noises. Eur. Phys. J. Plus 2021, 136, 1–19. [Google Scholar] [CrossRef]
- Rahman, A.U.; Noman, M.; Javed, M.; Ullah, A.; Luo, M.X. Effects of classical fluctuating environments on decoherence and bipartite quantum correlations dynamics. Laser Phys. 2021, 31, 115202. [Google Scholar] [CrossRef]
- Hussain, M.I.; Heinrich, D.; Guevara-Bertsch, M.; Torrontegui, E.; García-Ripoll, J.J.; Roos, C.F.; Blatt, R. Ultraviolet laser pulses with multigigahertz repetition rate and multiwatt average power for fast trapped-ion entanglement operations. Phys. Rev. Appl. 2021, 15, 024054. [Google Scholar] [CrossRef]
- Blümel, R.; Grzesiak, N.; Nguyen, N.H.; Green, A.M.; Li, M.; Maksymov, A.; Linke, N.M.; Nam, Y. Efficient Stabilized Two-Qubit Gates on a Trapped-Ion Quantum Computer. Phys. Rev. Lett. 2021, 126, 220503. [Google Scholar] [CrossRef]
- Valahu, C.H.; Lawrence, A.M.; Weidt, S.; Hensinger, W.K. Robust entanglement by continuous dynamical decoupling of the J-coupling interaction. New J. Phys. 2021, 23, 113012. [Google Scholar] [CrossRef]
- Erickson, S.D.; Wu, J.J.; Hou, P.Y.; Cole, D.C.; Geller, S.; Kwiatkowski, A.; Leibfried, D. High-fidelity indirect readout of trapped-ion hyperfine qubits. arXiv 2021, arXiv:2112.06341. [Google Scholar]
- Sutherland, R.T.; Yu, Q.; Beck, K.M.; Häffner, H. One-and two-qubit gate infidelities due to motional errors in trapped ions and electrons. arXiv 2021, arXiv:2111.01913. [Google Scholar] [CrossRef]
- Srinivas, R.; Burd, S.C.; Knaack, H.M.; Sutherl, R.T.; Kwiatkowski, A.; Glancy, S.; Slichter, D.H. High-fidelity laser-free universal control of trapped ion qubits. Nature 2021, 597, 209–213. [Google Scholar] [CrossRef] [PubMed]
- Egan, L.; Debroy, D.M.; Noel, C.; Risinger, A.; Zhu, D.; Biswas, D.; Monroe, C. Fault-tolerant control of an error-corrected qubit. Nature 2021, 598, 281–286. [Google Scholar] [CrossRef] [PubMed]
- Mihalcea, B.M.; Lynch, S. Investigations on Dynamical Stability in 3D Quadrupole Ion Traps. Appl. Sci. 2021, 11, 2938. [Google Scholar] [CrossRef]
- Papakostas, M.; Das, K.; Abouelenien, M.; Mihalcea, R.; Burzo, M. Distracted and drowsy driving modeling using deep physiological representations and multitask learning. Appl. Sci. 2021, 11, 88. [Google Scholar] [CrossRef]
- Häffner, H.; Roos, C.F.; Blatt, R. Quantum computing with trapped ions. Phys. Rep. 2008, 469, 155–203. [Google Scholar] [CrossRef] [Green Version]
- Bruzewicz, C.D.; Chiaverini, J.; McConnell, R.; Sage, J.M. Trapped-ion quantum computing: Progress and challenges. Appl. Phys. Rev. 2019, 6, 021314. [Google Scholar] [CrossRef] [Green Version]
- Olsacher, T.; Postler, L.; Schindler, P.; Monz, T.; Zoller, P.; Sieberer, L.M. Scalable and parallel tweezer gates for quantum computing with long ion strings. PRX Quantum 2020, 1, 020316. [Google Scholar] [CrossRef]
- Reiter, F.; Sørensen, A.S.; Zoller, P.; Muschik, C.A. Dissipative quantum error correction and application to quantum sensing with trapped ions. Nat. Commun. 2017, 8, 1822. [Google Scholar] [CrossRef]
- Šasura, M.; Bužek, V. Multiparticle entanglement with quantum logic networks: Application to cold trapped ions. Phys. Rev. A 2001, 64, 012305. [Google Scholar] [CrossRef] [Green Version]





Publisher’s Note: MDPI stays neutral with regard to jurisdictional claims in published maps and institutional affiliations. |
© 2022 by the authors. Licensee MDPI, Basel, Switzerland. This article is an open access article distributed under the terms and conditions of the Creative Commons Attribution (CC BY) license (https://creativecommons.org/licenses/by/4.0/).
Share and Cite
Mohamed, A.-B.A.; Rahman, A.U.; Eleuch, H. Temporal Quantum Memory and Non-Locality of Two Trapped Ions under the Effect of the Intrinsic Decoherence: Entropic Uncertainty, Trace Norm Nonlocality and Entanglement. Symmetry 2022, 14, 648. https://doi.org/10.3390/sym14040648
Mohamed A-BA, Rahman AU, Eleuch H. Temporal Quantum Memory and Non-Locality of Two Trapped Ions under the Effect of the Intrinsic Decoherence: Entropic Uncertainty, Trace Norm Nonlocality and Entanglement. Symmetry. 2022; 14(4):648. https://doi.org/10.3390/sym14040648
Chicago/Turabian StyleMohamed, Abdel-Baset A., Atta Ur Rahman, and Hichem Eleuch. 2022. "Temporal Quantum Memory and Non-Locality of Two Trapped Ions under the Effect of the Intrinsic Decoherence: Entropic Uncertainty, Trace Norm Nonlocality and Entanglement" Symmetry 14, no. 4: 648. https://doi.org/10.3390/sym14040648
APA StyleMohamed, A.-B. A., Rahman, A. U., & Eleuch, H. (2022). Temporal Quantum Memory and Non-Locality of Two Trapped Ions under the Effect of the Intrinsic Decoherence: Entropic Uncertainty, Trace Norm Nonlocality and Entanglement. Symmetry, 14(4), 648. https://doi.org/10.3390/sym14040648

