Percolative, Multifractal, and Symmetry Properties of the Surface at Nanoscale of Cu-Ni Bimetallic Thin Films Deposited by RF-PECVD
Abstract
1. Introduction
2. Materials and Methods
2.1. Deposition of the Films
2.2. AFM Imaging and 3D Spatial Analysis
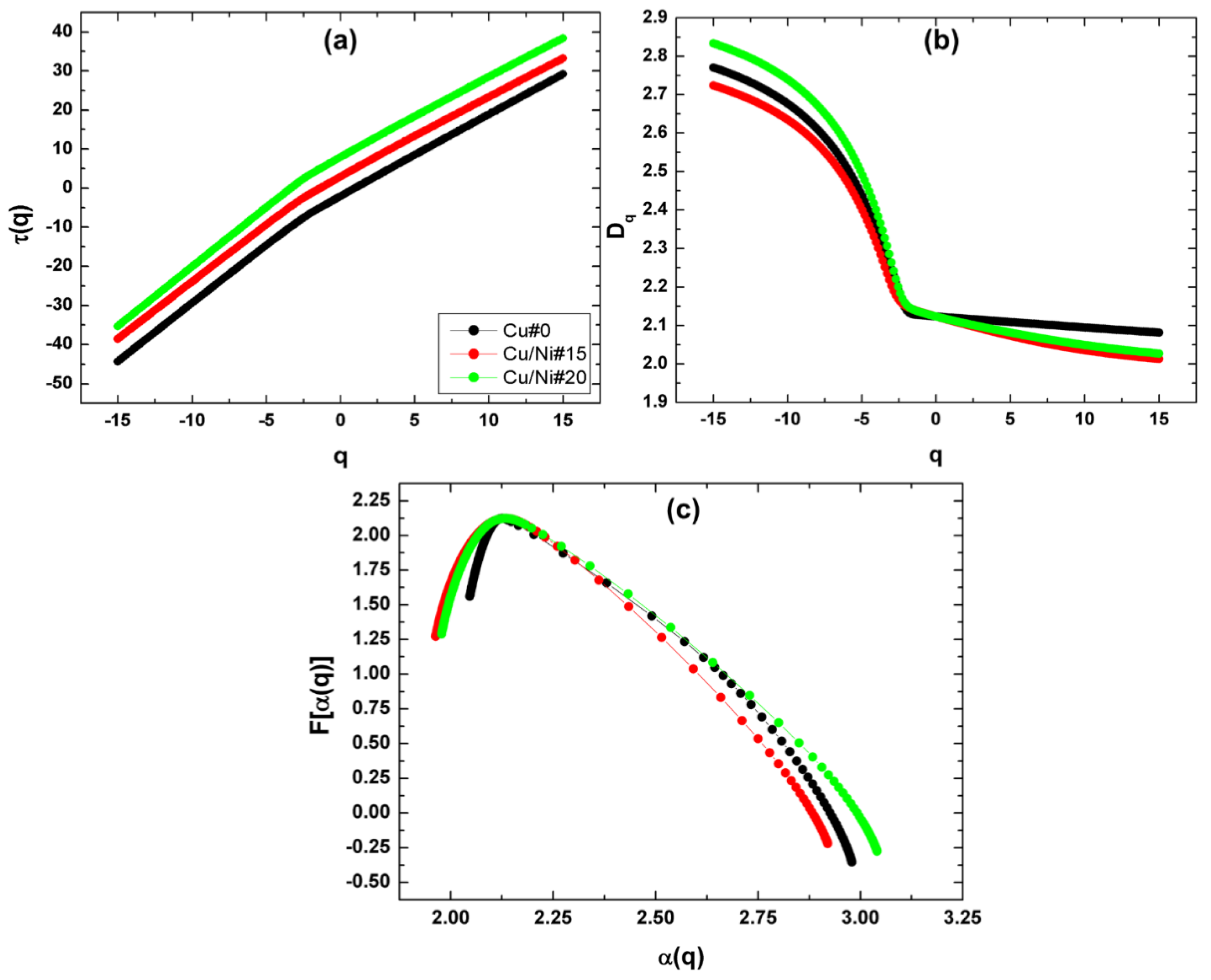
3. Results
4. Conclusions
Author Contributions
Funding
Institutional Review Board Statement
Informed Consent Statement
Data Availability Statement
Conflicts of Interest
References
- Hassan, K.; Iftekhar Uddin, A.S.; Chung, G.-S. Fast-response hydrogen sensors based on discrete Pt/Pd bimetallic ultra-thin films. Sens. Actuators B Chem. 2016, 234, 435–445. [Google Scholar] [CrossRef]
- Ma, M.; Hansen, H.A.; Valenti, M.; Wang, Z.; Cao, A.; Dong, M.; Smith, W.A. Electrochemical reduction of CO2 on compositionally variant Au-Pt bimetallic thin films. Nano Energy 2017, 42, 51–57. [Google Scholar] [CrossRef]
- Gaković, B.; Danilov, P.A.; Kudryashov, S.I.; Milovanović, D.; Radulović, A.; Panjan, P.; Ionin, A.A. The morphological and compositional changes of bimetallic Ti/Al thin film induced by ultra-short laser pulses. Eur. Phys. J. D 2021, 75, 288. [Google Scholar] [CrossRef]
- Qiu, C.; Shang, R.; Xie, Y.; Bu, Y.; Li, C.; Ma, H. Electrocatalytic activity of bimetallic Pd–Ni thin films towards the oxidation of methanol and ethanol. Mater. Chem. Phys. 2010, 120, 323–330. [Google Scholar] [CrossRef]
- Pötzelberger, I.; Mardare, A.I.; Hassel, A.W. Electrocatalytic oxidation of glucose by screening combinatorial copper-nickel alloys. Phys. Status Solidi 2016, 213, 1434–1440. [Google Scholar] [CrossRef]
- Pötzelberger, I.; Mardare, A.I.; Hassel, A.W. Non-enzymatic glucose sensing on copper-nickel thin film alloy. Appl. Surf. Sci. 2017, 417, 48–53. [Google Scholar] [CrossRef]
- Khadom, A.A.; Yaro, A.S. Modeling of corrosion inhibition of copper-nickel alloy in hydrochloric acid by benzotriazole. Russ. J. Phys. Chem. A 2011, 85, 2005–2012. [Google Scholar] [CrossRef]
- Vishwakarma, V.; Josephine, J.; George, R.P.; Krishnan, R.; Dash, S.; Kamruddin, M.; Kalavathi, S.; Manoharan, N.; Tyagi, A.K.; Dayal, R.K. Antibacterial copper–nickel bilayers and multilayer coatings by pulsed laser deposition on titanium. Biofouling 2009, 25, 705–710. [Google Scholar] [CrossRef] [PubMed]
- Wang, Y.; Zhang, R.; Duan, J.; Shi, X.; Zhang, Y.; Guan, F.; Sand, W.; Hou, B. Extracellular Polymeric Substances and Biocorrosion/Biofouling: Recent Advances and Future Perspectives. Int. J. Mol. Sci. 2022, 23, 5566. [Google Scholar] [CrossRef]
- Pandis, N.; Polychronopoulou, A.; Eliades, T. Alleviation of mandibular anterior crowding with copper-nickel-titanium vs nickel-titanium wires: A double-blind randomized control trial. Am. J. Orthod. Dentofac. Orthop. 2009, 136, e1–e152. [Google Scholar] [CrossRef]
- Mönig, H. Copper-oxide tip functionalization for submolecular atomic force microscopy. Chem. Commun. 2018, 54, 9874–9888. [Google Scholar] [CrossRef] [PubMed]
- Marcuello, C.; de Miguel, R.; Lostao, A. Molecular Recognition of Proteins through Quantitative Force Maps at Single Molecule Level. Biomolecules 2022, 12, 594. [Google Scholar] [CrossRef] [PubMed]
- Gheorghiu, C.C.; Ionescu, A.; Zai, M.-I.; Iancu, D.; Burducea, I.; Velisa, G.; Vasile, B.S.; Ianculescu, A.C.; Bobeica, M.; Popa, D.; et al. Nanoscale Control of Structure and Composition for Nanocrystalline Fe Thin Films Grown by Oblique Angle RF Sputtering. Materials 2022, 15, 6134. [Google Scholar] [CrossRef] [PubMed]
- Limwichean, S.; Kasayapanand, N.; Ponchio, C.; Nakajima, H.; Patthanasettakul, V.; Eiamchai, P.; Meng, G.; Horprathum, M. Morphology-controlled fabrication of nanostructured WO3 thin films by magnetron sputtering with glancing angle deposition for enhanced efficiency photo-electrochemical water splitting. Ceram. Int. 2021, 47, 34455–34462. [Google Scholar] [CrossRef]
- Barbee, B.; Muchharla, B.; Adedeji, A.; Karoui, A.; Kumar Sadasivuni, K.; Sha, M.S.; Abdullah, A.M.; Slaughter, G.; Kumar, B. Cu and Ni Co-sputtered heteroatomic thin film for enhanced nonenzymatic glucose detection. Sci. Rep. 2022, 12, 7507. [Google Scholar] [CrossRef]
- Nikpasand, K.; Elahi, S.M.; SarI, A.H.; Boochani, A. Surface micromorphology analysis of Cu/Ni nanocomposite thin films by power spectra density and fractal geometry. Mater. Sci. 2020, 38, 328–333. [Google Scholar] [CrossRef]
- Das, A.; Matos, R.S.; Pinto, E.P.; Yadav, R.P.; Ţălu, Ş.; Kumar, S. 3D micromorphology-contact resistance-conductivity insights of quasi 2D Cd1-xPbxS thin films: Investigation based on stereometric and fractal analysis. Mater. Chem. Phys. 2022, 278, 125635. [Google Scholar] [CrossRef]
- Zhang, F.; Edwards, D.; Deng, X.; Wang, Y.; Kilpatrick, J.I.; Bassiri-Gharb, N.; Kumar, A.; Chen, D.; Gao, X.; Rodriguez, B.J. Investigation of AFM-based machining of ferroelectric thin films at the nanoscale. J. Appl. Phys. 2020, 127, 034103. [Google Scholar] [CrossRef]
- Ţălu, Ş.; Abdolghaderi, S.; Pinto, E.P.; Matos, R.S.; Salerno, M. Advanced fractal analysis of nanoscale topography of Ag/DLC composite synthesized by RF-PECVD. Surf. Eng. 2020, 36, 713–719. [Google Scholar] [CrossRef]
- Das, A.; Chawla, V.; Matos, R.S.; da Fonseca Filho, H.D.; Yadav, R.P.; Ţălu, Ş.; Kumar, S. Surface microtexture and wettability analysis of quasi two-dimensional (Ti, Al)N thin films using fractal geometry. Surf. Coatings Technol. 2021, 421, 127420. [Google Scholar] [CrossRef]
- Das, A.; Yadav, R.P.; Chawla, V.; Kumar, S.; Ţălu, Ş.; Pinto, E.P.; Matos, R.S. Analyzing the surface dynamics of titanium thin films using fractal and multifractal geometry. Mater. Today Commun. 2021, 27, 102385. [Google Scholar] [CrossRef]
- Romaguera-Barcelay, Y.; Pedraça, A.S.; Moreira, J.A.; Almeida, A.; Tavares, P.B.; Brito, W.R.; Matos, R.S.; Pires, M.A.; Pinto, E.P.; da Fonseca Filho, H.D. Evaluation of nanostructured BiZn0.5Ti0.5O3 thin films deposited by RF magnetron sputtering. Mater. Sci. Eng. B 2021, 267, 115090. [Google Scholar] [CrossRef]
- Ţălu, Ş.; Matos, R.S.; Pinto, E.P.; Rezaee, S.; Mardani, M. Stereometric and fractal analysis of sputtered Ag-Cu thin films. Surf. Interfaces 2020, 21, 100650. [Google Scholar] [CrossRef]
- Zhou, W.; Cao, Y.; Zhao, H.; Li, Z.; Feng, P.; Feng, F. Fractal Analysis on Surface Topography of Thin Films: A Review. Fractal Fract. 2022, 6, 135. [Google Scholar] [CrossRef]
- Jing, C.; Tang, W. Ga-doped ZnO thin film surface characterization by wavelet and fractal analysis. Appl. Surf. Sci. 2016, 364, 843–849. [Google Scholar] [CrossRef]
- Astinchap, B. Fractal and statistical characterization of Ti thin films deposited by RF-magnetron sputtering: The effects of deposition time. Optik 2019, 178, 231–242. [Google Scholar] [CrossRef]
- Hosseinpanahi, F.; Raoufi, D.; Ranjbarghanei, K.; Karimi, B.; Babaei, R.; Hasani, E. Fractal features of CdTe thin films grown by RF magnetron sputtering. Appl. Surf. Sci. 2015, 357, 1843–1848. [Google Scholar] [CrossRef]
- Ghosh, K.; Pandey, R.K. Annealing time induced roughening in ZnO thin films: A fractal and multifractal assessment. Mater. Sci. Semicond. Process. 2020, 106, 104771. [Google Scholar] [CrossRef]
- Ghosh, K.; Pandey, R.K. Fractal and multifractal analysis of In-doped ZnO thin films deposited on glass, ITO, and silicon substrates. Appl. Phys. A 2019, 125, 98. [Google Scholar] [CrossRef]
- Ghaderi, A.; Shafiekhani, A.; Solaymani, S.; Ţălu, Ş.; da Fonseca Filho, H.D.; Ferreira, N.S.; Matos, R.S.; Zahrabi, H.; Dejam, L. Advanced microstructure, morphology and CO gas sensor properties of Cu/Ni bilayers at nanoscale. Sci. Rep. 2022, 12, 12002. [Google Scholar] [CrossRef]
- Nečas, D.; Klapetek, P. Gwyddion: An open-source software for SPM data analysis. Cent. Eur. J. Phys. 2012, 10, 181–188. [Google Scholar] [CrossRef]
- Blateyron, F. Characterisation of Areal Surface Texture; Leach, R., Ed.; Springer: Berlin/Heidelberg, Germany, 2013; ISBN 978-3-642-36457-0. [Google Scholar]
- de Melo, R.H.C.; Conci, A. Succolarity: Defining a Method to Calculate This Fractal Measure. In Proceedings of the 15th International Conference on Systems, Signals and Image Processing, Bratislava, Slovakia, 25–28 June 2008; pp. 291–294. [Google Scholar] [CrossRef]
- Ţălu, Ş. Micro and nanoscale Characterization of three Dimensional Surfaces; Napoca Star Publishing House: Cluj-Napoca, Romania, 2015. [Google Scholar]
- Ghodselahi, T.; Arman, A. Magnetoresistance of Cu–Ni nanoparticles in hydrogenated amorphous carbon thin films. J. Mater. Sci. Mater. Electron. 2015, 26, 4193–4197. [Google Scholar] [CrossRef]
- Arman, A.; Ghodselahi, T.; Molamohammadi, M.; Solaymani, S.; Zahrabi, H.; Ahmadpourian, A. Microstructure and optical properties of Cu@Ni nanoparticles embedded in a-C:H. Prot. Met. Phys. Chem. Surfaces 2015, 51, 575–578. [Google Scholar] [CrossRef]
- Matos, R.S.; da Costa, Í.C.; Yasumura, H.D.; de Azevedo, S.G.; Sanches, E.A.; da Fonseca Filho, H.D. Nanoscale surface dynamics of spatial patterns of polymeric bilayered particles loaded with essential oil. Microsc. Res. Tech. 2022, 85, 3633–3641. [Google Scholar] [CrossRef] [PubMed]
- Ramos, G.Q.; Matos, R.S.; Das, A.; Kumar, S.; Ţălu, Ş.; da Fonseca Filho, H.D. Correlating Morphology and Multifractal Spatial Patterns of the Leaf Surface Architecture of Anacardium occidentale L. Fractal Fract. 2022, 6, 320. [Google Scholar] [CrossRef]
- Davim, J.P. Tribology for Engineers: A Practical Guide; Woodhead Publishing Limited: Cambridge, UK, 2011; p. 296. [Google Scholar]
- Blateyron, F. The Areal Field Parameters. In Characterisation of Areal Surface Texture; Springe: Berlin/Heidelberg, Germany, 2013; pp. 15–43. ISBN 9783642364587. [Google Scholar]
- Constantoudis, V.; Ioannou-Sougleridis, I.; Dimou, A.; Ninou, A.; Chatzichristidi, M.; Makarona, E. A symmetry-based approach to the characterization of complex surface morphologies: Application in CuO and NiO nanostructures. Micro Nano Eng. 2022, 16, 100148. [Google Scholar] [CrossRef]





| Parameter | Unit | Cu#0 | Cu/Ni#15 | Cu/Ni#20 | 
|---|---|---|---|---|
| τa1 | º | 13.81 | 71.57 | 87.27 | 
| ta2 | º | 30.88 | 12.99 | 4.840 | 
| Sa1 | nm | 8.133 | 18.53 | 41.06 | 
| Sa2 | nm | 71.57 | 26.06 | 115.6 | 
| Str | - | 0.447 | 0.711 | 0.355 | 
| Parameter | Cu#0 | Cu/Ni#15 | Cu/Ni#20 | 
|---|---|---|---|
| f(αmax) | −0.353 | −0.204 | −0.261 | 
| f(αmin) | 1.560 | 1.271 | 1.289 | 
| Δf | 1.913 | 1.475 | 1.550 | 
| αmax | 2.979 | 2.919 | 3.040 | 
| αmin | 2.047 | 1.963 | 1.978 | 
| Δα | 0.932 | 0.956 | 1.062 | 
| Publisher’s Note: MDPI stays neutral with regard to jurisdictional claims in published maps and institutional affiliations. | 
© 2022 by the authors. Licensee MDPI, Basel, Switzerland. This article is an open access article distributed under the terms and conditions of the Creative Commons Attribution (CC BY) license (https://creativecommons.org/licenses/by/4.0/).
Share and Cite
Matos, R.S.; Ferreira, N.S.; Ţălu, Ş.; Ghaderi, A.; Solaymani, S.; Pires, M.A.; Sanches, E.A.; da Fonseca Filho, H.D. Percolative, Multifractal, and Symmetry Properties of the Surface at Nanoscale of Cu-Ni Bimetallic Thin Films Deposited by RF-PECVD. Symmetry 2022, 14, 2675. https://doi.org/10.3390/sym14122675
Matos RS, Ferreira NS, Ţălu Ş, Ghaderi A, Solaymani S, Pires MA, Sanches EA, da Fonseca Filho HD. Percolative, Multifractal, and Symmetry Properties of the Surface at Nanoscale of Cu-Ni Bimetallic Thin Films Deposited by RF-PECVD. Symmetry. 2022; 14(12):2675. https://doi.org/10.3390/sym14122675
Chicago/Turabian StyleMatos, Robert S., Nilson S. Ferreira, Ştefan Ţălu, Atefeh Ghaderi, Shahram Solaymani, Marcelo A. Pires, Edgar Aparecido Sanches, and Henrique D. da Fonseca Filho. 2022. "Percolative, Multifractal, and Symmetry Properties of the Surface at Nanoscale of Cu-Ni Bimetallic Thin Films Deposited by RF-PECVD" Symmetry 14, no. 12: 2675. https://doi.org/10.3390/sym14122675
APA StyleMatos, R. S., Ferreira, N. S., Ţălu, Ş., Ghaderi, A., Solaymani, S., Pires, M. A., Sanches, E. A., & da Fonseca Filho, H. D. (2022). Percolative, Multifractal, and Symmetry Properties of the Surface at Nanoscale of Cu-Ni Bimetallic Thin Films Deposited by RF-PECVD. Symmetry, 14(12), 2675. https://doi.org/10.3390/sym14122675
 
        







 
       