Abstract
The collective effect of thermal and mass convection along with the significance of thermal radiation, heat source/sink, and magneto-nanofluid are considered. A bi-directional stretching device is used to generate the symmetry of the flowing structure. Nonlinear behavior of thermal radiation is considered here. The magnetic field is considered non-uniform and vertically upward. Significances of pedesis motion and Ludwig–Soret are also revealed in an innovative way with heat source/sink effects. The concept of symmetry is used to transmute the transport equations from PDE type to nonlinear ODE type. We solved the transformed setup numerically by adopting Keller-box method criteria with the targeted accuracy rate. Graphical interpretations are explored with code verification. It is important to conclude that friction coefficients decline for incremental values of stretching parameter , magnetic field and unsteady parameter along with the bidirectional velocity components, and the rate of heat transmission rises with temperature ratio and temperature Biot number amplification. Moreso, the rate of mass transfer is enhanced with growing values of pedesis motion , unsteady parameter and concentration Biot number with opposite effect when the Ludwig–Soret parameter is boosted.
1. Introduction
Fluid mechanics as an application point of view is a vast area of research in industrial and engineering sectors. It is difficult to neglect the laws of fluid dynamics in daily life activities, such as production of polymers, biomedicine manufactures, ventilation, pipelines system, plastic industries, oil refiners, aerospace, thermal trades, oxygen plants, hydro power projects, etc. Nonlinear thermal radiation energy at the surface of any plane structure in fluid mechanics is of tremendous importance, such as could be found in hydroelectric dams, production engineering, wind energy, and also medical sciences. Nonlinear thermal radiation, like electromagnetic fields, is transmitted in all directions from a radiating surface. Nonlinear thermal radiation energy is the process by which heat is transported via space by convection or conduction. Various engineering processes occur due to high temperature, which propelled the research study of Seddeek et al. [1] to address the implication of thermal radiation on unsteady MHD fluid flow. Mushtaq et al. [2] examined the radiation impact in 2D stagnation point flow of a nanofluid owing to solar energy. They revealed that wall temperature gradient is a rising function of the radiation parameter. Moreso, the increased mobility of nanoparticles in the base fluids culminates in the greater conversion of solar radiations in the fluids. Ramzan et al. [3] researched the flow of a hybrid nanofluid across a curved stretching surface using nonlinear thermal radiation. They concluded that when the radiation and curvature characteristics were boosted, the Nusselt number reduced. Mahanthesh et al. [4] analyzed the heat transport phenomena under effect of bioconvection in order to optimize heat transfer attributes. They established that, in comparison to the thermophoresis impact, the heat transport rate is significantly sensitive to nonlinear thermal radiation coefficients. Using the RKF45 method with a shooting procedure, Rana et al. [5] studied the impacts of thermal radiation on a stretching/shrinking sheet in a slip flow of a nanofluid. It was revealed that thermal radiation increases temperature and nanoparticle volume fraction. Bhatti et al. [6] investigated entropy generation using nonlinear thermal radiation and chemical reaction interactions on Magnetohydrodynamic Williamson nanofluids. Recently, Adnan et al. [7] examined the behavior of nanofluids in a specific context of Cu-kerosene oil and Cu-water consisting of two Riga plates using unique effects of thermal radiation and surface convection. They discovered that when thermal radiations and surface convection are induced, the temperature of Cu-kerosene oil and Cu-water considerably increases, and the local Nusselt number increases as a result of the altering thermal radiation. Mustafa et al. [8] investigated the dynamics of nanofluid through a natural convective surface via a vertical medium in the presence of nonlinear radiative heat flux. They discovered that as the radiation parameter is increased, the temperature rise and heat transfer from the plate diminishes. Muhammad et al. [9] investigated Carreau nanofluid bioconvection transmission using a magnetic dipole and nonlinear thermal radiation. Khan et al. [10] investigated the effects of nonlinear radiation on the MHD flow of a nanofluid across a nonlinearly elongating wedge.
At the present time, researchers are analyzing nanofluid flows caused by a bidirectionally stretchable surface owing to its remarkable applications in paper production, particle growing, fibre and glass, cooling of fabrics, evaporative cooling, fibrous insulating layers, groundwater sources, fractional distillation, among others. By definition, this novel phenomenon known as bidirectional stretching is actually stretching proceeds in the x and y axes. Ramzan and Yousaf [11] investigated the three-dimensional drift of nanofluid moving on a bidirectional stretchy surface. Hayat et al. [12] investigated the bidirectional flow of a radiative viscoelastic nanomaterial driven by an expanding sheet in the presence of energy stored. Javed et al. [13] investigated the effect of viscous dissipation and Joule heating on Prandtl nanofluid flow induced by an unsteady bidirectionally moving surface. Ahmad et al. [14] investigated the effect of ceria and zinc-oxide nanocomposites on the time dependent 3D transmission of a water-driven hybrid nanofluid over a bidirectional stretched sheet coupled with a heat source/sink. To improve energy systems’ effectiveness, Khan et al. [15] investigated the double stratification three-dimensional flow of Burgers nanofluid, including microorganisms, across a bidirectional stretched surface. Faisal et al. [16] surveyed the bidirectional flow of Casson nanomaterial powered by an unsteady moving surface in the boundary layer region using a suitable Keller-box method, taking into account the implications of prescribed surface temperature. Gupta and Gupta [17] noticed a stream of an Oldroyd-B typed nanocomposite in a three-dimensional framework on a bidirectional extensible surface. Bag and Kundu [18] analyzed thermal radiation nanofluidic transfer over a bidirectional stretched sheet with diverse convective regimes and a heat source/sink. Ahmad et al. [19] evaluated thermal stratification, chemical reaction, and solutal stratification of time dependent three-dimensional bidirectional stretching flow of an Oldroyd-B nanofluid. Munir et al. [20] evaluated the flow and heat transmission properties of a 3D Sisko fluid controlled by a bidirectional stretching sheet. Bilal et al. [21] addressed the MHD 3D boundary layer flow of Williamson fluid regulated by a bidirectional stretched surface using the Runge–Kutta algorithm in conjunction with the shooting method. Other relevant research work could be cited in [22,23,24,25].
The Ludwig–Soret effect and pedesis motion are critical for comprehending the phenomena of heat and mass movement. The Ludwig–Soret effect or thermophoresis is a physical phenomenon that occurs in combination of moving particles when the varying particle kinds respond differently to the force of a temperature gradient. The terminology thermophoresis is most frequently used to refer to aerosol mixtures. Typically, the phrase “Soret Effect” refers to liquid mixes, which behave differently and through fewer known mechanisms than gaseous mixtures. On the other hand, pedesis or Brownian motion is the random motion of suspended particles in a fluid. The motion is caused by collisions between fast-moving molecules or atoms and the particles. The Ludwig–Soret effect and pedesis motion is critical in practically all industrial processes. It is utilized in industrial operations to conserve energy and shorten processing times. Afify [26] scrutinized the Brownian movement and thermodiffusion impact on Casson nanofluid flow with convective boundaries. Comparing non-Newtonian fluid and Newtonian fluid, Dawar et al. [27] explored MHD flow of Maxwell fluid via a velocity slippery stretching sheet with Brownian motion, and thermophoresis. They discovered that an improved temperature field is noticed for increasing the function of the pedesis motion parameter. Kumar et al. [28] investigated magnetite fluid containing nanoparticles through a rotating disk using Noumerov’s discretization, considering the accuracy of the finite difference procedure. They reported that at the rotating disk surface, pedesis motion and the Ludwig–Soret effect enhanced the temperature profile while the rate of heat transfer experienced a decline with upsurge values of pedesis motion and the Ludwig–Soret effect. Using the finite element method, Ali et al. [29] investigated hyperbolic tangent Carreau nanofluid via a stretching wedge with pedesis motion and the Ludwig–Soret effect. The rate of heat transport dwindles against the growing values of pedesis motion and the Ludwig–Soret effect. Abbas et al. [30] explored entropy generation on a viscous nanofluid through a horizontal Riga plate. They found that the Brownian motion parameter and thermophoresis parameter improve the energy distribution and its boundary layer thickness. Additionally, the thermophoresis parameter and Brownian motion parameter displayed alternate behavior on nanoparticle concentration distribution. Using the classical Runge–Kutta method, Jayaprakash et al. [31] examined the stagnation point flow of ferromagnetic Oldroyd-B nanofluid via a stretching sheet with Brownian motion and thermophoretic properties. They concluded that increasing the Brownian motion character decreases mass transport with reverse implication of the thermophoretic factor. Shah et al. [32] discussed the suspended nanoparticles in Maxwell fluid in other to enhance thermal transport of the fluid. They revealed that thermal conductivity of the nanofluid improves due to a rise in Brownian motion factor. The increase in the boundary layer thickness is traceable to an upsurge in pedesis motion and the Ludwig–Soret effect. Zeeshan et al. [33] examined the effect of Brownian motion in a nanofluid of a stretchable inclined rotating surface. Some useful research works in this regard are due to Refs. [34,35,36,37,38,39,40,41,42].
With the exposition of the previous published work, numerous studies on nanofluidic flows have been conducted in a variety of circumstances. However, it is factual to report that little is known about the influence of time dependent radiative nanofluid transport over a bi-directional stretching device with thermal/mass convection taking into consideration the relevance of pedesis motion and Ludwig–Soret flow attributes featuring MHD and heat sink/source. Using the Keller-box method, the objective of this research work is to address some unresolved questions:
- What is the comparative effect of the unsteady parameter when it is considered on the bidirectional component of x- axis and y-axis and when it is not considered?
- How does the presence of magnetic field and absence of it affect the velocity components?
- Whether present or absent, does the stretching parameter have any noticeable influence on and directions?
- What is the effect of friction coefficients, Nusselt number, and Sherwood number on the model?
2. Mathematical Modeling
The mathematical modeling of the model is completed by adopting the following steps.
2.1. Transport Equations
Bidirectional unsteady stream of incompressible nanofluidic transport on a stretchable device placed in the plane (i.e., ). Mechanically, the device is extending in both locations with velocity along direction and velocity is applied towards direction. Here, extending rates are designated by and along respective directions with dimension [time]−1. The unsteadiness of the stretching device is estimated by the constant with dimension [time]−1 satisfying to create a balance with extending rates. A non-uniform magnetic field with strength is applied vertically upwards. Inductive effects are negligible by considering the magnetic Reynolds number so small. The modified Buongiorno nanofluid model is adopted to manipulate the significance of pedesis motion designated by coefficient and Ludwig–Soret labeled by coefficient of nanoparticles. The nonlinear form of the thermal radiation term is included. Heat source/sink is also linked with the thermal setup.
The temperature of the liquid at the surface is designated by and volume fraction of nano-composition on the same device has been nominated by with ambient positions respectively. Here, and are dimensional constants but are non-dimensional power indices used to simultaneous control the temperature/volume fraction of nano-composition at the device in plane, respectively. Leading transport equations in the view of the above-mentioned circumstances are listed as follows: ([24,35]).
In Equation (4), is termed as the heat coefficient used for thermal-absorption or thermal-generation rendering to or , respectively. Further, the factor recognizes the heat flux at the surface in the form of radiation. The Rosseland approximation for a sufficiently thick optical medium is mentioned as follows: ([1,3,6])
Here, offers the Stephan–Boltzmann expression and is included to represent the mean-absorption coefficient. The expression for the non-linear radiation phenomenon is as follows:
2.2. Geometry
The graphical abstract of the present formulation is provided below via Figure 1.
Figure 1.
Physical Model of the present model.
2.3. Boundary Restrictions
The related boundary restrictions for the above-mentioned flow with thermal/mass convection are as follows:
Here, offers the molecular-diffusivity of the tiny-sized particle’s density, designates the coefficient of wall heat transference, identifies the coefficient of wall mass transference, and represents the thermal conductivity.
2.4. Transformations
It is very necessary to introduce the following transformations to convert the dimensional governing structure placed in Equations (1)–(5) and (8) into the non-dimensional structure before the solution of the problem. These transformations are as follows: ([15,25])
2.5. Transformed Transport Equations
The transport Equations (2)–(5) have been transformed as mentioned below:
2.6. Restructured Boundary Conditions
By adopting the similar procedure, the previous conditions described in Equation (8) are restructured to the format as follows:
2.7. Physical Quantities
In the micro and nano level study, the estimation of physical quantities is key to inspecting the technological and engineering aspects of the flow. According to the present modeling, drag forces along both sides/directions, Nusselt number (i.e., rate of heat transfer), and the Sherwood number (i.e., rate of mass transfer) are demarcated as:
The non-dimensional form of Equations (15)–(18) are as follows:
2.8. Dimensionless Numbers/Parameters
The dimensionless numbers and parameters involved in the present modeling are unsteady parameter , Hartmann number , Prandtl number radiation parameter , temperature-ratio parameter , pedesis motion parameter , Ludwig–Soret parameter , heat consumption/production parameter , Schmidt number , bi-directional stretching-ratio parameter , thermal Biot number , concentration Biot number , local Reynold’s number corresponding to axis and local Reynold’s number corresponding to axis .
3. Numerical Simulation
3.1. Keller-Box Method Procedure
The restructured transport equations have been solved through implicit finite difference-based mechanisms termed the Keller-box method. Keeping the procedure of this method in mind, higher order ODEs (10)–(13) are reorganized into first-order ODEs and boundary conditions (14) are adjusted according to new/fresh variables as follows:
with the BCs
Equations (23) and (24) are then transformed into difference equations by incorporating central difference and average center approximations before the implementation of Newton’s iterative formula. A linearized tri-diagonal system is formed by the omission of quadratic and higher order terms in the change of the variable. Finally, the tri-diagonal block matrices system is solved via the LU-decomposition technique.
3.2. Solution Convergence
The grid independence approach is used for convergence analysis. Initially, less numbers of grid points with step size are opted to start the convergence analysis with the far field boundary effect, say and then numbers of grid points are increased to achieve the convergence of the solution with desired accuracy, i.e., up to the fifth decimal place. The results are displayed in Table 1.
Table 1.
Convergence analysis with .
3.3. Code Validation
The assurance of the current scrutiny in association with previous published reports is accessed in this section. Here, we have computed the outputs of for diverse choices of and then obtained outcomes have been compared with the published reports of Wang [42] and Liu and Andersson [41]. The outputs are reflected in Table 2 and an excellent scientific connection has been revealed with previous reports.
Table 2.
Scientific connection with previous reports via numerical comparison.
4. Results and Discussion
The implications of available parameters on velocity, temperature, concentration distributions, friction coefficients, Nusselt and Sherwood numbers are investigated in this segment as reported in the generated Figure 2, Figure 3, Figure 4, Figure 5, Figure 6, Figure 7, Figure 8, Figure 9, Figure 10, Figure 11, Figure 12, Figure 13, Figure 14, Figure 15, Figure 16 and Figure 17 and Table 3, Table 4 and Table 5.
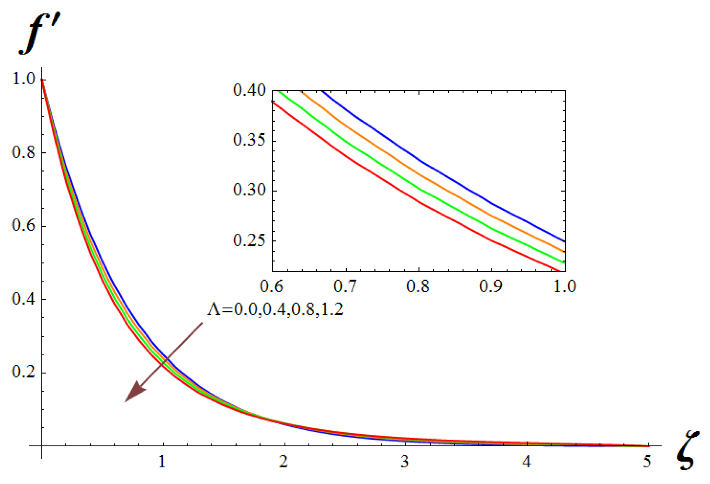
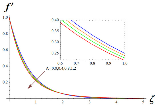
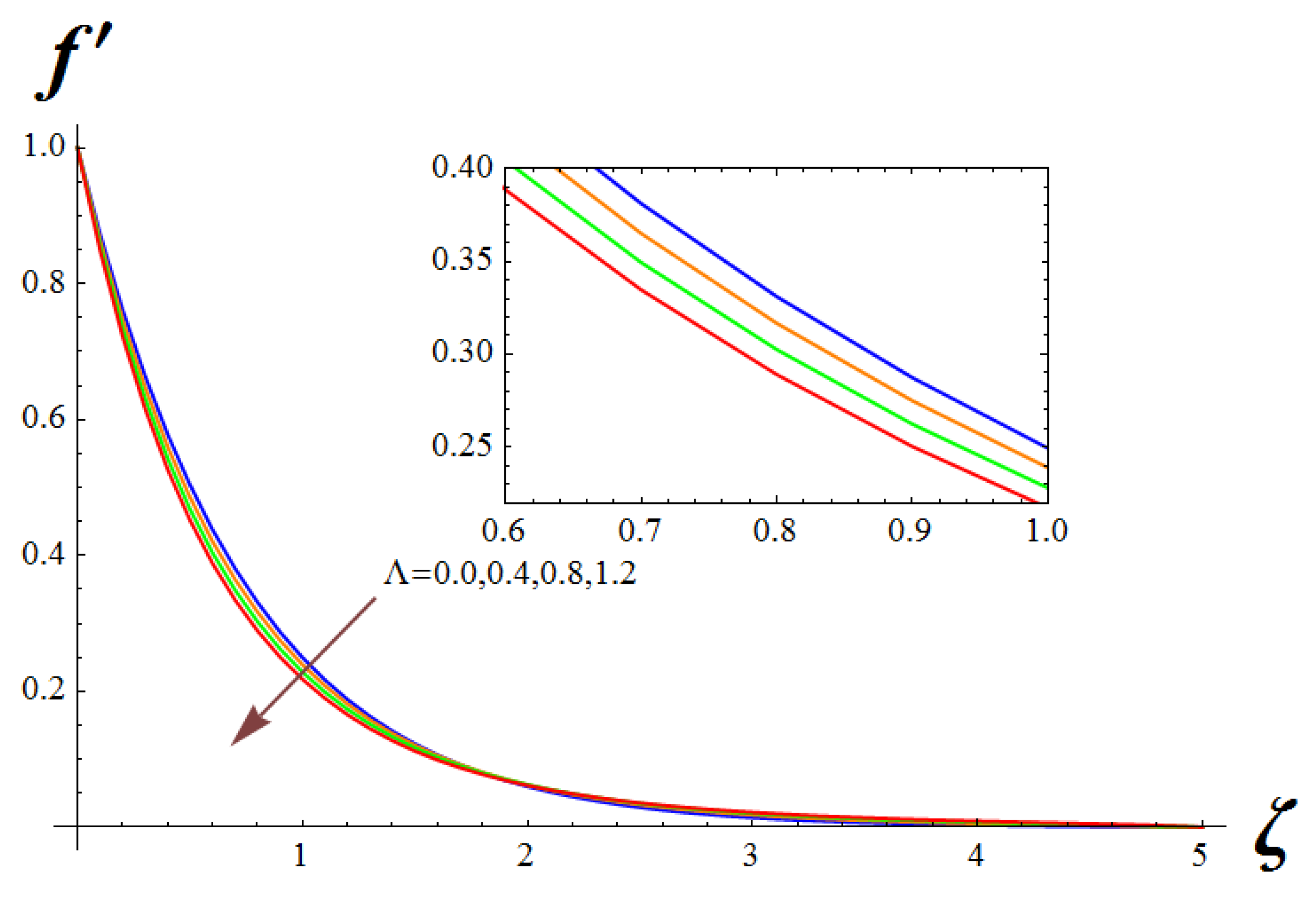
Figure 2.
Character of Λ on .
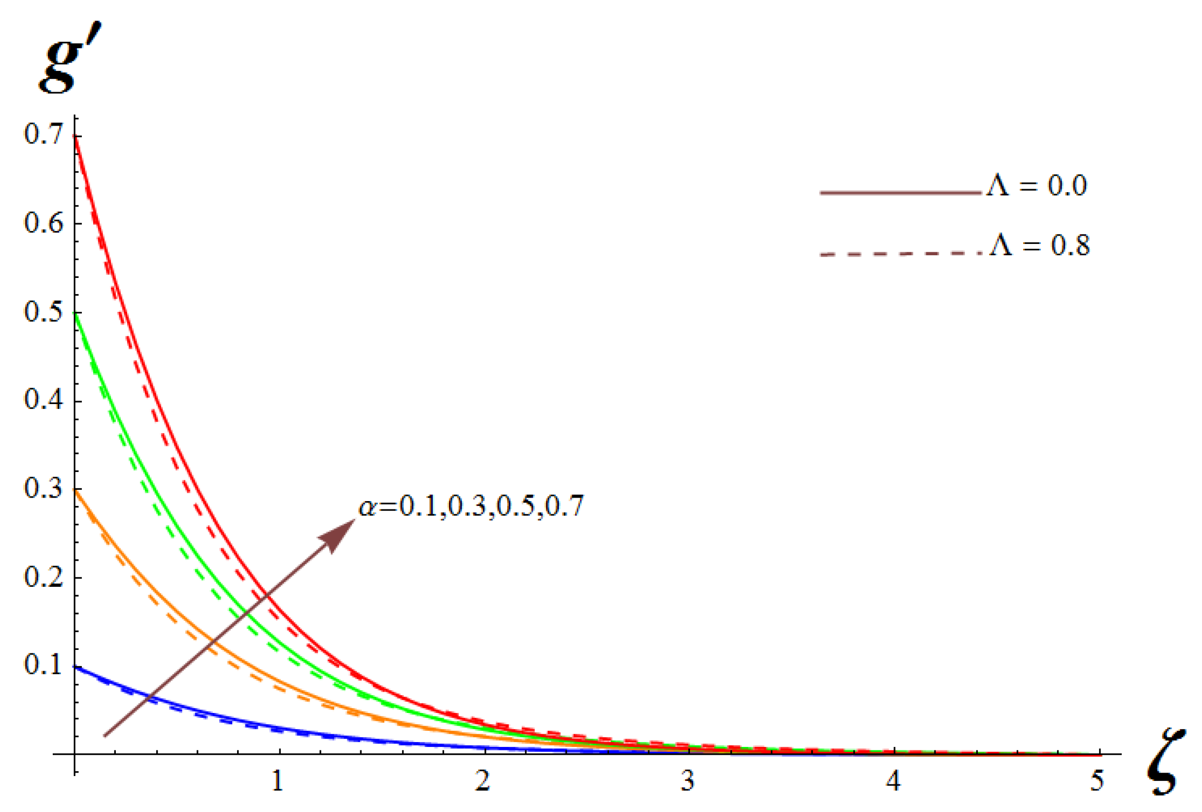
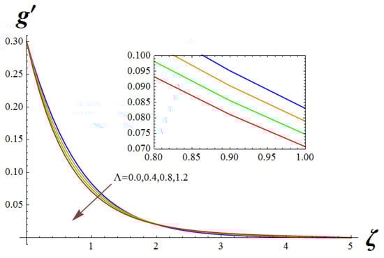
Figure 3.
Character of Λ on g′.
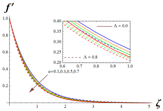
Figure 4.
Character of α on .
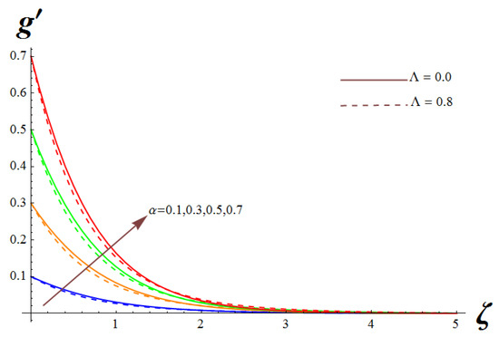
Figure 5.
Character of α on g′.
Figure 6.
Character of M on .
Figure 7.
Character of M on g′.
Figure 8.
Character of α on .
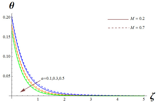
Figure 9.
Character of r on θ.
Figure 10.
Character of s on θ.
Figure 11.
Character of Hg (heat sink) on θ.
Figure 12.
Character of Hg (heat source) on θ.
Figure 13.
Character of Nt on θ.
Figure 14.
Character of BiT on θ.
Figure 15.
Character of BiC on ϕ.
Figure 16.
Character of r on ϕ.
Figure 17.
Character of s on ϕ.
Table 3.
Skin-friction analysis for dissimilar values of , and .
Table 4.
Heat transfer analysis for dissimilar values of , , and .
Table 5.
Mass transfer analysis for dissimilar values of , , and .
In graphical numbering, Figure 2 and Figure 3 show that the horizontal velocity aspect of both the x- and y-axis pathway of the nanofluidic transport features is a declining attribute of the unsteady parameter (Λ = e/a) within the range of 0.0 ≤ Λ ≤ 1.2. Due to the relationship between a and Λ, the augmentation of a in its positive sense of values boost Λ, which implies an incremental stretching rate. Consequently, the velocity of the nanofluid declines given the augmentation values of Λ. Furthermore, a decline is noticed for friction coefficients on both the x- and y-axis pathway as revealed in Table 3. Figure 4 presents the effect of the stretching parameter (α) on in the presence of the unsteady parameter (Λ) and in the absence of the unsteady parameter (Λ). The growing values of the stretching parameter (α) decreases with greater downfall in the presence of the unsteady parameter (Λ) than in the absence of the unsteady parameter (Λ). Given that (α = b/a), augmenting the values of the stretching parameter (α) connotes that the stretching ratio (a) along the x-axis diminishes, which results in decline of . Moreso, as reported in Table 3, the friction coefficient in the x-axis experiences a decline as the values of the stretching parameter increases. Figure 5 shows the effect of the stretching parameter (α) on . The growing values of the stretching parameter (α) increases with a greater upshot in the absence of the unsteady parameter (Λ) than in the presence of the unsteady parameter (Λ), which is expected from the mathematical relationship (α = b/a). Conversely, the friction coefficient in the y-axis drops as the values of the stretching parameter increases. The magnetic field (M) parameter range 0.0 ≤ M ≤ 2.0 in Figure 6 and Figure 7 establishes that the velocity component of both x- and y-direction nanofluidic transport processes diminishes with increased magnetic field values, with a concurrent greater downfall in the presence of the unsteady parameter (Λ) than in the absence of the unsteady parameter (Λ). The downfall of the velocity component is traceable to the Lorentzian force created by the augmentation of the magnetic field values. In addition, a downfall is reported for friction coefficients on both the x- and y-axis pathway as revealed in Table 3. Figure 8 demonstrates the influence of the stretching parameter (0.1 ≤ α ≤ 1.0) on temperature profiles, taking into cognizance the increasing values of M. The effect of the stretching parameter shows a decline in the nanofluid temperature gradient. In Figure 9, the power index r shows a decreasing impact on nanofluid temperature distribution in the presence of the unsteady parameter (Λ) and in the absence of the unsteady parameter (Λ). Similarly, In Figure 10, the power index shows a decreasing impact on nanofluid temperature distribution in the presence of an incremental impact of thermal radiation. With distinct values of the temperature-ratio parameter as shown in Figure 11, thermal-absorption parameter values are found to decrease nanofluid temperature distribution. More so, in Table 4 and Table 5, the rate of heat transfer and mass transfer improves with an upshot in the temperature-ratio parameter. As expected, the thermal source parameter enhances nanofluid temperature distribution, as seen in Figure 12, in the presence of an increasing Ludwig–Soret parameter. On the contrary, the rate of heat transaction () drops with enhanced values of heat generation. In Figure 13, the Ludwig–Soret parameter empowers nanofluid temperature distribution in the presence of an increasing pedesis motion parameter. Figure 14 shows the improvement of nanofluid temperature distribution as the values of the Biot number increase. Similarly, the rate of heat transfer rises when increases as displayed in Table 4. In Figure 15, concentration distribution is enhanced as the concentration Boit number increases, with a corresponding effect on mass transfer. In Figure 16, the power index r shows a decreasing impact on concentration distribution in the presence of an increasing pedesis motion parameter. Similarly, in Figure 17, the power index s shows a decreasing impact on concentration distribution in the presence of an incremental impact of the Ludwig–Soret parameter.
5. Conclusions
In this report, the nonlinear radiative nanofluidic hydrothermal unsteady bidirectional transport with thermal/mass convection aspect has been investigated using the Keller-box method. Based on the analysis of the results, it is worth concluding that:
- The decline in the velocity components of the x-axis and y-axis direction is due to progressive flourishing of the unsteady parameter and magnetic field.
- Temperature distribution rises with a corresponding increase in the values of the heat source, Ludwig–Soret factor, temperature Biot number with an opposite effect for heat sink, stretching parameter, and power indices of r and s.
- Given the growth of the concentration Biot number, power indices of r and s, the concentration of the nanofluidic is enhanced.
- Friction coefficients decline for the stretching parameter, magnetic field, and unsteady parameter growth along the bidirectional velocity components.
- The rate of heat transmission is amplified with the temperature ratio and temperature Biot number and a reverse effect is noticed for the heat source and unsteady parameter.
- Mass transfer is enhanced for pedesis motion, unsteady parameter, and the concentration Biot number, with reverse impact of the Ludwig–Soret parameter.
In the future, this work can be extended for non-Newtonian nanofluids, hybrid-nanofluids, tri-hybrid nanofluids, and ternary hybrid nanofluids.
Author Contributions
Conceptualization, M.F. and K.K.A.; methodology, N.A.; software, K.L and M.F.; validation, K.K.A.; formal analysis, M.F.; investigation, N.A.; resources, M.F.; data curation, K.L.; writing—original draft preparation, M.F. and K.L.; writing—review and editing, N.A., K.L. and K.K.A.; visualization, N.A.; supervision, M.F.; project administration, N.A.; funding acquisition, N.A. All authors have read and agreed to the published version of the manuscript.
Funding
Princess Nourah Bint Abdulrahman University Researchers Supporting Project number (PNURSP2022R59), Princess Nourah Bint Abdulrahman University, Riyadh, Saudi Arabia.
Data Availability Statement
Not applicable.
Acknowledgments
We appreciate Princess Nourah Bint Abdulrahman University Researchers Supporting Project number (PNURSP2022R59), Princess Nourah Bint Abdulrahman University, Riyadh, Saudi Arabia.
Conflicts of Interest
The authors declare no conflict of interest.
References
- Seddeek, M.A. Effects of radiation and variable viscosity on a MHD free convection flow past a semi-infinite flat plate with an aligned magnetic field in the case of unsteady flow. Int. J. Heat Mass Transf. 2001, 45, 931–935. [Google Scholar] [CrossRef]
- Mushtaq, A.; Mustafa, M.; Hayat, T.; Alsaedi, A. Nonlinear radiative heat transfer in the flow of nanofluid due to solar energy: A numerical study. J. Taiwan Inst. Chem. Eng. 2014, 45, 1176–1183. [Google Scholar] [CrossRef]
- Lu, D.; Ramzan, M.; Ahmad, S.; Shafee, A.; Suleman, M. Impact of Nonlinear Thermal Radiation and Entropy Optimization Coatings with Hybrid Nanoliquid Flow Past a Curved Stretched Surface. Coatings 2018, 8, 430. [Google Scholar] [CrossRef]
- Mahanthesh, B.; Thriveni, K. Significance of inclined magnetic field on nano-bioconvection with nonlinear thermal radiation and exponential space based heat source: A sensitivity analysis. Eur. Phys. J. Spec. Top. 2021, 230, 1487–1501. [Google Scholar] [CrossRef]
- Rana, P.; Dhanai, R.; Kumar, L. Radiative nanofluid flow and heat transfer over a non-linear permeable sheet with slip conditions and variable magnetic field: Dual solutions. Ain Shams Eng. J. 2017, 8, 341–352. [Google Scholar] [CrossRef][Green Version]
- Bhatti, M.M.; Abbas, T.; Rashidi, M.M. Numerical study of entropy generation with nonlinear thermal radiation on Magnetohydrodynamics non-Newtonian nanofluid through a porous shrinking sheet’s. Magnetics 2016, 21, 468–475. [Google Scholar] [CrossRef]
- Ashraf, A.W.; Alghtani, A.H.; Khan, I.; Andualem, M. Thermal Transport in Radiative Nanofluids by Considering the Influence of Convective Heat Condition. J. Nanomater. 2022, 2022, 1854381. [Google Scholar]
- Mustafa, M.; Mushtaq, A.; Hayat, T.; Ahmad, B. Nonlinear Radiation Heat Transfer Effects in the Natural Convective Boundary Layer Flow of Nanofluid Past a Vertical Plate: A Numerical Study. PLoS ONE 2014, 9, e103946. [Google Scholar] [CrossRef]
- Imran, M.; Farooq, U.; Muhammad, T.; Khan, S.U.; Waqas, H. Bioconvection transport of Carreau nanofluid with magnetic dipole and nonlinear thermal radiation. Case Stud. Therm. Eng. 2021, 26, 101129. [Google Scholar] [CrossRef]
- Khan, U.; Ahmed, N.; Mohyud-Din, S.T.; Bin-Mohsin, B. Nonlinear radiation effects on MHD flow of nanofluid over a nonlinearly stretching/shrinking wedge. Neural Comput. Appl. 2017, 28, 2041–2050. [Google Scholar] [CrossRef]
- Ramzan, M.; Yousaf, F. Boundary layer flow of three-dimensional viscoelastic nanofluid past a bi-directional stretching sheet with Newtonian heating. AIP Adv. 2015, 5, 057132. [Google Scholar] [CrossRef]
- Hayat, T.; Muhammad, T.; Shehzad, S.A.; Alsaedi, A. Similarity solution to three dimensional boundary layer flow of second grade nanofluid past a stretching surface with thermal radiation and heat source/sink. AIP Adv. 2015, 5, 017107. [Google Scholar] [CrossRef]
- Javed, T.; Faisal, M.; Ahmad, I. Actions of viscous dissipation and Ohmic heating on bidirectional flow of a magneto-Prandtl nanofluid with prescribed heat and mass fluxes. Heat Transf. 2020, 49, 4801–4819. [Google Scholar] [CrossRef]
- Ahmad, I.; Faisal, M.; Zan-Ul-Abadin, Q.; Javed, T.; Loganathan, K. Unsteady 3D heat transport in hybrid nanofluid containing brick shaped ceria and zinc-oxide nanocomposites with heat source/sink. Nanocomposites 2022, 8, 1–12. [Google Scholar] [CrossRef]
- Khan, S.U.; Alabdan, R.; Al-Qawasmi, A.; Vakkar, A.; Handa, M.B.; Tlili, I. Bioconvection applications for double stratification 3-D flow of Burgers nanofluid over a bidirectional stretched surface: Enhancing energy system performance. Case Stud. Therm. Eng. 2021, 26, 101073. [Google Scholar] [CrossRef]
- Faisal, M.; Ahmad, I.; Javed, T. Significances of prescribed heat sources on magneto Casson nanofluid flow due to unsteady bi-directionally stretchable surface in a porous medium. SN Appl. Sci. 2020, 2, 1472. [Google Scholar] [CrossRef]
- Gupta, S.; Gupta, S. MHD three dimensional flow of Oldroyd-B nanofluid over a bidirectional stretching sheet: DTM-Padé Solution. Nonlinear Eng. 2019, 8, 744–754. [Google Scholar] [CrossRef]
- Bag, R.; Kundu, P.K. Radiative nanofluidic transport over bidirectional stretching sheet with multiple convective conditions and heat source/sink. Partial. Differ. Equ. Appl. Math. 2022, 5, 100358. [Google Scholar] [CrossRef]
- Ahmad, I.; Khurshid, I.; Faisal, M.; Javed, T.; Abbas, Z. Mixed convective flow of an Oldroyd-B nanofluid impinging over an unsteady bidirectional stretching surface with the significances of double stratification and chemical reaction. SN Appl. Sci. 2020, 2, 1599. [Google Scholar] [CrossRef]
- Munir, A.; Shahzad, A.; Khan, M. Convective Flow of Sisko Fluid over a Bidirectional Stretching Surface. PLoS ONE 2015, 10, e0130342. [Google Scholar] [CrossRef]
- Bilal, S.; Rehman, K.U.; Malik, M.Y.; Hussain, A.; Khan, M. Effects of temperature dependent conductivity and absorptive/generative heat transfer on MHD three dimensional flow of Williamson fluid due to bidirectional non-linear stretching surface. Results Phys. 2017, 7, 204–212. [Google Scholar] [CrossRef]
- Raju, C.S.; Sandeep, N. Heat and Mass Transfer in 3D Non-Newtonian Nano and Ferro Fluids over a Bidirectional Stretching Surface. Int. J. Eng. Res. Afr. 2015, 21, 33–51. [Google Scholar] [CrossRef]
- Ahmad, R.; Mustafa, M.; Hayat, T.; Alsaedi, A. Numerical study of MHD nanofluid flow and heat transfer past a bidirectional exponentially stretching sheet. J. Magn. Magn. Mater. 2016, 407, 69–74. [Google Scholar] [CrossRef]
- Ahmad, I.; Faisal, M.; Javed, T. Magneto-nanofluid flow due to bidirectional stretching surface in a porous medium. Spéc. Top. Rev. Porous Media Int. J. 2019, 10, 457–473. [Google Scholar] [CrossRef]
- Ahmad, I.; Faisal, M.; Javed, T. Bi-directional stretched nanofluid flow with Cattaneo–Christov double diffusion. Results Phys. 2019, 15, 102581. [Google Scholar] [CrossRef]
- Afify, A.A. The influence of slip boundary condition on Casson nanofluid flow over a stretching sheet in the presence of viscous dissipation and chemical reaction. Math. Probl. Eng. 2017, 2017, 3804751. [Google Scholar] [CrossRef]
- Dawar, A.; Saeed, A.; Shah, Z.; Kumam, W.; Islam, S.; Kumam, P. Analytical Simulation for Magnetohydrodynamic Maxwell Fluid Flow Past an Exponentially Stretching Surface with First-Order Velocity Slip Condition. Coatings 2021, 11, 1009. [Google Scholar] [CrossRef]
- Kumar, R.; Bhattacharyya, A.; Seth, G.S.; Chamkha, A.J. Transportation of magnetite nanofluid flow and heat transfer over a rotating porous disk with Arrhenius activation energy: Fourth order Noumerov’s method. Chin. J. Phys. 2021, 69, 172–185. [Google Scholar] [CrossRef]
- Ali, B.; Naqvi, R.A.; Mariam, A.; Ali, L.; Aldossary, O.M. Finite Element Study for Magnetohydrody namic (MHD) Tangent Hyperbolic Nanofluid Flow over a Faster/Slower Stretching Wedge with Activation Energy. Mathematics 2021, 9, 25. [Google Scholar] [CrossRef]
- Abbas, T.; Ayub, M.; Bhatti, M.M.; Rashidi, M.M.; Ali, M.E. Entropy Generation on Nanofluid Flow through a Horizontal Riga Plate. Entropy 2016, 18, 223. [Google Scholar] [CrossRef]
- Jayaprakash, M.C.; Asogwa, K.K.; Lalitha, K.R.; Veeranna, Y.; Sreenivasa, G.T. Passive control of nanoparticles in stagnation point flow of Oldroyd-B Nanofluid with aspect of magnetic dipole. Part E J. Process Mech. Eng. 2021. [Google Scholar] [CrossRef]
- Shah, N.A.; Tosin, O.; Shah, R.; Salah, B.; Chung, J.D. Brownian motion and thermophoretic diffusion effects on the dynamics of MHD upper convected maxwell nanofluid flow past a vertical surface. Phys. Scr. 2021, 96, 125722. [Google Scholar] [CrossRef]
- Zeeshan; Rasheed, H.U.; Khan, W.; Khan, I.; Alshammari, N.; Hamadneh, N. Brownian motion of thin film nanofluid flow of convective heat transfer over a stretchable rotating surface. Sci. Rep. 2022, 12, 2708. [Google Scholar] [CrossRef] [PubMed]
- Shah, Z.; Gul, T.; Islam, S.; Khan, M.A.; Bonyah, E.; Hussain, F.; Mukhtar, S.; Ullah, M. Three dimensional third grade nanofluid flow in a rotating system between parallel plates with brownian motion and thermophoresis effects. Results Phys. 2018, 10, 36–45. [Google Scholar] [CrossRef]
- Rafique, K.; Anwar, M.I.; Misiran, M.; Khan, I.; Alharbi, S.O.; Thounthong, P.; Nisar, K.S. Keller-Box Analysis of Buongiorno Model with Brownian and Thermophoretic Diffusion for Casson Nanofluid over an Inclined Surface. Symmetry 2019, 11, 1370. [Google Scholar] [CrossRef]
- Ali, L.; Islam, S.; Gul, T.; Khan, I.; Dennis, L.C.; Khan, W.; Khan, A. The Brownian and Thermophoretic analysis of the non-newtonian Williamson fluid flow of thin film in a porous space over an unstable stretching surface. Appl. Sci. 2017, 7, 404. [Google Scholar] [CrossRef]
- Islam, Z.; Azad, A.K.; Hasan, M.J.; Hossain, R.; Rahman, M.M. Unsteady periodic natural convection in a triangular enclosure heated sinusoidally from the bottom using CNT-water nanofluid. Results Eng. 2022, 14, 100376. [Google Scholar] [CrossRef]
- Asogwa, K.K.; Mebarek-Oudina, F.; Animasaun, I.L. Comparative investigation of water-based Al2O3 Nanoparticles through water-based CuO nanoparticles over an exponentially accelerated radiative Riga plate surface via heat transport. Arab. J. Sci. Eng. 2022, 47, 8721–8738. [Google Scholar] [CrossRef]
- Asogwa, K.K.; Uwanta, I.J.; Momoh, A.A.; Omokhuale, E. Heat and mass transfer over a vertical plate with periodic Suction and heat sink. Res. J. Appl. Sci. Eng. Technol. 2013, 5, 7–15. [Google Scholar] [CrossRef]
- Shoaib, M.; Khan, R.A.; Ullah, H.; Nisar, K.S.; Raja, M.A.Z.; Islam, S.; Felemban, B.F.; Yahia, I.S. Heat transfer impacts on Maxwell nanofluid flow over a vertical moving surface with MHD using stochastic numerical technique via artificial neural networks. Coatings 2021, 11, 1483. [Google Scholar] [CrossRef]
- Liu, I.C.; Andersson, H.I. Heat transfer over a bidirectional stretching sheet with variable thermal conditions. Int. J. Heat Mass Transf. 2008, 51, 4018–4024. [Google Scholar] [CrossRef]
- Wang, C.Y. The three dimensional flow due to a stretching flat surface. Phys. Fluids 1984, 27, 1915–1917. [Google Scholar] [CrossRef]
Publisher’s Note: MDPI stays neutral with regard to jurisdictional claims in published maps and institutional affiliations. |
© 2022 by the authors. Licensee MDPI, Basel, Switzerland. This article is an open access article distributed under the terms and conditions of the Creative Commons Attribution (CC BY) license (https://creativecommons.org/licenses/by/4.0/).
















