A Novel Symmetrical Peak Fitting Method Based on Improved WOA Algorithm for the Analysis of Microchip Electrophoresis Signals
Abstract
1. Introduction
2. Related Work
2.1. Derivation of Peak Fitting Model
2.2. Theory of WOA, LM, and Chaotic Map
2.2.1. WOA
2.2.2. LM
2.2.3. Chaotic Map
3. Proposed Method
3.1. Improved WOA
| Algorithm 1. The pseudo-code of the TWOA |
| 1. Begin |
| 2. Initialize the position of each individual; |
| 3. Calculate each fitness and find the best optimal individual (P*); |
| 4. while t ≤ MaxIter |
| 5. for each individual |
| 6. Return back the individuals that beyond the boundaries; |
| 7. Update the iteration parameters (d, r1, r2, C1, C2, and l); |
| 8. Update the tent map probability (cmp) by Equation (17); |
| 9. if p < 0.5 |
| 10. if C1 < 1 |
| 11. Update the position of the individual by Equation (14); |
| 12. else |
| 13. Update the position of the individual by Equation (11); |
| 14. end |
| 15. else |
| 16. Update the position of the individual by Equation (15); |
| 17. end |
| 18. end |
| 19. Update P* and t; |
| 20. end |
| 21. return P*; |
| 22. End |
3.2. Proposed Peak Fitting Method
4. Materials and Experiments
4.1. Synthetic Peaks
4.2. Reagents and Electrophoresis Experiment
5. Results and Discussion
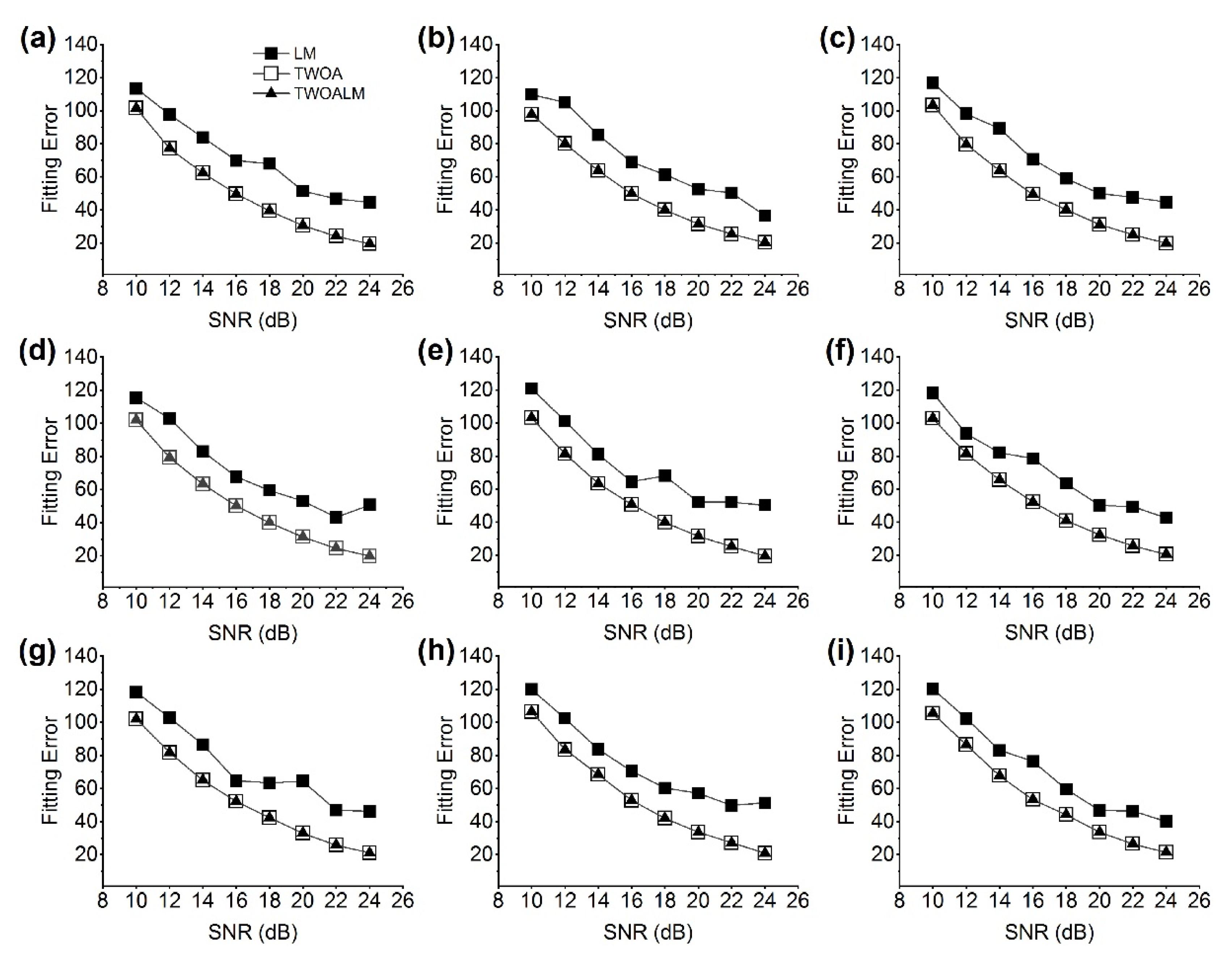
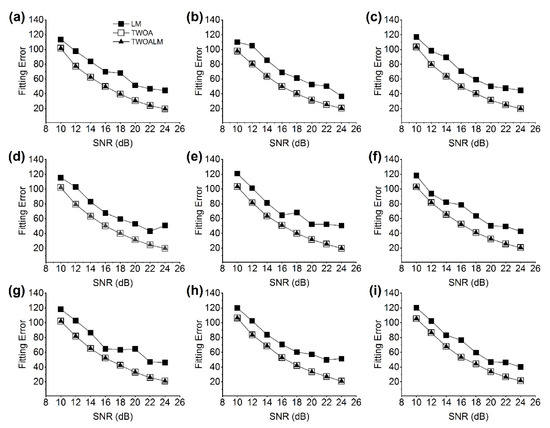
5.1. Fitting Results to Synthetic Peaks
5.2. Results in the Analysis of Experimental Data
6. Conclusions
Author Contributions
Funding
Institutional Review Board Statement
Informed Consent Statement
Data Availability Statement
Conflicts of Interest
Appendix A








References
- Yang, M.P.; Huang, Z.; Xie, Y.; You, H. Development of Microchip Electrophoresis and Its Applications in Ion Detection. Chin. J. Anal. Chem. 2018, 46, 631–641. [Google Scholar] [CrossRef]
- Nielsen, J.B.; Nielsen, A.V.; Carson, R.H.; Lin, H.J.L.; Hanson, R.L.; Sonker, M.; Mortensen, D.N.; Price, J.C.; Woolley, A.T. Analysis of thrombin-antithrombin complex formation using microchip electrophoresis and mass spectrometry. Electrophoresis 2019, 40, 2853–2859. [Google Scholar] [CrossRef]
- Alatawi, H.; Hogan, A.; Albalawi, I.; O’Sullivan-Carroll, E.; Alsefri, S.; Wang, Y.; Moore, E. Rapid determination of NSAIDs by capillary and microchip electrophoresis with capacitively coupled contactless conductivity detection in wastewater. Electrophoresis 2022, 43, 1944–1952. [Google Scholar] [CrossRef] [PubMed]
- Zhou, F.; Li, C.; Zhu, H.; Li, Y. A novel method for simultaneous determination of zinc, nickel, cobalt and copper based on UV–vis spectrometry. Optik 2019, 182, 58–64. [Google Scholar] [CrossRef]
- Nilsson, M.L.; Bengtsson, S.; Kylin, H. Identification and determination of chlorinated paraffins using multivariate evaluation of gas chromatographic data. Environ. Pollut. 2012, 163, 142–148. [Google Scholar] [CrossRef]
- Lv, X.; Wang, S.; Zhao, Y.; Shan, P. A reinforcement learning based method for protein’s differential scanning calorimetry signal separation. Meas. J. Int. Meas. Confed. 2022, 188, 110391. [Google Scholar] [CrossRef]
- Jamshidi, M.; Ghaedi, M.; Dashtian, K.; Ghaedi, A.M.; Hajati, S.; Goudarzi, A.; Alipanahpour, E. Highly efficient simultaneous ultrasonic assisted adsorption of brilliant green and eosin B onto ZnS nanoparticles loaded activated carbon: Artificial neural network modeling and central composite design optimization. Spectrochim. Acta-Part A Mol. Biomol. Spectrosc. 2016, 153, 257–267. [Google Scholar] [CrossRef]
- Yang, G.; Dai, J.; Liu, X.; Chen, M.; Wu, X. Spectral feature extraction based on continuous wavelet transform and image segmentation for peak detection. Anal. Methods 2020, 12, 169–178. [Google Scholar] [CrossRef]
- Hellinghausen, G.; Wahab, M.F.; Armstrong, D.W. Improving peak capacities over 100 in less than 60 seconds: Operating above normal peak capacity limits with signal processing. Anal. Bioanal. Chem. 2020, 412, 1925–1932. [Google Scholar] [CrossRef]
- Liu, H.; Yan, L.; Huang, T.; Liu, S.; Zhang, Z. Blind Spectral Signal Deconvolution with Sparsity Regularization: An Iteratively Reweighted Least-Squares Solution. Circuits Syst. Signal Process. 2017, 36, 435–446. [Google Scholar] [CrossRef]
- Wahab, M.F.; Gritti, F.; O’Haver, T.C.; Hellinghausen, G.; Armstrong, D.W. Power Law Approach as a Convenient Protocol for Improving Peak Shapes and Recovering Areas from Partially Resolved Peaks. Chromatographia 2019, 82, 211–220. [Google Scholar] [CrossRef]
- Wahab, M.F.; O’Haver, T.C.; Gritti, F.; Hellinghausen, G.; Armstrong, D.W. Increasing chromatographic resolution of analytical signals using derivative enhancement approach. Talanta 2019, 192, 492–499. [Google Scholar] [CrossRef]
- Marquardt, D.W. An Algorithm for Least-Squares Estimation of Nonlinear Parameters. J. Soc. Ind. Appl. Math. 1963, 11, 431–441. [Google Scholar] [CrossRef]
- Fang, Q.; Zivanovic, R. Parameter identification of a wind generator unit RMS model using sparse grid optimization algorithm. In Proceedings of the 2014 International Conference on Modelling, Identification & Control, Melbourne, Australia, 3–5 December 2014; pp. 283–288. [Google Scholar] [CrossRef]
- Fusco, R.; Sansone, M.; Petrillo, A. The Use of the Levenberg–Marquardt and Variable Projection Curve-Fitting Algorithm in Intravoxel Incoherent Motion Method for DW-MRI Data Analysis. Appl. Magn. Reson. 2015, 46, 551–558. [Google Scholar] [CrossRef]
- Mariyappa, N.; Parasakthi, C.; Sengottuvel, S.; Gireesan, K.; Patel, R.; Janawadkar, M.P.; Sundar, C.S.; Radhakrishnan, T.S. Dipole location using SQUID based measurements: Application to magnetocardiography. Phys. C Supercond. Its Appl. 2012, 477, 15–19. [Google Scholar] [CrossRef]
- Li, M.; Li, L.D. A Novel Method of Curve Fitting Based on Optimized Extreme Learning Machine. Appl. Artif. Intell. 2020, 34, 849–865. [Google Scholar] [CrossRef]
- Mirjalili, S.; Lewis, A. The Whale Optimization Algorithm. Adv. Eng. Softw. 2016, 95, 51–67. [Google Scholar] [CrossRef]
- Gharehchopogh, F.S.; Gholizadeh, H. A comprehensive survey: Whale Optimization Algorithm and its applications. Swarm Evol. Comput. 2019, 48, 1–24. [Google Scholar] [CrossRef]
- Karakaplan, M.; Avcu, F.M. Deconvolution of Gaussian peaks with mixed real and discrete-integer optimization based on evolutionary computing. J. Chemom. 2020, 34, e3229. [Google Scholar] [CrossRef]
- Lalu, M.; Phaneendra, K. Quadrature method with exponential fitting for delay differential equations having layer behavior. J. Math. Comput. Sci. 2021, 25, 191–208. [Google Scholar] [CrossRef]
- Calabrese, I.; Merli, M.; Turco Liveri, M.L. Deconvolution procedure of the UV-vis spectra. A powerful tool for the estimation of the binding of a model drug to specific solubilisation loci of bio-compatible aqueous surfactant-forming micelle. Spectrochim. Acta-Part A Mol. Biomol. Spectrosc. 2015, 142, 150–158. [Google Scholar] [CrossRef] [PubMed]
- Striegel, A.M.; Striegel, D.A. Peak Fraction Purity and Chromatographic Resolution: Gaussian Peaks Revisited. Chromatographia 2022, 85, 65–72. [Google Scholar] [CrossRef]
- Wei, X.; Shi, X.; Kim, S.; Patrick, J.S.; Binkley, J.; Kong, M.; McClain, C.; Zhang, X. Data dependent peak model based spectrum deconvolution for analysis of high resolution LC-MS data. Anal. Chem. 2014, 86, 2156–2165. [Google Scholar] [CrossRef]
- Xiong, J.; Liang, W.; Liang, X.; Zhang, M. An overlapping peak separation algorithm based on multiorder differential method and genetic algorithm for magnetic eddy current signal of a defect cluster. Process. Saf. Prog. 2020, 39, e12129. [Google Scholar] [CrossRef]
- Henstridge, M.C.; Laborda, E.; Rees, N.V.; Compton, R.G. Marcus-Hush-Chidsey theory of electron transfer applied to voltammetry: A review. Electrochim. Acta 2012, 84, 12–20. [Google Scholar] [CrossRef]
- Chen, G.Y.; Gan, M.; Wang, S.; Chen, C.L.P. Insights into Algorithms for Separable Nonlinear Least Squares Problems. IEEE Trans. Image Process. 2021, 30, 1207–1218. [Google Scholar] [CrossRef] [PubMed]
- Sadygov, R.G.; Zhao, Y.; Haidacher, S.J.; Starkey, J.M.; Tilton, R.G.; Denner, L. Using power spectrum analysis to evaluate 18o-water labeling data acquired from low resolution mass spectrometers. J. Proteome Res. 2010, 9, 4306–4312. [Google Scholar] [CrossRef]
- El-Shal, M.A.; Hendawy, H.A.M. Highly sensitive voltammetric sensor using carbon nanotube and an ionic liquid composite electrode for xylazine hydrochloride. Anal. Sci. 2019, 35, 189–194. [Google Scholar] [CrossRef]
- Xu, J.; Zhu, L.; Xu, G.; Yu, W.; Ray, A.K. Determination of competitive adsorption isotherm of enantiomers on preparative chromatographic columns using inverse method. J. Chromatogr. A 2013, 1273, 49–56. [Google Scholar] [CrossRef]
- James, T.M.; Schlösser, M.; Lewis, R.J.; Fischer, S.; Bornschein, B.; Telle, H.H. Automated quantitative spectroscopic analysis combining background subtraction, cosmic ray removal, and peak fitting. Appl. Spectrosc. 2013, 67, 949–959. [Google Scholar] [CrossRef]
- Zhang, B.; Yu, H.; Sun, L.; Xin, Y.; Conga, Z. A method for resolving overlapped peaks in laser-induced breakdown spectroscopy (LIBS). Appl. Spectrosc. 2013, 67, 1087–1097. [Google Scholar] [CrossRef] [PubMed]
- Song, F.; Wei, J.; Jiang, M.; Zhang, L.; Zhang, F.; Sui, Q.; Tian, Y.; Sun, W. The Optimization Study of FBG Gaussian Fitting Peak-Detection Based on Levenberg-Marquardt Algorithm. In Proceedings of the 2017 Chinese Automation Congress (CAC), Jinan, China, 20–22 October 2017; IEEE: Jinan, China, 2017; pp. 3723–3727. [Google Scholar]
- Teng, Z.; Lv, J.; Guo, L. An improved hybrid grey wolf optimization algorithm. Soft Comput. 2019, 23, 6617–6631. [Google Scholar] [CrossRef]
- Shaheen, M.A.M.; Hasanien, H.M.; El Moursi, M.S.; El-Fergany, A.A. Precise modeling of PEM fuel cell using improved chaotic MayFly optimization algorithm. Int. J. Energy Res. 2021, 45, 18754–18769. [Google Scholar] [CrossRef]
- Sayed, G.I.; Tharwat, A.; Hassanien, A.E. Chaotic dragonfly algorithm: An improved metaheuristic algorithm for feature selection. Appl. Intell. 2019, 49, 188–205. [Google Scholar] [CrossRef]
- Misaghi, M.; Yaghoobi, M. Improved invasive weed optimization algorithm (IWO) based on chaos theory for optimal design of PID controller. J. Comput. Des. Eng. 2019, 6, 284–295. [Google Scholar] [CrossRef]
- Nikan, O.; Avazzadeh, Z. Coupling of the Crank–Nicolson scheme and localized meshless technique for viscoelastic wave model in fluid flow. J. Comput. Appl. Math. 2021, 398, 113695. [Google Scholar] [CrossRef]
- Dvořák, M.; Svobodová, J.; Dubský, P.; Riesová, M.; Vigh, G.; Gaš, B. Equivalent peak resolution: Characterization of the extent of separation for two components based on their relative peak overlap. Electrophoresis 2015, 36, 646–654. [Google Scholar] [CrossRef]
- Eftekhari Zadeh, E.; Feghhi, S.A.H.; Bayat, E.; Roshani, G.H. Gaussian Energy Broadening Function of an HPGe Detector in the Range of 40 keV to 1.46 MeV. J. Exp. Phys. 2014, 2014, 623683. [Google Scholar] [CrossRef]
- Wang, J.; Liu, Y.; He, W.; Chen, Y.; You, H. A Novel Planar Grounded Capacitively Coupled Contactless Conductivity Detector for Microchip Electrophoresis. Micromachines 2022, 13, 394. [Google Scholar] [CrossRef]







| Solution | Property |
|---|---|
| 10 mM, stock solutions | |
| 10 mM, stock solutions | |
| L-histidine (His) | 60 mM stock solution |
| 2-(N-morpholino)-ethanesulfonic acid (MES) | 60 mM stock solution |
| 18-Crown-6 | 20 mM stock solution |
| Sodium hydroxide | 100 mM stock solutions |
| Deionized water | resistivity 18.2 MΩ·cm |
| Resolution | Algorithm | 10 dB | 12 dB | 14 dB | 16 dB | 18 dB | 20 dB | 22 dB | 24 dB |
|---|---|---|---|---|---|---|---|---|---|
| R1 | TWOALM | 0.091 | 0.074 | 0.073 | 0.068 | 0.065 | 0.060 | 0.059 | 0.057 |
| LM | 0.048 | 0.069 | 0.062 | 0.059 | 0.055 | 0.053 | 0.054 | 0.058 | |
| TWOA | 13.83 | 13.60 | 13.61 | 13.49 | 13.32 | 13.54 | 14.52 | 13.52 | |
| R2 | TWOALM | 0.077 | 0.075 | 0.071 | 0.068 | 0.059 | 0.059 | 0.056 | 0.058 |
| LM | 0.048 | 0.066 | 0.060 | 0.052 | 0.080 | 0.069 | 0.056 | 0.051 | |
| TWOA | 13.15 | 13.09 | 13.09 | 13.23 | 13.19 | 13.20 | 13.40 | 13.23 | |
| R3 | TWOALM | 0.094 | 0.078 | 0.070 | 0.061 | 0.056 | 0.055 | 0.052 | 0.052 |
| LM | 0.054 | 0.066 | 0.056 | 0.055 | 0.048 | 0.046 | 0.063 | 0.051 | |
| TWOA | 14.49 | 14.04 | 13.28 | 13.18 | 12.83 | 13.05 | 12.89 | 12.86 | |
| R4 | TWOALM | 0.071 | 0.062 | 0.070 | 0.055 | 0.052 | 0.052 | 0.050 | 0.047 |
| LM | 0.050 | 0.054 | 0.054 | 0.047 | 0.048 | 0.064 | 0.049 | 0.054 | |
| TWOA | 12.79 | 12.91 | 12.89 | 12.91 | 12.85 | 12.95 | 12.94 | 12.94 | |
| R5 | TWOALM | 0.070 | 0.066 | 0.064 | 0.056 | 0.054 | 0.049 | 0.044 | 0.047 |
| LM | 0.065 | 0.071 | 0.056 | 0.058 | 0.055 | 0.054 | 0.062 | 0.062 | |
| TWOA | 12.88 | 12.92 | 12.87 | 12.92 | 12.83 | 12.88 | 12.84 | 12.94 | |
| R6 | TWOALM | 0.063 | 0.057 | 0.058 | 0.052 | 0.050 | 0.050 | 0.045 | 0.045 |
| LM | 0.058 | 0.055 | 0.054 | 0.070 | 0.059 | 0.061 | 0.060 | 0.055 | |
| TWOA | 0.077 | 0.075 | 0.071 | 0.068 | 0.059 | 0.059 | 0.056 | 0.058 | |
| R7 | TWOALM | 0.061 | 0.052 | 0.054 | 0.049 | 0.048 | 0.044 | 0.040 | 0.040 |
| LM | 0.064 | 0.069 | 0.072 | 0.051 | 0.061 | 0.070 | 0.061 | 0.092 | |
| TWOA | 13.08 | 12.96 | 12.90 | 12.97 | 12.85 | 13.02 | 12.92 | 12.86 | |
| R8 | TWOALM | 0.056 | 0.048 | 0.056 | 0.046 | 0.042 | 0.042 | 0.042 | 0.040 |
| LM | 0.069 | 0.088 | 0.075 | 0.065 | 0.058 | 0.073 | 0.067 | 0.083 | |
| TWOA | 12.86 | 12.88 | 12.81 | 12.85 | 12.77 | 12.91 | 12.87 | 12.84 | |
| R9 | TWOALM | 0.056 | 0.049 | 0.050 | 0.043 | 0.040 | 0.039 | 0.037 | 0.039 |
| LM | 0.075 | 0.058 | 0.065 | 0.062 | 0.070 | 0.055 | 0.070 | 0.067 | |
| TWOA | 12.80 | 12.84 | 12.79 | 12.79 | 12.80 | 12.87 | 12.78 | 12.78 |
| Resolution Algorithm | 10 dB | 12 dB | 14 dB | 16 dB | 18 dB | 20 dB | 22 dB | 24 dB | ||
|---|---|---|---|---|---|---|---|---|---|---|
| R1 | TWOALM | Error1 | 0.37 | 1.13 | 0.93 | 0.19 | 0.03 | 0.04 | 0.35 | 0.02 |
| Error2 | 2.38 | 1.14 | 2.00 | 1.78 | 0.93 | 1.29 | 1.14 | 0.09 | ||
| LM | Error1 | 25.26 | 14.00 | 2.29 | 7.87 | 1.26 | 21.97 | 6.71 | 14.72 | |
| Error2 | 95.43 | 57.97 | 32.34 | 40.95 | 1.18 | 78.60 | 45.21 | 49.18 | ||
| R2 | TWOALM | Error1 | 2.47 | 0.15 | 1.09 | 0.41 | 0.03 | 0.05 | 0.55 | 0.22 |
| Error2 | 0.20 | 3.58 | 1.57 | 1.50 | 0.18 | 0.23 | 0.24 | 0.82 | ||
| LM | Error1 | 4.87 | 4.41 | 15.84 | 14.95 | 5.53 | 10.76 | 7.16 | 30.54 | |
| Error2 | 27.22 | 47.72 | 27.14 | 42.18 | 68.47 | 62.36 | 37.43 | 30.29 | ||
| R3 | TWOALM | Error1 | 0.46 | 0.84 | 1.33 | 1.02 | 0.00 | 0.27 | 0.15 | 0.46 |
| Error2 | 0.34 | 0.40 | 0.40 | 1.81 | 1.43 | 0.38 | 1.13 | 1.07 | ||
| LM | Error1 | 12.28 | 22.57 | 0.34 | 7.25 | 3.81 | 16.04 | 9.46 | 3.76 | |
| Error2 | 64.39 | 119.47 | 106.31 | 93.01 | 126.93 | 95.38 | 80.99 | 93.81 | ||
| R4 | TWOALM | Error1 | 0.41 | 0.09 | 0.25 | 1.02 | 0.54 | 0.00 | 0.24 | 0.42 |
| Error2 | 0.20 | 2.83 | 3.55 | 2.12 | 2.24 | 0.51 | 0.01 | 0.31 | ||
| LM | Error1 | 1.16 | 10.42 | 0.38 | 6.13 | 13.42 | 7.05 | 4.98 | 1.33 | |
| Error2 | 67.20 | 114.28 | 89.21 | 135.55 | 63.58 | 57.13 | 102.47 | 97.05 | ||
| R5 | TWOALM | Error1 | 1.17 | 0.78 | 0.42 | 0.60 | 0.11 | 0.27 | 0.11 | 0.00 |
| Error2 | 1.52 | 0.11 | 1.72 | 2.87 | 1.79 | 0.97 | 0.07 | 0.90 | ||
| LM | Error1 | 7.02 | 15.24 | 36.10 | 1.61 | 13.30 | 2.80 | 34.20 | 0.74 | |
| Error2 | 136.42 | 87.49 | 71.32 | 156.76 | 101.51 | 121.77 | 104.21 | 186.19 | ||
| R6 | TWOALM | Error1 | 3.17 | 2.76 | 1.51 | 0.07 | 0.55 | 0.23 | 0.81 | 0.10 |
| Error2 | 7.63 | 9.28 | 1.46 | 2.20 | 2.31 | 0.22 | 3.13 | 0.97 | ||
| LM | Error1 | 1.73 | 29.55 | 11.17 | 58.03 | 13.13 | 9.94 | 12.99 | 14.84 | |
| Error2 | 182.09 | 97.30 | 161.24 | 121.32 | 176.53 | 140.57 | 199.55 | 131.12 | ||
| R7 | TWOALM | Error1 | 1.48 | 0.02 | 0.38 | 0.42 | 0.24 | 0.84 | 0.22 | 1.78 |
| Error2 | 1.86 | 1.67 | 0.97 | 4.59 | 2.97 | 2.16 | 1.96 | 16.29 | ||
| LM | Error1 | 20.10 | 29.59 | 35.12 | 23.82 | 14.00 | 40.29 | 52.07 | 44.57 | |
| Error2 | 235.81 | 258.37 | 248.49 | 215.68 | 243.54 | 190.68 | 165.54 | 156.71 | ||
| R8 | TWOALM | Error1 | 4.50 | 2.20 | 1.22 | 12.67 | 0.76 | 16.13 | 27.71 | 19.07 |
| Error2 | 14.45 | 19.90 | 3.16 | 33.68 | 10.66 | 44.27 | 59.23 | 3.05 | ||
| LM | Error1 | 56.10 | 24.23 | 26.26 | 62.91 | 53.58 | 27.57 | 33.10 | 27.42 | |
| Error2 | 330.30 | 242.44 | 328.67 | 295.81 | 164.69 | 111.16 | 263.38 | 215.16 | ||
| R9 | TWOALM | Error1 | 0.07 | 4.59 | 18.78 | 28.22 | 1.63 | 40.73 | 11.13 | 17.16 |
| Error2 | 0.80 | 26.06 | 2.90 | 43.38 | 70.58 | 33.59 | 8.17 | 10.64 | ||
| LM | Error1 | 42.58 | 23.99 | 36.55 | 63.72 | 35.21 | 31.12 | 49.28 | 46.58 | |
| Error2 | 228.78 | 314.41 | 383.07 | 219.07 | 419.76 | 232.48 | 292.38 | 332.37 | ||
| Sample | TWOA | LM | TWOALM |
|---|---|---|---|
| 0 | 43 | 0 | |
| 0 | 22 | 0 |
| Sample | TWOA | LM | TWOALM | |
|---|---|---|---|---|
| Error1 | 4.099440085 | 8.303486631 | 4.099440072 | |
| Error2 | 4.099440072 | 4.099440072 | 4.099440072 | |
| Time(s) | 32.6398813 | 0.21237084 | 0.176207775 | |
| Error1 | 1.589428358 | 2.298334751 | 1.589428313 | |
| Error2 | 1.589428316 | 1.589428313 | 1.589428313 | |
| Time(s) | 29.06685794 | 0.155972324 | 0.11844894 |
Publisher’s Note: MDPI stays neutral with regard to jurisdictional claims in published maps and institutional affiliations. |
© 2022 by the authors. Licensee MDPI, Basel, Switzerland. This article is an open access article distributed under the terms and conditions of the Creative Commons Attribution (CC BY) license (https://creativecommons.org/licenses/by/4.0/).
Share and Cite
He, W.; Wang, J.; Liu, Y.; Qin, Z.; Sun, C.; You, H.; Wei, X.; Liu, Y. A Novel Symmetrical Peak Fitting Method Based on Improved WOA Algorithm for the Analysis of Microchip Electrophoresis Signals. Symmetry 2022, 14, 2603. https://doi.org/10.3390/sym14122603
He W, Wang J, Liu Y, Qin Z, Sun C, You H, Wei X, Liu Y. A Novel Symmetrical Peak Fitting Method Based on Improved WOA Algorithm for the Analysis of Microchip Electrophoresis Signals. Symmetry. 2022; 14(12):2603. https://doi.org/10.3390/sym14122603
Chicago/Turabian StyleHe, Wenhe, Jianjiao Wang, Yaping Liu, Zhipeng Qin, Cuimin Sun, Hui You, Xiangfu Wei, and Ying Liu. 2022. "A Novel Symmetrical Peak Fitting Method Based on Improved WOA Algorithm for the Analysis of Microchip Electrophoresis Signals" Symmetry 14, no. 12: 2603. https://doi.org/10.3390/sym14122603
APA StyleHe, W., Wang, J., Liu, Y., Qin, Z., Sun, C., You, H., Wei, X., & Liu, Y. (2022). A Novel Symmetrical Peak Fitting Method Based on Improved WOA Algorithm for the Analysis of Microchip Electrophoresis Signals. Symmetry, 14(12), 2603. https://doi.org/10.3390/sym14122603

