Defect Detection inside a Rail Head by Ultrasonic Guided Waves
Abstract
1. Introduction
2. Modeling of UGW Propagation and Its Interaction with Defects
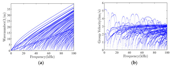
2.1. SAFE Method
2.2. FE Modeling with ABAQUS
2.2.1. Wave Propagation
2.2.2. Wave Scattering from Internal Defects
3. Mode Selection and Verification
3.1. Mode Selection and Excitation Based on the SAFE Method
3.2. Mode Verification
4. Detection of Internal Rail Defects Using UGWs
4.1. Defect Localization
4.2. Effect of Excitation Frequency
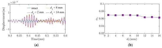
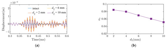
4.3. Effect of Defect Size
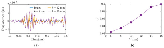
4.4. Effect of Defect Depth
5. Conclusions
- Following modal and energy distribution analysis, a symmetric mode S6 was selected and recommended for the detection of TF defects.
- An excitation method, i.e., line loads on surfaces of the rail gage and field sides, was proposed to excite mode S6 and its effectiveness was proven. The dispersion curve calculated by using a two-dimensional Fourier fast transform (2D-FFT) shows that wave propagation was dominated by mode S6 and was close to ‘single’ mode. Meanwhile, its localization ability was also confirmed.
- Line loads on the surface of the center head excited two dominant modes, S3 and S9. The pulse-echo test on the top center head suggested that they were not good for internal defect detection.
- To maintain a balance between its sensitivity to defects and the influence of multi-modes, an excitation frequency at 75 kHz is recommended.
- The reflection coefficients of defects were found to increase and decrease monotonically with increasing defect size and horizontal depth, respectively. It is not affected much by the vertical depth of the defect.
Author Contributions
Funding
Data Availability Statement
Conflicts of Interest
References
- Alahakoon, S.; Sun, Y.Q.; Spiryagin, M.; Cole, C. Rail Flaw Detection Technologies for Safer, Reliable Transportation: A Review. J. Dyn. Syst. Meas. Control 2017, 140, 020801. [Google Scholar] [CrossRef]
- Pathak, M.; Alahakoon, S.; Spiryagin, M.; Cole, C. Rail Foot Flaw Detection Based on a Laser Induced Ultrasonic Guided Wave Method. Measurement 2019, 148, 106922. [Google Scholar] [CrossRef]
- Vishesh, S.; Srinath, M.; Sreeram, S.; Jayanth, P.; Bharadwaj, D.D.S.; Venkatachalapathi, S.S. Advanced Monitoring of Rail Cracks Using LASER-EMAT System. IJARCCE 2016, 5, 413–416. [Google Scholar] [CrossRef]
- Papaelias, M.P.; Roberts, C.; Davis, C.L. A Review on Non-Destructive Evaluation of Rails: State-of-the-Art and Future Development. Proc. Inst. Mech. Eng. Part F J. Rail Rapid Transit 2008, 222, 367–384. [Google Scholar] [CrossRef]
- Cannon, D.F.; Edel, K.-O.; Grassie, S.L.; Sawley, K. Rail Defects: An Overview. Fatigue Fract. Eng. Mater. Struct. 2003, 26, 865–886. [Google Scholar] [CrossRef]
- Bombarda, D.; Vitetta, G.M.; Ferrante, G. Rail Diagnostics Based on Ultrasonic Guided Waves: An Overview. Appl. Sci. 2021, 11, 1071. [Google Scholar] [CrossRef]
- Masmoudi, M.; Yaacoubi, S.; Koabaz, M.; Akrout, M.; Skaiky, A. On the Use of Ultrasonic Guided Waves for the Health Monitoring of Rails. Proc. Inst. Mech. Eng. Part F J. Rail Rapid Transit 2021, 236, 469–489. [Google Scholar] [CrossRef]
- Antipov, A.G.; Markov, A.A. Detectability of Rail Defects by Magnetic Flux Leakage Method. Russ. J. Nondestruct. Test. 2019, 55, 277–285. [Google Scholar] [CrossRef]
- Zhu, Q.; Zhang, Y.; Zhang, H.; Memoli, G. Ultrasonic Inspection of near Surface Defects with Additive Manufactured Metasurface Lens. Front. Mater. 2022, 9, 1025518. [Google Scholar] [CrossRef]
- Bartoli, I.; Marzani, A.; di Scalea, F.L.; Viola, E. Modeling Wave Propagation in Damped Waveguides of Arbitrary Cross-Section. J. Sound Vib. 2006, 295, 685–707. [Google Scholar] [CrossRef]
- Xing, B.; Yu, Z.; Xu, X.; Zhu, L.; Shi, H. Research on a Rail Defect Location Method Based on a Single Mode Extraction Algorithm. Appl. Sci. 2019, 9, 1107. [Google Scholar] [CrossRef]
- Rose, J.L.; Avioli, M.J.; Mudge, P.; Sanderson, R. Guided Wave Inspection Potential of Defects in Rail. NDT & E Int. 2004, 37, 153–161. [Google Scholar] [CrossRef]
- Lee, C.M.; Rose, J.L.; Cho, Y. A Guided Wave Approach to Defect Detection under Shelling in Rail. NDT & E Int. 2009, 42, 174–180. [Google Scholar] [CrossRef]
- Bartoli, I.; di Scalea, F.L.; Fateh, M.; Viola, E. Modeling Guided Wave Propagation with Application to the Long-Range Defect Detection in Railroad Tracks. NDT & E Int. 2005, 38, 325–334. [Google Scholar] [CrossRef]
- Coccia, S.; Bartoli, I.; Marzani, A.; di Scalea, F.L.; Salamone, S.; Fateh, M. Numerical and Experimental Study of Guided Waves for Detection of Defects in the Rail Head. NDT & E Int. 2011, 44, 93–100. [Google Scholar] [CrossRef]
- Ramatlo, D.A.; Wilke, D.N.; Loveday, P.W. Development of an Optimal Piezoelectric Transducer to Excite Guided Waves in a Rail Web. NDT & E Int. 2018, 95, 72–81. [Google Scholar] [CrossRef]
- Wu, J.; Tang, Z.; Lv, F.; Yang, K.; Yun, C.B.; Duan, Y. Ultrasonic Guided Wave-Based Switch Rail Monitoring Using Independent Component Analysis. Meas. Sci. Technol. 2018, 29, 115102. [Google Scholar] [CrossRef]
- Moustakidis, S.; Kappatos, V.; Karlsson, P.; Selcuk, C.; Gan, T.-H.; Hrissagis, K. An Intelligent Methodology for Railways Monitoring Using Ultrasonic Guided Waves. J. Nondestruct. Eval. 2014, 33, 694–710. [Google Scholar] [CrossRef]
- Yue, G.; Cui, X.; Zhang, K.; Wang, Z.; An, D. Guided Wave Propagation for Monitoring the Rail Base. Math. Probl. Eng. 2020, 2020, 4756574. [Google Scholar] [CrossRef]
- Han, S.-W.; Cho, S.-H.; Jang, G.-W.; Park, J.-H. Non-Contact Inspection of Rail Surface and Internal Defects Based on Electromagnetic Ultrasonic Transducers. J. Intell. Mater. Syst. Struct. 2015, 27, 427–434. [Google Scholar] [CrossRef]
- Hayashi, T.; Song, W.-J.; Rose, J.L. Guided Wave Dispersion Curves for a Bar with an Arbitrary Cross-Section, a Rod and Rail Example. Ultrasonics 2003, 41, 175–183. [Google Scholar] [CrossRef] [PubMed]
- Andhavarapu, E.V.; Loveday, P.; Long, C.S.; Heyns, P. Accuracy of Semi-Analytical Finite Elements for Modelling Wave Propagation in Rails. In Proceedings of the Seventh South African Conference on Computational and Applied Mechanics (SACAM10), Pretoria, South Africa, 10–13 January 2010. [Google Scholar]
- Srivastava, A.; di Scalea, F.L. Quantitative Structural Health Monitoring by Ultrasonic Guided Waves. J. Eng. Mech. 2010, 136, 937–944. [Google Scholar] [CrossRef]
- Long, C.S.; Loveday, P.W. Validation of Hybrid SAFE-FE Guided Wave Scattering Predictions in Rail. In AIP Conference Proceedings; AIP Publishing LLC: New York, NY, USA, 2015. [Google Scholar]
- Spada, A.; Capriotti, M.; di Scalea, F.L. Global-Local Model for Guided Wave Scattering Problems with Application to Defect Characterization in Built-up Composite Structures. Int. J. Solids Struct. 2020, 182–183, 267–280. [Google Scholar] [CrossRef]
- Alleyne, D.; Cawley, P. A Two-Dimensional Fourier Transform Method for the Measurement of Propagating Multimode Signals. J. Acoust. Soc. Am. 1991, 89, 1159–1168. [Google Scholar] [CrossRef]
- Masoumi, M.; Giles, R.K. Analysis of Wave Scattering in Pipes with Non-Axisymmetric and Inclined Angle Defects Using Finite Element Modeling. Int. J. Appl. Mech. 2021, 13, 2150012. [Google Scholar] [CrossRef]
- Duffy, M.C. The Standard Rail Section, Transverse Fissures and Reformed Mill Practice, 1911–1955. J. Mech. Work. Technol. 1980, 4, 285–305. [Google Scholar] [CrossRef]
- Danbury, C. Rail Defects Manual; Sperry Rail Service: New York, NY, USA, 1964. [Google Scholar]
- Xu, B.; Giurgiutiu, V. Single Mode Tuning Effects on Lamb Wave Time Reversal with Piezoelectric Wafer Active Sensors for Structural Health Monitoring. J. Nondestruct. Eval. 2007, 26, 123–134. [Google Scholar] [CrossRef]
- Borigo, C.; Rose, J.L.; Yan, F. A Spacing Compensation Factor for the Optimization of Guided Wave Annular Array Transducers. J. Acoust. Soc. Am. 2013, 133, 127–135. [Google Scholar] [CrossRef]
- Xining, X.; Lu, Z.; Bo, X.; Zujun, Y.; Liqiang, Z. An Ultrasonic Guided Wave Mode Excitation Method in Rails. IEEE Access 2018, 6, 60414–60428. [Google Scholar] [CrossRef]














Publisher’s Note: MDPI stays neutral with regard to jurisdictional claims in published maps and institutional affiliations. |
© 2022 by the authors. Licensee MDPI, Basel, Switzerland. This article is an open access article distributed under the terms and conditions of the Creative Commons Attribution (CC BY) license (https://creativecommons.org/licenses/by/4.0/).
Share and Cite
Xie, J.; Ding, W.; Zou, W.; Wang, T.; Yang, J. Defect Detection inside a Rail Head by Ultrasonic Guided Waves. Symmetry 2022, 14, 2566. https://doi.org/10.3390/sym14122566
Xie J, Ding W, Zou W, Wang T, Yang J. Defect Detection inside a Rail Head by Ultrasonic Guided Waves. Symmetry. 2022; 14(12):2566. https://doi.org/10.3390/sym14122566
Chicago/Turabian StyleXie, Jingsong, Wenxiang Ding, Wen Zou, Tiantian Wang, and Jinsong Yang. 2022. "Defect Detection inside a Rail Head by Ultrasonic Guided Waves" Symmetry 14, no. 12: 2566. https://doi.org/10.3390/sym14122566
APA StyleXie, J., Ding, W., Zou, W., Wang, T., & Yang, J. (2022). Defect Detection inside a Rail Head by Ultrasonic Guided Waves. Symmetry, 14(12), 2566. https://doi.org/10.3390/sym14122566

