Abstract
The magnetic properties of electrical steel sheets are affected by magnetization patterns, working temperature, and external pressure. In order to study the temperature effect of electrical steel sheets on the temperature rise of a transformer core, in this paper, based on the magnetic property test system of an electrical steel sheet, the permeability and loss of a 50AW600 grain non-oriented electrical steel sheet and a 30ZH120 grain oriented electrical steel sheet under different temperatures and excited frequencies were measured, and the influence of temperature on the properties of the material was analyzed. A magneto-thermal iterative coupling method considering the temperature effects of magnetic properties in the electrical steel sheet was investigated. Based on the above measurement data and iterative coupling method, the temperature distribution of the core of a 500-kV power transformer was simulated and analyzed, and compared with the simulation results of the traditional coupling method without considering the temperature effect of the electrical steel sheet. Magneto-thermal coupling simulation under no-load operation is a symmetrical problem. It was found that the temperature of the hottest spot of the transformer core calculated by the magneto-thermal iteration method proposed in this paper was significantly reduced, the temperature of the hottest spot on the core column was about 45 °C, and the temperature of the hottest spot on the upper and lower yoke was about 39 °C, which provides an effective simulation method for accurately calculating the temperature rise distribution of electrical products such as transformers.
1. Introduction
The design and performance analysis of large-scale electrical products such as motors and transformers usually involve multi-physics coupling calculations, such as electricity, magnetism, heat, and force. During the calculation process, the electro-magnetic properties of electrical materials used in electrical equipment need to be described and measured by experimental methods. The accuracy of the electro-magnetic performance data is directly related to the accuracy and validity of the data analysis results.
The electro-magnetic characteristic parameters such as saturation magnetic induction intensity, magnetic permeability, specific loss, remanence, and coercive force of electrical steel sheets are closely related to temperature. At present, many scholars have done much research on the influence of temperature on the magnetic properties of electrical steel sheets. Norio et al. studied the effect of high temperature on the magnetic properties of non-oriented electrical steel sheets. The study showed that when the temperature is higher than 500 °C, the magnetic permeability will change sharply, and the iron loss will decrease with the increase in temperature [1]. Andreas et al. studied the influence of motor operating temperature on the stator core loss and magnetic properties of small permanent magnet synchronous motors [2]. M.Z. et al. studied and analyzed the crystal structure and magnetic properties of 2.6% ferrosilicon materials under cold rolling and different annealing temperatures [3]. M.L. et al. proposed an Epstein measurement device adapted to high temperature conditions, and measured ferromagnetic materials at a high temperature of 600 °C and different frequencies. The results showed that temperature has a certain effect on the stack loss and magnetic properties of grain-oriented silicon steel [4]. Sajid and Abdelkader proposed a Jiles–Atherton hysteresis model for non-oriented electrical steel sheets considering temperature factors [5]. Shuhong et al. investigated the magneto-thermal coupling analysis of the resonant reset forward converter and considered the effect of temperature on the core permeability and copper winding conductivity in the building of the multi-physics field coupling model [6].
In addition, related scholars have also done much research on the temperature rise caused by thermal effects. Yunyan et al. studied and analyzed the effect of heat generated during the starting process of a high-power-density and high-voltage induction motor on the temperature field [7]. Shuye et al. analyzed the temperature rise distribution of a permanent magnet wind turbine by establishing different solution domain models [8]. Longnv used the convection heat transfer coefficient as the boundary condition of the finite element magneto-thermal coupling analysis and proposed a new method to calculate the hot spot temperature rise of the structural components of an ODFS-334 MVA/500kV single-phase autotransformer [9]. Yongjian et al. established a 3D magneto-fluid-thermal coupled model to calculate the temperature rise of a transformer [10]. Mingyang tested the temperature rise of a single-phase four-column autotransformer under DC bias and established the calculation model for transformer loss and temperature rise [11].
At the same time, scholars have also performed numerous research studies on multiphysics coupling and established various coupling relationships. Kurt et al. established a strong coupling relationship between the thermal equation and the magnetic equation of the transformer by considering the temperature-dependent heat transfer coefficient and electrical conductivity [12]. Fabrizio et al. studied the thermal behavior of axial-flux synchronous permanent magnet motors based on coupled electromagnetic and thermo-hydrodynamic models [13]. At the University of Lyon, Alaa and others proposed a nonlinear dynamic model of magnetic components by coupling the magnetic model and the thermal model to consider the thermal effect [14]. Haoming calculated the temperature rise of the transformer core tie-plate (TCTP) by the magneto-thermal-fluid weak coupling method [15]. Bo et al. conducted a corresponding study on the bucking of transformer windings by using the electromagnetic thermal structure coupling method, and simulated the temperature rise and deformation of transformer windings by the finite element method [16]. Chengcheng proposed a magnetocaloric coupling model based on a 3D magnetic and thermal network to calculate the electromagnetic characteristics and thermal distribution of a permanent magnet claw pole machine. The model has the advantages of fast calculation speed and tight coupling and has been verified [17]. Mehmet et al. proposed a magneto-thermal coupling analysis method for an axial-flux (AF) permanent-magnet-assisted (PMA) eddy-current brakes (ECB) under high temperature conditions. This method has the advantages of accurately predicting the maximum temperature rise and braking torque changes [18]. At present, researchers mostly use the one-way coupling method in the calculation of magneto-thermal coupling. This traditional coupling method ignores the temperature influence of the electromagnetic properties of ferromagnetic materials. In the magneto-thermal co-simulation of electrical equipment, the permeability and loss characteristics of electrical steel sheets are closely related to the operating temperature, which in turn will affect the temperature rise distribution of the transformer or motor core. Therefore, the analysis of the magnetic field and the temperature field affects each other, and a coupled calculation is required.
In this paper, the influence of temperature on the permeability and magnetic losses of an electrical steel sheet is measured and analyzed, the anisotropy of an electrical steel sheet considering temperature effect is studied. The magneto-thermal iterative coupling method considering the temperature effect of electrical steel sheets is proposed. The influence of the temperature effect of electrical steel sheets on electromagnetic field and the thermal field coupling simulation results of electrical equipment is discussed.
2. Measurement and Analysis of Temperature Effect on the Magnetic Properties of Electrical Steel Sheets
2.1. Measuring Set up and Method
The measuring equipment was composed of a single-sheet electrical steel magnetic property measuring instrument SST, a thermostat, a computer, and a software operation platform. The physical diagram of the measuring device is shown in Figure 1. The set-up was developed by the Brockhaus company in Germany. The technical parameters of the magnetic property tester are shown in Table 1.
Figure 1.
Temperature effect measuring instrument for magnetic characteristics. (a) thermostat (b) magnetic property measuring instrument SST.
Table 1.
Technical parameters of the temperature effect test system for the magnetic properties of electrical steel sheets.
The magnetic property measurement system for electrical steel sheets consists of a single electrical steel sheet magnetic property tester and an incubator. The sample is placed in the center of the skeleton and forms a closed magnetic circuit with the yoke. In order to evenly distribute the magnetic field applied on the sample, there should be enough contact area between the sample and the yoke. B winding and excitation winding shall be evenly wound on the winding frame. The H coil is close to the sample in order to measure the H signal, and the B coil collects the B signal; based on the closed loop control system, the magnetic flux density changes periodically according to the sinusoidal. Figure 2 shows a sectional view of the measuring equipment. In the experiment, the temperature was controlled by an incubator. The temperature change was controlled at 20 °C to 200 °C. The peak value of B changed from 0.5 T to 1.8 T, and the frequency range changed from 50 Hz to 300 Hz. In order to overcome the influence of error, the results in this paper were obtained by averaging five measurements.
Figure 2.
Sectional view of the single-sheet measuring device.
2.2. Analysis of the Temperature Effect on the Magnetic Properties of a Non-Oriented Electrical Steel Sheet
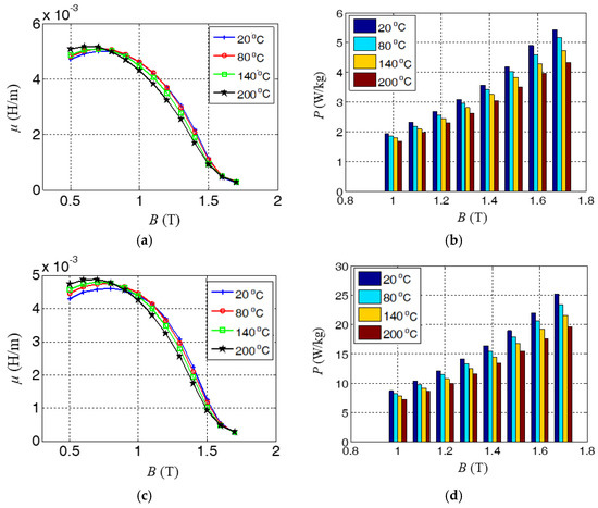
Non-oriented electrical steel sheets are usually used as a motor core material. In order to accurately study the influence of temperature on the magnetic properties of motor core material electrical steel sheets, a non-oriented electrical steel sheet of size 130 × 160 mm, thickness 0.5 mm, and type 50AW600 was measured along the rolling direction at different temperatures (20 °C to 200 °C) and different excitation frequencies (50 Hz to 300 Hz), and multiple groups of permeability curves and loss data were obtained. Figure 3 shows the changes in magnetic properties of the non-oriented electrical steel sheets at different temperatures and excitation frequencies (50 Hz, 150 Hz, and 300 Hz) measured by SST. The effects of non-standard excitation frequencies on the permeability and loss characteristics of electrical materials were investigated.

Figure 3.
Measurement results of non-oriented electrical steel sheets at different temperatures and frequencies. (a) B-μ curve at 50 Hz; (b) B-P bar chart at 50 Hz; (c) B-μ curve at 150 Hz; (d) B-P bar chart at 150 Hz; (e) B-μ curve at 300 Hz; (f) B-P bar chart at 300 Hz.
Figure 3a shows the maximum permeability at different temperatures when the excitation frequency is 50 Hz. It can be seen that the initial maximum permeability is relatively low, and there will be a peak with the increase in the external magnetic field, and then the maximum permeability slowly decreases. With the increase in temperature, the maximum permeability decreases. For example, when the sample is magnetized to 1.4 T at 20 °C, the maximum permeability is 0.00218 H/m, while at 140 °C, it is 0.001896 H/m. With the increase in temperature, the maximum permeability decreases, and the electrical steel sheet becomes more and more difficult to magnetize, especially when the magnetic properties of the material are close to saturation. Figure 3b shows the loss data at different temperatures when the excitation frequency is 50 Hz. With the increase in temperature, the specific loss (w/kg) gradually decreases, and the specific loss at 140 °C is 9% lower than that at room temperature (20 °C).
Figure 3a,c,e shows the comparison of the maximum permeability curves of different excitation frequencies. Under the same temperature and the same flux density, the maximum permeability decreases with the increase in excitation frequency. For example, at 80 °C, the maximum permeability of the sample magnetized to 1.4 T at 50 Hz is 0.003486 H/m, the maximum permeability at 150 Hz is 0.003475 H/m, and the maximum permeability at 300 Hz is 0.003331 H/m. Figure 3b,d,f shows the comparison of loss values of different excitation frequencies. With the increase in excitation frequency, the specific loss of the electrical steel sheet is also gradually increasing. At 140 °C, the specific loss at 300 Hz is 3.4 times higher than that at 50 Hz.
By measuring the maximum permeability and specific loss of non-oriented electrical steel sheets along the rolling direction, it can be concluded that the permeability and specific loss of electrical steel sheets are related to the excitation frequency and ambient temperature. Relying solely on the maximum permeability and specific loss data measured under standard conditions will have a great impact on the magnetic performance analysis of the motor.
2.3. Analysis of the Temperature Effect on Magnetic Properties of Oriented Electrical Steel Sheets
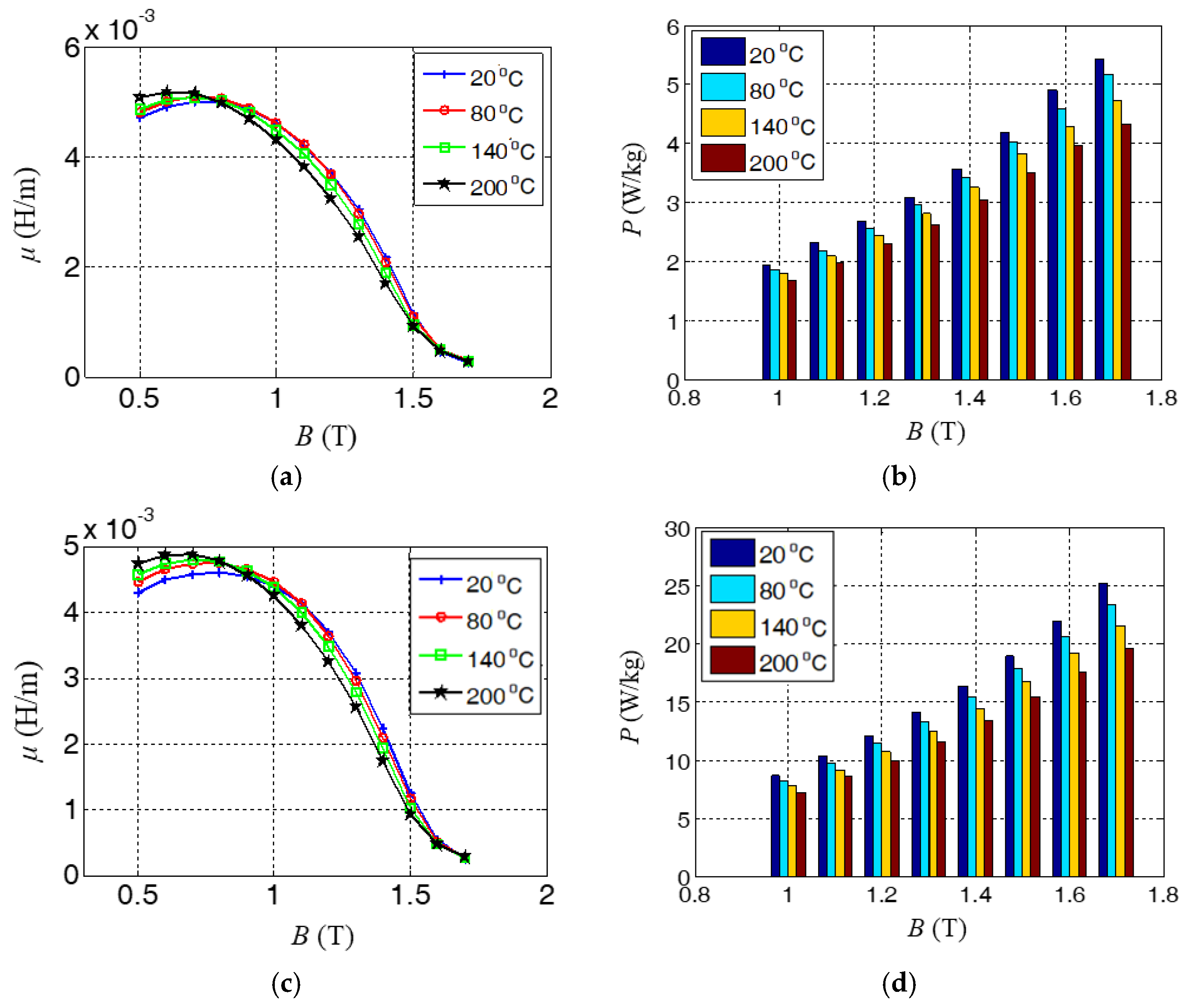
The iron core and magnetic shield of a transformer are usually formed by stacking oriented electrical steel sheets with high magnetic conductivity. Therefore, the accurate simulation of the magnetic properties of materials in the design, production, and research of transformers is of great significance to the accuracy and effectiveness of simulation results. In order to accurately study the temperature effect of the magnetic properties of electrical steel sheets, the temperature characteristics of a 130 × 160 mm 30ZH120 oriented electrical steel sheet was measured. The measurement frequency was 50 Hz. The temperature range was set from 20 °C to 200 °C. The magnetic properties were measured from the rolling direction and vertical rolling direction at different temperatures. The maximum permeability and loss characteristics of the 30ZH120 electrical steel sheet along different magnetized directions (rolling direction and vertical rolling direction) at different ambient temperatures are shown in Figure 4 based on the electrical steel sheet magnetic property measuring instrument.
Figure 4.
Comparison of the magnetic properties of oriented electrical steel sheets at different temperatures. (a) B-μ curve in rolling direction; (b) B-P bar chart in rolling direction; (c) B-μ curve in vertical rolling direction; (d) B-P bar chart in vertical rolling direction.
Figure 4a shows B-μ at different temperatures in the rolling direction. It can be seen from the curve that with the increase in temperature, the maximum permeability decreases at the same magnetic flux density. For example, when the sample is magnetized to 1.8 T at 20 °C, the maximum permeability is 0.012854 H/m, and when the sample is magnetized to 1.8 T at 140 °C, the maximum permeability is 0.005461 H/m. With the increase in temperature, it is more and more difficult to magnetize the electrical steel sheet, especially when the magnetic properties of the material are close to saturation. Figure 4b presents a B-P bar chart of the rolling direction. With the increase in temperature, the specific loss (w/kg) gradually decreases, and the specific loss at 140 °C is 10% lower than that at room temperature (20 °C).
Figure 4a,c shows the B-μ curve in different magnetized directions; based on the figure, we can see that the maximum permeability will change in different magnetized directions. Figure 4b,d shows the B-P bar chart in different magnetized directions. The specific loss in the vertical rolling direction is greater than that along the rolling direction. Due to the limited sampling, it cannot fully explain the influence of angle change on the magnetic conductivity of the electrical steel sheet.
By measuring the maximum permeability and specific loss of electrical steel sheets along different magnetized directions, it can be concluded that the maximum permeability and specific loss of oriented electrical steel sheets are related to ambient temperature and magnetized direction. Relying solely on the permeability data and specific loss data measured under standard conditions will have a great impact on the magnetic performance analysis of power transformers.
3. Magneto-Thermal Iterative Coupling Simulation
Coupling field analysis is the analysis of the interaction between two or more engineering physical fields, considering the interaction between different physical fields. The coupling analysis to be discussed in this paper considers the interaction between the electromagnetic field and the temperature field in electromagnetic equipment.
3.1. Iterative Coupling Simulation Method Implementation for the Magnetic Field and Temperature Field
Usually, the coupling analysis of magnetic field and temperature field of a motor or transformer includes the following two steps: first, establish the electromagnetic field analysis model, carry out the magnetic field finite element simulation analysis, and calculate the corresponding loss value; secondly, the loss value obtained through electromagnetic calculation is used as the heat source input of temperature field analysis, and the distribution of temperature field is analyzed. This method is called the traditional magneto-thermal coupling method in this paper. In order to realize fast and accurate temperature rise calculations in engineering practice, the method of electromagnetic field and temperature field coupling simulation proposed in this paper can be summarized as the iterative coupling flow chart shown in Figure 5.
Figure 5.
Flow chart of iterative coupling analysis.
The magneto-thermal coupling analysis process given in Figure 5 is an iterative process; that is, in the coupling process of a magnetic field and temperature field, each time the magnetic field calculation is carried out, the relevant properties of the material need to be updated according to the current temperature until the error between the current temperature value and the temperature value calculated in the previous iteration is less than the set value. Electromagnetic loss will affect the distribution of temperature, and temperature changes will change the power loss by affecting the properties of materials. The above iterative coupling system can reflect the coupling effect between the solution results of an electromagnetic field and thermal field. The influence of corresponding temperature on material parameters such as conductivity and permeability can be considered in the next iteration.
In the process of practical problem analysis, there are great difficulties in using experimental research and design calculations. Calculations made according to empirical formulas often cannot meet the needs of temperature rise distribution and local hot spot observation. Therefore, in order to make the calculation results closer to the actual situation, when conducting the coupling analysis of electromagnetic fields and temperature fields for the temperature rise and local overheating of a motor’s or transformer’s structural parts, using relatively mature commercial finite element software has become an analysis method widely used by researchers. In this paper, the ThermNet temperature field simulation software produced by the Infolytica company is used, which can be easily combined with Magnet magnetic field analysis software to realize magnetic thermal coupling analysis.
In the traditional magneto-thermal coupling analysis process without considering the temperature effect, it is generally believed that the magnetic properties of the core material do not change with the temperature change, and the measured B-H, B-P values at 20 °C are given to the core material. The magnetic core model was established by Magnet, and was coupled with ThermNet for calculation and analysis. The distribution results of the magnetic field and temperature field of the core were obtained through simulation.
In the actual operation process, the electromagnetic properties of ferromagnetic materials will change with the change in working temperature. In the process of magneto-thermal coupling, the influence of the change in the magnetic property of the electric steel sheet with temperature shall be considered. The B-H and B-P value measured at different temperatures of 20–200 °C shall be input into the material of core. In this way, during the coupling analysis, the material properties at the corresponding temperatures will be updated according to the calculated different temperatures; that is, the magnetic properties of the core material will be updated continuously during the temperature change process so that the influence of temperature on the magnetic properties of electrical steel plate can be considered during the coupling analysis.
3.2. Coupling Analysis of the Magnetic Field and Temperature Field in a Transformer Core
With the continuous increase in power consumption, the capacity of a single transformer is getting larger and larger. In recent years, ultra-high voltage and large-capacity large power transformers have been put into operation, but the volume and core size of large and extra-large power transformers cannot be increased indefinitely. A single-phase three-limb yoke-pressing transformer is a transformer with a special structure that was developed due to the limitations in transportation conditions. The single-phase transformer has a rated capacity of 241 MVA and a rated voltage of 500/18 kV. The dimensions of the transformer model are 3650 mm × 3850 mm. Figure 6 shows the main view and side view of this transformer. The upper and lower yokes and side yokes of the yoke-pressing transformer are narrower than those of the ordinary transformer, and the change in the core structure will inevitably affect the relevant performance parameters of the transformer. Therefore, it is necessary to analyze the magnetic field and temperature field of the transformer core. A three-dimensional finite element analysis model was established based on the actual transformer model provided by the transformer manufacturer, as shown in Figure 7. The coupling analysis of the magnetic field and temperature field was carried out for this yoke-pressing transformer.
Figure 6.
Structure diagram of a single-phase three-column yoke-pressing transformer. (a) Front view; (b) Side view.
Figure 7.
3-D simulation model of the transformer’s main magnetic field.
When solving the electromagnetic field, because the current of the coil is determined by the voltage applied by the external circuit and the line impedance, the field circuit coupling method of establishing the external circuit of the transformer is also used to calculate the distribution of the magnetic field and loss in the core. The boundary of the temperature field calculation is set in ThermNet, and the heat dissipation boundary is set to 20 W/(m2·°C). The radiation heat dissipation is zero. According to the air convection heat dissipation, the heat dissipation coefficient is assigned to each heat dissipation surface of the core and winding. During the simulation, the transient field is set to 7200 s and a time step of 20 s.
In order to compare and study the influence of the coupling analysis considering the temperature effect of the magnetic properties of the electrical steel sheets on the temperature distribution of the core, this paper uses the traditional magneto-thermal coupling analysis method, and then compares the results with the results obtained by the magneto-thermal bidirectional iterative coupling analysis method. Figure 8a,b respectively shows the simulation results of the magnetic flux density distribution and temperature distribution of the iron core of the yoke-pressing transformer calculated by the traditional magnetic thermal coupling method without considering the change of the magnetic characteristics of the electrical steel sheet with temperature when the transformer operates under no-load conditions.
Figure 8.
Traditional coupling method simulation results. (a) Magnetic flux density distribution of the core using the traditional coupling method; (b) Temperature distribution of the core using the traditional coupling method.
From the cloud diagram of magnetic flux density distribution, the maximum value of the magnetic flux density of the one-way yoke-pressing transformer is concentrated at the corner of the yoke, and the distribution of the magnetic flux density is consistent with the actual operation of the transformer. The change in iron core structure makes the magnetic density of iron yoke higher than that of an ordinary transformer, up to 1.72 T, which indicates that after the iron yoke of the transformer is squeezed and narrowed, the effective cross-sectional area of magnetic flux passing through the magnetic circuit becomes smaller, and the size of the magnetic flux flowing through the yoke does not change, so the magnetic flux or magnetic flux density per unit area becomes larger. From the distribution results of the core temperature cloud diagram in Figure 8b, the parts with higher core temperature are the middle of the core column and the corners of the upper and lower yokes. The temperature of the hottest spot on the core column is about 74 °C, and the temperature of the hottest spot on the upper and lower yokes is about 60 °C.
Figure 9b shows the temperature distribution of the iron core of the yoke-pressing transformer obtained by the simulation calculation considering the magnetic characteristics of the electrical steel sheet changing with temperature. From the cloud diagram of the core temperature distribution given in Figure 8b, it can be seen that the hottest spot temperature on the core column is about 43 °C, and the hottest spot temperature on the upper and lower yoke is about 38 °C. Compared with the simulation calculation results without considering the temperature effect of the magnetic properties of ferromagnetic materials, the hottest spot temperature of the transformer core is significantly reduced.
Figure 9.
Magneto-thermal iterative coupling simulation results. (a) Magnetic flux density distribution of the core using the iterative coupling method; (b) Temperature distribution of the core using the iterative coupling method.
Table 2 compares the temperatures in different areas of the core based on the traditional method and the magneto-thermal iterative coupling calculation method, and selects four points, located in the core column and yoke, as shown in Figure 10.
Table 2.
Comparison of temperature in different regions of the core based on the traditional method and the magneto-thermal iterative coupling method.
Figure 10.
Schematic diagram of temperature sampling in the core.
Because the B-H and B-P curve of electrical steel sheets will change with temperature, bidirectional coupling can continuously update the material properties that change with temperature in the analysis process. The magnetic properties of oriented electrical steel sheets change more obviously with temperature when B is higher than 1 T, and the magnetic flux density of this transformer is up to 1.73 T. Therefore, the temperature change obtained by iterative coupling analysis considering the temperature effect of the magnetic properties of electrical steel sheets is obvious.
4. Conclusions
In this paper, the effects of ambient temperature and excitation frequency on the magnetic properties of electrical steel sheets were studied. The curves of permeability and loss of electrical steel with temperature were measured, and an iterative coupling method of magneto-thermal coupling for electrical equipment was proposed considering the temperature effect of electrical steel. The conclusions are as follows:
- (1)
- The magnetic properties of electrical steel sheets considering temperature effect are anisotropic. With the increase in temperature, the permeability decreases. When the sample is close to saturation, the sample is more difficult to magnetize. With the increase in excitation frequency, the permeability also decreases. With the increase in temperature and excitation frequency, the specific loss of electrical steel sheets decreases.
- (2)
- By comparing the results of traditional simulation and iterative coupling simulation, it was found that the temperature of the hottest spot of the transformer core was significantly reduced. After coupling iteration, the hottest point of the iron core was reduced from 74 °C to 45 °C. The temperature drop was obvious, mainly because the magnetic flux density of the magnetic core was about 1.7 T, and the temperature effect of the magnetic property of the oriented electrical steel sheet was readily apparent.
Author Contributions
Conceptualization: Z.W.; Methodology: K.X.; Investigation: Z.W.; Software: Y.D.; Validation: Y.D.; Writing—original draft preparation: K.X. and Y.D.; Writing—review and editing: Z.W. All authors have read and agreed to the published version of the manuscript.
Funding
This research received no external funding.
Institutional Review Board Statement
Not applicable.
Informed Consent Statement
Not applicable.
Data Availability Statement
Not applicable.
Conflicts of Interest
The authors declare no conflict of interest.
References
- Takahashi, N.; Morishita, M.; Miyagi, D.; Nakano, M. Examination of magnetic properties of magnetic materials at high temperature using a ring specimen. IEEE Trans. Magn. 2010, 46, 548–551. [Google Scholar] [CrossRef]
- Krings, A.; Mousavi, S.A.; Wallmark, O.; Soulard, J. Temperature influence of NiFe steel laminations on the characteristics of small slotless permanent magnet machines. IEEE Trans. Magn. 2013, 49, 4064–4067. [Google Scholar] [CrossRef]
- Salih, M.Z.; Weidenfeller, B.; Al-Hamdany, N.; Brokmeier, H.-G.; Gan, W.M. Magnetic properties and crystallographic tex-tures of Fe 2.6% Si after 90% cold rolling plus different annealing. J. Magn. Magn. Mater. 2014, 354, 105–111. [Google Scholar] [CrossRef]
- Ababsa, M.L.; Ninet, O.; Velu, G.; Lecointe, J.P. High-Temperature magnetic characterization using an adapted Epstein frame. IEEE Trans. Magn. 2018, 54, 6201406. [Google Scholar] [CrossRef]
- Hussain, S.; Benabou, A.; Clenet, S.; Lowther, D.A. Temperature dependence in the Jiles-Atherton model for Non-Oriented electrical steels: An engineering approach. IEEE Trans. Magn. 2018, 54, 7301205. [Google Scholar] [CrossRef]
- Wang, S.; Yuan, D.; Wang, A.; Liu, K.; Li, H.; Wang, S. Circuit-Field coupling and magnetic-thermal cou-pling analysis of RRF converter designed with magnetic integration. IEEE Trans. Magn. 2019, 55, 8000608. [Google Scholar] [CrossRef]
- Xia, Y.; Han, Y.; Xu, Y.; Ai, M. Analyzing temperature rise and fluid flow of High-Power-Density and High-Voltage induction motor in the starting process. IEEE Access 2019, 7, 35588–35595. [Google Scholar] [CrossRef]
- Ding, S.; Zhu, M.; Wang, Y.; Liu, W. Temperature rise effect of permanent magnet wind turbine different field settings. IEEE Access 2019, 7, 175324–175330. [Google Scholar] [CrossRef]
- Li, L.; Niu, S.; Ho, S.L.; Fu, W.N.; Li, Y. A novel approach to investigate the Hot-Spot temperature rise in power transformers. IEEE Trans. Magn. 2015, 51, 8400204. [Google Scholar]
- Li, Y.; Yan, X.; Wang, C.; Yang, Q.; Zhang, C. Eddy current loss effect in foil winding of transformer based on Magneto-Fluid-Thermal simulation. IEEE Trans. Magn. 2019, 55, 8401705. [Google Scholar] [CrossRef]
- Li, M.; Wang, Z.; Zhang, J.; Ni, Z.; Tan, R. Temperature rise test and thermal-fluid coupling simu-lation of an oil-immersed autotransformer under DC bias. IEEE Access 2021, 99, 32835–32844. [Google Scholar] [CrossRef]
- Preis, K.; Biro, O.; Buchgraber, G.; Ticar, I. Thermal-Electromagnetic coupling in the finite-element simulation of power transformers. IEEE Trans. Magn. 2006, 42, 999–1002. [Google Scholar] [CrossRef]
- Marignetti, F.; Colli, V.D.; Coia, Y. Design of axial flux PM synchronous machines through 3-D coupled electromagnetic thermal and fluid-dynamical finite-element analysis. IEEE Trans. Ind. Electron. 2008, 55, 3591–3601. [Google Scholar] [CrossRef]
- Hilal, A.; Raulet, M.A.; Martin, C. Magnetic components dynamic modeling with thermal coupling for circuit simulators. IEEE Trans. Magn. 2014, 50, 7026604. [Google Scholar] [CrossRef]
- Wang, H.; Yang, Q.; Li, Y.; Wang, J.; Zhao, Y. Numerical calculation and experimental verification for leakage magnetic field and temperature rise of transformer core Tie-plate. IEEE Trans. Appl. Supercond. 2019, 2, 0602405. [Google Scholar] [CrossRef]
- Zhang, B.; Yan, N.; Ma, S.; Wang, H. Buckling strength analysis of transformer windings based on electromagnetic thermal structural coupling method. IEEE Trans. Appl Supercond. 2019, 29, 0601804. [Google Scholar] [CrossRef]
- Liu, C.; Wang, X.; Wang, S.; Wang, Y.; Lei, G.; Zhu, J. Magnetothermal coupling analysis of permanent magnet claw pole machine using combined 3D magnetic and thermal network method. IEEE Trans. Appl. Supercond. 2022, 32, 0600505. [Google Scholar] [CrossRef]
- Gulec, M.; Aydin, M.; Nerg, J.; Lindh, P.; Pyrhonen, J.J. Magneto-Thermal analysis of an axial-flux permanent-magnet-assisted eddy-current brake at high-temperature working conditions. IEEE Trans. Ind. Electron. 2020, 68, 5112–5121. [Google Scholar] [CrossRef]
Publisher’s Note: MDPI stays neutral with regard to jurisdictional claims in published maps and institutional affiliations. |
© 2022 by the authors. Licensee MDPI, Basel, Switzerland. This article is an open access article distributed under the terms and conditions of the Creative Commons Attribution (CC BY) license (https://creativecommons.org/licenses/by/4.0/).