Mass and Rate of Hierarchical Black Hole Mergers in Young, Globular and Nuclear Star Clusters
Abstract
:1. Introduction
2. Methods
2.1. First Generation (1g) Mergers
2.2. Relativistic Kicks
2.3. Escape Velocities
2.4. Nth Generation (Ng) Mass and Spin
2.5. Delay Times of Ng Mergers
2.6. Summary of the Models
2.7. Merger Rate
3. Results
3.1. Properties of Hierarchical Mergers
3.2. BHs in the Mass Gap and IMBHs
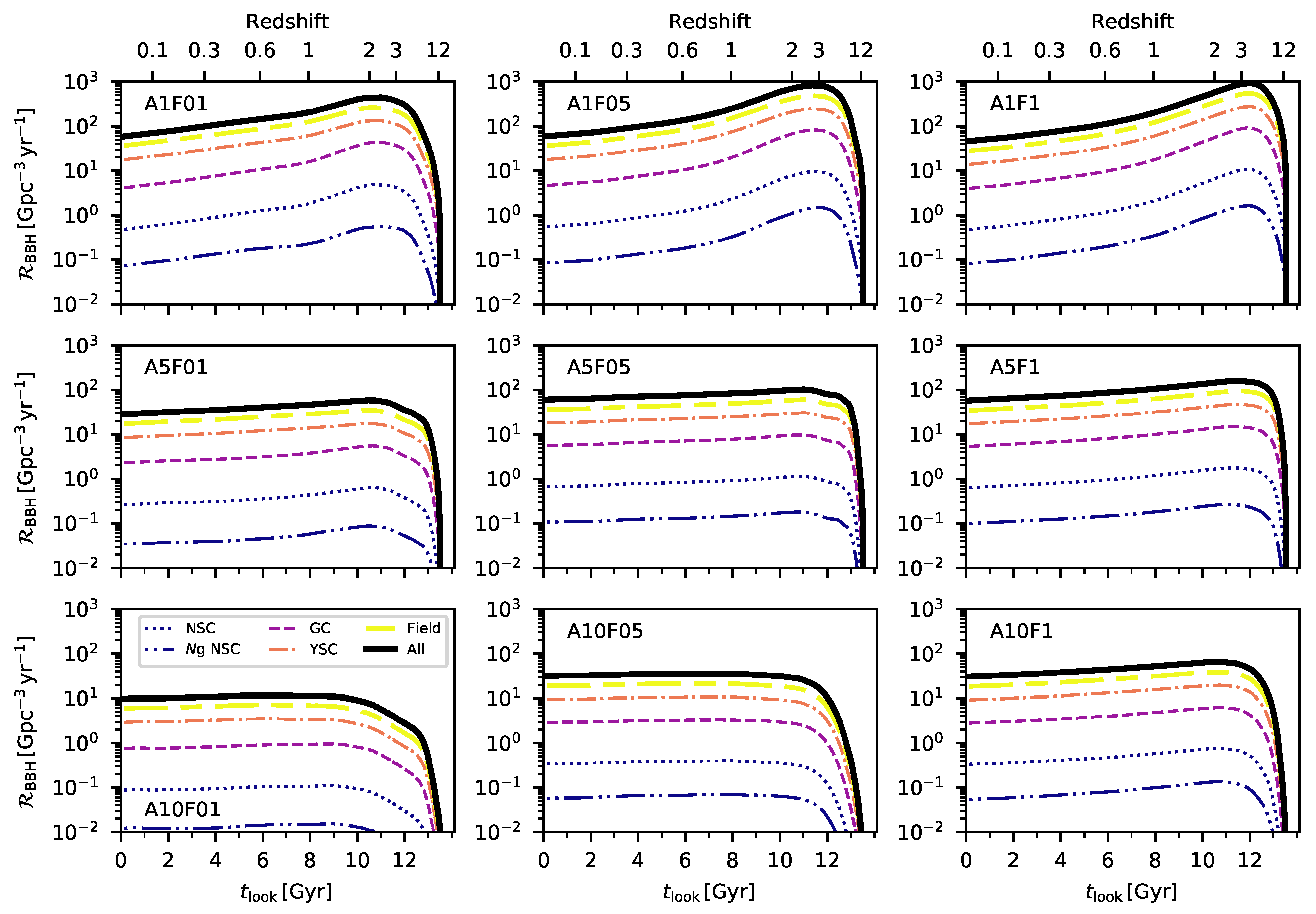
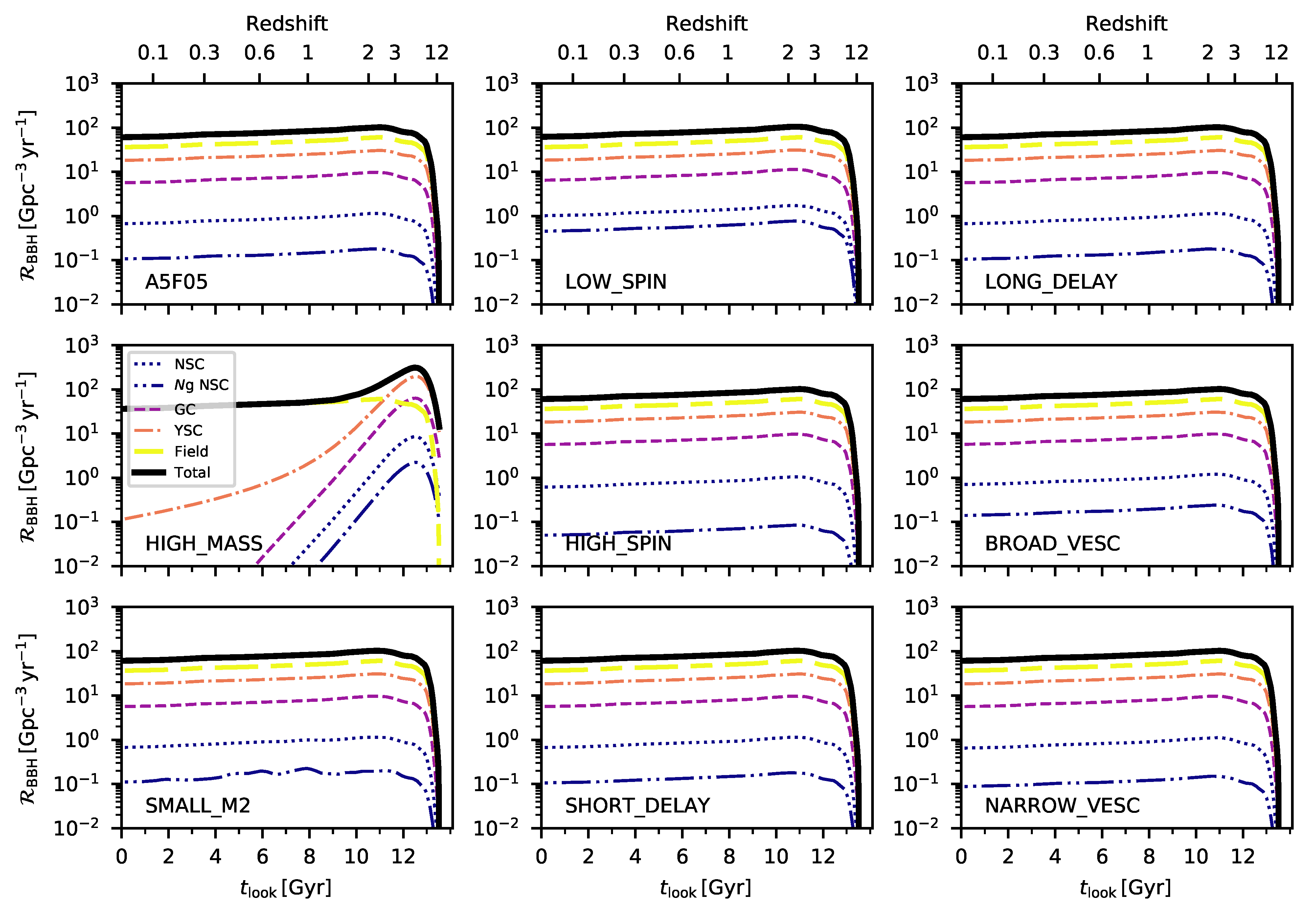
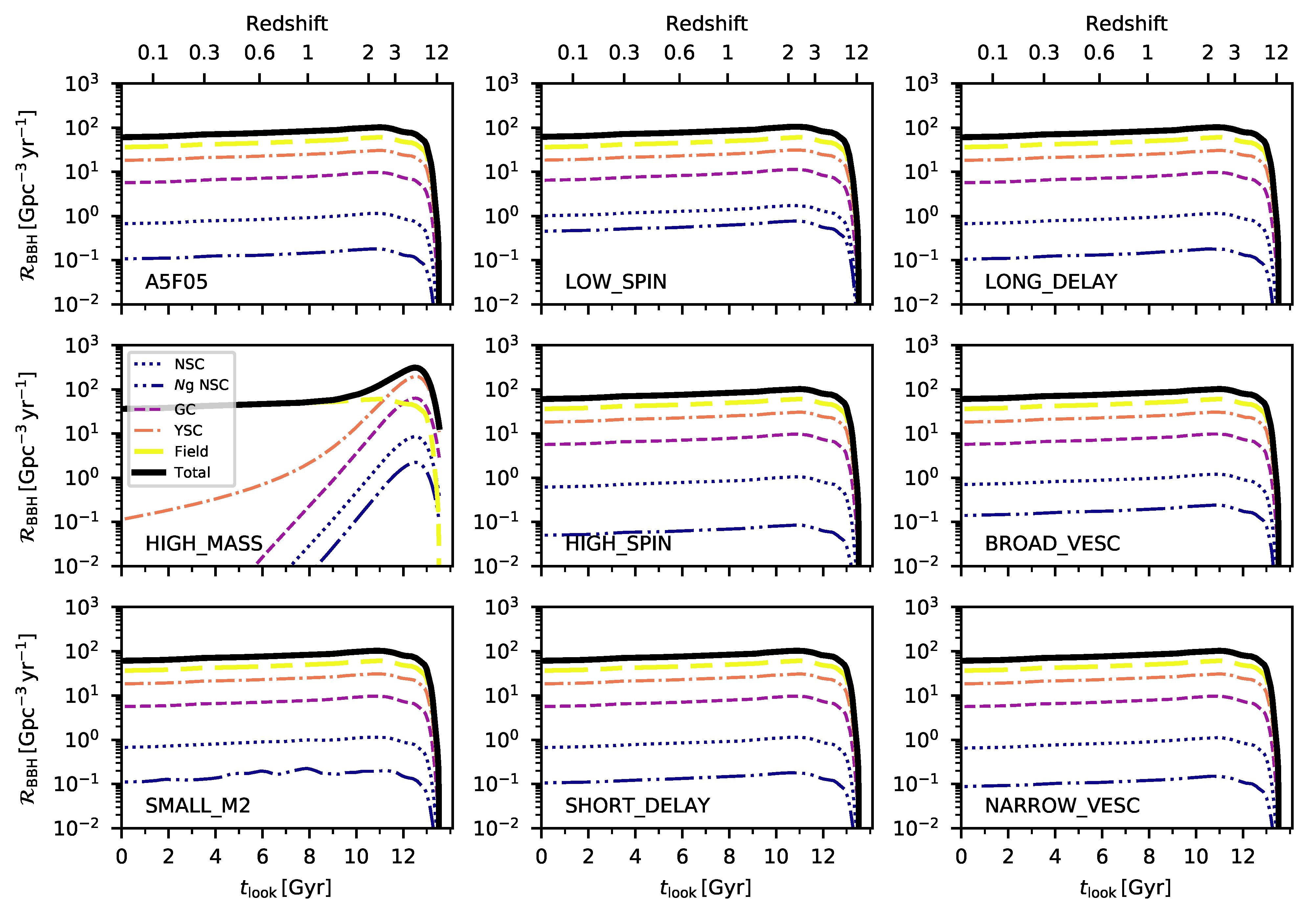
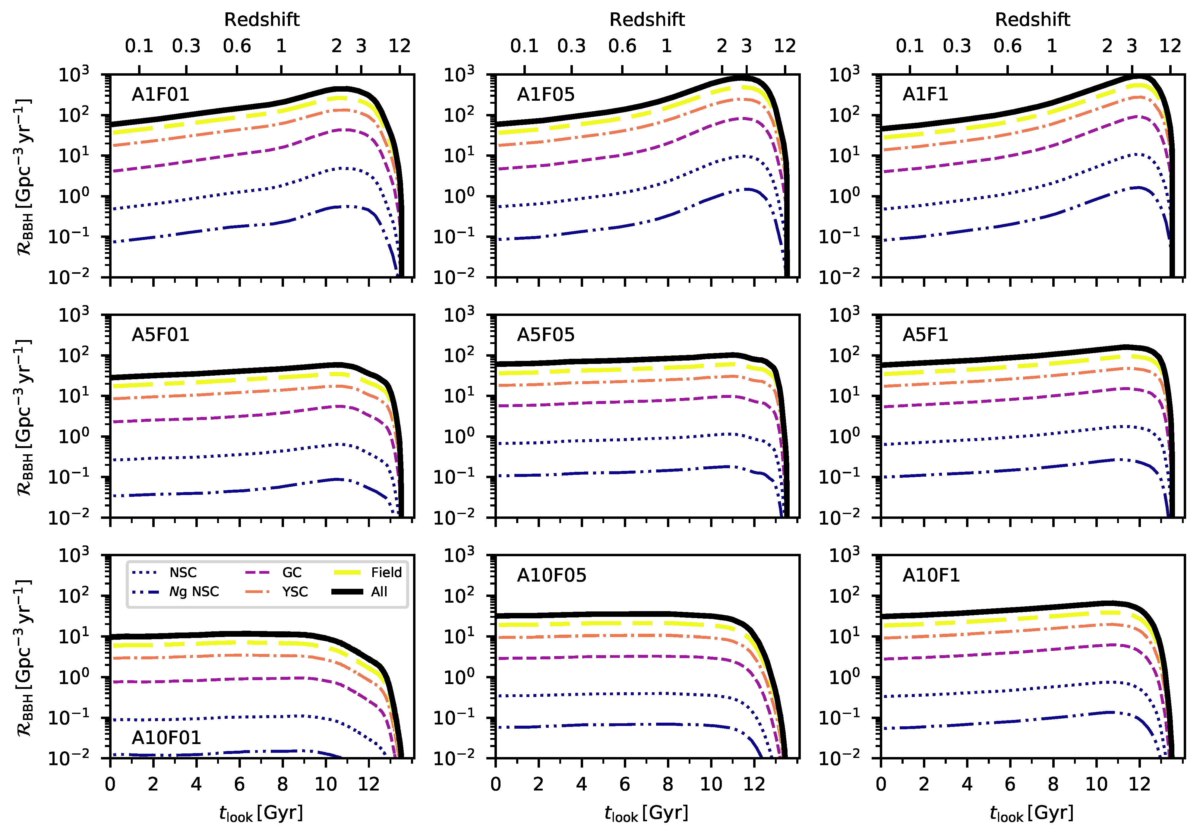
3.3. Merger Rates
3.4. Mass Distribution at Different Redshifts
3.5. Comparison with BBHs in GWTC-2
4. Discussion of the Main Caveats
5. Summary
Author Contributions
Funding
Data Availability Statement
Acknowledgments
Conflicts of Interest
Abbreviations
| AGN | active galactic nucleus |
| BBH | binary black hole |
| BH | black hole |
| GC | globular cluster |
| GW | gravitational wave |
| GWTC-2 | second gravitational wave transient catalog |
| IMBH | intermediate-mass black hole |
| NSC | nuclear star cluster |
| YSC | young star cluster |
References
- Acernese, F.; Agathos, M.; Agatsuma, K.; Aisa, D.; Allemandou, N.; Allocca, A.; Amarni, J.; Astone, P.; Balestri, G.; Ballardin, G.; et al. Advanced Virgo: A second-generation interferometric gravitational wave detector. Class. Quantum Gravity 2015, 32, 024001. [Google Scholar] [CrossRef] [Green Version]
- Aasi, J.; Abbott, B.P.; Abbott, R.; Abbott, T.; Abernathy, M.R.; Ackley, K.; Adams, C.; Adams, T.; Addesso, P.; Adhikari, R.X.; et al. Advanced LIGO. Class. Quantum Gravity 2015, 32, 074001. [Google Scholar]
- Abbott, B.P.; Abbott, R.; Abbott, T.D.; Abernathy, M.R.; Acernese, F.; Ackley, K.; Adams, C.; Adams, T.; Addesso, P.; Adhikari, R.X.; et al. Observation of Gravitational Waves from a Binary Black Hole Merger. Phys. Rev. Lett. 2016, 116, 061102. [Google Scholar] [CrossRef] [PubMed]
- Abbott, B.P.; Abbott, R.; Abbott, T.D.; Abernathy, M.R.; Acernese, F.; Ackley, K.; Adams, C.; Adams, T.; Addesso, P.; Adhikari, R.X.; et al. Astrophysical Implications of the Binary Black-hole Merger GW150914. Astrophys. J. Lett. 2016, 818, L22. [Google Scholar] [CrossRef]
- Abbott, B.P.; Abbott, R.; Abbott, T.D.; Abernathy, M.R.; Acernese, F.; Ackley, K.; Adams, C.; Adams, T.; Addesso, P.; Adhikari, R.X.; et al. Binary Black Hole Mergers in the First Advanced LIGO Observing Run. Phys. Rev. X 2016, 6, 041015. [Google Scholar] [CrossRef]
- Abbott, B.P.; Abbott, R.; Abbott, T.D.; Acernese, F.; Ackley, K.; Adams, C.; Adams, T.; Addesso, P.; Adhikari, R.X.; Adya, V.B.; et al. GW170817: Observation of Gravitational Waves from a Binary Neutron Star Inspiral. Phys. Rev. Lett. 2017, 119, 161101. [Google Scholar] [CrossRef] [PubMed] [Green Version]
- Abbott, B.P.; Abbott, R.; Abbott, T.D.; Abraham, S.; Acernese, F.; Ackley, K.; Adams, C.; Adhikari, R.X.; Adya, V.B.; Affeldt, C.; et al. GWTC-1: A Gravitational-Wave Transient Catalog of Compact Binary Mergers Observed by LIGO and Virgo during the First and Second Observing Runs. Phys. Rev. X 2019, 9, 031040. [Google Scholar] [CrossRef] [Green Version]
- Abbott, B.P.; Abbott, R.; Abbott, T.D.; Abraham, S.; Acernese, F.; Ackley, K.; Adams, C.; Adhikari, R.X.; Adya, V.B.; Affeldt, C.; et al. Binary Black Hole Population Properties Inferred from the First and Second Observing Runs of Advanced LIGO and Advanced Virgo. Astrophys. J. Lett. 2019, 882, L24. [Google Scholar] [CrossRef] [Green Version]
- Abbott, R.; Abbott, T.D.; Abraham, S.; Acernese, F.; Ackley, K.; Adams, A.; Adams, C.; Adhikari, R.X.; Adya, V.B.; Affeldt, C.; et al. GWTC-2: Compact Binary Coalescences Observed by LIGO and Virgo during the First Half of the Third Observing Run. Phys. Rev. X 2021, 11, 021053. [Google Scholar] [CrossRef]
- Abbott, R.; Abbott, T.D.; Abraham, S.; Acernese, F.; Ackley, K.; Adams, A.; Adams, C.; Adhikari, R.X.; Adya, V.B.; Affeldt, C.; et al. Population Properties of Compact Objects from the Second LIGO-Virgo Gravitational-Wave Transient Catalog. Astrophys. J. Lett. 2021, 913, L7. [Google Scholar] [CrossRef]
- Abbott, R.; Abbott, T.D.; Acernese, F.; Ackley, K.; Adams, C.; Adhikari, N.; Adhikari, R.X.; Adya, V.B.; Affeldt, C.; Agarwal, D.; et al. GWTC-2.1: Deep Extended Catalog of Compact Binary Coalescences Observed by LIGO and Virgo During the First Half of the Third Observing Run. arXiv 2021, arXiv:2108.01045. [Google Scholar]
- Carr, B.J.; Hawking, S.W. Black holes in the early Universe. Mon. Not. R. Astron. Soc. 1974, 168, 399–416. [Google Scholar] [CrossRef] [Green Version]
- Carr, B.; Kühnel, F.; Sandstad, M. Primordial black holes as dark matter. Phys. Rev. D 2016, 94, 083504. [Google Scholar] [CrossRef] [Green Version]
- Bird, S.; Cholis, I.; Muñoz, J.B.; Ali-Haïmoud, Y.; Kamionkowski, M.; Kovetz, E.D.; Raccanelli, A.; Riess, A.G. Did LIGO Detect Dark Matter? Phys. Rev. Lett. 2016, 116, 201301. [Google Scholar] [CrossRef]
- Tutukov, A.; Yungelson, L. Evolution of massive close binaries. Nauchnye Informatsii 1973, 27, 70. [Google Scholar]
- Bethe, H.A.; Brown, G.E. Evolution of Binary Compact Objects That Merge. Astrophys. J. 1998, 506, 780–789. [Google Scholar] [CrossRef]
- Portegies Zwart, S.F.; Yungelson, L.R. Formation and evolution of binary neutron stars. Astron. Astrophys. 1998, 332, 173–188. [Google Scholar]
- Belczynski, K.; Kalogera, V.; Bulik, T. A Comprehensive Study of Binary Compact Objects as Gravitational Wave Sources: Evolutionary Channels, Rates, and Physical Properties. Astrophys. J. 2002, 572, 407–431. [Google Scholar] [CrossRef] [Green Version]
- Voss, R.; Tauris, T.M. Galactic distribution of merging neutron stars and black holes-prospects for short gamma-ray burst progenitors and LIGO/VIRGO. Mon. Not. R. Astron. Soc. 2003, 342, 1169–1184. [Google Scholar] [CrossRef]
- Podsiadlowski, P.; Langer, N.; Poelarends, A.J.T.; Rappaport, S.; Heger, A.; Pfahl, E. The Effects of Binary Evolution on the Dynamics of Core Collapse and Neutron Star Kicks. Astrophys. J. 2004, 612, 1044–1051. [Google Scholar] [CrossRef] [Green Version]
- Belczynski, K.; Kalogera, V.; Rasio, F.A.; Taam, R.E.; Zezas, A.; Bulik, T.; Maccarone, T.J.; Ivanova, N. Compact Object Modeling with the StarTrack Population Synthesis Code. Astrophys. J. Suppl. 2008, 174, 223–260. [Google Scholar] [CrossRef]
- Dominik, M.; Belczynski, K.; Fryer, C.; Holz, D.E.; Berti, E.; Bulik, T.; Mandel, I.; O’Shaughnessy, R. Double Compact Objects. I. The Significance of the Common Envelope on Merger Rates. Astrophys. J. 2012, 759, 52. [Google Scholar] [CrossRef]
- Dominik, M.; Belczynski, K.; Fryer, C.; Holz, D.E.; Berti, E.; Bulik, T.; Mandel, I.; O’Shaughnessy, R. Double Compact Objects. II. Cosmological Merger Rates. Astrophys. J. 2013, 779, 72. [Google Scholar] [CrossRef]
- Mennekens, N.; Vanbeveren, D. Massive double compact object mergers: Gravitational wave sources and r-process element production sites. Astron. Astrophys. 2014, 564, A134. [Google Scholar] [CrossRef] [Green Version]
- Belczynski, K.; Holz, D.E.; Bulik, T.; O’Shaughnessy, R. The first gravitational-wave source from the isolated evolution of two stars in the 40–100 solar mass range. Mon. Not. R. Astron. Soc. 2016, 534, 512–515. [Google Scholar] [CrossRef] [PubMed] [Green Version]
- Eldridge, J.J.; Stanway, E.R. BPASS predictions for binary black hole mergers. Mon. Not. R. Astron. Soc. 2016, 462, 3302–3313. [Google Scholar] [CrossRef] [Green Version]
- Stevenson, S.; Berry, C.P.L.; Mandel, I. Hierarchical analysis of gravitational-wave measurements of binary black hole spin-orbit misalignments. arXiv 2017, arXiv:1703.06873. [Google Scholar] [CrossRef] [Green Version]
- Mapelli, M.; Giacobbo, N.; Ripamonti, E.; Spera, M. The cosmic merger rate of stellar black hole binaries from the Illustris simulation. Mon. Not. R. Astron. Soc. 2017, 472, 2422–2435. [Google Scholar] [CrossRef]
- Mapelli, M.; Giacobbo, N. The cosmic merger rate of neutron stars and black holes. Mon. Not. R. Astron. Soc. 2018, 479, 4391–4398. [Google Scholar] [CrossRef] [Green Version]
- Giacobbo, N.; Mapelli, M.; Spera, M. Merging black hole binaries: The effects of progenitor’s metallicity, mass-loss rate and Eddington factor. Mon. Not. R. Astron. Soc. 2018, 474, 2959–2974. [Google Scholar] [CrossRef] [Green Version]
- Giacobbo, N.; Mapelli, M. The progenitors of compact-object binaries: Impact of metallicity, common envelope and natal kicks. Mon. Not. R. Astron. Soc. 2018, 480, 2011–2030. [Google Scholar] [CrossRef]
- Klencki, J.; Moe, M.; Gladysz, W.; Chruslinska, M.; Holz, D.E.; Belczynski, K. Impact of inter-correlated initial binary parameters on double black hole and neutron star mergers. Astron. Astrophys. 2018, 619, A77. [Google Scholar] [CrossRef] [Green Version]
- Kruckow, M.U.; Tauris, T.M.; Langer, N.; Kramer, M.; Izzard, R.G. Progenitors of gravitational wave mergers: Binary evolution with the stellar grid-based code COMBINE. Mon. Not. R. Astron. Soc. 2018, 481, 1908–1949. [Google Scholar] [CrossRef]
- Spera, M.; Mapelli, M.; Giacobbo, N.; Trani, A.A.; Bressan, A.; Costa, G. Merging black hole binaries with the SEVN code. Mon. Not. R. Astron. Soc. 2019, 485, 889–907. [Google Scholar] [CrossRef] [Green Version]
- Mapelli, M.; Giacobbo, N.; Santoliquido, F.; Artale, M.C. The properties of merging black holes and neutron stars across cosmic time. Mon. Not. R. Astron. Soc. 2019, 487, 2–13. [Google Scholar] [CrossRef]
- Neijssel, C.J.; Vigna-Gómez, A.; Stevenson, S.; Barrett, J.W.; Gaebel, S.M.; Broekgaarden, F.S.; de Mink, S.E.; Szécsi, D.; Vinciguerra, S.; Mandel, I. The effect of the metallicity-specific star formation history on double compact object mergers. Mon. Not. R. Astron. Soc. 2019, 490, 3740–3759. [Google Scholar] [CrossRef] [Green Version]
- Eldridge, J.J.; Stanway, E.R.; Tang, P.N. A consistent estimate for gravitational wave and electromagnetic transient rates. Mon. Not. R. Astron. Soc. 2019, 482, 870–880. [Google Scholar] [CrossRef] [Green Version]
- Tang, P.N.; Eldridge, J.J.; Stanway, E.R.; Bray, J.C. Dependence of Gravitational Wave Transient Rates on Cosmic Star Formation and Metallicity Evolution History. arXiv 2019, arXiv:1912.04474. [Google Scholar] [CrossRef]
- Marchant, P.; Langer, N.; Podsiadlowski, P.; Tauris, T.M.; Moriya, T.J. A new route towards merging massive black holes. Astron. Astrophys. 2016, 588, A50. [Google Scholar] [CrossRef] [Green Version]
- de Mink, S.E.; Mandel, I. The chemically homogeneous evolutionary channel for binary black hole mergers: Rates and properties of gravitational-wave events detectable by advanced LIGO. Mon. Not. R. Astron. Soc. 2016, 460, 3545–3553. [Google Scholar] [CrossRef] [Green Version]
- Mandel, I.; de Mink, S.E. Merging binary black holes formed through chemically homogeneous evolution in short-period stellar binaries. Mon. Not. R. Astron. Soc. 2016, 458, 2634–2647. [Google Scholar] [CrossRef]
- du Buisson, L.; Marchant, P.; Podsiadlowski, P.; Kobayashi, C.; Abdalla, F.B.; Taylor, P.; Mandel, I.; de Mink, S.E.; Moriya, T.J.; Langer, N. Cosmic Rates of Black Hole Mergers and Pair-Instability Supernovae from Chemically Homogeneous Binary Evolution. arXiv 2020, arXiv:2002.11630. [Google Scholar] [CrossRef]
- Antonini, F.; Chatterjee, S.; Rodriguez, C.L.; Morscher, M.; Pattabiraman, B.; Kalogera, V.; Rasio, F.A. Black Hole Mergers and Blue Stragglers from Hierarchical Triples Formed in Globular Clusters. Astrophys. J. 2016, 816, 65. [Google Scholar] [CrossRef] [Green Version]
- Antonini, F.; Toonen, S.; Hamers, A.S. Binary Black Hole Mergers from Field Triples: Properties, Rates, and the Impact of Stellar Evolution. Astrophys. J. 2017, 841, 77. [Google Scholar] [CrossRef]
- Arca-Sedda, M.; Li, G.; Kocsis, B. Ordering the chaos: Stellar black hole mergers from non-hierarchical triples. arXiv 2018, arXiv:1805.06458. [Google Scholar]
- Fragione, G.; Loeb, A. Black hole-neutron star mergers from triples. Mon. Not. R. Astron. Soc. 2019, 486, 4443–4450. [Google Scholar] [CrossRef] [Green Version]
- Fragione, G.; Silk, J. Repeated mergers and ejection of black holes within nuclear star clusters. arXiv 2020, arXiv:2006.01867. [Google Scholar] [CrossRef]
- Banerjee, S.; Baumgardt, H.; Kroupa, P. Stellar-mass black holes in star clusters: Implications for gravitational wave radiation. Mon. Not. R. Astron. Soc. 2010, 402, 371–380. [Google Scholar] [CrossRef] [Green Version]
- Ziosi, B.M.; Mapelli, M.; Branchesi, M.; Tormen, G. Dynamics of stellar black holes in young star clusters with different metallicitiesII. Black hole-black hole binaries. Mon. Not. R. Astron. Soc. 2014, 441, 3703–3717. [Google Scholar] [CrossRef] [Green Version]
- Mapelli, M. Massive black hole binaries from runaway collisions: The impact of metallicity. Mon. Not. R. Astron. Soc. 2016, 459, 3432–3446. [Google Scholar] [CrossRef] [Green Version]
- Askar, A.; Szkudlarek, M.; Gondek-Rosińska, D.; Giersz, M.; Bulik, T. MOCCA-SURVEY DatabaseI. Coalescing binary black holes originating from globular clusters. Mon. Not. R. Astron. Soc. 2017, 464, L36–L40. [Google Scholar] [CrossRef] [Green Version]
- Banerjee, S. Stellar-mass black holes in young massive and open stellar clusters and their role in gravitational-wave generation. Mon. Not. R. Astron. Soc. 2017, 467, 524–539. [Google Scholar] [CrossRef]
- Banerjee, S. Stellar-mass black holes in young massive and open stellar clusters and their role in gravitational-wave generation II. Mon. Not. R. Astron. Soc. 2018, 473, 909–926. [Google Scholar] [CrossRef]
- Banerjee, S. Stellar-mass black holes in young massive and open stellar clusters and their role in gravitational-wave generation IV: Updated stellar-evolutionary and black hole spin models and comparisons with the LIGO-Virgo O1/O2 merger-event data. arXiv 2020, arXiv:2004.07382. [Google Scholar]
- Di Carlo, U.N.; Giacobbo, N.; Mapelli, M.; Pasquato, M.; Spera, M.; Wang, L.; Haardt, F. Merging black holes in young star clusters. Mon. Not. R. Astron. Soc. 2019, 487, 2947–2960. [Google Scholar] [CrossRef]
- Di Carlo, U.N.; Mapelli, M.; Bouffanais, Y.; Giacobbo, N.; Bressan, S.; Spera, M.; Haardt, F. Binary black holes in the pair-instability mass gap. Mon. Not. R. Astron. Soc. 2020, 497, 1043–1049. [Google Scholar] [CrossRef]
- Kumamoto, J.; Fujii, M.S.; Tanikawa, A. Gravitational-wave emission from binary black holes formed in open clusters. Mon. Not. R. Astron. Soc. 2019, 486, 3942–3950. [Google Scholar] [CrossRef]
- Kumamoto, J.; Fujii, M.S.; Tanikawa, A. Merger rate density of binary black holes formed in open clusters. arXiv 2020, arXiv:2001.10690. [Google Scholar] [CrossRef]
- Portegies Zwart, S.F.; McMillan, S.L.W. Black Hole Mergers in the Universe. Astrophys. J. Lett. 2000, 528, L17–L20. [Google Scholar] [CrossRef] [Green Version]
- Downing, J.M.B.; Benacquista, M.J.; Giersz, M.; Spurzem, R. Compact binaries in star clustersI. Black hole binaries inside globular clusters. Mon. Not. R. Astron. Soc. 2010, 407, 1946–1962. [Google Scholar] [CrossRef] [Green Version]
- Rodriguez, C.L.; Morscher, M.; Pattabiraman, B.; Chatterjee, S.; Haster, C.J.; Rasio, F.A. Binary Black Hole Mergers from Globular Clusters: Implications for Advanced LIGO. Phys. Rev. Lett. 2015, 115, 051101. [Google Scholar] [CrossRef] [PubMed]
- Rodriguez, C.L.; Chatterjee, S.; Rasio, F.A. Binary black hole mergers from globular clusters: Masses, merger rates, and the impact of stellar evolution. Phys. Rev. D 2016, 93, 084029. [Google Scholar] [CrossRef] [Green Version]
- Rodriguez, C.L.; Amaro-Seoane, P.; Chatterjee, S.; Kremer, K.; Rasio, F.A.; Samsing, J.; Ye, C.S.; Zevin, M. Post-Newtonian dynamics in dense star clusters: Formation, masses, and merger rates of highly-eccentric black hole binaries. Phys. Rev. D 2018, 98, 123005. [Google Scholar] [CrossRef] [Green Version]
- Samsing, J.; MacLeod, M.; Ramirez-Ruiz, E. The Formation of Eccentric Compact Binary Inspirals and the Role of Gravitational Wave Emission in Binary-Single Stellar Encounters. Astrophys. J. 2014, 784, 71. [Google Scholar] [CrossRef] [Green Version]
- Samsing, J. Eccentric black hole mergers forming in globular clusters. Phys. Rev. D 2018, 97, 103014. [Google Scholar] [CrossRef] [Green Version]
- Fragione, G.; Kocsis, B. Black Hole Mergers from an Evolving Population of Globular Clusters. Phys. Rev. Lett. 2018, 121, 161103. [Google Scholar] [CrossRef] [PubMed] [Green Version]
- Zevin, M.; Samsing, J.; Rodriguez, C.; Haster, C.J.; Ramirez-Ruiz, E. Eccentric Black Hole Mergers in Dense Star Clusters: The Role of Binary-Binary Encounters. Astrophys. J. 2019, 871, 91. [Google Scholar] [CrossRef] [Green Version]
- Antonini, F.; Gieles, M. Population synthesis of black hole binary mergers from star clusters. Mon. Not. R. Astron. Soc. 2020, 492, 2936–2954. [Google Scholar] [CrossRef]
- O’Leary, R.M.; Kocsis, B.; Loeb, A. Gravitational waves from scattering of stellar-mass black holes in galactic nuclei. Mon. Not. R. Astron. Soc. 2009, 395, 2127–2146. [Google Scholar] [CrossRef] [Green Version]
- Miller, M.C.; Lauburg, V.M. Mergers of Stellar-Mass Black Holes in Nuclear Star Clusters. Astrophys. J. 2009, 692, 917–923. [Google Scholar] [CrossRef]
- Antonini, F.; Rasio, F.A. Merging Black Hole Binaries in Galactic Nuclei: Implications for Advanced-LIGO Detections. Astrophys. J. 2016, 831, 187. [Google Scholar] [CrossRef] [Green Version]
- Petrovich, C.; Antonini, F. Greatly Enhanced Merger Rates of Compact-object Binaries in Non-spherical Nuclear Star Clusters. Astrophys. J. 2017, 846, 146. [Google Scholar] [CrossRef] [Green Version]
- Rasskazov, A.; Kocsis, B. The Rate of Stellar Mass Black Hole Scattering in Galactic Nuclei. Astrophys. J. 2019, 881, 20. [Google Scholar] [CrossRef] [Green Version]
- Arca-Sedda, M.; Gualandris, A. Gravitational wave sources from inspiralling globular clusters in the Galactic Centre and similar environments. Mon. Not. R. Astron. Soc. 2018, 477, 4423–4442. [Google Scholar] [CrossRef]
- Arca Sedda, M.; Benacquista, M. Using final black hole spins and masses to infer the formation history of the observed population of gravitational wave sources. Mon. Not. R. Astron. Soc. 2019, 482, 2991–3010. [Google Scholar] [CrossRef]
- Arca Sedda, M.; Mapelli, M.; Spera, M.; Benacquista, M.; Giacobbo, N. Fingerprints of Binary Black Hole Formation Channels Encoded in the Mass and Spin of Merger Remnants. Astrophys. J. 2020, 894, 133. [Google Scholar] [CrossRef]
- Arca Sedda, M. Birth, Life, and Death of Black Hole Binaries around Supermassive Black Holes: Dynamical Evolution of Gravitational Wave Sources. Astrophys. J. 2020, 891, 47. [Google Scholar] [CrossRef] [Green Version]
- McKernan, B.; Ford, K.E.S.; Lyra, W.; Perets, H.B. Intermediate mass black holes in AGN discsI. Production and growth. Mon. Not. R. Astron. Soc. 2012, 425, 460–469. [Google Scholar] [CrossRef] [Green Version]
- McKernan, B.; Ford, K.E.S.; Bellovary, J.; Leigh, N.W.C.; Haiman, Z.; Kocsis, B.; Lyra, W.; Mac Low, M.M.; Metzger, B.; O’Dowd, M.; et al. Constraining Stellar-mass Black Hole Mergers in AGN Disks Detectable with LIGO. Astrophys. J. 2018, 866, 66. [Google Scholar] [CrossRef] [Green Version]
- Bartos, I.; Kocsis, B.; Haiman, Z.; Márka, S. Rapid and Bright Stellar-mass Binary Black Hole Mergers in Active Galactic Nuclei. Astrophys. J. 2017, 835, 165. [Google Scholar] [CrossRef] [Green Version]
- Stone, N.C.; Metzger, B.D.; Haiman, Z. Assisted inspirals of stellar mass black holes embedded in AGN discs: Solving the ‘final au problem’. Mon. Not. R. Astron. Soc. 2017, 464, 946–954. [Google Scholar] [CrossRef]
- Yang, Y.; Bartos, I.; Haiman, Z.; Kocsis, B.; Márka, Z.; Stone, N.C.; Márka, S. AGN Disks Harden the Mass Distribution of Stellar-mass Binary Black Hole Mergers. Astrophys. J. 2019, 876, 122. [Google Scholar] [CrossRef] [Green Version]
- Tagawa, H.; Haiman, Z.; Kocsis, B. Formation and Evolution of Compact Object Binaries in AGN Disks. arXiv 2019, arXiv:1912.08218. [Google Scholar]
- Miller, M.C.; Hamilton, D.P. Production of intermediate-mass black holes in globular clusters. Mon. Not. R. Astron. Soc. 2002, 330, 232–240. [Google Scholar] [CrossRef] [Green Version]
- Fishbach, M.; Holz, D.E.; Farr, B. Are LIGO’s Black Holes Made from Smaller Black Holes? Astrophys. J. Lett. 2017, 840, L24. [Google Scholar] [CrossRef]
- Gerosa, D.; Berti, E. Are merging black holes born from stellar collapse or previous mergers? Phys. Rev. D 2017, 95, 124046. [Google Scholar] [CrossRef] [Green Version]
- Doctor, Z.; Wysocki, D.; O’Shaughnessy, R.; Holz, D.E.; Farr, B. Black Hole Coagulation: Modeling Hierarchical Mergers in Black Hole Populations. Astrophys. J. 2020, 893, 35. [Google Scholar] [CrossRef] [Green Version]
- Kimball, C.; Talbot, C.; Berry, C.P.L.; Carney, M.; Zevin, M.; Thrane, E.; Kalogera, V. Black hole genealogy: Identifying hierarchical mergers with gravitational waves. arXiv 2020, arXiv:2005.00023. [Google Scholar] [CrossRef]
- Hills, J.G.; Fullerton, L.W. Computer simulations of close encounters between single stars and hard binaries. Astron. J. 1980, 85, 1281–1291. [Google Scholar] [CrossRef]
- Fitchett, M.J. The influence of gravitational wave momentum losses on the centre of mass motion of a Newtonian binay system. Mon. Not. R. Astron. Soc. 1983, 203, 1049–1062. [Google Scholar] [CrossRef]
- Favata, M.; Hughes, S.A.; Holz, D.E. How Black Holes Get Their Kicks: Gravitational Radiation Recoil Revisited. Astrophys. J. Lett. 2004, 607, L5–L8. [Google Scholar] [CrossRef] [Green Version]
- Campanelli, M.; Lousto, C.; Zlochower, Y.; Merritt, D. Large Merger Recoils and Spin Flips from Generic Black Hole Binaries. Astrophys. J. Lett. 2007, 659, L5–L8. [Google Scholar] [CrossRef] [Green Version]
- Lousto, C.O.; Zlochower, Y. Hangup Kicks: Still Larger Recoils by Partial Spin-Orbit Alignment of Black-Hole Binaries. Phys. Rev. Lett. 2011, 107, 231102. [Google Scholar] [CrossRef] [PubMed] [Green Version]
- Holley-Bockelmann, K.; Gültekin, K.; Shoemaker, D.; Yunes, N. Gravitational Wave Recoil and the Retention of Intermediate-Mass Black Holes. Astrophys. J. 2008, 686, 829–837. [Google Scholar] [CrossRef] [Green Version]
- Moody, K.; Sigurdsson, S. Modeling the Retention Probability of Black Holes in Globular Clusters: Kicks and Rates. Astrophys. J. 2009, 690, 1370–1377. [Google Scholar] [CrossRef] [Green Version]
- Fragione, G.; Ginsburg, I.; Kocsis, B. Gravitational Waves and Intermediate-mass Black Hole Retention in Globular Clusters. Astrophys. J. 2018, 856, 92. [Google Scholar] [CrossRef]
- Gerosa, D.; Berti, E. Escape speed of stellar clusters from multiple-generation black-hole mergers in the upper mass gap. arXiv 2019, arXiv:1906.05295. [Google Scholar] [CrossRef] [Green Version]
- Lousto, C.O.; Zlochower, Y.; Dotti, M.; Volonteri, M. Gravitational recoil from accretion-aligned black-hole binaries. Phys. Rev. D 2012, 85, 084015. [Google Scholar] [CrossRef] [Green Version]
- Maggiore, M. Gravitational Waves: Volume 2: Astrophysics and Cosmology; Gravitational Waves; Oxford University Press: Oxford, UK, 2018. [Google Scholar]
- Rodriguez, C.L.; Zevin, M.; Amaro-Seoane, P.; Chatterjee, S.; Kremer, K.; Rasio, F.A.; Ye, C.S. Black Holes: The Next Generation–Repeated Mergers in Dense Star Clusters and their Gravitational-Wave Properties. arXiv 2019, arXiv:1906.10260. [Google Scholar] [CrossRef] [Green Version]
- Arca-Sedda, M.; Capuzzo-Dolcetta, R. The MEGaN project II. Gravitational waves from intermediate-mass and binary black holes around a supermassive black hole. Mon. Not. R. Astron. Soc. 2019, 483, 152–171. [Google Scholar] [CrossRef]
- Antonini, F.; Gieles, M.; Gualandris, A. Black hole growth through hierarchical black hole mergers in dense star clusters: Implications for gravitational wave detections. Mon. Not. R. Astron. Soc. 2019, 486, 5008–5021. [Google Scholar] [CrossRef]
- Belczynski, K.; Heger, A.; Gladysz, W.; Ruiter, A.J.; Woosley, S.; Wiktorowicz, G.; Chen, H.Y.; Bulik, T.; O’Shaughnessy, R.; Holz, D.E.; et al. The effect of pair-instability mass loss on black-hole mergers. Astron. Astrophys. 2016, 594, A97. [Google Scholar] [CrossRef]
- Woosley, S.E. Pulsational Pair-instability Supernovae. Astrophys. J. 2017, 836, 244. [Google Scholar] [CrossRef] [Green Version]
- Spera, M.; Mapelli, M. Very massive stars, pair-instability supernovae and intermediate-mass black holes with the sevn code. Mon. Not. R. Astron. Soc. 2017, 470, 4739–4749. [Google Scholar] [CrossRef]
- Farmer, R.; Renzo, M.; de Mink, S.E.; Marchant, P.; Justham, S. Mind the Gap: The Location of the Lower Edge of the Pair-instability Supernova Black Hole Mass Gap. Astrophys. J. 2019, 887, 53. [Google Scholar] [CrossRef] [Green Version]
- Mapelli, M.; Spera, M.; Montanari, E.; Limongi, M.; Chieffi, A.; Giacobbo, N.; Bressan, A.; Bouffanais, Y. Impact of the Rotation and Compactness of Progenitors on the Mass of Black Holes. Astrophys. J. 2020, 888, 76. [Google Scholar] [CrossRef]
- Renzo, M.; Farmer, R.J.; Justham, S.; de Mink, S.E.; Götberg, Y.; Marchant, P. Sensitivity of the lower-edge of the pair instability black hole mass gap to the treatment of time dependent convection. Mon. Not. R. Astron. Soc. 2020, 493, 4333–4341. [Google Scholar] [CrossRef] [Green Version]
- Abbott, R.; Abbott, T.D.; Abraham, S.; Acernese, F.; Ackley, K.; Adams, C.; Adhikari, R.X.; Adya, V.B.; Affeldt, C.; Agathos, M.; et al. GW190521: A Binary Black Hole Merger with a Total Mass of 150 M⊙. Phys. Rev. Lett. 2020, 125, 101102. [Google Scholar] [CrossRef] [PubMed]
- Abbott, R.; Abbott, T.D.; Abraham, S.; Acernese, F.; Ackley, K.; Adams, C.; Adhikari, R.X.; Adya, V.B.; Affeldt, C.; Agathos, M.; et al. Properties and Astrophysical Implications of the 150 M⊙ Binary Black Hole Merger GW190521. Astrophys. J. Lett. 2020, 900, L13. [Google Scholar] [CrossRef]
- Kimball, C.; Talbot, C.; Berry, C.P.L.; Zevin, M.; Thrane, E.; Kalogera, V.; Buscicchio, R.; Carney, M.; Dent, T.; Middleton, H.; et al. Evidence for hierarchical black hole mergers in the second LIGO–Virgo gravitational-wave catalog. arXiv 2020, arXiv:2011.05332. [Google Scholar]
- Fragione, G.; Loeb, A.; Rasio, F.A. On the Origin of GW190521-like Events from Repeated Black Hole Mergers in Star Clusters. Astrophys. J. Lett. 2020, 902, L26. [Google Scholar] [CrossRef]
- Rizzuto, F.P.; Naab, T.; Spurzem, R.; Giersz, M.; Ostriker, J.P.; Stone, N.C.; Wang, L.; Berczik, P.; Rampp, M. Intermediate mass black hole formation in compact young massive star clusters. Mon. Not. R. Astron. Soc. 2021, 501, 5257–5273. [Google Scholar] [CrossRef]
- Liu, B.; Lai, D. Hierarchical Black-Hole Mergers in Multiple Systems: Constrain the Formation of GW190412, GW190814 and GW190521-like events. Mon. Not. R. Astron. Soc. 2021, 502, 2049–2064. [Google Scholar] [CrossRef]
- Mapelli, M.; Dall’Amico, M.; Bouffanais, Y.; Giacobbo, N.; Arca Sedda, M.; Artale, M.C.; Ballone, A.; Di Carlo, U.N.; Iorio, G.; Santoliquido, F.; et al. Hierarchical black hole mergers in young, globular and nuclear star clusters: The effect of metallicity, spin and cluster properties. Mon. Not. R. Astron. Soc. 2021, 505, 339–358. [Google Scholar] [CrossRef]
- Dall’Amico, M.; Mapelli, M.; Niccolò Di Carlo, U.; Bouffanais, Y.; Rastello, S.; Santoliquido, F.; Ballone, A.; Arca Sedda, M. GW190521 formation via three-body encounters in young massive star clusters. arXiv 2021, arXiv:2105.12757. [Google Scholar]
- Kremer, K.; Spera, M.; Becker, D.; Chatterjee, S.; Di Carlo, U.N.; Fragione, G.; Rodriguez, C.L.; Ye, C.S.; Rasio, F.A. Populating the Upper Black Hole Mass Gap through Stellar Collisions in Young Star Clusters. Astrophys. J. 2020, 903, 45. [Google Scholar] [CrossRef]
- Roupas, Z.; Kazanas, D. Generation of massive stellar black holes by rapid gas accretion in primordial dense clusters. Astron. Astrophys. 2019, 632, L8. [Google Scholar] [CrossRef] [Green Version]
- Rice, J.R.; Zhang, B. Growth of Stellar-mass Black Holes in Dense Molecular Clouds and GW190521. Astrophys. J. 2021, 908, 59. [Google Scholar] [CrossRef]
- Safarzadeh, M.; Haiman, Z. Formation of GW190521 via Gas Accretion onto Population III Stellar Black Hole Remnants Born in High-redshift Minihalos. Astrophys. J. Lett. 2020, 903, L21. [Google Scholar] [CrossRef]
- Palmese, A.; Conselice, C.J. GW190521 from the Merger of Ultra-Dwarf Galaxies. arXiv 2020, arXiv:2009.10688. [Google Scholar]
- Belczynski, K. The Most Ordinary Formation of the Most Unusual Double Black Hole Merger. Astrophys. J. Lett. 2020, 905, L15. [Google Scholar] [CrossRef]
- Farrell, E.; Groh, J.H.; Hirschi, R.; Murphy, L.; Kaiser, E.; Ekström, S.; Georgy, C.; Meynet, G. Is GW190521 the merger of black holes from the first stellar generations? Mon. Not. R. Astron. Soc. 2021, 502, L40–L44. [Google Scholar] [CrossRef]
- Tanikawa, A.; Kinugawa, T.; Yoshida, T.; Hijikawa, K.; Umeda, H. Population III Binary Black Holes: Effects of Convective Overshooting on Formation of GW190521. arXiv 2020, arXiv:2010.07616. [Google Scholar]
- Costa, G.; Bressan, A.; Mapelli, M.; Marigo, P.; Iorio, G.; Spera, M. Formation of GW190521 from stellar evolution: The impact of the hydrogen-rich envelope, dredge-up, and 12C(α, γ)16O rate on the pair-instability black hole mass gap. Mon. Not. R. Astron. Soc. 2021, 501, 4514–4533. [Google Scholar] [CrossRef]
- De Luca, V.; Desjacques, V.; Franciolini, G.; Pani, P.; Riotto, A. GW190521 Mass Gap Event and the Primordial Black Hole Scenario. Phys. Rev. Lett. 2021, 126, 051101. [Google Scholar] [CrossRef] [PubMed]
- Portegies Zwart, S.F.; McMillan, S.L.W.; Gieles, M. Young Massive Star Clusters. Annu. Rev. Astron. Astrophys. 2010, 48, 431–493. [Google Scholar] [CrossRef] [Green Version]
- Hurley, J.R.; Tout, C.A.; Pols, O.R. Evolution of binary stars and the effect of tides on binary populations. Mon. Not. R. Astron. Soc. 2002, 329, 897–928. [Google Scholar] [CrossRef]
- Smith, N. Mass Loss: Its Effect on the Evolution and Fate of High-Mass Stars. Annu. Rev. Astron. Astrophys. 2014, 52, 487–528. [Google Scholar] [CrossRef] [Green Version]
- Chen, Y.; Bressan, A.; Girardi, L.; Marigo, P.; Kong, X.; Lanza, A. PARSEC evolutionary tracks of massive stars up to 350 M⊙ at metallicities 0.0001 ≤ Z ≤ 0.04. Mon. Not. R. Astron. Soc. 2015, 452, 1068–1080. [Google Scholar] [CrossRef] [Green Version]
- Gräfener, G.; Hamann, W.R. Mass loss from late-type WN stars and its Z-dependence. Very massive stars approaching the Eddington limit. Astron. Astrophys. 2008, 482, 945–960. [Google Scholar] [CrossRef] [Green Version]
- Vink, J.S.; de Koter, A.; Lamers, H.J.G.L.M. Mass-loss predictions for O and B stars as a function of metallicity. Astron. Astrophys. 2001, 369, 574–588. [Google Scholar] [CrossRef]
- Vink, J.S.; Muijres, L.E.; Anthonisse, B.; de Koter, A.; Gräfener, G.; Langer, N. Wind modelling of very massive stars up to 300 solar masses. Astron. Astrophys. 2011, 531, A132. [Google Scholar] [CrossRef] [Green Version]
- Belczynski, K.; Bulik, T.; Fryer, C.L.; Ruiter, A.; Valsecchi, F.; Vink, J.S.; Hurley, J.R. On the Maximum Mass of Stellar Black Holes. Astrophys. J. 2010, 714, 1217–1226. [Google Scholar] [CrossRef] [Green Version]
- Hurley, J.R.; Pols, O.R.; Tout, C.A. Comprehensive analytic formulae for stellar evolution as a function of mass and metallicity. Mon. Not. R. Astron. Soc. 2000, 315, 543–569. [Google Scholar] [CrossRef] [Green Version]
- Fryer, C.L.; Belczynski, K.; Wiktorowicz, G.; Dominik, M.; Kalogera, V.; Holz, D.E. Compact Remnant Mass Function: Dependence on the Explosion Mechanism and Metallicity. Astrophys. J. 2012, 749, 91. [Google Scholar] [CrossRef]
- Timmes, F.X.; Woosley, S.E.; Weaver, T.A. The Neutron Star and Black Hole Initial Mass Function. Astrophys. J. 1996, 457, 834. [Google Scholar] [CrossRef] [Green Version]
- Zevin, M.; Spera, M.; Berry, C.P.L.; Kalogera, V. Exploring the Lower Mass Gap and Unequal Mass Regime in Compact Binary Evolution. arXiv 2020, arXiv:2006.14573. [Google Scholar] [CrossRef]
- Giacobbo, N.; Mapelli, M. The impact of electron-capture supernovae on merging double neutron stars. Mon. Not. R. Astron. Soc. 2019, 482, 2234–2243. [Google Scholar] [CrossRef] [Green Version]
- Giacobbo, N.; Mapelli, M. Revising Natal Kick Prescriptions in Population Synthesis Simulations. Astrophys. J. 2020, 891, 141. [Google Scholar] [CrossRef] [Green Version]
- Webbink, R.F. Double white dwarfs as progenitors of R Coronae Borealis stars and Type I supernovae. Astrophys. J. 1984, 277, 355–360. [Google Scholar] [CrossRef]
- Ivanova, N.; Justham, S.; Chen, X.; De Marco, O.; Fryer, C.L.; Gaburov, E.; Ge, H.; Glebbeek, E.; Han, Z.; Li, X.D.; et al. Common envelope evolution: Where we stand and how we can move forward. Astron. Astrophys. Rev. 2013, 21, 59. [Google Scholar] [CrossRef] [Green Version]
- Fragos, T.; Andrews, J.J.; Ramirez-Ruiz, E.; Meynet, G.; Kalogera, V.; Taam, R.E.; Zezas, A. The Complete Evolution of a Neutron-star Binary through a Common Envelope Phase Using 1D Hydrodynamic Simulations. Astrophys. J. Lett. 2019, 883, L45. [Google Scholar] [CrossRef] [Green Version]
- Gratton, R.; Sneden, C.; Carretta, E. Abundance Variations Within Globular Clusters. Annu. Rev. Astron. Astrophys. 2004, 42, 385–440. [Google Scholar] [CrossRef] [Green Version]
- Fiorentino, G.; Contreras Ramos, R.; Clementini, G.; Marconi, M.; Musella, I.; Aloisi, A.; Annibali, F.; Saha, A.; Tosi, M.; van der Marel, R.P. Multi-Epoch Hubble Space Telescope Observations of IZw18: Characterization of Variable Stars at Ultra-Low Metallicities. Astrophys. J. 2010, 711, 808–817. [Google Scholar] [CrossRef] [Green Version]
- Peters, P.C. Gravitational Radiation and the Motion of Two Point Masses. Phys. Rev. 1964, 136, 1224–1232. [Google Scholar] [CrossRef]
- Fuller, J.; Ma, L. Most Black Holes Are Born Very Slowly Rotating. Astrophys. J. Lett. 2019, 881, L1. [Google Scholar] [CrossRef] [Green Version]
- Belczynski, K.; Klencki, J.; Fields, C.E.; Olejak, A.; Berti, E.; Meynet, G.; Fryer, C.L.; Holz, D.E.; O’Shaughnessy, R.; Brown, D.A.; et al. Evolutionary roads leading to low effective spins, high black hole masses, and O1/O2 rates for LIGO/Virgo binary black holes. Astron. Astrophys. 2020, 636, A104. [Google Scholar] [CrossRef]
- Qin, Y.; Fragos, T.; Meynet, G.; Andrews, J.; Sørensen, M.; Song, H.F. The spin of the second-born black hole in coalescing binary black holes. Astron. Astrophys. 2018, 616, A28. [Google Scholar] [CrossRef]
- Qin, Y.; Marchant, P.; Fragos, T.; Meynet, G.; Kalogera, V. On the Origin of Black Hole Spin in High-mass X-Ray Binaries. Astrophys. J. Lett. 2019, 870, L18. [Google Scholar] [CrossRef]
- Kroupa, P. On the variation of the initial mass function. Mon. Not. R. Astron. Soc. 2001, 322, 231–246. [Google Scholar] [CrossRef]
- Sana, H.; de Mink, S.E.; de Koter, A.; Langer, N.; Evans, C.J.; Gieles, M.; Gosset, E.; Izzard, R.G.; Le Bouquin, J.B.; Schneider, F.R.N. Binary Interaction Dominates the Evolution of Massive Stars. Science 2012, 337, 444. [Google Scholar] [CrossRef] [Green Version]
- Lousto, C.O.; Zlochower, Y. Modeling gravitational recoil from precessing highly spinning unequal-mass black-hole binaries. Phys. Rev. D 2009, 79, 064018. [Google Scholar] [CrossRef] [Green Version]
- Lousto, C.O.; Zlochower, Y. Further insight into gravitational recoil. Phys. Rev. D 2008, 77, 044028. [Google Scholar] [CrossRef] [Green Version]
- Kidder, L.E. Coalescing binary systems of compact objects to (post)5/2-Newtonian order. V. Spin effects. Phys. Rev. D 1995, 52, 821–847. [Google Scholar] [CrossRef] [PubMed] [Green Version]
- Harris, W.E.; Harris, G.L.H.; Alessi, M. A Catalog of Globular Cluster Systems: What Determines the Size of a Galaxy’s Globular Cluster Population? Astrophys. J. 2013, 772, 82. [Google Scholar] [CrossRef] [Green Version]
- Jiménez-Forteza, X.; Keitel, D.; Husa, S.; Hannam, M.; Khan, S.; Pürrer, M. Hierarchical data-driven approach to fitting numerical relativity data for nonprecessing binary black holes with an application to final spin and radiated energy. Phys. Rev. D 2017, 95, 064024. [Google Scholar] [CrossRef] [Green Version]
- Rezzolla, L.; Barausse, E.; Dorband, E.N.; Pollney, D.; Reisswig, C.; Seiler, J.; Husa, S. Final spin from the coalescence of two black holes. Phys. Rev. D 2008, 78, 044002. [Google Scholar] [CrossRef] [Green Version]
- Hofmann, F.; Barausse, E.; Rezzolla, L. The Final Spin from Binary Black Holes in Quasi-circular Orbits. Astrophys. J. Lett. 2016, 825, L19. [Google Scholar] [CrossRef]
- Piran, T. The Implications of the Compton (GRO) Observations for Cosmological Gamma-Ray Bursts. Astrophys. J. Lett. 1992, 389, L45. [Google Scholar] [CrossRef]
- Totani, T.; Morokuma, T.; Oda, T.; Doi, M.; Yasuda, N. Delay Time Distribution Measurement of Type Ia Supernovae by the Subaru/XMM-Newton Deep Survey and Implications for the Progenitor. Publ. Astron. Soc. Jpn. 2008, 60, 1327. [Google Scholar] [CrossRef] [Green Version]
- Wang, F.Y.; Wang, Y.Y.; Yang, Y.P.; Yu, Y.W.; Zuo, Z.Y.; Dai, Z.G. Fast Radio Bursts from Activity of Neutron Stars Newborn in BNS Mergers: Offset, Birth Rate, and Observational Properties. Astrophys. J. 2020, 891, 72. [Google Scholar] [CrossRef] [Green Version]
- Chandrasekhar, S. Stochastic Problems in Physics and Astronomy. Rev. Mod. Phys. 1943, 15, 1–89. [Google Scholar] [CrossRef]
- Lee, H.M. Evolution of galactic nuclei with 10-M_ black holes. Mon. Not. R. Astron. Soc. 1995, 272, 605–617. [Google Scholar] [CrossRef]
- Spitzer, L. Dynamical Evolution of Globular Clusters; Princeton University Press: Princeton, NJ, USA, 1987. [Google Scholar]
- Gratton, R.G.; Fusi Pecci, F.; Carretta, E.; Clementini, G.; Corsi, C.E.; Lattanzi, M. Ages of Globular Clusters from HIPPARCOS Parallaxes of Local Subdwarfs. Astrophys. J. 1997, 491, 749–771. [Google Scholar] [CrossRef]
- Gratton, R.G.; Bragaglia, A.; Carretta, E.; Clementini, G.; Desidera, S.; Grundahl, F.; Lucatello, S. Distances and ages of NGC 6397, NGC 6752 and 47 Tuc. Astron. Astrophys. 2003, 408, 529–543. [Google Scholar] [CrossRef] [Green Version]
- VandenBerg, D.A.; Brogaard, K.; Leaman, R.; Casagrande, L. The Ages of 55 Globular Clusters as Determined Using an Improved Method along with Color-Magnitude Diagram Constraints, and Their Implications for Broader Issues. Astrophys. J. 2013, 775, 134. [Google Scholar] [CrossRef]
- Tremaine, S.D.; Ostriker, J.P.; Spitzer, L.J. The formation of the nuclei of galaxies. I. M31. Astrophys. J. 1975, 196, 407–411. [Google Scholar] [CrossRef]
- Capuzzo-Dolcetta, R. The Evolution of the Globular Cluster System in a Triaxial Galaxy: Can a Galactic Nucleus Form by Globular Cluster Capture? Astrophys. J. 1993, 415, 616. [Google Scholar] [CrossRef]
- Capuzzo-Dolcetta, R.; Miocchi, P. Self-consistent simulations of nuclear cluster formation through globular cluster orbital decay and merging. Mon. Not. R. Astron. Soc. 2008, 388, L69–L73. [Google Scholar] [CrossRef] [Green Version]
- Antonini, F.; Capuzzo-Dolcetta, R.; Mastrobuono-Battisti, A.; Merritt, D. Dissipationless Formation and Evolution of the Milky Way Nuclear Star Cluster. Astrophys. J. 2012, 750, 111. [Google Scholar] [CrossRef] [Green Version]
- Antonini, F. Origin and Growth of Nuclear Star Clusters around Massive Black Holes. Astrophys. J. 2013, 763, 62. [Google Scholar] [CrossRef] [Green Version]
- Arca-Sedda, M.; Capuzzo-Dolcetta, R. The globular cluster migratory origin of nuclear star clusters. Mon. Not. R. Astron. Soc. 2014, 444, 3738–3755. [Google Scholar] [CrossRef] [Green Version]
- Arca-Sedda, M.; Capuzzo-Dolcetta, R.; Antonini, F.; Seth, A. Henize 2-10: The Ongoing Formation of a Nuclear Star Cluster around a Massive Black Hole. Astrophys. J. 2015, 806, 220. [Google Scholar] [CrossRef] [Green Version]
- Mapelli, M.; Hayfield, T.; Mayer, L.; Wadsley, J. In Situ Formation of SgrA* Stars Via Disk Fragmentation: Parent Cloud Properties and Thermodynamics. Astrophys. J. 2012, 749, 168. [Google Scholar] [CrossRef] [Green Version]
- Neumayer, N.; Seth, A.; Böker, T. Nuclear star clusters. Astron. Astrophys. Rev. 2020, 28, 4. [Google Scholar] [CrossRef]
- Ade, P.A.R.; Aghanim, N.; Zonca, A.E.A. Planck 2015 results. XIII. Cosmological parameters. Astron. Astrophys. 2016, 594, A13. [Google Scholar] [CrossRef] [Green Version]
- Madau, P.; Fragos, T. Radiation Backgrounds at Cosmic Dawn: X-Rays from Compact Binaries. Astrophys. J. 2017, 840, 39. [Google Scholar] [CrossRef] [Green Version]
- Santoliquido, F.; Mapelli, M.; Bouffanais, Y.; Giacobbo, N.; Di Carlo, U.N.; Rastello, S.; Artale, M.C.; Ballone, A. The cosmic merger rate density evolution of compact binaries formed in young star clusters and in isolated binaries. Astrophys. J. 2020, 898, 152. [Google Scholar] [CrossRef]
- Ng, K.K.Y.; Vitale, S.; Farr, W.M.; Rodriguez, C.L. Probing Multiple Populations of Compact Binaries with Third-generation Gravitational-wave Detectors. Astrophys. J. Lett. 2021, 913, L5. [Google Scholar] [CrossRef]
- Porciani, C.; Madau, P. On the Association of Gamma-Ray Bursts with Massive Stars: Implications for Number Counts and Lensing Statistics. Astrophys. J. 2001, 548, 522–531. [Google Scholar] [CrossRef] [Green Version]
- Palmerio, J.T.; Vergani, S.D.; Salvaterra, R.; Sanders, R.L.; Japelj, J.; Vidal-García, A.; D’Avanzo, P.; Corre, D.; Perley, D.A.; Shapley, A.E.; et al. Are long gamma-ray bursts biased tracers of star formation? Clues from the host galaxies of the Swift/BAT6 complete sample of bright LGRBs. III. Stellar masses, star formation rates, and metallicities at z > 1. Astron. Astrophys. 2019, 623, A26. [Google Scholar] [CrossRef]
- Ferrarese, L.; Merritt, D. A Fundamental Relation between Supermassive Black Holes and Their Host Galaxies. Astrophys. J. Lett. 2000, 539, L9–L12. [Google Scholar] [CrossRef] [Green Version]
- Gebhardt, K.; Bender, R.; Bower, G.; Dressler, A.; Faber, S.M.; Filippenko, A.V.; Green, R.; Grillmair, C.; Ho, L.C.; Kormendy, J.; et al. A Relationship between Nuclear Black Hole Mass and Galaxy Velocity Dispersion. Astrophys. J. Lett. 2000, 539, L13–L16. [Google Scholar] [CrossRef] [Green Version]
- Graham, A.W.; Spitler, L.R. Quantifying the coexistence of massive black holes and dense nuclear star clusters. Mon. Not. R. Astron. Soc. 2009, 397, 2148–2162. [Google Scholar] [CrossRef] [Green Version]
- Loredo, T.J. Accounting for source uncertainties in analyses of astronomical survey data. AIP Conf. Proc. 2004, 735, 195–206. [Google Scholar] [CrossRef] [Green Version]
- Mandel, I.; Farr, W.M.; Gair, J.R. Extracting distribution parameters from multiple uncertain observations with selection biases. Mon. Not. R. Astron. Soc. 2019, 486, 1086–1093. [Google Scholar] [CrossRef] [Green Version]
- Bouffanais, Y.; Mapelli, M.; Santoliquido, F.; Giacobbo, N.; Di Carlo, U.N.; Rastello, S.; Artale, M.C.; Iorio, G. New insights on binary black hole formation channels after GWTC-2: Young star clusters versus isolated binaries. Mon. Not. R. Astron. Soc. 2021, in press. [Google Scholar] [CrossRef]
- Wong, K.W.K.; Breivik, K.; Kremer, K.; Callister, T. Joint constraints on the field-cluster mixing fraction, common envelope efficiency, and globular cluster radii from a population of binary hole mergers via deep learning. Phys. Rev. D 2021, 103, 083021. [Google Scholar] [CrossRef]
- Zevin, M.; Bavera, S.S.; Berry, C.P.L.; Kalogera, V.; Fragos, T.; Marchant, P.; Rodriguez, C.L.; Antonini, F.; Holz, D.E.; Pankow, C. One Channel to Rule Them All? Constraining the Origins of Binary Black Holes Using Multiple Formation Pathways. Astrophys. J. 2021, 910, 152. [Google Scholar] [CrossRef]
- Callister, T.A.; Farr, W.M.; Renzo, M. State of the field: Binary black hole natal kicks and prospects for isolated field formation after GWTC-2. arXiv 2020, arXiv:2011.09570. [Google Scholar]
- Santoliquido, F.; Mapelli, M.; Giacobbo, N.; Bouffanais, Y.; Artale, M.C. The cosmic merger rate density of compact objects: Impact of star formation, metallicity, initial mass function, and binary evolution. Mon. Not. R. Astron. Soc. 2021, 502, 4877–4889. [Google Scholar] [CrossRef]
- Broekgaarden, F.S.; Berger, E.; Neijssel, C.J.; Vigna-Gómez, A.; Chattopadhyay, D.; Stevenson, S.; Chruslinska, M.; Justham, S.; de Mink, S.E.; Mandel, I. Impact of Massive Binary Star and Cosmic Evolution on Gravitational Wave Observations I: Black HoleNeutron Star Mergers. arXiv 2021, arXiv:2103.02608. [Google Scholar]
- Breen, P.G.; Heggie, D.C. Dynamical evolution of black hole subsystems in idealized star clusters. Mon. Not. R. Astron. Soc. 2013, 432, 2779–2797. [Google Scholar] [CrossRef] [Green Version]
- Breen, P.G.; Heggie, D.C. On black hole subsystems in idealized nuclear star clusters. Mon. Not. R. Astron. Soc. 2013, 436, 584–589. [Google Scholar] [CrossRef] [Green Version]
- Morscher, M.; Pattabiraman, B.; Rodriguez, C.; Rasio, F.A.; Umbreit, S. The Dynamical Evolution of Stellar Black Holes in Globular Clusters. Astrophys. J. 2015, 800, 9. [Google Scholar] [CrossRef] [Green Version]
- Wang, L. The survival of star clusters with black hole subsystems. Mon. Not. R. Astron. Soc. 2020, 491, 2413–2423. [Google Scholar] [CrossRef] [Green Version]
- Hénon, M. Sur l’évolution dynamique des amas globulaires. II. Amas isolé. Ann. D’Astrophys. 1965, 28, 62. [Google Scholar]
- Yang, Y.; Bartos, I.; Haiman, Z.; Kocsis, B.; Márka, S.; Tagawa, H. Cosmic Evolution of Stellar-mass Black Hole Merger Rate in Active Galactic Nuclei. arXiv 2020, arXiv:2003.08564. [Google Scholar] [CrossRef]












| Run Name | [Myr] | ||||||
|---|---|---|---|---|---|---|---|
| 1g | 1g | 1g | 1g | Ng | Ng | NSC, GC, YSC | |
| Fiducial, A5F05 | 5.0 | 0.5 | Equation (6) | 0.2 | uniform | 10 | , , |
| A5F01 | 5.0 | 0.1 | Equation (6) | 0.2 | uniform | 10 | , , |
| A5F1 | 5.0 | 1.0 | Equation (6) | 0.2 | uniform | 10 | , , |
| A1F01 | 1.0 | 0.1 | Equation (6) | 0.2 | uniform | 10 | , , |
| A1F05 | 1.0 | 0.5 | Equation (6) | 0.2 | uniform | 10 | , , |
| A1F1 | 1.0 | 1.0 | Equation (6) | 0.2 | uniform | 10 | , , |
| A10F01 | 10.0 | 0.1 | Equation (6) | 0.2 | uniform | 10 | , , |
| A10F05 | 10.0 | 0.5 | Equation (6) | 0.2 | uniform | 10 | , , |
| A10F1 | 10.0 | 1.0 | Equation (6) | 0.2 | uniform | 10 | , , |
| HIGH_MASS | – | – | 0.2 | uniform | 10 | , , | |
| SMALL_M2 | 5.0 | 0.5 | Equation (6) | 0.2 | mobse | 10 | , , |
| LOW_SPIN | 5.0 | 0.5 | Equation (6) | 0.01 | uniform | 10 | , , |
| HIGH_SPIN | 5.0 | 0.5 | Equation (6) | 0.4 | uniform | 10 | , , |
| SHORT_DELAY | 5.0 | 0.5 | Equation (6) | 0.2 | uniform | 0.1 | , , |
| LONG_DELAY | 5.0 | 0.5 | Equation (6) | 0.2 | uniform | 100 | , , |
| BROAD_VESC | 5.0 | 0.5 | Equation (6) | 0.2 | uniform | 10 | , , |
| NARROW_VESC | 5.0 | 0.5 | Equation (6) | 0.2 | uniform | 10 | , , |
| Run Name | Star Cluster | |||
|---|---|---|---|---|
| Fiducial, A5F05 | NSC | |||
| GC | ||||
| YSC | ||||
| A5F01 | NSC | |||
| GC | ||||
| YSC | ||||
| A5F1 | NSC | |||
| GC | ||||
| YSC | ||||
| HIGH_MASS | NSC | |||
| GC | ||||
| YSC | ||||
| SMALL_M2 | NSC | |||
| GC | ||||
| YSC | ||||
| LOW_SPIN | NSC | |||
| GC | ||||
| YSC | ||||
| HIGH_SPIN | NSC | |||
| GC | ||||
| YSC | ||||
| SHORT_DELAY | NSC | |||
| GC | ||||
| YSC | ||||
| LONG_DELAY | NSC | |||
| GC | ||||
| YSC | ||||
| BROAD_VESC | NSC | |||
| GC | ||||
| YSC | ||||
| NARROW_VESC | NSC | |||
| GC | ||||
| YSC |
Publisher’s Note: MDPI stays neutral with regard to jurisdictional claims in published maps and institutional affiliations. |
© 2021 by the authors. Licensee MDPI, Basel, Switzerland. This article is an open access article distributed under the terms and conditions of the Creative Commons Attribution (CC BY) license (https://creativecommons.org/licenses/by/4.0/).
Share and Cite
Mapelli, M.; Santoliquido, F.; Bouffanais, Y.; Arca Sedda, M.; Artale, M.C.; Ballone, A. Mass and Rate of Hierarchical Black Hole Mergers in Young, Globular and Nuclear Star Clusters. Symmetry 2021, 13, 1678. https://doi.org/10.3390/sym13091678
Mapelli M, Santoliquido F, Bouffanais Y, Arca Sedda M, Artale MC, Ballone A. Mass and Rate of Hierarchical Black Hole Mergers in Young, Globular and Nuclear Star Clusters. Symmetry. 2021; 13(9):1678. https://doi.org/10.3390/sym13091678
Chicago/Turabian StyleMapelli, Michela, Filippo Santoliquido, Yann Bouffanais, Manuel Arca Sedda, Maria Celeste Artale, and Alessandro Ballone. 2021. "Mass and Rate of Hierarchical Black Hole Mergers in Young, Globular and Nuclear Star Clusters" Symmetry 13, no. 9: 1678. https://doi.org/10.3390/sym13091678
APA StyleMapelli, M., Santoliquido, F., Bouffanais, Y., Arca Sedda, M., Artale, M. C., & Ballone, A. (2021). Mass and Rate of Hierarchical Black Hole Mergers in Young, Globular and Nuclear Star Clusters. Symmetry, 13(9), 1678. https://doi.org/10.3390/sym13091678

