Wormhole Solutions in Symmetric Teleparallel Gravity with Noncommutative Geometry
Abstract
:1. Introduction
2. Basic Field Equations in Gravity
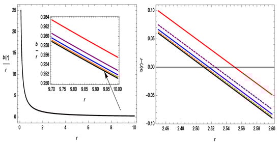
3. Basic Conditions for Traversable Wormholes
- Throat condition: and should be less than r for .
- Flare-out condition: , i.e., , where represents the derivative with respect to r.
- Asymptotic flatness condition: as .
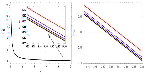
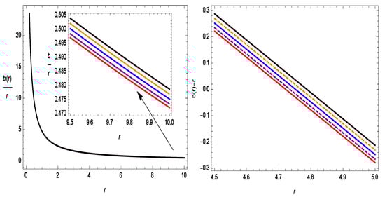
3.1. Wormhole Geometries in Gravity
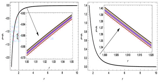
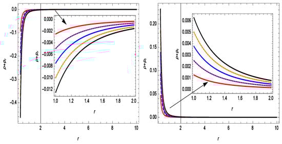
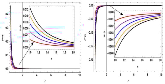
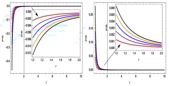
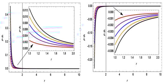
3.2. Energy Conditions
- Strong energy condition (SEC) if , , .
- Weak energy condition (WEC) if , , .
- Null energy condition (NEC) if , .
- Dominant energy condition (DEC) if , , .
4. The Study of Traversable Wormholes with Noncommutative Gaussian and Lorentzian Geometries
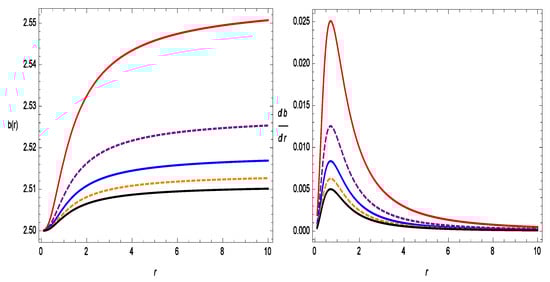
4.1. Gaussian and Lorentzian Distributions with Linear Symmetric Teleparallel Gravity
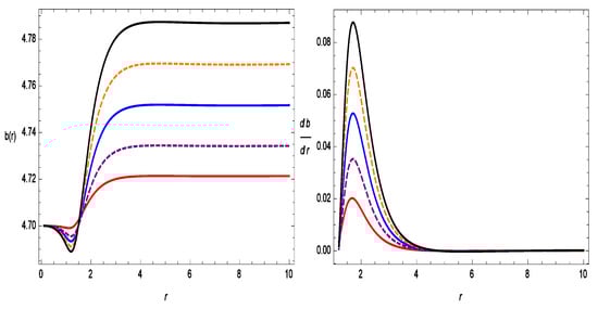
4.2. Gaussian and Lorentzian Distributions with Exponential Symmetric Teleparallel Gravity
5. Stability of the Gaussian and Lorentzian Wormhole Models
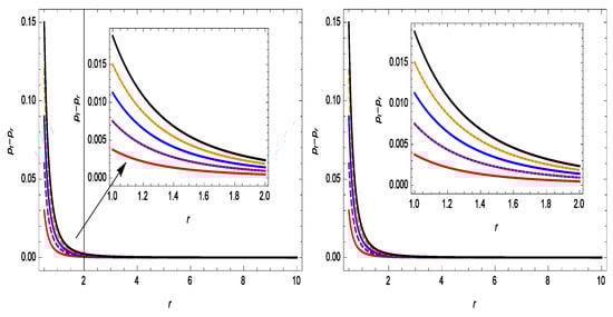
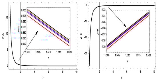
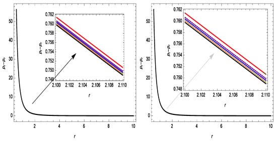
6. Anisotropy Analysis
7. Conclusions and Discussions
Author Contributions
Funding
Institutional Review Board Statement
Informed Consent Statement
Data Availability Statement
Acknowledgments
Conflicts of Interest
References
- Flamm, L. Beiträge zur Einsteinschen Gravitationstheorie. Phys. Z. 1916, 17, 448–454. [Google Scholar]
- Misner, C.W.; Wheeler, J.A. Classical physics as geometry. Ann. Phys. 1957, 2, 525–603. [Google Scholar] [CrossRef]
- Morris, M.S.; Thorne, K.S. Wormholes in spacetime and their use for interstellar travel: A tool for teaching general relativity. Am. J. Phys. 1988, 56, 395. [Google Scholar] [CrossRef] [Green Version]
- Einstein, A.; Rosen, N. The Particle Problem in the General Theory of Relativity. Phys. Rev. 1935, 48, 73. [Google Scholar] [CrossRef]
- Saiedi, H. Thermodynamics of Evolving Lorentzian Wormhole at Apparent Horizon in f(R) theory of gravity. Mod. Phys. Lett. A 2012, 27, 1250220. [Google Scholar] [CrossRef] [Green Version]
- B<i>o</i>¨hmer, C.G.; Harko, T.; Lobo, F.S.N. Wormhole geometries in modified teleparallel gravity and the energy conditions. Phys. Rev. D 2012, 85, 044033. [Google Scholar]
- Lobo, F.S.N.; Oliveira, M.A. Wormhole geometries in f(R) modified theories of gravity. Phys. Rev. D 2009, 80, 104012. [Google Scholar] [CrossRef] [Green Version]
- Azizi, T. Wormhole Geometries in f(R,T) Gravity. Int. J. Theor. Phys. 2013, 52, 3486–3493. [Google Scholar] [CrossRef] [Green Version]
- DeBenedictis, A.; Horvat, D. On wormhole throats in f(R) gravity theory. Gen. Relat. Gravit. 2012, 44, 2711–2744. [Google Scholar] [CrossRef]
- Garcia, N.M.; Lobo, F.S.N. Exact solutions of Brane–Dicke wormholes in the presence of matter. Mod. Phys. Lett. A 2011, 40, 3067. [Google Scholar] [CrossRef] [Green Version]
- Jamil, M.; Momeni, D.; Myrzakulov, R. Wormholes in a viable f(T) gravity. Eur. Phys. J. C 2013, 73, 2267. [Google Scholar] [CrossRef] [Green Version]
- Jimenez, J.B.; Heisenberg, L.; Koivisto, T. Coincident general relativity. Phys. Rev. D 2018, 98, 044048. [Google Scholar] [CrossRef] [Green Version]
- Harko, T.; Koivisto, T.S.; Lobo, F.S.N.; Olmo, G.J.; Garcia, D.R. Coupling matter in modified Q gravity. Phys. Rev. D 2018, 98, 084043. [Google Scholar] [CrossRef] [Green Version]
- Mandal, S.; Sahoo, P.K.; Santos, J.R.L. Energy conditions in f(Q) gravity. Phys. Rev. D 2020, 102, 024057. [Google Scholar] [CrossRef]
- Barros, B.J.; Barreiro, T.; Koivisto, T.; Nunes, N.J. Testing F(Q) gravity with redshift space distortions. Phys. Dark Universe 2020, 30, 100616. [Google Scholar] [CrossRef]
- Solanki, R.; Pacif, S.K.J.; Parida, A.; Sahoo, P.K. Cosmic acceleration with bulk viscosity in modified f(Q) gravity. Phys. Dark. Universe 2021, 32, 100820. [Google Scholar] [CrossRef]
- Mandal, S.; Wang, D.; Sahoo, P.K. Cosmography in f(Q) gravity. Phys. Rev. D 2020, 102, 124029. [Google Scholar] [CrossRef]
- Lazkoz, R.; Lobo, F.S.N.; Banos, M.O.; Salzano, V. Observational constraints of f(Q) gravity. Phys. Rev. D 2019, 100, 104027. [Google Scholar] [CrossRef] [Green Version]
- Jimenez, J.B.; Heisenberg, L.; Koivisto, T.; Pekar, S. Cosmology in f(Q) geometry. Phys. Rev. D 2020, 101, 103507. [Google Scholar] [CrossRef]
- Hassan, Z.; Mandal, S.; Sahoo, P.K. Traversable wormhole geometries in f(Q) gravity. Fortschr. Phys. 2021, 69, 2100023. [Google Scholar] [CrossRef]
- Nicolini, P.; Smailagic, A.; Spalluci, E. Noncommutative geometry inspired Schwarzschild black hole. Phys. Lett. B 2006, 632, 547–551. [Google Scholar] [CrossRef] [Green Version]
- Schneider, M.; DeBenedictis, A. Noncommutative black holes of various genera in the connection formalism. Phys. Rev. D 2020, 102, 024030. [Google Scholar] [CrossRef]
- Seiberg, N.; Witten, E. String theory and noncommutative geometry. J. High Energy Phys. 1999, 9, 32. [Google Scholar] [CrossRef] [Green Version]
- Gruppuso, A. Newton’s law in an effective non-commutative space–time. J. Phys. A Math. Gen. 2005, 38, 2039. [Google Scholar] [CrossRef] [Green Version]
- Smailagic, A.; Spallucci, E. Feynman path integral on the non-commutative plane. J. Phys. A Math. Gen. 2003, 36, L467. [Google Scholar] [CrossRef] [Green Version]
- Rahaman, F.; Islam, S.; Kuhfittig, P.K.F.; Ray, S. Searching for higher-dimensional wormholes with noncommutative geometry. Phys. Rev. D 2012, 86, 106010. [Google Scholar] [CrossRef] [Green Version]
- Sushkov, S. Wormholes supported by a phantom energy. Phys. Rev. D 2005, 71, 043520. [Google Scholar] [CrossRef] [Green Version]
- Nicolini, P.; Spalluci, E. Noncommutative geometry-inspired dirty black holes. Class. Quant. Grav. 2010, 27, 015010. [Google Scholar] [CrossRef] [Green Version]
- Abreu, E.M.C.; Sasaki, N. Noncommutative wormholes and the energy conditions. arXiv 2012, arXiv:1207.7130. [Google Scholar]
- Jamil, M.; Rahaman, F.; Myrzakulov, R.; Kuhfittig, P.K.F.; Ahmed, N.; Mondal, U.F. Nonommutative wormholes in f(R) gravity. arXiv 2013, arXiv:1304.2240. [Google Scholar] [CrossRef]
- Raychaudhuri, A. Relativistic Cosmology. I. Phys. Rev. D 1955, 98, 1123. [Google Scholar] [CrossRef]
- Nojiri, S.; Odintsov, S.D. Introduction to modified gravity and gravitational alternative for dark energy. Int. J. Geom. Methods Mod. Phys. 2007, 4, 115–145. [Google Scholar] [CrossRef] [Green Version]
- Ehlers, J.A.K. Raychaudhuri and his equation. Int. J. Mod. Phys. D 2006, 15, 1573–1580. [Google Scholar] [CrossRef] [Green Version]
- Elizalde, E.; Khurshudyan, M. Wormhole models in f(R,T) gravity. Int. J. Mod. Phys. D 2019, 28, 1950172. [Google Scholar] [CrossRef]
- Elizalde, E.; Nojiri, S.; Odintsov, S.D.; Sebastiani, L.; Zerbini, S. Nonsingular exponential gravity: A simple theory for early- and late-time accelerated expansion. Phys. Rev. D 2011, 83, 086006. [Google Scholar] [CrossRef] [Green Version]
- Oppenheimer, J.R.; Volkoff, G.M. On Massive Neutron Cores. Phys. Rev. 1939, 55, 374. [Google Scholar] [CrossRef]
- Kuhfittig, P.K.F. A note on the stability of Morris-Thorne wormholes. arXiv 2020, arXiv:2009.11179v1. [Google Scholar]
- Gorini, V.; Moschella, U.; Kamenshchik, A.Y.; Pasquier, V.; Starobinsky, A.A. Tolman-Oppenheimer-Volkoff equations in the presence of the Chaplygin gas: Stars and wormholelike solutions. Phys. Rev. D 2008, 78, 064064. [Google Scholar] [CrossRef] [Green Version]
























Publisher’s Note: MDPI stays neutral with regard to jurisdictional claims in published maps and institutional affiliations. |
© 2021 by the authors. Licensee MDPI, Basel, Switzerland. This article is an open access article distributed under the terms and conditions of the Creative Commons Attribution (CC BY) license (https://creativecommons.org/licenses/by/4.0/).
Share and Cite
Hassan, Z.; Mustafa, G.; Sahoo, P.K. Wormhole Solutions in Symmetric Teleparallel Gravity with Noncommutative Geometry. Symmetry 2021, 13, 1260. https://doi.org/10.3390/sym13071260
Hassan Z, Mustafa G, Sahoo PK. Wormhole Solutions in Symmetric Teleparallel Gravity with Noncommutative Geometry. Symmetry. 2021; 13(7):1260. https://doi.org/10.3390/sym13071260
Chicago/Turabian StyleHassan, Zinnat, Ghulam Mustafa, and Pradyumn Kumar Sahoo. 2021. "Wormhole Solutions in Symmetric Teleparallel Gravity with Noncommutative Geometry" Symmetry 13, no. 7: 1260. https://doi.org/10.3390/sym13071260
APA StyleHassan, Z., Mustafa, G., & Sahoo, P. K. (2021). Wormhole Solutions in Symmetric Teleparallel Gravity with Noncommutative Geometry. Symmetry, 13(7), 1260. https://doi.org/10.3390/sym13071260

