Abstract
We review some of the main achievements of the orbit method, when applied to Poisson–Lie groups and Poisson homogeneous spaces or spaces with an invariant Poisson structure. We consider -algebra quantization obtained through groupoid techniques, and we try to put the results obtained in algebraic or representation theoretical contexts in relation with groupoid quantization.
1. Introduction
The name “orbit method” is attached to a variety of techniques linking the study of irreducible representations of an algebra with geometric data. In its original form, in fact, it was introduced to understand how representation theory of a Lie algebra could be described in terms of its coadjoint orbits and proved to be very effective in the nilpotent and solvable case, but was not limited to them and provided a general framework for describing the semisimple case as well. If words like “method” and “framework” may seem a bit vague, it has to be said this is not by chance. As mentioned by one of its pioneers, A. Kirillov [1], the recipes the method provides are far from accurate, sometimes wrong or need corrections and modifications, and are usually difficult to transform into rigorous proofs. Despite these drawbacks, it provides an illuminating guide, or, to cite another of the heroes of its study, David Vogan, a “spoiled treasure map”, parts of which are pretty well understood, while others point towards unknown roads [2]. It is by now well known that, in a nutshell, the orbit method can be seen as an instance of a quantization problem: recognizing geometrical features of a Poisson manifold in terms of the algebraic properties of its quantization. The case of Lie groups can fit into this framework by considering the universal enveloping algebra as an algebraic quantization of the linear Poisson structure on the dual Lie algebra . For this reason, the orbit method applied to quantum groups and their homogeneous spaces, although often labeled as the quantum orbit method [3,4], should, more correctly, be considered a nonlinear version of the classical orbit method.
In [5], we outlined a program to describe an orbit method type correspondence between symplectic leaves of a Poisson manifold and the unitary dual of its quantized -algebra when the quantization procedure to be taken into consideration is the geometric quantization applied to the symplectic groupoid, as first introduced in [6] and later modified by [7].
Our Poisson manifolds will not be arbitrary ones; we rather concentrate on examples characterized by the presence of a wide array of symmetries, describing some ongoing work and various open questions.
2. Quantization via Symplectic Groupoid
The purpose of this section is to give a short introduction to the quantization program for Poisson manifolds via a symplectic groupoid. This quantization procedure was independently introduced by Karasaev, Weinstein. and Zakrzewski in the 1980s, and it is based on the so-called symplectic integration. We will follow the theory as later developed by [7].
To any Poisson manifold there is associated a natural Lie algebroid structure on its cotangent bundle , defined extending to all one-forms the Lie bracket . For general Lie algebroids, however, the analogue of Lie’s third theorem is not always true (see [8] for the characterization of obstructions to integrability). There are non-trivial conditions to guarantee that a Lie algebroid can be integrated with a Lie groupoid, which means that it can be identified with the tangent algebroid over the identities of a groupoid. Even in the case of Poisson manifolds, such obstructions are non-trivial: a Poisson manifold whose Lie algebroid can be integrated with a Lie groupoid is called integrable. The wide subclass of integrable Poisson manifolds is those for which groupoid quantization can be applied.
What is specific to the Poisson case is the fact that the unique source connected and simply connected groupoid integrating the Lie algebroid on can be endowed with a symplectic structure, which is multiplicative, i.e., compatible in a reasonable sense with the groupoid structure. This groupoid is called the symplectic Lie groupoid integrating (see [9] for a detailed account of the theory of symplectic groupoids).
In the following, we usually denote the symplectic groupoid of a Poisson manifold M as:
where s and t stand for the source and target map, respectively. Let:
be the set of composable pairs; we let be the partially defined product . Furthermore, is used for the inverse map. Finally, are the two natural projections from composable pairs over the first and second component of the Cartesian product. With such notations:
is the Lie groupoid cohomology operator. The multiplicativity of a symplectic form can be characterized as . This in particular implies that the source (resp. target) map is a Poisson (resp. anti-Poisson) surjective submersion from to M.
From the point of view of Poisson geometry, symplectic groupoids provide some sort of desingularization of the original Poisson structure. Symplectic leaves are then encoded as orbits of the groupoid. Let us remark that the natural topology on the space of orbits does not satisfy, in general, any separation axiom and can be rather pathological.
Most invariants of the Poisson manifold admit reinterpretation in terms of their symplectic groupoid. As an example, the Poisson cohomology of the original Poisson manifold is equivalent to the Lie algebroid cohomology, and it is thus related via a van Est map to differentiable groupoid cohomology. In case the original Poisson manifolds carries a Poisson action of a connected Lie group G, such an action can be lifted to an action of G on by symplectic groupoid automorphisms ([10], Theorem 2.1).
The basic idea of groupoid quantization is then to quantize the total space of the groupoid as a symplectic manifold, but in a compatible way with the underlying groupoid structure.
The technique used to quantize is geometric quantization; the three basic steps to be discussed here are the following:
- pre-quantization;
- choice of Lagrangian polarization;
- Bohr–Sommerfeld conditions;
and on each such condition, suitable compatibilities with the groupoid structure can be imposed, so that the final outcome of the quantization procedure is a groupoid -algebra [11].
Of course, in specific examples, there may be further steps to be taken into consideration; it is by now well known that geometric quantization is rather a set of techniques than a universal recipe. However, the three basic steps above always enter the quantization procedure, and we will concentrate on them.
Pre-quantization: The pre-quantization step is based on the choice of a Hermitian line bundle on the total space of the groupoid: the groupoid structure should then allow defining a ⋆-convolution product between fibers:
This can be obtained through the following:
Definition 1
(see [10]). Pre-quantization data on symplectic groupoid are a Hermitian line bundle together with a connection ∇ and a section:
such that:
- 1.
- the curvature of ∇ equals the symplectic form ω;
- 2.
- σ is a norm one, groupoid cocycle, valued in the pull-back line bundle ;
- 3.
- σ is covariantly constant, i.e., , where θ is a local primitive of ω.
The existence of a section with these desired properties is equivalent to the trivial holonomy of the pullback bundle on . In [10], it was shown that a pre-quantization exists if and only if the cohomology class is integer along the fibers of the prequantum line bundle. The pre-quantization cocycle can be chosen to be one whenever is multiplicatively exact, i.e., there exists a primitive one-form such that . This condition corresponds to the Lichnerowicz cohomology class of the Poisson tensor to be zero. When the pre-quantization cocycle is non-trivial, the quantization construction we describe undergoes some modification so that the outcome is a twisted groupoid -algebra, with a twisting induced by the quantization cocycle. However, even in some cases in which , it is possible that this twisting does not appear in the final -algebra. We will not discuss this in full detail in what follows, and we will limit ourselves to mentioning at some points the effects of the non-triviality of the pre-quantization cocycle.
Polarization: In the usual geometric quantization, one has to choose a Lagrangian polarization of the symplectic manifold with which he/she is starting. In physical terms, this is the same as choosing a splitting of coordinates distinguishing between positions and momenta or, in other terms, to deal with the problem that the Hilbert space constructed through pre-quantization is somewhat too large to be physically reasonable.
Unsurprisingly, this choice of polarization is one of the most difficult steps of the procedure, and neither the existence of polarizations can be taken for granted, nor the independence from this choice can be taken for granted. The same features are present in groupoid quantization.
Let be the symplectic groupoid of M, and let be its complex tangent bundle. An involutive distribution in is said to be multiplicative if:
for any . It is called Hermitian if:
Definition 2
(See [7]). A Lie groupoid polarization is a polarization, which is both multiplicative and Hermitian. A real Lie groupoid polarization is a real distribution such that its complexification is a Lie groupoid polarization.
We remark here that (real) Lie groupoid polarizations admit a number of equivalent descriptions: at the infinitesimal level, they are also considered as ideal systems in Lie algebroids [12].
The reason for this multiplicativity requirement on polarizations is that under such a condition, the set parametrizing Lagrangian leaves inherits a topological groupoid structure from the quotient map:
sending each point of the total space to the leaf to which it belongs. Something is lost, in a sense, in this procedure since there is no guarantee that the quotient groupoid is differentiable any more.
We will focus, in examples, on real polarizations. It has to be mentioned, however, that there are topological obstructions to the existence of real multiplicative polarizations, which therefore do not exist in many interesting cases. To overcome those obstructions, the following weaker definition was proposed in [13]:
Definition 3.
A multiplicative integrable model F on a symplectic groupoid is an integrable system on Σ (w.r.t. the symplectic form) such that if denotes the topological space of connected contour levels of F, then carries a topological groupoid structure such that the quotient map: is a groupoid morphism.
This definition, as shown in the cited paper, still allows constructing a quantizing groupoid -algebra even in cases were the real polarization does not exist: the quotient groupoid takes then the place of the quotient groupoid .
Bohr–Sommerfeld conditions: Whenever the Lagrangian leaves are not simply connected, the existence of polarized sections cannot be taken for granted. They can exist only when the connection holonomy is trivial. This selects a subset of Lagrangian leaves called the Bohr–Sommerfeld variety, which under the multiplicativity condition for polarizations and an additional geometric condition, turns out to be a topological subgroupoid of the Lagrangian quotient groupoid (or of the integrable system groupoid ). We will denote it with .
To be more precise, let l denote a Lagrangian leaf of the multiplicativity polarization, i.e., an element inside (or a common level set inside ):
Definition 4.
We say that l satisfies the Bohr–Sommerfeld condition (BS) if the holonomy of ∇ along l is trivial.
Proposition 1
(see [13]). If for each couple of composable leaves , the product map:
induces a surjective map in homology, then the set of Bohr–Sommerfeld leaves is a topological subgroupoid of .
It is then the case that on the vector space of parallel sections of the pre-quantization bundle, as considered over , it is possible to define a convolution product (eventually twisted by the pre-quantization cocycle), such that the completion (in case the Bohr–Sommerfeld admits a Haar system) defines the quantization -algebra, which is the outcome of groupoid quantization.
What reason do we have to expect that this quantization procedure can be used to construct a well-behaved quantum orbit correspondence from symplectic leaves to unitary irreps of the groupoid -algebra, let aside, for a moment, the pre-quantization issue? In the integration step, symplectic leaves, as mentioned, are transformed into orbits of the symplectic groupoid (preserving the quotient topology). The surjective groupoid morphism sending the symplectic groupoid to the polarized groupoid of Lagrangian leaves has the effect of bundling together some of these orbits into families, where now, the groupoid of Lagrangian leaves acquires additional isotropy, reflecting, in a way, some sort of equivalence between leaves in the same family.
The effect of BS conditions, in case there are non-trivial ones, is to discretize isotropy groups of the groupoid of Lagrangian leaves. In many cases, the resulting BS groupoid is étale. At this point, one has to study ∗-irreps of the groupoid convolution -algebras. For such algebras, there are many tools allowing having a quite detailed description of the unitary dual [14]. Typically, ∗-irreps are constructed via an induction procedure from an orbit of the groupoid and an irreducible representation of the isotropy group of the orbit. Under some suitable conditions, such an induction procedure allows recovering all ∗-irreps. Furthermore, it is known that the primitive ideal space and the unitary dual are homeomorphic if and only if the latter is a space (post-liminal case).
Thus, to a symplectic leaf of the original Poisson manifold, in well-behaved cases, one can associate an orbit in the BS groupoid and a representation of its isotropy, leading to a point in the unitary dual. It is this correspondence that explains, in the context of groupoid quantization, the quantum orbit method.
3. Review of Some Easy Cases
In this section, we review the easiest cases, just to give some comprehension of the set of results needed to verify in which cases the quantum orbit method holds true.
3.1. Trivial Poisson
Let us first consider the case in which M is a compact manifold with the zero Poisson bracket. Here, compactness is just a simplifying hypothesis. The symplectic groupoid integrating M is just the cotangent bundle where the symplectic form is the usual Liouville symplectic form and the groupoid structure is determined by the addition of elements on the same fiber. Therefore, the source and target map coincide with the vector bundle projection . M itself is identified with the set of units via the zero section . The pre-quantization line bundle is the trivial one-bundle with the trivial one-cocycle.
A natural real multiplicative Lagrangian polarization, in this case, is obtained by considering the vertical polarization . This is clearly integrated by cotangent spaces, and is its leaf decomposition. The space of leaves can be therefore identified with M itself. The quotient groupoid structure is trivial: each point is a unit. All leaves of the Lagrangian foliation are simply connected, and as such, there are no Bohr–Sommerfeld conditions to be imposed.
The quantization of the trivial Poisson structure, in this approach, is the convolution -algebra of the groupoid , where both the source and target map coincide with the identity. The algebra structure is then just obtained by pointwise multiplication, i.e., is, as expected, the -algebra of all continuous functions on M. Being Abelian, its unitary irreducible representations are all one-dimensional, i.e., are all ∗-characters.
In this context, the orbit correspondence is just the statement that the set of ∗-characters of , with the Jacobson topology, is homeomorphic to M. This is nothing but the Gelfand theorem for the compact topological Hausdorff space M.
3.2. Standard symplectic Euclidean space
Let with the standard symplectic structure . The symplectic groupoid integrating the Poisson bivector is the pair groupoid with the pair groupoid structure and, again, with the standard symplectic form. In this case again, the pre-quantization line bundle is trivial with a trivial cocycle. The easiest possible choice of real multiplicative Lagrangian polarization for the pair groupoid is the choice of a horizontal polarization (setting the last coordinates equal to constant ones), so that each leaf is simply connected, and the space of leaves is a copy of . The quotient groupoid structure is a transitive one: all points belong to the same orbit. There are no Bohr–Sommerfeld conditions to be imposed, and therefore, the resulting -algebra is the convolution -algebra of the transitive groupoid structure on . As one can see in [11], this is nothing but the -algebra of all compact operators on . In this context, orbit correspondence is equivalent to Naimark’s theorem, which tells us that the unitary dual of this -algebra consists only of one point and is, therefore, trivially homeomorphic to the space of leaves of the underlying Poisson manifold. This example can be generalized without major changes to the case of simply connected symplectic manifolds giving rise to a convolution groupoid -algebra isomorphic to .
3.3. Linear Poisson
Let us consider the case of a linear Poisson structure, i.e., the usual Poisson structure on the linear dual of a Lie algebra where Lie brackets are given in terms of structural constant of as:
It is well known that the symplectic leaf decomposition, in this case, coincides with the orbit decomposition with respect to the coadjoint action. The symplectic groupoid integrating this Poisson manifold can be identified with the cotangent bundle as a symplectic manifold. The groupoid structure can be derived by:
where the source and target maps are given, respectively, by left and right translations to the identity, and the partially defined multiplication is nothing but the addition of covectors over the fiber . Pre-quantization, in this case, is given by a trivial line bundle over , and the cocycle does not affect quantization.
The easiest choice of multiplicative Lagrangian polarization is given by the vertical polarization, so that each leaf is diffeomorphic to the cotangent space over the base point, and the set of leaves is naturally parametrized by G itself. The groupoid structure thus imposed on the set of leaves tells us that Lagrangian leaves multiply exactly as the corresponding group elements. Since there are no Bohr–Sommerfeld conditions to be imposed (each leaf is simply connected), the groupoid quantization of , with respect to the vertical polarization, is the group -algebra .
What about the orbit correspondence? Establishing a good homeomorphism between unitary irreducible representations of and coadjoint orbits inside is exactly a way of rephrasing the classical orbit method, which is known to hold for nilpotent Lie groups [1].
3.4. Symplectic torus
In this section, we will start exploring those situations in which the correspondence between symplectic leaves of the original Poisson manifold and irreducible unitary representations of its quantization do not match easily, unless some additional details are considered. The easiest such example is given by the quantum torus.
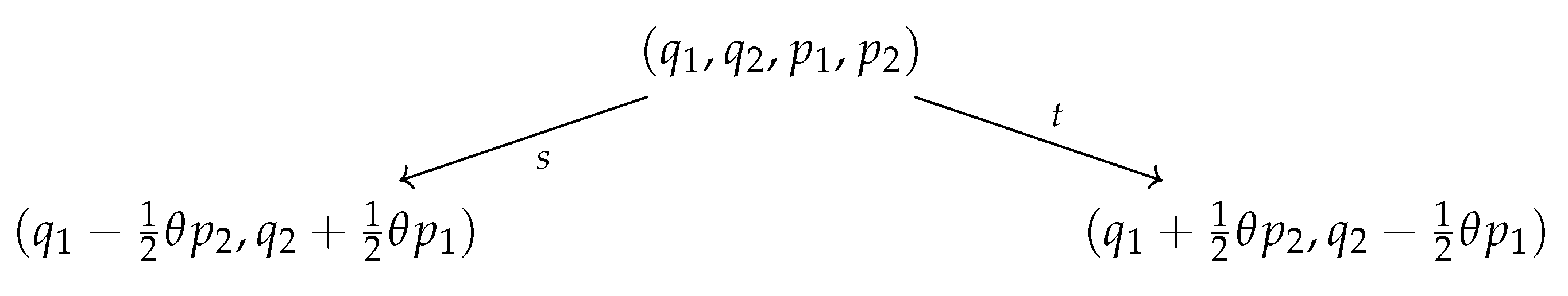
Consider, in fact, any right-invariant symplectic form on : such Poisson structures are all of the form where and are the angular coordinates on . Let us assume that is irrational. Since this Poisson structure is nondegenerate, the corresponding space of leaves consists only of one point. The corresponding symplectic groupoid is still symplectomorphic to the cotangent bundle, but now, the source and target maps differ by a -dependent term. To be more precise, identifying with and letting be the coordinates on (such that ) and the cotangent coordinates, the groupoid structure is determined by the source and target maps:

The groupoid quantization of this Poisson bracket was the original example described in [6] to show that after such a procedure, one gets, exactly as expected, the quantum torus algebra. The pre-quantization line bundle in this case is trivial, but with a non-trivial cocycle obtained exponentiating .
There are two different choices of multiplicative Lagrangian polarization inside the symplectic groupoid determined by . If we choose a horizontal polarization, with all Lagrangian leaves that are circles, thus subject to Bohr–Sommerfeld conditions, this will produce as the outcome the quantum torus: a -algebra generated by two invertible unitary, q-commuting operators. If we choose a Lagrangian polarization by cylinder polarization, the underlying Bohr–Sommerfeld groupoid turns out to be the transformation groupoid . Its groupoid -algebra is the cross-product . This two quantization outcomes are however -isomorphic, and we will denote either of them as . It is well known that such a -algebra has infinitely many irreducible unitary representations (e.g., [15]), despite the underlying Poisson manifold having only one leaf, so that the orbit correspondence seems to break down. The point is that since the space of primitive ideals is not even , the quantum torus -algebra is not post-liminal, and therefore, the space of primitive ideals and the unitary dual are no longer homeomorphic:
Thus, the quantum orbit correspondence may still be recovered by a little modification. We just need to consider as the target space of the orbit correspondence the space of primitive ideals (endowed with a Jacobson topology). Let us remark that in all previous examples, the space of orbits is , and therefore, the unitary dual and primitive ideal space are homeomorphic.
Of course, one may think that such replacement cannot be justified only by such an easy example: the topology on the one-point set is after all quite trivial. We will later (in Section 7) mention a much wider class of examples, which can be a reasonable setting to understand to what extent groupoid quantization may be implemented and understood also for non-post-liminal -algebras.
4. Poisson Structures and Symmetry
Before any further analysis of groupoid quantization, we will digress from the main topic and explain which kind of Poisson structures with symmetries we plan to consider in the following. We first need a basic definition:
Definition 5.
Let G be a Lie group. A Poisson structure π on G is said to be multiplicative or Poisson–Lie if it verifies:
where and denote left and right translations on G, respectively.
This definition was introduced by Drinfel’d in [16]. Let us remark that on any Lie group, the trivial Poisson bracket is a Poisson–Lie structure. On the other hand, since any Poisson–Lie structure verifies , e being the identity element, all non-trivial Poisson–Lie group structure are of non-constant rank; in particular, they cannot be symplectic.
Classification of such structures is better understood when looking at the infinitesimal level.
Definition 6.
Let be a Lie algebra. A Lie bialgebra on is a linear map , called a cobracket, such that:
- δ is a one-cocycle with respect to the adjoint representation, i.e.,:where is the extension of the adjoint action of on .
- is a Lie bracket.
The following theorem then holds true:
Theorem 1.
Let be a Poisson–Lie group structure. Then, there is a unique Lie bialgebra cobracket δ on such that:
where stands for right translations in G. On the other hand, for any Lie cobracket δ, there is a unique Poisson–Lie structure on the unique connected and simply connected Lie group G integrating .
The correspondence is, in fact, functorial. A characteristic feature of Poisson–Lie group theory is that it is endowed with natural duality. In fact, if is a Lie bialgebra, then the transpose map:
defines a Lie bracket on (the axioms in Definition 6 are equivalent to being a Lie bracket), and therefore, there exists a dual (connected, simply connected) group of G integrating the Lie algebra . On the other hand, the dual of the Lie bracket on :
is a cobracket on ; thus, also carries a natural Poisson–Lie group structure, and as such, it is called the Poisson dual of G.
This is not the end of the story. On the vector space , there are both a natural Lie bracket and a Lie cobracket defined as:
in such a way that is a Lie bialgebra integrated by a connected and simply connected Poisson–Lie group D. Both will be called the Drinfel’d double of the original Poisson–Lie group/Lie bialgebra.
To summarize, Poisson–Lie group structures on G come in triples , which at the infinitesimal level determine triples of Lie bialgebras .
Poisson–Lie group structures have been classified on the compact Poisson–Lie group [17], in dimensions up to three [18], and for some specific cases of higher-dimensional Lie groups.
In this approach, the natural notion of the Poisson–Lie subgroup of a Poisson–Lie group can be considered: H is a Poisson–Lie subgroup of if it is both a Poisson submanifold and a Lie subgroup. Its Lie algebra will then be a Lie sub-bialgebra, i.e., a Lie subalgebra such that . In terms of the dual of the cobracket, this last notion means that the annihilator is a Lie ideal, and therefore, the dual Lie algebra associated with H is .
This notion is very rigid, since being a Poisson submanifold implies being a union of symplectic leaves. As such, for example, it is not invariant by conjugation (conjugation is not a Poisson map in Poisson–Lie groups), and a Poisson–Lie group typically has but a very limited number of Poisson–Lie subgroups. One such subgroup is always , the zero set of the Poisson structure.
A very useful weakening of the notion of Poisson–Lie subgroup is given by coisotropic Lie subgroups, i.e., Lie subgroups that are coisotropic as submanifolds of . At the infinitesimal level, they are characterized by the fact that . This condition is enough to say that is a Lie subalgebra of , but not necessarily a Lie ideal, so that there is nothing like a Lie bracket on . There is, certainly, a Lie bracket on , and thus, some sort of complementary dual subgroup [19].
The notion of being coisotropic is not conjugation invariant either. Thus, in a fixed conjugacy class of subgroups, there may be Poisson subgroups, coisotropic subgroups, and also subgroups that do not verify any special property with respect to the Poisson bracket.
Let us now come to actions:
Definition 7.
Let be a Poisson–Lie group and a Poisson manifold. A differentiable action:
is said to be Poisson if:
where and are the orbit map and g-translation, respectively.
In the case in which , the Poisson bivector is said to be G-invariant; otherwise, it is called G-covariant. If the action is transitive, the corresponding is called -homogeneous.
The reason for considering coisotropic subgroups is clear after the following:
Proposition 2.
In [20,21]. Let be a Poisson Lie group.
- Let H be a coisotropic subgroup of G. There exists a unique Poisson structure on such that the natural projection is a Poisson map. With respect to the quotient action:the manifold is a Poisson homogeneous space, having at least one zero-dimensional leaf .
- Let be a Poisson homogeneous space having at least one zero-dimensional leaf . Its stabilizer is then a coisotropic subgroup of G such that the canonical G-equivariant diffeomorphism between M and is a Poisson diffeomorphism.
One of the most relevant outcomes of the fact that neither being Poisson–Lie nor coisotropic is a conjugation invariant notion is the fact that in principle, there may be more than one Poisson homogeneous structure on the same homogeneous manifold M. This is the case, for example, for the family of -covariant Poisson structures on complex projective spaces studied in [22]. In general, the problem of classifying all G-covariant Poisson structures on a given homogeneous space is far from being trivial.
On the other hand, the integration procedure for coisotropic Poisson homogeneous spaces is by now quite well understood (see [23] and, recently, [24]). Under the assumption that the Poisson–Lie group G is complete, let us consider the restriction of the dressing action to:
This lifts to an action on the total space of the symplectic groupoid of G, which is [20]. This action has a moment map-type application (taking values in Poisson homogeneous space rather than in a Poisson–Lie group):
such that is coisotropic in and the space of H-orbits in N is smooth. Under such a hypothesis, it is possible to perform a symplectic reduction and to show that as a symplectic manifold:
This manifold, in fact, also carries a natural action groupoid structure under which the symplectic form is multiplicative and is therefore the symplectic groupoid integrating . The completeness hypothesis on G can be relaxed to the much weaker requirement of the integrability of the dressing action of H on (relative completeness in [23]).
4.1. Abelian Poisson Structures
A different construction of Poisson structures satisfying some symmetry condition (introduced by P. Xu in [25]) is the following: let be any left-invariant Poisson structure on an Abelian group T. This is just determined by an antisymmetric matrix , which determines the Poisson bivector:
where is a fixed basis of the Lie algebra , identified with left-invariant vector fields. It is clear that such an invariant Poisson structure has a constant rank determined by the rank of the matrix . The Poisson bivector induces a map:
and the symplectic leaves are obtained by integrating the involutive distribution . This map can be seen as an infinitesimal action of the Abelian group on T. If this action can be integrated with a global group action of on T, we will denote it by . It is useful to consider the map:
The symplectic groupoid of can then be described as the transformation groupoid associated with this action:
with the symplectic structure obtained from the Liouville one, via identification with the cotangent bundle.
Let now M be a manifold together with in infinitesimal T-action:
and let be the Poisson bivector on M induced by , through :
This Poisson manifold is also called a locally Abelian Poisson manifold.
We will also denote by the dual of the infinitesimal action. The symplectic foliation of a locally Abelian Poisson manifold is then described as follows: for any , the leaf through p is given by:
5. Quantum Heisenberg Group
Since nilpotent Lie groups, classically, are the arena where the orbit correspondence has better properties, it seems reasonable to analyze, at first, an example of the quantization of a nilpotent Poisson–Lie group. The case of the -algebra quantization of Poisson–Lie group structures on Heisenberg groups was solved by B.J. Khang in a series of paper [26,27,28] without making explicit use of symplectic groupoid quantization techniques. I use the word explicit since much of his work could be rewritten in groupoid terms. In this section, we review the easiest such case.
Let me start by saying that Lie bialgebra structures on the -dimensional Heisenberg group were classified, during the early 1990s [29]. We will describe the Lie–Heisenberg algebra as spanned by elements labeled as , where with Lie brackets:
and we will use lowercase letters for the dual basis . The standard Lie bialgebra structure is given by:
The dual Lie algebra structure on is then:
This Lie bialgebra structure integrates with a multiplicative Poisson bivector on the Heisenberg group . Its symplectic foliation is easily described: each point sitting in the hyperplane is a zero-dimensional symplectic leaf, while each hyperplane of the form is a -dimensional leaf. Every leaf is therefore simply connected.
The quantization of this Poisson–Lie group via groupoid quantization was one of the early successes of groupoid quantization techniques and was obtained in [30]. In Khang’s papers, the same quantization was obtained through Rieffel-type deformation quantization constructions and reconciled with the Hopf algebras (quantum groups) approach of [31]. If we denote by Z the center of the Heisenberg group, what one can prove is that the quantization -algebra is isomorphic to a twisted cross-product -algebra of the form:
where the twisting is induced by the pre-quantization cocycle. In [30], little mention was made about the “groupoid polarization”, a concept that, at the time, was still not well understood. The point is, however, that the symplectic foliation is exactly reflected in the orbit structure of the transformation groupoid and that Khang’s work can be rephrased explicitly as the relation between those orbits and the corresponding unitary irreducible representations of the -algebra. In particular, in Theorem 2.3 of [28], it was proven that this correspondence is indeed a homeomorphism between the space of leaves with the quotient topology and the set of primitive ideals with the Jacobson topology and since this is a type I -algebra also with the space of unitary irreps. His results, in fact, are valid also for other Poisson–Lie group structures on , a setting in which groupoid quantization up to now was not attempted, but that should reproduce the same statements.
Since Heisenberg–Poisson–Lie groups have quite a rich structure of Poisson homogeneous spaces of the coisotropic type (the coisotropy condition being quite easy to satisfy), it would be interesting to rewrite Khang’s results explicitly in the groupoid quantization framework in such a way to extend it to families of homogeneous spaces of Heisenberg–Poisson–Lie groups.
6. Compact Quantum Homogeneous Spaces
Compact quantum groups and their homogeneous spaces were, historically, the first cases in which the quantum orbit method was developed, resting on purely representation theoretic techniques. Little attention was given, at the beginning, to the topological aspects of the orbit correspondence.
Let us first briefly recall the essentials about Poisson–Lie group structures on a real compact Lie group G, with Lie algebra . Let be the complexified Lie algebra, seen as a -dimensional real Lie algebra. Let us fix a Cartan Lie subalgebra and the corresponding Cartan decomposition:
related to a splitting of the set of roots into positive and negative roots. Let be the Lie algebra of a maximal torus of G corresponding to this choice of Cartan. Let:
where the are a set of Chevalley–Weyl generators in . Let, furthermore, . Then, any Lie bialgebra structure on is isomorphic to one of the forms:
where and denotes the natural extension of the adjoint action to . If , the corresponding Lie bialgebra structure is said to be standard, while if , it is said to be twisted.
The decomposition of the Poisson manifold G into symplectic leaves has completely different features in the standard, twisted, and general case, with the latter resembling more the second than the first. We will briefly recall them here.
We will denote with W the Weyl group associated with and with its natural covering sitting inside G. This determines a decomposition of the group G of the form:
called Bruhat decomposition. Here, is the maximal torus if e is the neutral element in W. Then, the following holds true (see [17] and the references therein):
Theorem 2
(In [32]). Each symplectic leaf of the standard Poisson–Lie structure on G is contained in . In particular, all points of T are zero-dimensional symplectic leaves. Furthermore, if and is a lift of w, let be the leaf through . Then, any other symplectic leaf inside is of the form:
Each symplectic leaf is isomorphic to an affine manifold of the form , where denotes the length of the Weyl element w.
As an example, if one considers , with the usual choice of Cartan as diagonal elements in , the Weyl group can be identified with:
This implies that there are two families of symplectic leaves, each parametrized by points of the maximal torus . One such family is given by the diagonal torus itself. Each point of the torus is a zero-dimensional symplectic leaf. The second series is a family if symplectic disks (real dimension two) given by:
The symplectic leaf space, therefore, has the form where each point of the second is open and has in its closure the whole first copy of . It is important to remark that this topological space verifies the separation axiom , but it is not even , since it contains open points. In the general case, as mentioned in the previous theorem, symplectic leaves of a fixed even dimension come in -families (k being the rank of the group), and the closure relation between these families is dictated by the closure relations in Bruhat decomposition.
The situation looks more complicated in the twisted and general case. Just to give some details in the twisted case, symplectic leaves are tori of varying dimensions, each one provided with an invariant symplectic form (eventually zero) determined by . The topology on the space of leaves is , though not Hausdorff. In the general case, features of both the standard and twisted case mix up: symplectic leaves are again arranged into Bruhat cells, but inside Bruhat cells, there may appear invariant tori or dense affine leaves, giving rise to a non- quotient space of leaves.
Let us now come to homogeneous spaces of standard compact Poisson–Lie groups, by considering, first, quotients by Poisson–Lie subgroups. Let S be any subset of the set of simple roots of . To any such subset, there corresponds a parabolic subalgebra in . Let , and let be the corresponding Lie subgroup in G. Then, is a Poisson–Lie subgroup [4], and the symplectic foliation on the flag manifold corresponds to its Schubert cell decomposition; this is called the Bruhat–Poisson structure on . In case, one obtains the full flag manifold .
What if one wants to analyze coisotropic quotients? As already mentioned up to now, those quotients are not completely classified, though some results can be deduced from [33]. It is known, for example, that for Hermitian symmetric spaces of compact Poisson–Lie groups, there is always a one-parameter family of covariant Poisson structures [34]. The appearance of this pencil of Poisson covariant structures is related to the fact that Hermitian symmetric spaces can be described both as quotients of Poisson–Lie subgroups and as quotients of coisotropic subgroups (see [22] for complex Grassmannians), and the corresponding projected Poisson structures are not equivalent. In fact, the symplectic foliation gets considerably more involved, though some general features are retained.
As an example: for , while the Bruhat–Poisson structure has just one leaf in each even dimension, every one sitting in the closure of higher dimensional leaves, in the coisotropic case, there appear many different -families of even-dimensional contractible leaves, separated by families of lower dimensional leaves.
Let me briefly summarize what is known about orbit correspondence in this case.
Compact Poisson–Lie groups, quantized by generators and relations, were the first successful case considered in quantum orbit method already in the 1990s [35]. There it was shown, in fact, through an explicit analysis of representations how to establish a natural bijective correspondence between the symplectic foliation of and ∗-irreducible representations of the quantum algebra. Details for the standard compact case were there just hinted at, and a complete description can be found in [17].
The book [17] goes into some details also as concerns the general non-standard case. There, the appearance of dense leaves inside tori considerably distorts the symplectic foliation. Since the topology on the space of leaves is not even , it is not reasonable to expect a full correspondence between leaves and unitary irreps, which, in fact, is not possible. In this case, the primitive ideal space of the quantized algebra has to be considered as a sort of -ization of this space, and it is this space that can be put in nice relation with the topological space of leaves (though, in fact, no explicit topological considerations were present in [36]). As for the twisted case, the unitary dual is parametrized by pairs where is a classical point and is an element of the unitary dual of the quantum torus associated with . An equivalence relation between pairs takes into account how points belonging to the same symplectic torus are related, though there is a wide difference between the space of primitive ideals and the unitary dual of the quantization (which is a non-type I -algebra), just as for the quantum torus case. The considerations that we will later (Section 7) take into account for locally Abelian Poisson manifolds should apply here as well.
Let us move to homogeneous spaces. Quotients by Poisson–Lie groups of standard compact Poisson–Lie groups were treated first in [4] and then in [37]. In the first paper, through a detailed analysis on how unitary irreps of induce unitary irreps of the coideal ∗-subalgebra , the author built up the correspondence between symplectic leaves of the Bruhat–Poisson bracket and unitary irreps of the quantized algebra for a specific subclass of flag manifolds, including Hermitian symmetric spaces. In the second paper, the results were extended to generalized flag manifolds, by first constructing ∗-irreps using (anti)-holomorphic quantum Plücker coordinates and then generalizing the results to the full -algebra via a version of Stone–Weierstrass theorem.
In [3], these results were finally refined, again through representation theoretic techniques.
This paper makes essential use of the quantum version of the Poisson map:
to relate the unitary dual of to the unitary dual of much in the same way as this allows describing each Poisson submanifold of from the products of the Poisson manifold inside copies of (essentially products of points and symplectic disks). This map establishes composition series inside the quantized algebra of functions, which reflect the way in which symplectic leaves organize themselves into Schubert cells. It is thus possible to match perfectly the quotient topology on the space of leaves with the Jacobson topology on the set of primitive ideals.
Two basic questions, here, remain open.
- To what extent are these results valid without the assumption if G is not a standard compact Poisson–Lie group?
- Does the quantum orbit method still hold for coisotropic quotients?
As for Question 1, there are two different directions to explore. The first one is to consider non-standard compact Poisson–Lie groups (about which something is known) and their homogeneous spaces (about which only a handful of examples are known). The second one is to consider examples of Poisson homogeneous spaces for non-compact Poisson–Lie groups. Here, one could either explore the vast arena of low-dimensional cases of interest in physical applications (e.g., [38,39,40]) or consider the case of Poisson homogeneous spaces for the dual Poisson–Lie group of a standard compact Poisson (where the duality behavior as those explained in [19] may help).
It would be interesting to recover such results (and explore new cases) in the context of groupoid quantization.
- The symplectic groupoid of Poisson homogeneous spaces of a standard compact Poisson–Lie group (and also of its dual) is by now quite well understood [23,41];
- It is known that there are obstructions to the existence of a real Lagrangian groupoid polarization on standard : it is reasonable to expect such an obstruction to hold for more general standard compact Poisson–Lie groups G (though this is still to be proven; see [7], proposition 7.5).
- In some cases, covariant Poisson structures on homogeneous spaces come in pencils [13,42], and as such, it is reasonable to expect that a multiplicative integrable system can be constructed, giving rise to a mildly singular Lagrangian polarization. In fact, the above program was carried out successfully for in [13], allowing an explicit description for the groupoid -algebra, equivalent to the one given in terms of generators and relations.
- The groupoid -algebra, in the case of Poisson quotients, was used to prove the quantum orbit correspondence for the Bruhat–Poisson structure on in [5]. Work in progress is to prove that this holds also for the non-standard case.
- It could be very interesting to work out in some detail the case of the Poisson structure on the space of Stokes matrices introduced in [43]. This Poisson structure admits a natural interpretation in terms of the coisotropic quotient of the standard dual and can be quantized in terms of generators and relations (see [19] and the references therein). When , its symplectic groupoid is explicitly known [44]. The underlying symplectic foliation is determined by level sets of the Markoff polynomial and is of particular interest since, different from the standard compact case, there appears both simply connected and non-simply connected leaves. As explained in the next section, this should reflect in a more subtle behavior of the orbit correspondence where irreducible representations of the homotopy group of leaves (rigged leaves) should be taken into account.
7. Quantizing Locally Abelian Poisson Manifolds
In this section, I will briefly report on some ongoing work related to the locally Abelian case. As we have seen for the quantum torus, in the locally Abelian case, the expected quantum -algebra typically will not be post-liminal. Therefore, the primitive ideal space and the unitary dual of the quantum algebra will be different already at the level of sets.
Groupoid quantization of the locally Abelian Poisson manifold was studied already in [7], based on previous work on symplectic integration [25] and pre-quantization [10] already described in Section 4.1.
A real Lagrangian multiplicative polarization on the symplectic groupoid is determined by fixing a coisotropic subalgebra with the additional condition of being transversal to all pointwise kernels of the infinitesimal action. We will consider the case in which the Abelian group T is an n-dimensional torus and this subalgebra integrates with a k-dimensional subtorus . If we then put and let be the annihilator of the topological groupoid of Lagrangian leaves, it turns out to be isomorphic to:
and leaves are copies of . Bohr–Sommerfeld conditions are therefore non-trivial and select the étale groupoid:
At this point, computing the primitive ideal space is an exercise in groupoid -algebra theory, following the lines of [14]. It turns out that under mild regularity conditions on the action, the orbit correspondence is a homeomorphism if one assumes the primitive spectrum as the target. The case of Connes-Landi-Matsumoto 3-sphere is treated in [45].
This is not, however, the end of the story, since still, a question remains open: is all, or a part, of the unitary dual of the -algebra understandable in terms of geometrical data on the original Poisson structure? It is reasonable to expect that the unitary dual is wild, in such cases, as happens for the quantum torus, so that it fails to be homeomorphic to the leaf space of the Poisson manifold: is there a geometrical explanation of this failure?
Going back to the classical orbit method for solvable Lie groups, here, provides some hints. As explained already in [46], each time the coadjoint orbits of a solvable Lie group have non-trivial homotopy, one has to consider some additional structure: a unitary irrep of the Lie algebra is built up from any rigged orbit, i.e., a pair where is a coadjoint orbit and is an irreducible representation of the homotopy group on a finite-dimensional vector space V. Hence, whenever our Poisson manifold has non-simply connected symplectic leaves, one may consider modifying the domain space of the orbit correspondence by taking into account rigged leaves, i.e., pairs where S is a symplectic leaf of M and a representation of the homotopy group on a finite-dimensional vector space V. Let me explain why this adaptation seems reasonable. To any rigged leaf as defined above, after symplectic integration, one may associate a pair where is an orbit in the symplectic groupoid and is a representation of its isotropy group, as explained in [8]: unitary representations of the homotopy group of the leaf turn into unitary representations of the isotropy group of the corresponding orbit in the groupoid. It is reasonable to think that a well-behaved choice of Lagrangian multiplicative polarization may induce a pair of the same form on the topological groupoid . Unitary irreps of groupoid -algebras satisfying some regularity conditions can be constructed through an induction procedure exactly from pairs where O is an orbit of the groupoid and an irreducible unitary representation of the isotropy group, whenever this is Abelian. This is exactly the case here, since the isotropy group of Bohr–Sommerfeld Lagrangian leaves is always the discretized version of a quotient subgroup of the Abelian group . Slightly more details about this conjectural correspondence are developed in a work under preparation [45,47] and will be the subject of future further analysis.
Funding
This work was funded by “Fondi per la ricerca di Base—2016—Geometria della quanizzazione”, from Università di Perugia.
Institutional Review Board Statement
Not applicable.
Informed Consent Statement
Not applicable.
Data Availability Statement
Not applicable.
Acknowledgments
On many of the topics discussed in this paper, I had occasions to discuss them with F. Bonechi (INFN, Florence) and A.J.-L-Sheu (University of Kansas), whom I warmly thanks for their enduring math help. At the Bayrischzell conference in 2017, I presented some preliminary results; the discussion following my talk with M. Bordemann and S. Waldmann was the source of the ideas concerning the case in which symplectic leaves are not simply connected. Lastly, during the restrictions related to the COVID-19 pandemic, an online seminar organized by F. Gavarini and M. Lanini, based at the University of Rome, Tor-Vergata, provided the unexpected opportunity to summarize some of my previous work on the subject.
Conflicts of Interest
The author declares no conflict of interest.
References
- Kirillov, A. Lectures on the Orbit Method, Graduate Studies in Mathematics; American Mathematical Society: Providence, RI, USA, 2004. [Google Scholar]
- Vogan, D. Review of “Lectures on the orbit method” by A. A. Kirillov. Bull. Am Math. Soc. 2005, 42, 535–544. [Google Scholar] [CrossRef]
- Neshveyev, S.; Tuset, L. Quantized algebras of functions with Poisson stablizers. Commun. Math. Phys. 2012, 312, 223–225. [Google Scholar] [CrossRef]
- Stokman, J.V.; Dijkhuizen, M. Quantized flag manifolds and ∗-irreducible representations. Commun. Math. Phys. 1999, 203, 297–324. [Google Scholar] [CrossRef]
- Ciccoli, N. A new approach to quantum orbit method for standard quantum CPN. Rend. Sem. Mat. Pol. Torino 2016, 74, 45–53. [Google Scholar]
- Weinstein, A. Noncommutative geometry and geometric quantization. In Symposium on Symplectic Geometry and Mathematical Physics in Honor of Jean-Marie Souriau; Birkhäuser: Boston, MA, USA, 1991. [Google Scholar]
- Hawkins, E. A groupoid approach to quantization. J. Symp. Geom. 2008, 6, 61–125. [Google Scholar] [CrossRef]
- Crainic, M.; Loja-Fernandes, R. Integrability of Lie brackets. Ann. Math. 2003, 157, 575–620. [Google Scholar] [CrossRef]
- Mackenzie, K. Lie Groupoids and Lie Algebroids in Differential Geometry; London Mathematical Society Lecture Series; Cambridge University Press: Cambridge, UK, 2005; Volume 213. [Google Scholar]
- Weinstein, A.; Xu, P. Extensions of symplectic groupoids and quantization. J. Reine Angew. Math. 1991, 417, 159–189. [Google Scholar]
- Renault, J. Groupoid C∗ Algebras. In Lecture Notes in Mathematics; Springer: New York, NY, USA, 1985; Volume 793. [Google Scholar]
- Jotz-Lean, M. Foliated groupoids and infinitesimal ideal systems. Indag. Math. 2014, 25, 1019–1053. [Google Scholar] [CrossRef]
- Bonechi, F.; Ciccoli, N.; Qiu, J.; Tarlini, M. Quantization of the Poisson manifold from integrability of the modular class. Commun. Math. Phys. 2014, 331, 851–885. [Google Scholar] [CrossRef]
- Williams, D. Groupoid C*-Algebras, a Tool-Kit; American Mathematical Society: Providence, RI, USA, 2019. [Google Scholar]
- Brenken, B. Representations and automorphisms of the irrational rotation algebra. Pac. J. Math. 1984, 111, 257–282. [Google Scholar] [CrossRef][Green Version]
- Drinfeld, V. Quantum groups. Zap. Nauchnykh Semin. POMI 1986, 155, 18–49. [Google Scholar]
- Korogodskij, L.I.; Soibelman, Y. Algebra of Functions on Quantum Groups I, Math. Surveys and Monographs; American Mathematical Society: Providence, RI, USA, 1998; Volume 56. [Google Scholar]
- Gomez, X. Classification of three-dimensional Lie bialgebras. J. Math. Phys. 2000, 41, 4349–4359. [Google Scholar] [CrossRef]
- Ciccoli, N.; Gavarini, F. A global quantum duality principle for coisotropic subgroups and homogeneous spaces. Doc. Math. 2014, 19, 333–380. [Google Scholar]
- Lu, J.H. Momentum mappings and reductions of Poisson Lie group actions. In Seminaire Sud-Rhodanien de Geometrie Berkeley; Springer: New York, NY, USA, 1991; pp. 209–226. [Google Scholar]
- Zakrzewski, S. Poisson homogeneous spaces. In Quantum Groups (Karpacz, 1994); Lukierski, J., Popowicz, Z., Sobczyk, J., Eds.; PWN: Warszaw, Poland, 1995; pp. 629–639. [Google Scholar]
- Ciccoli, N.; Sheu, A.J.-L. Covariant Poisson structures on complex Grassmannians. Commun. Anal. Geom. 2006, 14, 443–474. [Google Scholar] [CrossRef]
- Bonechi, F.; Ciccoli, N.; Staffolani, N.; Tarlini, M. On the integration of Poisson homogeneous spaces. J. Geom. Phys. 2008, 58, 1519–1529. [Google Scholar] [CrossRef]
- Bursztyn, H.; Iglesias-Ponte, D.; Lu, J.H. Dirac geometry and integration of Poisson homogeneous spaces. arXiv 2019, arXiv:1905.11453. [Google Scholar]
- Xu, P. Poisson manifolds associated with group actions and classical triangular r-matrices. J. Funct. Anal. 1993, 112, 218–240. [Google Scholar] [CrossRef]
- Khang, B.J. Non compact quantum groups arising from Heisenberg type Lie bialgebra. J. Oper. Theory 2000, 44, 303–334. [Google Scholar]
- Khang, B.J. ∗-representations of a q-Heisenberg group algebra. Houst. J. Math. 2002, 28, 529–552. [Google Scholar]
- Khang, B.J. Dressing orbits and a quantum Heisenberg group algebra. Ill. J. Math. 2004, 48, 609–634. [Google Scholar] [CrossRef]
- Cahen, M.; Ohn, C. Bialgebra structures on the Heisenber algebra. Bull. Acad. Roy Belgique 1989, 75, 315–321. [Google Scholar]
- Szymczak, S.; Zakrzewski, S. Quantum deformation of the Heisenberg group obtained by geometric quantization. J. Geom. Phys. 1990, 7, 553–567. [Google Scholar] [CrossRef]
- Celeghini, E.; Giachetti, R.; Sorace, N.; Tarlini, M. The quantum Heisenberg group H(1)q. J. Math. Phys. 1991, 32, 1155–1158. [Google Scholar] [CrossRef]
- Lu, J.H.; Weinstein, A. Poisson–Lie groups, dressing transformation and Bruhat decomposition. J. Diff. Geom. 1990, 31, 501–526. [Google Scholar] [CrossRef]
- Karolinsky, E. A classification of Poisson homogeneous spaces of complex reductive Poisson–Lie groups. Banach Cent. Publ. 2000, 51, 103–108. [Google Scholar]
- Khoroshkin, S.; Radul, A.; Rubtsov, V. A family of Poisson structures on Hermitian symmetric spaces. Commun. Math. Phys. 1992, 152, 299–315. [Google Scholar] [CrossRef]
- Soibelman, Y. Orbit method for the algebra of functions on quantum groups and coherent states I. Int. Math. Res. Not. 1993, 6, 151–163. [Google Scholar] [CrossRef]
- Levendorskij, S.L.; Soibelman, Y. Algebras of functions on compact quantum groups, Schubert cells and quantum tori. Commun. Math. Phys. 1991, 139, 141–170. [Google Scholar] [CrossRef]
- Stokman, J. The quantum orbit method for generalized flag manifolds. Math. Res. Lett. 2003, 10, 469–481. [Google Scholar] [CrossRef]
- Ballesteros, A.; Gubitosi, G.; Gutierrez-Sagredo, I.; Herranz, F.J. The κ-Newtonian and κ-Carrollian algebras and their noncommutative spacetimes. Phys. Lett. B 2020, 805, 135461. [Google Scholar] [CrossRef]
- Ballesteros, A.; Herranz, F.J.; Meusberger, C.; Naranjo, P. Twisted (2+ 1) κ-AdS algebra, Drinfel’d doubles and non-commutative spacetimes. Symmetry Integr. Geom. Methods Appl. 2014, 10, 52. [Google Scholar] [CrossRef]
- Ballesteros, A.; Herranz, F.J.; Meusberger, C. Three-dimensional gravity and Drinfel’d doubles: Spacetimes and symmetries from quantum deformations. Phys. Lett. B 2010, 687, 375–381. [Google Scholar] [CrossRef]
- Lu, J.H.; Weinstein, A. Grupoides symplectiques doubles de groupes de Lie-Poisson. Compt. Rend. Sci. Ser. I Math. 1989, 309, 951–954. [Google Scholar]
- Bonechi, F.; Qiu, J.; Tarlini, M. Complete integrability from Poisson-Nijenhuis structures on compact Hermitian symmetric spaces. J. Symp. Geom. 2018, 16, 1167–1208. [Google Scholar] [CrossRef]
- Ugaglia, M. On a Poisson structure on the spaces of Stokes matrices. Int. Math. Res. Not. 1999, 9, 473–493. [Google Scholar] [CrossRef]
- Bondal, A. A symplectic groupoid of triangular bilinear forms and the braid group. Izv. Math. 2004, 68, 659. [Google Scholar] [CrossRef]
- Ciccoli, N. Quantum orbit method for the CLM 3-sphere. 2021; submitted. [Google Scholar]
- Auslander, L.; Kostant, B. Polarization and unitary representations of solvable Lie groups. Invent. Math. 1971, 14, 255–354. [Google Scholar] [CrossRef]
- Ciccoli, N. Quantum orbit method for locally Abelian Poisson manifolds. 2021; in preparation. [Google Scholar]
Publisher’s Note: MDPI stays neutral with regard to jurisdictional claims in published maps and institutional affiliations. |
© 2021 by the author. Licensee MDPI, Basel, Switzerland. This article is an open access article distributed under the terms and conditions of the Creative Commons Attribution (CC BY) license (https://creativecommons.org/licenses/by/4.0/).