Synthesis and Characterisation of a Boron-Rich Symmetric Triazine Bearing a Hypoxia-Targeting Nitroimidazole Moiety
Abstract
1. Introduction
2. Materials and Methods
2.1. Chemical Synthesis
2.2. Cell Culture
2.3. Cell Viability Assay
2.4. Boron Accumulation in Cells Based on ICP-OES
2.5. Statistical Analysis
3. Results and Discussion
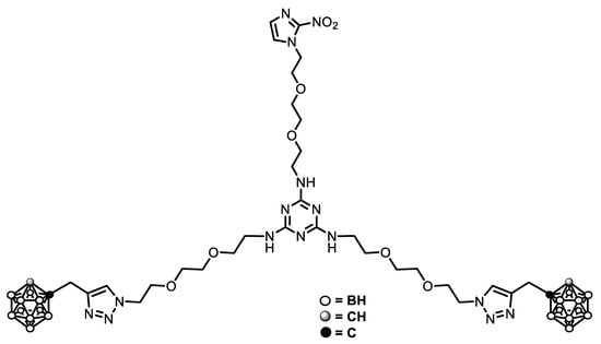
3.1. Synthesis of Carborane Hybrid Triazine
3.2. Viability Test on Human Primary Fibroblasts
3.3. Viability Test and Intracellular Boron Content on Human Multiple Myeloma Cell Line
4. Conclusions
Supplementary Materials
Author Contributions
Funding
Institutional Review Board Statement
Informed Consent Statement
Data Availability Statement
Conflicts of Interest
References
- Nedunchezhian, K.; Aswath, N.; Thiruppathy, M.; Thirugnanamurthy, S. Boron neutron capture therapy—A literature review. J. Clin. Diagn. Res. 2016, 10, ZE01–ZE04. [Google Scholar] [CrossRef]
- Farhood, B.; Samadian, H.; Ghorbani, M.; Zakariaee, S.S.; Knaup, C. Physical, dosimetric and clinical aspects and delivery systems in neutron capture therapy. Rep. Pract. Oncol. Radiother. 2018, 23, 462–473. [Google Scholar] [CrossRef]
- Barth, R.F.; Zhang, Z.; Liu, T. A realistic appraisal of boron neutron capture therapy as a cancer treatment modality. Cancer Commun. 2018, 38, 36–42. [Google Scholar] [CrossRef]
- Hawthorne, M.F. New horizons for therapy based on the boron neutron capture reaction. Trends Mol. Med. 1998, 4, 174–181. [Google Scholar] [CrossRef]
- Kizaka-Kondoh, S.; Konse-Nagasawa, H. Significance of nitroimidazole compounds and hypoxia-inducible factor-1 for imaging tumor hypoxia. Cancer Sci. 2009, 100, 1366–1373. [Google Scholar] [CrossRef]
- Cao, J.; Liu, Y.; Zhang, L.; Du, F.; Ci, Y.; Zhang, Y.; Xiao, H.; Yao, X.; Shi, S.; Zhu, L.; et al. Synthesis of novel PEG-modified nitroimidazole derivatives via “hot-click” reaction and their biological evaluation as potential PET imaging agent for tumors. J. Radioanal. Nucl. Chem. 2017, 312, 263–276. [Google Scholar] [CrossRef]
- Nieto, E.; Alajarín, R.; Álvarez-Builla, J.; Larrañaga, I.; Gorospe, E.; Pozo, M.A. A new and improved synthesis of the precursor of the hypoxia marker [¹8F]-FMISO. Synthesis 2010, 21, 3700–3704. [Google Scholar]
- Wilbur, D.S.; Hamlin, D.K.; Livesey, J.C.; Srivastava, R.R.; Laramore, G.E.; Griffin, T.W. Synthesis and radioiodination of a nido-1,2-carboranyl derivative of 2-nitroimidazole. Nucl. Med. Biol. 1994, 21, 601–611. [Google Scholar] [CrossRef]
- Masunaga, S.; Nagasawa, H.; Hiraoka, M.; Sakurai, Y.; Uto, Y.; Hori, H.; Nagata, K.; Suzuki, M.; Maruhashi, A.; Kinashi, Y.; et al. The usefulness of 2-nitroimidazole-sodium borocaptate-10B conjugates as 10B-carriers in boron neutron capture therapy. Appl. Radiat. Isot. 2004, 61, 953–958. [Google Scholar] [CrossRef]
- Masunaga, S.-I.; Nagasawa, H.; Hiraoka, M.; Sakurai, Y.; Uto, Y.; Hori, H.; Nagata, K.; Suzuki, M.; Maruhashi, A.; Kinashi, Y.; et al. Applicability of the 2-nitroimidazole-sodium borocaptate-10B conjugate, TX-2060, as a 10B-carrier in boron neutron capture therapy. Anticancer Res. 2004, 24, 2975–2984. [Google Scholar]
- Li, R.; Zhang, J.; Guo, J.; Xu, Y.; Duan, K.; Zheng, J.; Wan, H.; Yuan, Z.; Chen, H. Application of nitroimidazole–carborane-modified phenylalanine derivatives as dual-target boron carriers in boron neutron capture therapy. Mol. Pharm. 2020, 17, 202–211. [Google Scholar] [CrossRef]
- Luderer, M.J.; Muz, B.; de la Puente, P.; Chavalmane, S.; Kapoor, V.; Marcelo, R.; Biswas, P.; Thotala, D.; Rogers, B.; Azab, A.K. A hypoxia-targeted boron neutron capture therapy agent for the treatment of glioma. Pharm. Res. 2016, 33, 2530–2539. [Google Scholar] [CrossRef]
- Bregadze, V.I. Dicarba-closo-dodecaboranes C2B10H12 and their derivatives. Chem. Rev. 1992, 92, 209–223. [Google Scholar] [CrossRef]
- Kellert, M.; Worm, D.J.; Hoppenz, P.; Sárosi, M.B.; Lönnecke, P.; Riedl, B.; Koebberling, J.; Beck-Sickinger, A.G.; Hey-Hawkins, E. Modular triazine-based carborane-containing carboxylic acids—Synthesis and characterisation of potential boron neutron capture therapy agents made of readily accessible building blocks. Dalton Trans. 2019, 48, 10834–10844. [Google Scholar] [CrossRef]
- Kellert, M.; Hoppenz, P.; Lönnecke, P.; Worm, D.J.; Riedl, B.; Koebberling, J.; Beck-Sickinger, A.G.; Hey-Hawkins, E. Tuning a modular system–synthesis and characterisation of a boron-rich s-triazine-based carboxylic acid and amine bearing a galactopyranosyl moiety. Dalton Trans. 2020, 49, 57–69. [Google Scholar] [CrossRef]
- Ronchi, S.; Prosperi, D.; Compostella, F.; Panza, L. Synthesis of novel carborane-hybrids based on a triazine scaffold for boron neutron capture therapy. Synlett 2004, 1007–1010. [Google Scholar] [CrossRef]
- Lombardi, G.; Varsaldi, F.; Miglio, G.; Papini, M.G.; Battaglia, A.; Canonico, P.L. Cabergoline prevents necrotic neuronal death in an in vitro model of oxidative stress. Eur. J. Pharmacol. 2002, 457, 95–98. [Google Scholar] [CrossRef]
- Huang, C.-J.; Hong, C.-W.; Ko, F.-H.; Chang, F.-C. Fabrication of vesicle-like dual-responsive click capsules by direct covalent layer-by-layer assembly. Soft Matter 2011, 7, 10850–10855. [Google Scholar] [CrossRef]
- Despras, G.; Zamaleeva, A.I.; Dardevet, L.; Tisseyre, C.; Magalhaes, J.G.; Garner, C.; de Waard, M.; Amigorena, S.; Feltz, A.; Malleta, J.-M.; et al. H-Rubies, a new family of red emitting fluorescent pH sensors for living cells. Chem. Sci. 2015, 6, 5928–5937. [Google Scholar] [CrossRef]
- Di Meo, C.; Panza, L.; Campo, F.; Capitani, D.; Mannina, L.; Banzato, A.; Rondina, M.; Rosato, A.; Crescenzi, V. Hyaluronan as carrier of carboranes for tumor targeting in boron neutron capture therapy. Biomacromolecules 2008, 8, 670–681. [Google Scholar] [CrossRef]
- Zhang, W.; Nowlan, D.T.; Thomson, L.M.; Lackowski, W.M.; Simanek, E.E. Orthogonal, convergent syntheses of dendrimers based on melamine with one or two unique surface sites for manipulation. J. Am. Chem. Soc. 2001, 123, 8914–8922. [Google Scholar] [CrossRef]
- Li, H.; Zhou, H.; Krieger, S.; Parry, J.J.; Whittenberg, J.J.; Desai, A.V.; Rogers, B.E.; Kenis, P.J.A.; Reichert, D.E. Triazine-based tool box for developing peptidic PET imaging probes: Syntheses, microfluidic radiolabeling, and structure–Activity evaluation. Bioconjugate Chem. 2014, 25, 761–772. [Google Scholar] [CrossRef]
- Singh, M.S.; Chowdhury, S.; Koley, S. Advances of azide-alkyne cycloaddition-click chemistry over the recent decade. Tetrahedron 2016, 72, 5257–5283. [Google Scholar] [CrossRef]




Publisher’s Note: MDPI stays neutral with regard to jurisdictional claims in published maps and institutional affiliations. |
© 2021 by the authors. Licensee MDPI, Basel, Switzerland. This article is an open access article distributed under the terms and conditions of the Creative Commons Attribution (CC BY) license (http://creativecommons.org/licenses/by/4.0/).
Share and Cite
Bünning, T.H.; Panza, L.; Azab, A.K.; Muz, B.; Fallarini, S.; Imperio, D. Synthesis and Characterisation of a Boron-Rich Symmetric Triazine Bearing a Hypoxia-Targeting Nitroimidazole Moiety. Symmetry 2021, 13, 202. https://doi.org/10.3390/sym13020202
Bünning TH, Panza L, Azab AK, Muz B, Fallarini S, Imperio D. Synthesis and Characterisation of a Boron-Rich Symmetric Triazine Bearing a Hypoxia-Targeting Nitroimidazole Moiety. Symmetry. 2021; 13(2):202. https://doi.org/10.3390/sym13020202
Chicago/Turabian StyleBünning, Tobias Hartwig, Luigi Panza, Abdel Kareem Azab, Barbara Muz, Silvia Fallarini, and Daniela Imperio. 2021. "Synthesis and Characterisation of a Boron-Rich Symmetric Triazine Bearing a Hypoxia-Targeting Nitroimidazole Moiety" Symmetry 13, no. 2: 202. https://doi.org/10.3390/sym13020202
APA StyleBünning, T. H., Panza, L., Azab, A. K., Muz, B., Fallarini, S., & Imperio, D. (2021). Synthesis and Characterisation of a Boron-Rich Symmetric Triazine Bearing a Hypoxia-Targeting Nitroimidazole Moiety. Symmetry, 13(2), 202. https://doi.org/10.3390/sym13020202

