A Novel Perspective for Examining and Comparing Real and Virtual Test Tasks Performed by the Dominant and Non-Dominant Hand in Healthy Adults
Abstract
1. Introduction
1.1. Novel Information Technologies and Virtual Reality Environments
1.2. Hemispheric Asymmetries and Phenomenon of Handedness
1.3. Aim of the Study
2. Subjects and Methods
2.1. Participants and Study Design
2.2. Real Tests Using Piórkowski’s Apparatus
2.3. Virtual Test Tasks
2.4. Statistical Analysis
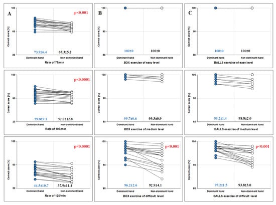
3. Results
4. Discussion
5. Concluding Remarks and Perspectives
Funding
Acknowledgments
Conflicts of Interest
References
- Tripathy, B.K.; Anuradha, J. Internet of Things (IoT): Technologies, Applications, Challenges, and Solutions; Taylor & Francis Group; CRP Press: Boca Raton, FL, USA, 2018. [Google Scholar]
- Blas, S.S.H.; Sales Mendes, A.; García Encinas, F.; Silva, L.A.; González, G.V. A Multi-Agent System for Data Fusion Techniques Applied to the Internet of Things Enabling Physical Rehabilitation Monitoring. Appl. Sci. 2021, 11, 331. [Google Scholar] [CrossRef]
- Crawford, S.B.; Baily, L.W.; Monks, S.M. (Eds.) Comprehensive Healthcare Simulation: Operations, Technology, and Innovative Practice; Springer International Publishing: Cham, Switzerland, 2019. [Google Scholar] [CrossRef]
- Siani, A.; Marley, S.A. Impact of the recreational use of virtual reality on physical and mental wellbeing during the COVID-19 lockdown. Health Technol. 2021, 11, 425–435. [Google Scholar] [CrossRef] [PubMed]
- Grant, C.; Mairn, C. 3D, virtual, augmented, extended, mixed reality, and extended content forms: The technology and the challenges. Inf. Serv. Use 2020, 40, 225–230. [Google Scholar] [CrossRef]
- Amuso, V.; Poletti, G.; Montibello, D. Virtual, Augmented and Mixed Reality: What are the Benefits for SMEs? Global Policy 2021, 12, 167–170. [Google Scholar] [CrossRef]
- Milgram, P.; Takemura, H.; Utsumi, A.; Kishino, F. Augmented Reality: A class of displays on the reality-virtuality continuum. In Telemanipulator and Telepresence Technologies; SPIE: Bellingham, WA, USA, 1994; Volume 2351, pp. 282–292. [Google Scholar] [CrossRef]
- Flavián, C.; Ibáñez-Sánchez, S.; Orús, C. The impact of virtual, augmented and mixed reality technologies on the customer experience. J. Bus. Res. 2019, 100, 547–560. [Google Scholar] [CrossRef]
- Patel, S.; Panchotiya, B.; Ribadiya, S.A. Survey: Virtual, Augmented and Mixed Reality in Education. IJERT 2020, 9, 1067–1072. [Google Scholar] [CrossRef]
- Skarbez, R.; Smith, M.; Whitton, M.C. Revisiting Milgram and Kishino’s Reality-Virtuality Continuum. Front. Virtual Real. 2021, 2, 647997. [Google Scholar] [CrossRef]
- Torner, J.; Skouras, S.; Molinuevo, J.L.; Gispert, J.D.; Alpiste, F. Multipurpose virtual reality environment for biomedical and health applications. IEEE Trans. Neural Syst. Rehabil. Eng. 2019, 27, 1511–1520. [Google Scholar] [CrossRef]
- Zając-Lamparska, L.; Wiłkość-Dębczyńska, M.; Wojciechowski, A.; Podhorecka, M.; Polak-Szabela, A.; Warchoł, Ł.; Kędziora-Kornatowska, K.; Araszkiewicz, A.; Izdebski, P. Effects of virtual reality-based cognitive training in older adults living without and with mild dementia: A pretest-posttest design pilot study. BMC Res. Notes 2019, 12, 776. [Google Scholar] [CrossRef]
- Singh, R.P.; Javaid, M.; Kataria, R.; Tyagi, M.; Haleem, A.; Suman, R. Significant applications of virtual reality for COVID-19 pandemic. Diabetes Metab. Syndr. 2020, 14, 661–664. [Google Scholar] [CrossRef] [PubMed]
- Abich, J.; Parker, J.; Murphy, J.S.; Eudy, M. A review of the evidence for training effectiveness with virtual reality technology. Virtual Real. 2021. [Google Scholar] [CrossRef]
- Eshuis, L.V.; van Gelderen, M.J.; van Zuiden, M.; Nijdam, M.J.; Vermetten, E.; Olff, M.; Bakker, A. Efficacy of immersive PTSD treatments: A systematic review of virtual and augmented reality exposure therapy and a meta-analysis of virtual reality exposure therapy. J. Psychiatr. Res. 2020. [Google Scholar] [CrossRef] [PubMed]
- Iwanaga, J.; Kamura, Y.; Nishimura, Y.; Terada, S.; Kishimoto, N.; Tanaka, T.; Tubbs, R.S. A new option for education during surgical procedures and related clinical anatomy in a virtual reality workspace. Clin. Anat. 2021, 34, 496–503. [Google Scholar] [CrossRef] [PubMed]
- Sherman, W.; Craig, A. Understanding Virtual Reality. Interface, Application, and Design, 2nd ed.; Elsevier Ltd.: Oxford, MS, USA, 2018. [Google Scholar] [CrossRef]
- Tom Dieck, M.C.; Jung, T. (Eds.) Augmented Reality and Virtual Reality. The Power of AR and VR for Business; Springer Nature: Cham, Switzerland, 2019. [Google Scholar] [CrossRef]
- Isernia, S.; Di Tella, S.; Pagliari, C.; Jonsdottir, J.; Castiglioni, C.; Gindri, P.; Salza, M.; Gramigna, C.; Palumbo, G.; Molteni, F.; et al. Effects of an Innovative Telerehabilitation Intervention for People with Parkinson’s Disease on Quality of Life, Motor, and Non-motor Abilities. Front. Neurol. 2020, 11, 846. [Google Scholar] [CrossRef] [PubMed]
- Cai, Y.; van Joolingen, W.; Veermans, K. (Eds.) Virtual and Augmented Reality, Simulation and Serious Games for Education; Springer: Singapore, 2021. [Google Scholar] [CrossRef]
- Cerritelli, F.; Chiera, M.; Abbro, M.; Megale, V.; Esteves, J.; Gallace, A.; Manzotti, A. The Challenges and Perspectives of the Integration Between Virtual and Augmented Reality and Manual Therapies. Front. Neurol. 2021, 12, 700211. [Google Scholar] [CrossRef] [PubMed]
- Giglioli, I.A.C.; Carrasco-Ribelles, L.A.; Parra, E.; Marín-Morales, J.; Alcañiz Raya, M. An Immersive Serious Game for the Behavioral Assessment of Psychological Needs. Appl. Sci. 2021, 11, 1971. [Google Scholar] [CrossRef]
- Hoffman, H.G. Interacting with virtual objects via embodied avatar hands reduces pain intensity and diverts attention. Sci. Rep. 2021, 11, 10672. [Google Scholar] [CrossRef]
- Trost, Z.; France, C.; Anam, M.; Shum, C. Virtual reality approaches to pain: Toward a state of the science. Pain 2021, 162, 325–331. [Google Scholar] [CrossRef]
- Chang, E.; Kim, H.T.; Yoo, B. Virtual reality sickness: A review of causes and measurements. Int. J. Hum. Comput. Int. 2020, 36, 1658–1682. [Google Scholar] [CrossRef]
- Martirosov, S.; Bureš, M.; Zítka, T. Cyber sickness in low-immersive, semi-immersive, and fully immersive virtual reality. Virtual Real. 2021, 1–18. [Google Scholar] [CrossRef]
- Rogers, L.J. Brain Asymmetry of Structure and/or Function. In Symmetry; MDPI: Basel, Switzerland, 2017. [Google Scholar] [CrossRef][Green Version]
- Rogers, L.J. Left Versus Right Asymmetries of Brain and Behaviour. In Symmetry; MDPI: Basel, Switzerland, 2019. [Google Scholar] [CrossRef]
- Güntürkün, O.; Ströckens, F.; Ocklenburg, S. Brain Lateralization: A Comparative Perspective. Physiol. Rev. 2020, 100, 1019–1063. [Google Scholar] [CrossRef]
- Esteves, M.; Ganz, E.; Sousa, N.; Leite-Almeida, H. Asymmetrical Brain Plasticity: Physiology and Pathology. Neuroscience 2021, 454, 3–14. [Google Scholar] [CrossRef]
- Frasnelli, E. Looking at lateralization as a dynamic and plastic feature of nervous systems. Laterality 2021, 26, 323–326. [Google Scholar] [CrossRef]
- Palomero-Gallagher, N.; Amunts, K. A short review on emotion processing: A lateralized network of neuronal networks. Brain Struct. Funct. 2021. [Google Scholar] [CrossRef] [PubMed]
- Sha, Z.; Schijven, D.; Carrion-Castillo, A.; Joliot, M.; Mazoyer, B.; Fisher, S.E.; Crivello, F.; Francks, C. The genetic architecture of structural left-right asymmetry of the human brain. Nat. Hum. Behav. 2021. [Google Scholar] [CrossRef] [PubMed]
- Costanzo, E.Y.; Villarreal, M.; Drucaroff, L.J.; Ortiz-Villafañe, M.; Castro, M.N.; Goldschmidt, M.; Wainsztein, A.E.; Ladrón-de-Guevara, M.S.; Romero, C.; Brusco, L.I.; et al. Hemispheric specialization in affective responses, cerebral dominance for language, and handedness: Lateralization of emotion, language, and dexterity. Behav. Brain Res. 2015, 288, 11–19. [Google Scholar] [CrossRef] [PubMed]
- Volz, L.J.; Gazzaniga, M.S. Interaction in isolation: 50 years of insights from split-brain research. Brain 2017, 140, 2051–2060. [Google Scholar] [CrossRef] [PubMed]
- Bishop, C.; Turner, A.; Read, P. Effects of inter-limb asymmetries on physical and sports performance: A systematic review. J. Sports Sci. 2018, 36, 1135–1144. [Google Scholar] [CrossRef]
- De Haan, E.H.F.; Corballis, P.M.; Hillyard, S.A.; Marzi, C.A.; Seth, A.; Lamme, V.A.F.; Volz, L.; Fabri, M.; Schechter, E.; Bayne, T.; et al. Split-Brain: What We Know Now and Why This is Important for Understanding Consciousness. Neuropsychol. Rev. 2020, 30, 224–233. [Google Scholar] [CrossRef]
- Marcori, A.J.; Okazaki, V.H.A. A historical, systematic review of handedness origins. Laterality 2020, 25, 87–108. [Google Scholar] [CrossRef]
- Papadatou-Pastou, M.; Ntolka, E.; Schmitz, J.; Martin, M.; Munafò, M.R.; Ocklenburg, S.; Paracchini, S. Human handedness: A meta-analysis. Psychol. Bull. 2020, 146, 481–524. [Google Scholar] [CrossRef]
- Michel, G.F. Handedness Development: A Model for Investigating the Development of Hemispheric Specialization and Interhemispheric Coordination. Symmetry 2021, 13, 992. [Google Scholar] [CrossRef]
- Corbetta, D.; Williams, J.; Snapp-Childs, W. Plasticity in the development of handedness: Evidence from normal development and early asymmetric brain injury. Dev. Psychobiol. 2006, 48, 460–471. [Google Scholar] [CrossRef] [PubMed]
- Muraleedharan, A.; Ragavan, S.; Devi, R. Are Footedness and Lateral Postures Better Predictors of Hemispheric Dominance Than Handedness: A Cross-sectional Questionnaire-Based Clinical and Pedigree Study. J. Neurosci. Rural. Pract. 2020, 11, 130–134. [Google Scholar] [CrossRef]
- Duboc, V.; Dufourcq, P.; Blader, P.; Roussigné, M. Asymmetry of the Brain: Development and Implications. Annu. Rev. Genet. 2015, 49, 647–672. [Google Scholar] [CrossRef] [PubMed]
- Derakhshan, I. Lateralities of motor control and the alien hand always coincide: Further observations on directionality in callosal traffic underpinning handedness. Neurol. Res. 2009, 31, 258–264. [Google Scholar] [CrossRef] [PubMed]
- Coddard Blythe, S. (Ed.) Attention, Balance and Coordination: The A.B.C. of Learning Success; John Wiley & Sons: Hoboken, NJ, USA, 2017; ISBN 978-1-119-16476-0. [Google Scholar]
- Utesch, T.; Mentzel, S.V.; Strauss, B.; Büsch, D. Chapter 4—Measurement of Laterality and Its Relevance for Sports. In Laterality in Sports. Theories and Applications, 1st ed.; Loffing, F., Hagemann, N., Strauss, B., MacMahon, C., Eds.; Elsevier Academic Press: Cambridge, MA, USA, 2016; pp. 65–86. [Google Scholar] [CrossRef]
- Yang, L.Z.; Zhang, W.; Wang, W.; Yang, Z.; Wang, H.; Deng, Z.D.; Li, C.; Qiu, B.; Zhang, D.R.; Kadosh, R.C.; et al. Neural and Psychological Predictors of Cognitive Enhancement and Impairment from Neurostimulation. Adv. Sci. 2020, 7, 1902863. [Google Scholar] [CrossRef]
- Ruck, L.; Schoenemann, P.T. Handedness measures for the Human Connectome Project: Implications for data analysis. Laterality 2021, 26, 584–606. [Google Scholar] [CrossRef]
- Buchmann, I.; Randerath, J. Selection and application of familiar and novel tools in patients with left and right hemispheric stroke: Psychometrics and normative data. Cortex 2017, 94, 49–62. [Google Scholar] [CrossRef]
- Paquet, A.; Golse, B.; Girard, M.; Olliac, B.; Vaivre-Douret, L. Laterality and Lateralization in Autism Spectrum Disorder, Using a Standardized Neuro-Psychomotor Assessment. Dev. Neuropsychol. 2017, 42, 39–54. [Google Scholar] [CrossRef]
- Bryden, P.J.; Pryde, K.M.; Roy, E.A. A performance measure of the degree of hand preference. Brain Cogn. 2000, 44, 402–414. [Google Scholar] [CrossRef] [PubMed]
- Brown, S.G.; Roy, E.A.; Rohr, L.E.; Snider, B.R.; Bryden, P.J. Preference and performance measures of handedness. Brain Cogn. 2004, 55, 283–285. [Google Scholar] [CrossRef]
- Oldfield, R.C. The assessment and analysis of handedness: The Edinburgh inventory. Neuropsychologia 1971, 9, 97–113. [Google Scholar] [CrossRef]
- Oldfield Handedness Questionnaire. Available online: https://www.brainmapping.org/shared/Edinburgh.php (accessed on 5 September 2021).
- Veale, J.F. Edinburgh Handedness Inventory—Short Form: A revised version based on confirmatory factor analysis. Laterality 2014, 19, 164–177. [Google Scholar] [CrossRef]
- Bryden, M. Measuring handedness with questionnaires. Neuropsychologia 1977, 15, 617–624. [Google Scholar] [CrossRef]
- Williams, N.; Scharoun Benson, S.M.; Bryden, P.J. Investigating the Efficacy of the Hand Selection Complexity Task Across the Lifespan. Front. Psychol. 2019, 10, 1130. [Google Scholar] [CrossRef] [PubMed]
- Annett, M. A classification of hand preference by association analysis. Br. J. Psychol. 1970, 61, 303–321. [Google Scholar] [CrossRef] [PubMed]
- Annett, M. Patterns of hand preference for pairs of actions and the classification of handedness. Br. J. Psychol. 2009, 100, 491–500. [Google Scholar] [CrossRef][Green Version]
- Beaton, A.A.; Corballis, M.; McManus, C. Obituary for Dr. Marian Annett, 1931–2018. Laterality 2020, 5, 405–412. [Google Scholar] [CrossRef]
- Nelson, E.L.; Gonzalez, S.L.; El-Asmar, J.M.; Ziade, M.F.; Abu-Rustum, R.S. The home handedness questionnaire: Pilot data from preschoolers. Laterality 2019, 24, 482–503. [Google Scholar] [CrossRef]
- Gonzalez, S.L.; Nelson, E.L. Factor analysis of the Home Handedness Questionnaire: Unimanual and role differentiated bimanual manipulation as separate dimensions of handedness. Appl. Neuropsychol. Adult 2021, 28, 173–184. [Google Scholar] [CrossRef] [PubMed]
- Florkiewicz, V. My Profile of Domination—The Illustrated Test to Investigation of Lateralization at Children and Adult; Harmonia Publisher: Gdańsk, Poland, 2016. (In Polish) [Google Scholar]
- Bryden, P.J.; Roy, E.A.; Spence, J. An observational method of assessing handedness in children and adults. Dev. Neuropsychol. 2007, 32, 825–846. [Google Scholar] [CrossRef] [PubMed]
- Incel, N.A.; Sezgin, M.; As, I.; Cimen, O.B.; Sahin, G. The geriatric hand: Correlation of hand-muscle function and activity restriction in elderly. Int. J. Rehabil. Res. 2009, 32, 213–218. [Google Scholar] [CrossRef] [PubMed]
- Księżopolska-Orłowska, K.; Sadura-Sieklucka, T.; Kasprzak, K.; Gaszewska, E.; Rodkiewicz-Bogusławska, A.; Sokołowska, B. The beneficial effects of rehabilitation on hand function in patients with rheumatoid arthritis. Reumatologia 2016, 54, 285–290. [Google Scholar] [CrossRef] [PubMed]
- McManus, I.C.; Van Horn, J.D.; Bryden, P.J. The Tapley and Bryden test of performance differences between the hands: The original data, newer data, and the relation to pegboard and other tasks. Laterality 2016, 21, 371–396. [Google Scholar] [CrossRef][Green Version]
- Sadura-Sieklucka, T.; Sokołowska, B.; Prusinowska, A.; Trzaska, A.; Księżopolska-Orłowska, K. Benefits of wrist splinting in patients with rheumatoid arthritis. Reumatologia 2018, 56, 362–367. [Google Scholar] [CrossRef]
- El-Gohary, T.M.; Abd Elkader, S.M.; Al-Shenqiti, A.M.; Ibrahim, M.I. Assessment of hand-grip and key-pinch strength at three arm positions among healthy college students: Dominant versus non-dominant hand. J. Taibah. Univ. Med. Sci. 2019, 14, 566–571. [Google Scholar] [CrossRef]
- Olczak, A.; Truszczyńska-Baszak, A. Influence of the Passive Stabilization of the Trunk and Upper Limb on Selected Parameters of the Hand Motor Coordination, Grip Strength and Muscle Tension, in Post-Stroke Patients. J. Clin. Med. 2021, 10, 2402. [Google Scholar] [CrossRef]
- Chruzik, K.; Korchut, A. A new method of psychotechnical testing of transport operators. MATEC Web Conf. 2018, 231, 1–8. [Google Scholar] [CrossRef][Green Version]
- Neuroforma System. Available online: https://www.neuro-forma.com/ (accessed on 5 September 2021).
- Pawlowski, M. Neuroforma—Innovative Solution for Neurorehabilitation. J. Alzheimers Dement. 2019, 2. Available online: https://www.imedpub.com/abstract/neuroforma--innovative-solution-for-neurorehabilitation-28329.html (accessed on 5 September 2021).
- Sokołowska, B.; Sadura-Sieklucka, T.; Sokołowska, E. Examples of examination and assessment of the dominant and non-dominant hand function in health and disease conditions. In Problems in the Field of Medicine and Related Sciences—Review and Research; Maciąg, M., Danielewska, A., Eds.; TYGIEL Scientific Publisher: Lublin, Poland, 2019; Volume 1, pp. 228–248. Available online: http://bc.wydawnictwo-tygiel.pl/publikacja/2ECFE981-664B-C8BA-B77E-EF0346FFFE68 (accessed on 5 September 2021). (In Polish)
- HBP. Available online: https://www.humanbrainproject.eu/ (accessed on 5 September 2021).
- Amunts, K.; Knoll, A.C.; Lippert, T.; Pennartz, C.M.A.; Ryvlin, P.; Destexhe, A.; Jirsa, V.K.; D’Angelo, E.; Bjaalie, J.G. The Human Brain Project-Synergy between neuroscience, computing, informatics, and brain-inspired technologies. PLoS Biol. 2019, 17, e3000344. [Google Scholar] [CrossRef]
- Kong, X.Z.; Postema, M.C.; Guadalupe, T.; de Kovel, C.; Boedhoe, P.S.W.; Hoogman, M.; Mathias, S.R.; van Rooij, D.; Schijven, D.; Glahn, D.C.; et al. Mapping brain asymmetry in health and disease through the ENIGMA consortium. Hum. Brain Mapp. 2020. [Google Scholar] [CrossRef] [PubMed]
- Cuellar-Partida, G.; Tung, J.Y.; Eriksson, N.; Albrecht, E.; Aliev, F.; Andreassen, O.A.; Barroso, I.; Beckmann, J.S.; Boks, M.P.; Boomsma, D.I.; et al. Genome-wide association study identifies 48 common genetic variants associated with handedness. Nat. Hum. Behav. 2021, 5, 59–70. [Google Scholar] [CrossRef] [PubMed]
- Brandler, W.M.; Paracchini, S. The genetic relationship between handedness and neurodevelopmental disorders. Trends Mol. Med. 2014, 20, 83–90. [Google Scholar] [CrossRef]
- Schmitz, J.; Metz, G.A.S.; Güntürkün, O.; Ocklenburg, S. Beyond the genome-Towards an epigenetic understanding of handedness ontogenesis. Prog. Neurobiol. 2017, 159, 69–89. [Google Scholar] [CrossRef] [PubMed]
- Marcori, A.J.; Grosso, N.D.S.; Porto, A.B.; Okazaki, V.H.A. Beyond handedness: Assessing younger adults and older people lateral preference in six laterality dimensions. Laterality 2019, 24, 163–175. [Google Scholar] [CrossRef]
- Hill, C.; Van Gemmert, A.W.A.; Fang, Q.; Hou, L.; Wang, J.; Pan, Z. Asymmetry in the aging brain: A narrative review of cortical activation patterns and implications for motor function. Laterality 2020, 25, 413–429. [Google Scholar] [CrossRef]
- Woytowicz, E.J.; Sainburg, R.L.; Westlake, K.P.; Whitall, J. Competition for limited neural resources in older adults leads to greater asymmetry of bilateral movements than in young adults. J. Neurophysiol. 2020, 123, 1295–1304. [Google Scholar] [CrossRef]
- Carmeli, E.; Patish, H.; Coleman, R. The aging hand. J. Gerontol. Ser. A Biol. Sci. Med. Sci. 2003, 58, 146–152. [Google Scholar] [CrossRef]
- Park, J.; Pažin, N.; Friedman, J.; Zatsiorsky, V.M.; Latash, M.L. Mechanical properties of the human hand digits: Age-related differences. Clin. Biomech. 2014, 29, 129–137. [Google Scholar] [CrossRef]
- Dolcos, F.; Rice, H.J.; Cabeza, R. Hemispheric asymmetry and aging: Right hemisphere decline or asymmetry reduction. Neurosci. Biobehav. Rev. 2002, 26, 819–825. [Google Scholar] [CrossRef]
- Wang, J.; D’Amato, A.; Bambrough, J.; Swartz, A.M.; Miller, N.E. A positive association between active lifestyle and hemispheric lateralization for motor control and learning in older adults. Behav. Brain Res. 2016, 314, 38–44. [Google Scholar] [CrossRef]
- Sebastjan, A.; Skrzek, A.; Ignasiak, Z.; Sławińska, T. Age-related changes in hand dominance and functional asymmetry in older adults. PLoS ONE 2017, 12, e0177845. [Google Scholar] [CrossRef] [PubMed]
- Jasper, J.D.; Christman, S.D.; Clarkson, E. Predicting interactions in handedness research: The role of integrated versus independent dual-processes. Laterality 2021, 15, 1–17. [Google Scholar] [CrossRef]
- Sokołowska, B.; Sokołowska, E. An Example of the Assessment of Human Laterality Using Virtual Reality. IJIRCCE 2019, 7, 3555–3562. Available online: http://ijircce.com/admin/main/storage/app/pdf/KdxZlKhLTCPJ5Fekz5R9wfuhT7qtfDYfS9dn2Atb.pdf (accessed on 5 September 2021). [CrossRef]
- Sokołowska, B.; Sokołowska, E. Machine Learning algorithms to study of laterality in Virtual Reality. Neuroinformatics 2019. [Google Scholar] [CrossRef]
- Sokołowska, B. A novel virtual reality approach for functional lateralization in healthy adults. Brain Res. 2021, 1766, 147537. [Google Scholar] [CrossRef] [PubMed]
- Buxbaum, L.J.; Dawson, A.M.; Linsley, D. Reliability and validity of the Virtual Reality Lateralized Attention Test in assessing hemispatial neglect in right-hemisphere stroke. Neuropsychology 2012, 26, 430–441. [Google Scholar] [CrossRef]
- Pedroli, E.; Serino, S.; Cipresso, P.; Pallavicini, F.; Riva, G. Assessment and rehabilitation of neglect using virtual reality: A systematic review. Front. Behav. Neurosci. 2015, 9, 226. [Google Scholar] [CrossRef]
- Ogourtsova, T.; Archambault, P.; Sangani, S.; Lamontagne, A. Ecological Virtual Reality Evaluation of Neglect Symptoms (EVENS): Effects of Virtual Scene Complexity in the Assessment of Poststroke Unilateral Spatial Neglect. Neurorehabil. Neural. Repair. 2018, 32, 46–61. [Google Scholar] [CrossRef]
- Kim, T.L.; Kim, K.; Choi, C.; Lee, J.Y.; Shin, J.H. FOPR test: A virtual reality-based technique to assess field of perception and field of regard in hemispatial neglect. J. Neuroeng. Rehabil. 2021, 18, 39. [Google Scholar] [CrossRef] [PubMed]
- Hillis, A.E. Neurobiology of unilateral spatial neglect. Neuroscientist 2006, 12, 153–163. [Google Scholar] [CrossRef]
- Rode, G.; Fourtassi, M.; Pagliari, C.; Pisella, L.; Rossetti, Y. Complexity vs. unity in unilateral spatial neglect. Rev. Neurol. 2017, 173, 440–450. [Google Scholar] [CrossRef] [PubMed]
- Gammeri, R.; Iacono, C.; Ricci, R.; Salatino, A. Unilateral Spatial Neglect After Stroke: Current Insights. Neuropsychiatr. Dis. Treat. 2020, 16, 131–152. [Google Scholar] [CrossRef] [PubMed]
- Kourtesis, P.; Collina, S.; Doumas, L.A.A.; MacPherson, S.E. Validation of the Virtual Reality Neuroscience Questionnaire: Maximum Duration of Immersive Virtual Reality Sessions Without the Presence of Pertinent Adverse Symptomatology. Front. Hum. Neurosci. 2019, 13, 417. [Google Scholar] [CrossRef] [PubMed]







| Test Tasks | Score Differences between the Dominant and Non-Dominant Hand [%] | ||
|---|---|---|---|
| Easy Level | Medium Level | Difficult Level | |
| Real BUTTONS | 6.6 ± 5.1 ** | 7.9 ± 7.4 *** | 6.5 ± 4.9 *** |
| Virtual BOX | 0.0 ± 0.0 | 0.4 ± 0.6 | 3.3 ± 2.4 ** |
| Virtual BALLS | 0.0 ± 0.0 | 0.5 ± 0.7 | 3.4 + 2.5 ** |
| Examples of Real Clinical Test Tasks | Duration of the Performed Test [Seconds] | ||
|---|---|---|---|
| Right (Dominat) Hand | Left (Non-Dominat) Hand | Difference | |
| Moving small balls from place to place | 21.3 ± 3.7 | 20.2 ± 3.4 | 1.1 ± 0.9 *** |
| Locking turns | 13.3 ± 3.4 | 12.3 ± 2.9 | 1.0 ± 1.5 *** |
Publisher’s Note: MDPI stays neutral with regard to jurisdictional claims in published maps and institutional affiliations. |
© 2021 by the author. Licensee MDPI, Basel, Switzerland. This article is an open access article distributed under the terms and conditions of the Creative Commons Attribution (CC BY) license (https://creativecommons.org/licenses/by/4.0/).
Share and Cite
Sokołowska, B. A Novel Perspective for Examining and Comparing Real and Virtual Test Tasks Performed by the Dominant and Non-Dominant Hand in Healthy Adults. Symmetry 2021, 13, 1810. https://doi.org/10.3390/sym13101810
Sokołowska B. A Novel Perspective for Examining and Comparing Real and Virtual Test Tasks Performed by the Dominant and Non-Dominant Hand in Healthy Adults. Symmetry. 2021; 13(10):1810. https://doi.org/10.3390/sym13101810
Chicago/Turabian StyleSokołowska, Beata. 2021. "A Novel Perspective for Examining and Comparing Real and Virtual Test Tasks Performed by the Dominant and Non-Dominant Hand in Healthy Adults" Symmetry 13, no. 10: 1810. https://doi.org/10.3390/sym13101810
APA StyleSokołowska, B. (2021). A Novel Perspective for Examining and Comparing Real and Virtual Test Tasks Performed by the Dominant and Non-Dominant Hand in Healthy Adults. Symmetry, 13(10), 1810. https://doi.org/10.3390/sym13101810
