Application of Monoclonal Antibodies against Naturally Occurring Bioactive Ingredients
Abstract
1. Introduction
2. Monoclonal Antibody (Mab)
3. Eastern Blotting
3.1. Single Eastern Blotting
3.2. Double Eastern Blotting
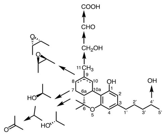
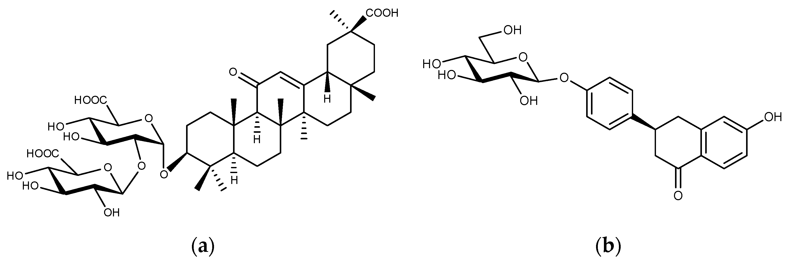
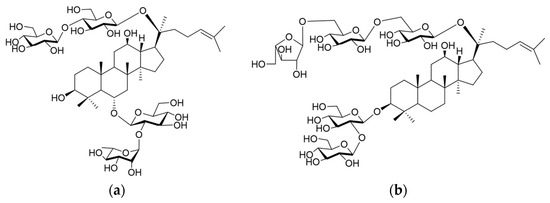
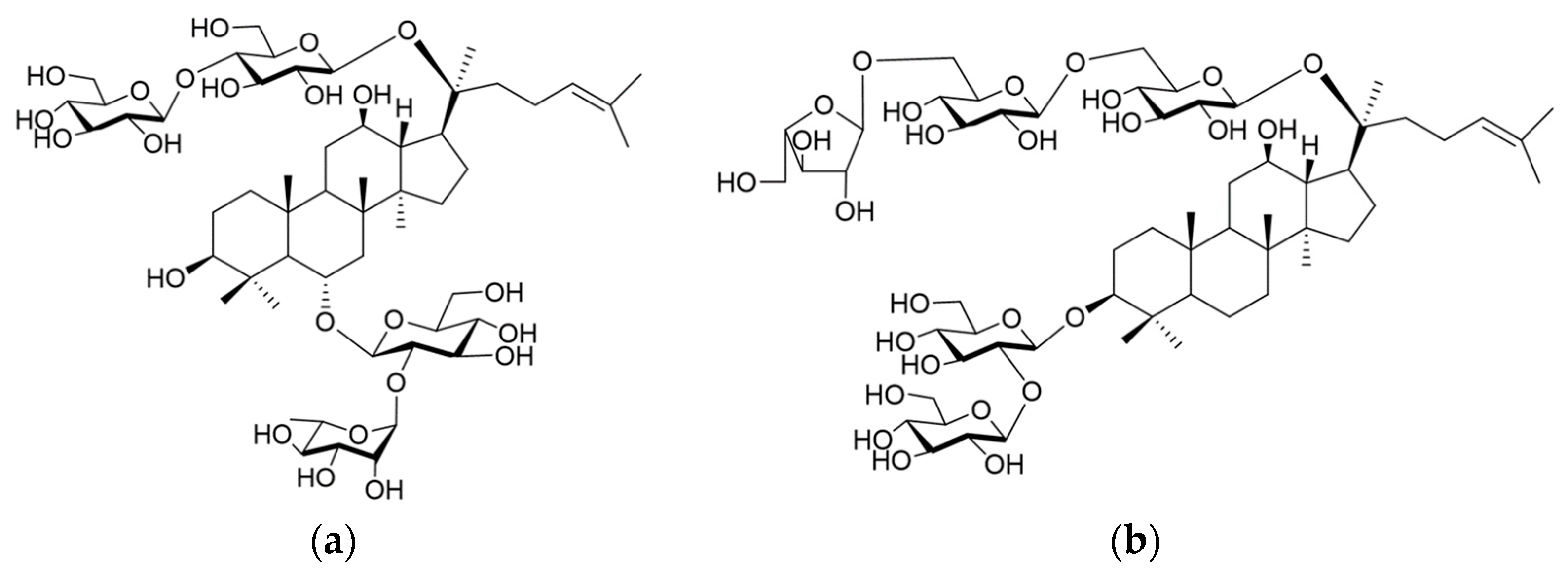
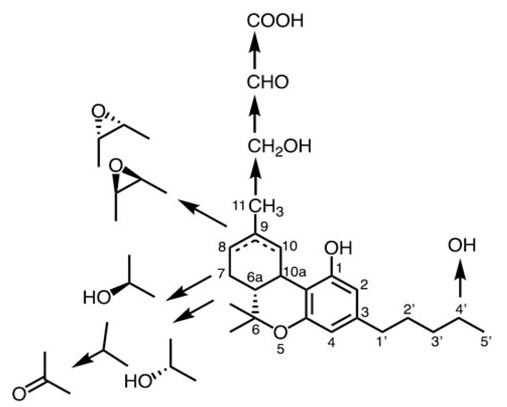
4. Knockout Extract
5. Conclusions
Author Contributions
Funding
Institutional Review Board Statement
Informed Consent Statement
Data Availability Statement
Acknowledgments
Conflicts of Interest
References
- Adams, M.A.; Nakanishi, K. Selected Uses of HPLC for th Separation of Natural Products. J. Liq. Chromatog. 1979, 2, 1097–1136. [Google Scholar] [CrossRef]
- Vuorela, P.; Leinonen, M.; Saikku, P.; Tammela, P.; Rauh, J.P.; Wennberg, T.; Vuorela, H. Natural Products in the Process of Finding New Drug Candidates. Curr. Med. Chem. 2004, 11, 1375–1389. [Google Scholar] [CrossRef]
- Wolfender, J.L. HPLC in natural product analysis: The detection issue. Planta Med. 2009, 75, 719–734. [Google Scholar] [CrossRef]
- Pan, Y.; Zhang, Y.; Gong, X.; Li, F. Estimation of genome size of four Panax species by flow cytometry. Plant Iversity 2014, 36, 233–236. [Google Scholar]
- Liu, L.; Xu, F.R.; Wang, Y.Z. Traditional uses, chemical diversity and biological activities of Panax L. (Araliaceae): A review. J. Ethnopharmacol. 2020, 263, 112792. [Google Scholar] [CrossRef]
- Yang, W.; Hu, Y.; Wu, W.; Ye, M.; Guo, D. Saponins in the enus Panax L. (Araliaceae): A systematic review of their chemical diversity. Phytochemistry 2014, 106, 7–24. [Google Scholar] [CrossRef] [PubMed]
- Ito, H.; Ito, M. Recent trends in ginseng research. J. Nat. Med. 2024, 78, 455–466. [Google Scholar] [CrossRef]
- Hou, M.; Wang, R.; Zhao, S.; Wang, Z. Ginsenosides in Paax genus and their biosynthesis. Acta Pharmac. Sin. B 2021, 11, 1813–1834. [Google Scholar] [CrossRef] [PubMed]
- Yoshino, T.; Shimada, S.; Homma, M.; Makino, T.; Mimura, M.; Watanabe, K. Clinical risk factors of licorice-induced pseudoaldosteronism based on glycyrrhizin-metabolite concentrations: A narrative review. Front. Nutr. 2021, 8, 719197. [Google Scholar] [CrossRef]
- Seki, H.; Ohyama, K.; Sawai, S.; Mizutani, M.; Ohnishi, T.; Sudo, H.; Akashi, T.; Aoki, T.; Saito, K.; Muranaka, T. Licorice beta-amyrin 11-oxidase, a cytochrome P450 with a key role in the biosynthesis of the triterpene sweetener glycyrrhizin. Proc. Natl. Acad. Sci. USA 2008, 105, 4204–4209. [Google Scholar] [CrossRef] [PubMed]
- Seki, H.; Sawai, S.; Ohyama, K.S.; Mizutani, M.; Ohnishi, T.; Sudo, H.; Fukushima, E.; Sudo, H.; Aoki, T.; Saito, K.; et al. Triterpene functional genomics in licorice for identification of CYP72A154 involved in the biosynthesis of glycyrrhizin. Plant Cell 2011, 23, 4112–4123. [Google Scholar] [CrossRef]
- Xu, G.; Cai, W.; Gao, W.; Liu, C. A novel glucuronosyltransferase has an unprecedented ability to catalyse continuous two-step glucuronosylation of GA to yield glycyrrhizin. New Phytol. 2016, 212, 123–125. [Google Scholar] [CrossRef] [PubMed]
- Chen, K.; Hu, Z.; Song, W.; Wang, Z. Diversity of o-glycosyltransferases contributes to the biosynthesis of flavonoid and triterpenoid glycosides in Glycyrrhiza uralensis. ACS Synth. Biol. 2019, 8, 1858–1866. [Google Scholar] [CrossRef] [PubMed]
- Chung, S.Y.; Seki, H.; Fujisawa, Y.; Shimoda, Y.; Hiraga, S.; Nomura, Y.; Saito, K.; Ishimoto, M.; Muranaka, T. A cellulose synthase-derived enzyme catalyses 3-O-glucuronosylation in saponin biosynthesis. Nat. Commun. 2020, 11, 5664. [Google Scholar] [CrossRef] [PubMed]
- Sakanishi, M.; Chung, S.Y.; Fujiwara, K.; Kojoma, M.; Muranaka, T.; Seki, H. Disruption of a licorice cellulose synthase-derived glycosyltransferase gene demonstrates its in planta role in soyasaponin biosynthesis. Plant Cell Rep. 2024, 43, 15. [Google Scholar] [CrossRef] [PubMed]
- Kimura, Y.; Aoki, T.; Ayabe, S. Chalcone isomerase isozymes with different substrate specificities towards 6′-hydroxy- and 6′-deoxychalcones in cultured cells of Glycyrrhiza echinata, a Leguminous plant producing 5-deoxyflavonoids. Plant Cell Physiol. 2001, 42, 1169–1173. [Google Scholar] [CrossRef] [PubMed][Green Version]
- Jiang, D.; Li, P.; Yin, Y.; Ren, G.; Liu, C. Molecular cloning and functional characterization of UGTs from Glycyrrhiza uralensi flavonoid pathway. Int. J. Biolog. Macromolec. 2021, 192, 1108–1116. [Google Scholar] [CrossRef]
- Hayashi, H.; Fukui, H.; Tabata, M. Distribution pattern of saponins in different organs of Glycyrrhiza Glabra. Planta Med. 1993, 59, 351–353. [Google Scholar] [CrossRef] [PubMed]
- Hayashi, H.; Hiraoka, N.; Ikeshiro, Y.; Yamamoto, H. Organ specific localization of flavonoids in Glycyrrhiza glabra L. Plant Sci. 1996, 116, 233–238. [Google Scholar] [CrossRef]
- Kojoma, M.; Hayashi, S.; Shibata, T.; Yamamoto, Y.; Sekizaki, H. Variation of glycyrrhizin and liquiritin contents within a population of 5-year-old licorice (Glycyrrhiza uralensis) plants cultivated under the same conditions. Biol. Pharm. Bull. 2011, 34, 1334–1337. [Google Scholar] [CrossRef]
- Wang, C.; Chen, L.; Cai, Z.; Chen, C.; Liu, Z.; Liu, S.; Zou, L.; Tan, M.; Chen, J.; Liu, X.; et al. Metabolite profiling and transcriptome analysis explains difference in accumulation of bioactive constituents in licorice (Glycyrrhiza uralensis) under salt stress. Front. Plant Sci. 2021, 12, 727882. [Google Scholar] [CrossRef] [PubMed]
- Xie, W.; Hao, Z.; Yu, M.; Wu, Z.; Zhao, A.; Li, J.; Zhang, X.; Chen, B. Improved phosphorus nutrition by arbuscular mycorrhizal symbiosis as a key factor facilitating glycyrrhizin and liquiritin accumulation in Glycyrrhiza uralensis. Plant Soil 2019, 439, 243–257. [Google Scholar] [CrossRef]
- Shoyama, Y.; Fukada, T.; Tanaka, H.; Kusai, A.; Nojima, K. Direct determination of opium alkaloid-bovineserm albumin conjugate by matrix-assisied laser desorption/ionization mass spectrometry. Biol. Pharm. Bull. 1993, 16, 1051–1053. [Google Scholar] [CrossRef] [PubMed]
- Zhang, Y.; Cao, P.; Lu, F.; Yan, X.; Jiang, B.; Cheng, J.; Qu, H. Generation of Monoclonal Antibodies Against Natural Products. J. Vis. Exp. 2019, 146. [Google Scholar] [CrossRef]
- Ohta, T.S.; Ehama, R.; Irikida, M.; Nomura, S.; Shoyama, Y.; Uto, T. Development of an indirect competitive enzyme-linked immunosorbent assay for formononetin and its application in a cell-based assay using MC3T3-E1 cells. Food Chem. 2023, 403, 134339. [Google Scholar]
- Shoyama, Y.; Tamada, T.; Kurihara, K.; Takeuchi, A.; Taura, F.; Arai, S.; Blaber, M.; Shoyama, Y.; Morimoto, S.; Kuroki, R. Structure and function of ∆1-tetrahydrocannabinolic acid (THCA) synthase, the enzyme controlling the psychoactivity of Cannabis sativa. J. Mol. Biol. 2012, 423, 96–105. [Google Scholar] [CrossRef]
- Watanabe, K.; Matsunaga, T.; Kimura, T.; Funahashi, T.; Yamaori, S.; Shoyama, Y.; Yamamoto, I. Stereospecific and regioselective hydrolysis of cannabinoid esters by ES46.5K, an esterase from mouse hepatic microsomes, and its differences from carboxylesterases of rabbit and porcine liver. Biol. Pharm. Bull. 2005, 28, 1743–1747. [Google Scholar] [CrossRef] [PubMed]
- Blebea, N.M.; Pricopie, A.I.; Vlad, R.A.; Hancu, G. Phytocannabinoids: Exploring pharmacological profiles and their impact on therapeutical use. Int. J. Mol. Sci. 2024, 25, 4204. [Google Scholar] [CrossRef] [PubMed]
- Elmes, M.W.; Kaczocha, M.; Berger, W.T.; Leung, K.; Ralph, B.P.; Wang, L. Fatty acid-binding proteins (FABPs) are intracellular carriers for Δ9-tetrahydrocannabinol (THC) and cannabidiol (CBD). J. Biol. Chem. 2015, 290, 8711–8721. [Google Scholar] [CrossRef]
- Elmes, M.W.; Prentis, L.E.; McGoldrick, L.L.; Giuliano, C.J.; Sweeney, J.M.; Joseph, O.M. FABP1 controls hepatic transport and biotransformation of Δ9-THC. Sci. Rep. 2019, 9, 7588. [Google Scholar] [CrossRef]
- Putalun, W.; Taura, F.; Qing, W.; Matsushita, H.; Tanaka, H.; Shoyama, Y. Anti-solasodine glycoside single-chain Fv antibody stimulates biosynthesis of solasodine glycoside in plants. Plant Cell Rep. 2003, 22, 344–349. [Google Scholar] [CrossRef] [PubMed]
- Shan, S.J.; Tanaka, H.; Shoyama, Y. Enzyme-linked immunosorbent assay for glycyrrhizin using anti-glycyrrhizin monoclonal antibody and a new eastern blotting for glucronides of glycyrrhetinic acid. Anal. Chem. 2001, 73, 5784–5790. [Google Scholar] [CrossRef] [PubMed]
- Uto, T.; Morinaga, O.; Tanaka, H.; Shoyama, Y. Analysis of the synergistic effect of glycyrrhizin and other constituents in licorice extract on lipopolysaccharide-induced nitric oxide production using knock-out extract. Biochem. Biophysic. Res. Commun. 2012, 417, 473–478. [Google Scholar] [CrossRef] [PubMed]
- Huston, J.S.; McCartney, J.; Tai, M.S.; Mottola-Hartshorn, C.; Jin, D.; Warren, F.; Keck, P.; Oppermenn, H. Medicinal applications of single-chain antibodies. Int. Rev. Immunol. 1993, 10, 195–217. [Google Scholar] [CrossRef] [PubMed]
- Tang, P.M.; Foltz, L.A.; Mahoney, W.C.; Schueler, P.A. A high affinity dioxin-binding protein displayed on M13 is functionally identical to the native protein. J. Biol. Chem. 1995, 270, 7829–7835. [Google Scholar] [CrossRef] [PubMed]
- Ziegler, A.; Torrance, L.; Macintosh, S.M.; Cowan, G.H.; Maya, M.A. Cucumber mosaic cucumovirus antibodies from a synthetic phase display library. Virology 1995, 214, 1302–1305. [Google Scholar] [CrossRef] [PubMed][Green Version]
- Harper, K.; Kerschbaumer, R.; Ziegler, A.; Macintosh, S.M.; Cowan, G.H.; Himmler, G. A scFv-alkaline phosphatase fusion protein which detects potato leafroll luteovirus in plant extracts by ELISA. J. Virol. Methods 1997, 63, 237–242. [Google Scholar] [CrossRef]
- Hoogenboom, H.R. Designing and optimizing library selection strategies for generating high-affinity antibodies. Trends Biotechnol. 1997, 15, 62–70. [Google Scholar] [CrossRef] [PubMed]
- Artsaenko, O.; Peisker, M.; Nieden, U.; Fiedler, U.; Weiler, E.W.; Muntz, K.; Conrad, U. Expression of a single-chain Fv antibody against abscisic acid creates a wilty phenotype in transgenic tobacco. Plant J. 1995, 8, 745–750. [Google Scholar] [CrossRef]
- Han, J.Y.; Hwang, H.S.; Choi, S.W.; Kim, H.J.; Choi, Y.E. Cytochrome P450 CYP716A53v2 Catalyzes the Formation of Protopanaxatriol from Protopanaxadiol During Ginsenoside Biosynthesis in Panax ginseng. Plant Cell. Physiol. 2012, 53, 1535–1545. [Google Scholar] [CrossRef]
- Li, X.W.; Morinaga, O.; Tian, M.; Uto, T.; Yu, J.; Shang, M.Y.; Wang, X.; Cai, S.Q.; Shoyama, Y. Development of Eastern blotting technique for the visual detection of aristolochic acids in Aristolochia and Asarum species using monoclonal antibody against aristolochic acids I and II. Phytochem. Anal. 2013, 24, 645–653. [Google Scholar] [CrossRef] [PubMed]
- Putalun, W.; Tanaka, H.; Yahara, S.; Lhieochaiphan, S.; Shoyama, Y. Survey of solasodine-type glycoalkaloids by western blotting and ELISA using anti-solamargine monoclonal antibody. Biol. Pharm. Bull. 2000, 23, 72–75. [Google Scholar] [CrossRef] [PubMed][Green Version]
- Shen, K.H.; Hung, J.H.; Chang, C.W.; Weng, Y.T.; Wu, M.J.; Chen, P.S. Solasodine inhibits invasion of human lung cancer cell through downregulation of miR-21 and MMPs expression. Chemico-Biol. Inter. 2017, 268, 129–135. [Google Scholar] [CrossRef]
- Ahmed, T.; Raza, S.H.; Maryam, A.; Setzer, W.N.; Braidy, N.; Nabavi, S.F.; Nabavi, S.M. Ginsenoside Rb1 as a neuroprotective agent: A review. Brain Res. Bull. 2016, 125, 30–43. [Google Scholar] [CrossRef] [PubMed]
- Gong, L.; Yin, J.; Zhang, Y.; Huang, R.; Lou, Y.; Jiang, H.; Sun, L.; Jia, J.; Zeng, X. Neuroprotective Mechanisms of Ginsenoside Rb1 in Central Nervous System Diseases. Front. Pharmacol. 2022, 13, 914352. [Google Scholar] [CrossRef] [PubMed]
- Tanaka, H.; Fukuda, N.; Yahara, S.; Isoda, S.; Yuan, C.S.; Shoyama, Y. Isolation of ginsenoside Rb1 from Kalopanax pictus by eastern blotting using anti-ginsenoside Rb1 monoclonal antibody. Phytother. Res. 2005, 19, 255–258. [Google Scholar] [CrossRef] [PubMed]
- Yoshizaki, K.; Devkota, H.P.; Shoji, Y. Four New Triterpenoid Saponins from the Leaves of Panax japonicus Grown in Southern Miyazaki Prefecture (4). Chem. Pharm. Bull. 2013, 61, 273–278. [Google Scholar] [CrossRef]
- Wang, X.J.; Xie, Q.; Liu, Y.; Jiang, S.; Li, W.; Li, B.; Wang, W.; Liu, C.X. Panax japonicus and chikusetsusaponins: A review of diverse biological activities and pharmacology mechanism. Chin. Herbal Med. 2021, 13, 64–77. [Google Scholar] [CrossRef]
- Smedegaard, S.B.; Svart, M.V. Licorice induced pseudohyperaldosteronism, severe hypertension, and long QT, Endocrinol Diverse. Metab. Case Rep. 2019, 2019, 19-0109. [Google Scholar]
- Makino, T. Exploration for the real causative agents of licorice-induced pseudoaldosteronism. J. Nat. Med. 2021, 75, 275–283. [Google Scholar] [CrossRef]
- Uneda, K.; Kawai, Y.; Kaneko, A.; Kayo, T.; Akiba, S.; Ishigami, Y.; Yoshida-Kamiya, H.; Suzuki, M.; Mitsuma, T. Analysis of clinical factors associated with Kampo formula induced pseudoaldosteronism based on self-reported information flrothe the Japanese adverse drug event reports database. PLoS ONE 2024, 19, e0296450. [Google Scholar] [CrossRef] [PubMed]
- Morinaga, O.; Ishiuchi, K.; Ohkita, T.; Tian, C.; Hirasawa, A.; Mitamura, M.; Maki, Y.; Yasujima, T.; Yuasa, H.; Makino, T. Isolation of a novel glycyrrhizin metabolite as a causal candidate compound for pseudoaldosteronism. Sci. Rep. 2018, 8, 15568. [Google Scholar] [CrossRef]
- Shoyama, Y. Studies on natural products using monoclonal antibodies: A review. Antibodies 2021, 10, 43. [Google Scholar] [CrossRef] [PubMed]
- Hong, H.; Baatar, D.; Hwang, S.G. Anticancer Activities of Ginsenosides, the Main Active Components of Ginseng. Evid. Based Compl. Alternat. Med. 2021, 2021, 8858006. [Google Scholar] [CrossRef]
- Wang, Y.Z.; Chen, J.; Chu, S.F.; Wang, Y.S.; Wang, X.Y.; Chen, N.H.; Zhang, J.T. Improvement of memory in mice and increase of hippocampal excitability in rats by ginsenoside Rg1’s metabolites ginsenoside Rh1 and protopanaxatriol. J. Pharmacol. Sci. 2009, 109, 504–510. [Google Scholar] [CrossRef]
- Kim, I.W.; Cha, K.M.; Wee, J.J.; Ye, M.B.; Kim, S.K. A new validated analytical method for the quality control of red ginseng products. J. Ginseng Res. 2013, 37, 475–482. [Google Scholar] [CrossRef]
- Chen, X.J.; Zhang, X.J.; Shui, Y.M.; Wan, J.B.; Gao, J.L. Anticancer Activities of Protopanaxadiol- and Protopanaxatriol-Type Ginsenosides and Their Metabolites. Evid. Based Compl. Altern. Med. 2016, 2016, 5738694. [Google Scholar] [CrossRef] [PubMed]
- Li, Y.; Yang, B.; Guo, W.; Zhang, P.; Zhang, J.; Zhao, J.; Wang, Q.; Zhang, W.; Zhang, X.; Kong, D. Classification of three types of ginseng samples based on ginsenoside profiles: Appropriate data normalization improves the efficiency of multivariate analysis. Heliyon 2022, 8, 12044. [Google Scholar] [CrossRef]
- Takemoto, Y.; Ueyama, T.; Saito, H. Potentiation of nerve growth factor-mediated nerve fiber production in organ cultures of chicken embryonic ganglia by ginseng saponins: Structure-activity relationship. Chem. Pharm. Bull. 1984, 32, 3128–3133. [Google Scholar] [CrossRef]
- Abe, H.; Sakaguchi, M.; Konishi, H. The effects of saikosaponins on biological membranes. 1. The relationship between the structures of saikosaponins and haemolytic activity. Planta Med. 1978, 34, 160–166. [Google Scholar] [CrossRef]
- Shimada, K.; Ishii, N.; Ohishi, K. Structure-activity relationship of cardiac steroids having a double linked sugar and related compounds for the inhibition of Na+, K+-adenosine triphosphatase. J. Pharmacobio. Dyn. 1986, 9, 755–759. [Google Scholar] [CrossRef] [PubMed]
- Tung, N.T.; Shoyama, Y. Eastern blotting analysis and isolation of two new dammarane-type saponins from American ginseng. Chem. Pharm. Bull. 2012, 60, 1329–1333. [Google Scholar] [CrossRef] [PubMed]
- Fujii, S.; Morinaga, O.; Uto, T.; Shoyama, Y. Development of double eastern blotting for major licorice components, glycyrrhizin and liquiritin for chemical quality control of licorice using anti-glycyrrhizin and anti-liquiritin monoclonal antibodies. J. Agric. Food Chem. 2016, 64, 1087–1093. [Google Scholar] [CrossRef] [PubMed]
- Ochi, A.; Nuntawong, P.; Chaingam, J.; Ota, T.; Juengwatanatrakul, T.; Putalun, W.; Shoyama, Y.; Morimoto, S.; Sakamoto, S. Simultaneous rapid detection of glycyrrhizin and sennoside A in Daiokanzoto samples by lateral flow immunoassay. Phytochem. Anal. 2024, 35, 678–689. [Google Scholar] [CrossRef] [PubMed]
- Yabe, T.; Torizuka, K.; Yamada, H. Choline acetyltransferase activity enhancing effects of kami-untan-to (KUT) on basal forebrain cultured neurons and lesioned rats. Phytomedicine 1995, 2, 41–46. [Google Scholar] [CrossRef] [PubMed]
- Yabe, T.; Torizuka, K.; Yamada, H. Kami-untan-to (KUT) improves cholinergic deficits in aged rats. Phytomedicine 1996, 2, 253–258. [Google Scholar] [CrossRef] [PubMed]
- Yabe, T.; Yamada, H. Kami-Untan-To enhances choline acetyltransferase and Nerve growth factor mRNA levels in brain cultured cells. Phytomedicine 1997, 3, 361–367. [Google Scholar] [CrossRef] [PubMed]
- Yabe, T.; Iizuka, S.; Komatsu, Y.; Yamada, H. Enhancements of choline acetyltransferase activity and nerve growth factor secretion by Polygalae Radix-extract containing active ingredients in Kami-untan-to. Phytomedicine 1997, 4, 199–205. [Google Scholar] [CrossRef] [PubMed]
- Wang, T.; Liang, L.; Zhao, C.; Sun, J.; Wang, H.; Wang, W.; Lin, J.; Hu, Y. Elucidation direct kinase target of compound Danshen dropping pills employing archived data and prediction models. Scient. Rep. 2021, 11, 9541. [Google Scholar] [CrossRef]
- Cai, S.Q.; Wang, X.; Shang, M.Y.; Shang, M.Y.; Liu, G.X. “Efficacy theory” may help to explain characteristic advantages of traditional Chinese medicines. Chin. J. Chin. Mater. Med. 2015, 40, 3435–3443. [Google Scholar]
- Shimada, Y. Adverse Effects of Kampo Medicines. Intern. Med. 2022, 61, 29–35. [Google Scholar] [CrossRef] [PubMed]
- Gatto, E.M.; Riobo, N.A.; Carreras, M.C.; Cherñavsky, A.; Rubio, A.; Satz, M.L.; Poderoso, J.J. Overexpression of neutrophil neuronal nitric oxide synthase in Parkinson’s disease. Nitric Oxide 2000, 4, 534–539. [Google Scholar] [CrossRef] [PubMed]
- Iova, O.M.; Marin, G.E.; Lazar, I.; Stanescu, I.; Dogaru, G.; Nicula, C.A.; Bulboacă, A.E. Nitric oxide/nitric Oxide Synthase dystem in the pathogenesis of neurodegenerative disorders-An overview. Antioxidants 2023, 12, 753. [Google Scholar] [CrossRef] [PubMed]
- Paakkari, I.; Lindsberg, P. Nitric oxide in the central nervous system. Ann. Med. 1995, 27, 369–377. [Google Scholar] [CrossRef]
- Blantz, R.C.; Munger, K. Role of nitric oxide in inflammatory conditions. Nephron 2002, 90, 373–378. [Google Scholar] [CrossRef] [PubMed]
- Xu, C.; Ha, X.; Yang, S.; Tian, X.; Jiang, H. Advances in understanding and treating diabetic kidney disease: Focus on tubulointerstitial inflammation mechanisms. Front. Endocrinol. 2023, 14, 1232790. [Google Scholar] [CrossRef] [PubMed]
- Hadpech, S.; Thongboonkerd, V. Epithelial-mesenchymal plasticity in kidney fibrosis. Genesis 2024, 62, e23529. [Google Scholar] [CrossRef] [PubMed]
- Demitrack, E.S.; Gifford, G.B.; Keeley, T.M.; Horita, N.; Todisco, A.; Turgeon, D.K.; Siebel, C.W.; Samuelson, L.C. NOTCH1 and NOTCH2 regulate epithelial cell proliferation in mouse and human gastric corpus. Am. J. Physiol. Gastrointest Liver Physiol. 2017, 312, 133–144. [Google Scholar] [CrossRef]
- Hsu, Y.C.; Chang, P.J.; Chun-Wu Tung, C.W.; Shih, Y.H.; Ni, W.C.; Li, Y.C.; Uto, T.; Shoyama, Y.; Ho, C.; Lin, C.L. De-glycyrrhizinated licorice extract attenuates high glucose-stimulated renal tubular epithelial-mesenchymal transition via suppressing the Notch2 signaling pathway. Cells 2020, 9, 125. [Google Scholar] [CrossRef]
- Nakamori, S.; Takahashi, J.; Hyuga, S.; Yang, J.; Takemoto, H.; Maruyama, T.; Oshima, N.; Uchiyama, N.; Amakura, Y.; Hyuga, M.; et al. Analgesic effects of Ephedra herb extract, ephedrine alkaloids–free Ephedra herb extract, ephedrine, and pseudoephedrine on formalin induced pain. Biol. Pharm. Bull. 2019, 42, 1538–1544. [Google Scholar] [CrossRef]
- Takemoto, H.; Takahashi, J.; Hyuga, S.; Odaguchi, H.; Uchiyama, N.; Maruyama, T.; Yamashita, T.; Hyuga, M.; Oshima, N.; Amakura, Y.; et al. Ephedrine alkaloids-free Ephedra herb extract, EFE, has no adverse effects such as excitation and insomnia. Arrhythmias 2018, 41, 247–253. [Google Scholar] [CrossRef] [PubMed]







| ELISA | Eastern Blotting | |
|---|---|---|
| 1. Acanthopanax japonicus | − | − |
| 2. A. spinosus | − | − |
| 3. A. sieboldianus | + | − |
| 4. A. divaricatus | − | − |
| 5. A hypoleucus | − | − |
| 6. A. sciadophylloides | − | − |
| 7. Eleutherococcus senticosus | − | − |
| 8. Aralia elata | + | − |
| 9. A. cordata | + | − |
| 10. Dendropanax trifidus | − | − |
| 11. Faysia japonica | + | + |
| 12. Kalopanax pictus | ++ | ++ |
Disclaimer/Publisher’s Note: The statements, opinions and data contained in all publications are solely those of the individual author(s) and contributor(s) and not of MDPI and/or the editor(s). MDPI and/or the editor(s) disclaim responsibility for any injury to people or property resulting from any ideas, methods, instructions or products referred to in the content. |
© 2024 by the authors. Licensee MDPI, Basel, Switzerland. This article is an open access article distributed under the terms and conditions of the Creative Commons Attribution (CC BY) license (https://creativecommons.org/licenses/by/4.0/).
Share and Cite
Fujii, S.; Uto, T.; Hayashi, H.; Putalun, W.; Sakamoto, S.; Tanaka, H.; Shoyama, Y. Application of Monoclonal Antibodies against Naturally Occurring Bioactive Ingredients. Antibodies 2024, 13, 60. https://doi.org/10.3390/antib13030060
Fujii S, Uto T, Hayashi H, Putalun W, Sakamoto S, Tanaka H, Shoyama Y. Application of Monoclonal Antibodies against Naturally Occurring Bioactive Ingredients. Antibodies. 2024; 13(3):60. https://doi.org/10.3390/antib13030060
Chicago/Turabian StyleFujii, Shunsuke, Takuhiro Uto, Hiroaki Hayashi, Waraporn Putalun, Seiichi Sakamoto, Hiroyuki Tanaka, and Yukihiro Shoyama. 2024. "Application of Monoclonal Antibodies against Naturally Occurring Bioactive Ingredients" Antibodies 13, no. 3: 60. https://doi.org/10.3390/antib13030060
APA StyleFujii, S., Uto, T., Hayashi, H., Putalun, W., Sakamoto, S., Tanaka, H., & Shoyama, Y. (2024). Application of Monoclonal Antibodies against Naturally Occurring Bioactive Ingredients. Antibodies, 13(3), 60. https://doi.org/10.3390/antib13030060

