Research on Human Needs and the Valorization of Supply–Need Relationships in Ecosystem Services—A Case Study of the Southwest Karst Region
Abstract
1. Introduction
2. Argumentation of Human Needs Theory
2.1. Exact Meaning of Human Needs
2.2. Hierarchical Relationships Among Human Needs
2.3. Universality of Human Needs
2.4. Dynamic Structure of Human Needs
2.5. Objective Aspects of Human Needs
2.6. Human Needs and Ecosystem Relationships
3. Overview of the Study Area and Data Sources
3.1. Overview of the Study Area
3.2. Data Sources
3.3. Technical Lines of Research
4. Research Methods
4.1. Quantification of Human Needs
4.1.1. Quantification of Material Needs
4.1.2. Quantification of Safety Needs
Quantification of Oxygen Security Needs
Quantification of Water Security Needs
Quantification of the Soil Security Needs
4.1.3. Quantification of Spiritual Needs
4.2. Human Needs Relevance Calculations
4.2.1. Min–Max Normalization
4.2.2. Spearman Correlation Coefficient
4.3. Calculation of Ecosystem Service Value
4.3.1. Construction of the Spatiotemporal Dynamic Equivalent Table for Ecosystem
Service Value per Unit Area
4.3.2. Construction of the Ecological Payment Willingness Coefficient
4.4. Calculation of Center of Gravity Shift
5. Research Results
5.1. Spatiotemporal Characteristics of Ecosystem Services
5.2. Analysis of Human Demand Correlations
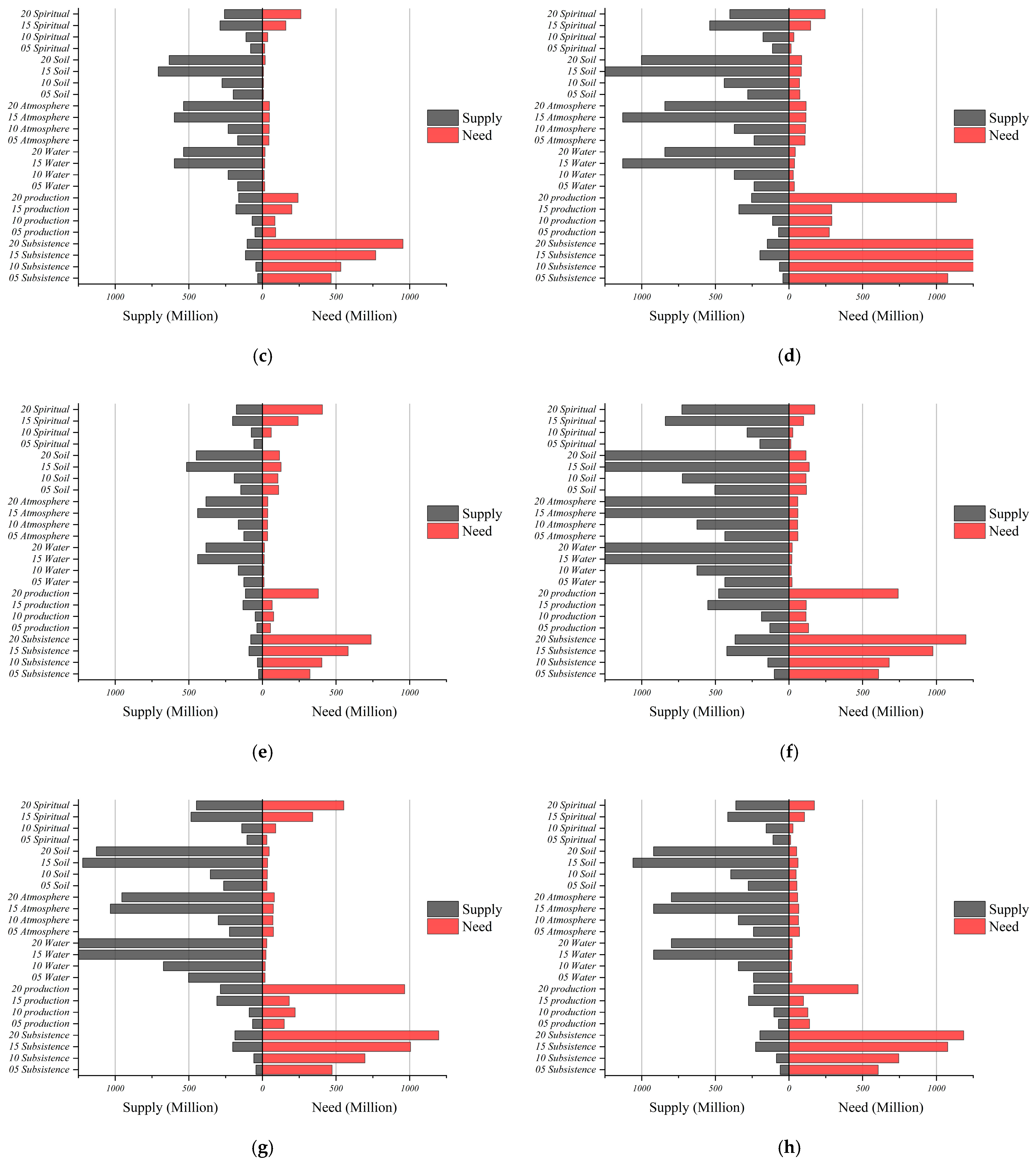
5.3. Analysis of Ecosystem Service Supply and Demand
5.4. Analysis of the Spatial Shift in the Center of Gravity of Supply and Demand for Ecosystem Services
6. Discussion and Limitations
6.1. Analyzing the Relationship from the Perspective of Human Needs Theory to Further Improve the Accuracy of Ecosystem Service Demand Calculations
6.2. Mismatch Between In Situ Ecosystem Service Supply and Demand Requires External Ecosystem Inputs
6.3. Diverse Relationships Among Human Needs
6.4. Limitations and Prospects
7. Conclusions
Author Contributions
Funding
Data Availability Statement
Acknowledgments
Conflicts of Interest
Appendix A



References
- Zeng, J.; Cui, X.Y.; Chen, W.X.; Yao, X.W. Ecological management zoning based on the supply-demand relationship of ecosystem services in China. Appl. Geogr. 2023, 155, 12. [Google Scholar] [CrossRef]
- Liu, Z.; Wang, S.; Fang, C. Spatiotemporal evolution and influencing mechanism of ecosystem service value in the Guangdong-Hong Kong-Macao Greater Bay Area. J. Geogr. Sci. 2023, 33, 1226–1244. [Google Scholar] [CrossRef]
- Fang, X.N.; Ma, Q.; Liu, Z.F.; Wu, J.G. Landscape sustainability and land sustainability: A bibliometric analysis. Land Use Policy 2024, 147, 14. [Google Scholar] [CrossRef]
- Peng, J.; Liu, Y.X.; Corstanje, R.; Meersmans, J. Promoting sustainable landscape pattern for landscape sustainability. Landsc. Ecol. 2021, 36, 1839–1844. [Google Scholar] [CrossRef]
- Jeffers, E.S.; Nogue, S.; Willis, K.J. The role of palaeoecological records in assessing ecosystem services. Quat. Sci. Rev. 2015, 112, 17–32. [Google Scholar] [CrossRef]
- Harrison, P.; Berry, P.; Simpson, G.; Haslett, J.; Blicharska, M.; Bucur, M.; Dunford, R.; Egoh, B.; Garcia-Llorente, M.; Geamănă, N. Linkages between biodiversity attributes and ecosystem services: A systematic review. Ecosyst. Serv. 2014, 9, 191–203. [Google Scholar] [CrossRef]
- Liu, W.; Zhan, J.; Zhao, F.; Yan, H.; Zhang, F.; Wei, X. Impacts of urbanization-induced land-use changes on ecosystem services: A case study of the Pearl River Delta Metropolitan Region, China. Ecol. Indic. 2019, 98, 228–238. [Google Scholar] [CrossRef]
- Feng, Z.; Jin, X.; Chen, T.; Wu, J. Understanding trade-offs and synergies of ecosystem services to support the decision-making in the Beijing–Tianjin–Hebei region. Land Use Policy 2021, 106, 105446. [Google Scholar] [CrossRef]
- Castro, A.J.; Verburg, P.H.; Martín-López, B.; Garcia-Llorente, M.; Cabello, J.; Vaughn, C.C.; López, E. Ecosystem service trade-offs from supply to social demand: A landscape-scale spatial analysis. Landsc. Urban Plan. 2014, 132, 102–110. [Google Scholar] [CrossRef]
- Bateman, I.J.; Harwood, A.R.; Mace, G.M.; Watson, R.T.; Abson, D.J.; Andrews, B.; Binner, A.; Crowe, A.; Day, B.H.; Dugdale, S. Bringing ecosystem services into economic decision-making: Land use in the United Kingdom. Science 2013, 341, 45–50. [Google Scholar] [CrossRef]
- Bagstad, K.J.; Johnson, G.W.; Voigt, B.; Villa, F. Spatial dynamics of ecosystem service flows: A comprehensive approach to quantifying actual services. Ecosyst. Serv. 2013, 4, 117–125. [Google Scholar] [CrossRef]
- Jones, L.; Norton, L.; Austin, Z.; Browne, A.; Donovan, D.; Emmett, B.; Grabowski, Z.; Howard, D.; Jones, J.P.; Kenter, J. Stocks and flows of natural and human-derived capital in ecosystem services. Land Use Policy 2016, 52, 151–162. [Google Scholar] [CrossRef]
- Liu, W.; Zhan, J.Y.; Zhao, F.; Zhang, F.; Teng, Y.M.; Wang, C.; Chu, X.; Kumi, M.A. The tradeoffs between food supply and demand from the perspective of ecosystem service flows: A case study in the Pearl River Delta, China. J. Environ. Manag. 2022, 301, 10. [Google Scholar] [CrossRef] [PubMed]
- Wilkins, E.J.; Chikamoto, Y.; Miller, A.B.; Smith, J.W. Climate change and the demand for recreational ecosystem services on public lands in the continental United States. Glob. Environ. Chang. 2021, 70, 12. [Google Scholar] [CrossRef]
- Zhao, H.; Li, C.; Gao, M. Investigation of the relationship between supply and demand of ecosystem services and the influencing factors in resource-based cities in China. Sustainability 2023, 15, 7397. [Google Scholar] [CrossRef]
- Chen, Y.; Qiao, X.; Yang, Y.; Zheng, J.; Dai, Y.; Zhang, J. Identifying the spatial relationships and drivers of ecosystem service supply–demand matching: A case of Yiluo River Basin. Ecol. Indic. 2024, 163, 112122. [Google Scholar] [CrossRef]
- Jiang, B.; Chen, Y.; Bai, Y.; Xu, X. Supply–Demand Coupling Mechanisms for Policy Design. Sustainability 2019, 11, 5760. [Google Scholar] [CrossRef]
- Wei, H.; Fan, W.; Wang, X.; Lu, N.; Dong, X.; Zhao, Y.; Ya, X.; Zhao, Y. Integrating supply and social demand in ecosystem services assessment: A review. Ecosyst. Serv. 2017, 25, 15–27. [Google Scholar] [CrossRef]
- Martín-López, B.; Iniesta-Arandia, I.; García-Llorente, M.; Palomo, I.; Casado-Arzuaga, I.; Amo, D.G.D.; Gómez-Baggethun, E.; Oteros-Rozas, E.; Palacios-Agundez, I.; Willaarts, B. Uncovering ecosystem service bundles through social preferences. PLoS ONE 2012, 7, e38970. [Google Scholar] [CrossRef]
- Ayanu, Y.Z.; Conrad, C.; Nauss, T.; Wegmann, M.; Koellner, T. Quantifying and mapping ecosystem services supplies and demands: A review of remote sensing applications. Environ. Sci. Technol. 2012, 46, 8529–8541. [Google Scholar] [CrossRef]
- Baró, F.; Haase, D.; Gómez-Baggethun, E.; Frantzeskaki, N. Mismatches between ecosystem services supply and demand in urban areas: A quantitative assessment in five European cities. Ecol. Indic. 2015, 55, 146–158. [Google Scholar] [CrossRef]
- Larondelle, N.; Lauf, S. Balancing demand and supply of multiple urban ecosystem services on different spatial scales. Ecosyst. Serv. 2016, 22, 18–31. [Google Scholar] [CrossRef]
- Peng, J.; Wang, X.; Liu, Y.; Zhao, Y.; Xu, Z.; Zhao, M.; Qiu, S.; Wu, J. Urbanization impact on the supply-demand budget of ecosystem services: Decoupling analysis. Ecosyst. Serv. 2020, 44, 101139. [Google Scholar] [CrossRef]
- Yao, J.; Chen, N.; Liu, M.; Chen, W.; He, X. An analysis of the co-benefits of the supply–demand for multiple ecosystem services for guiding sustainable urban development. Ecol. Indic. 2023, 147, 109917. [Google Scholar] [CrossRef]
- Shen, J.S.; Li, S.C.; Wang, H.; Wu, S.Y.; Liang, Z.; Zhang, Y.T.; Wei, F.L.; Li, S.; Ma, L.; Wang, Y.Y.; et al. Understanding the spatial relationships and drivers of ecosystem service supply-demand mismatches towards spatially-targeted management of social-ecological system. J. Clean Prod. 2023, 406, 14. [Google Scholar] [CrossRef]
- Sun, R.; Jin, X.B.; Han, B.; Liang, X.Y.; Zhang, X.L.; Zhou, Y.K. Does scale matter? Analysis and measurement of ecosystem service supply and demand status based on ecological unit. Environ. Impact Assess. Rev. 2022, 95, 12. [Google Scholar] [CrossRef]
- Jia, Q.Q.; Jiao, L.M.; Lian, X.H.; Wang, W.L. Linking supply-demand balance of ecosystem services to identify ecological security patterns in urban agglomerations. Sust. Cities Soc. 2023, 92, 14. [Google Scholar] [CrossRef]
- Villamagna, A.M.; Angermeier, P.L.; Bennett, E.M. Capacity, pressure, demand, and flow: A conceptual framework for analyzing ecosystem service provision and delivery. Ecol. Complex. 2013, 15, 114–121. [Google Scholar] [CrossRef]
- Schröter, M.; Barton, D.N.; Remme, R.P.; Hein, L. Accounting for capacity and flow of ecosystem services: A conceptual model and a case study for Telemark, Norway. Ecol. Indic. 2014, 36, 539–551. [Google Scholar] [CrossRef]
- Geijzendorffer, I.R.; Martín-López, B.; Roche, P.K. Improving the identification of mismatches in ecosystem services assessments. Ecol. Indic. 2015, 52, 320–331. [Google Scholar] [CrossRef]
- Foramitti, J. A framework for agent-based models of human needs and ecological limits. Ecol. Econ. 2023, 204, 107651. [Google Scholar] [CrossRef]
- Marek, F.; Oexle, N. The significance of social support after loss by suicide. Psychiatr. Prax. 2023, 50, 119–121. [Google Scholar]
- Ormel, J.; Lindenberg, S.; Steverink, N.; Verbrugge, L.M. Subjective well-being and social production functions. Soc. Indic. Res. 1999, 46, 61–90. [Google Scholar] [CrossRef]
- Maslow, A.H. A Dynamic Theory of Human Motivation. In Understanding Human Motivation; Howard Allen Publishers: London, UK, 1958. [Google Scholar]
- Greenberg, J.; Koole, S.L.; Pyszczynski, T.A. Handbook of Experimental Existential Psychology; Guilford Press: New York, NY, USA.
- Yu-chu, X.; Su-xin, Z.; Bing, L.; Yin-jun, Z.; Bao-qing, H. Spatial zoning for land ecological consolidation in Guangxi based on the ecosystem services supply and demand. J. Nat. Resour. 2020, 35, 217–229. [Google Scholar] [CrossRef]
- Costanza, R.; d’Arge, R.; De Groot, R.; Farber, S.; Grasso, M.; Hannon, B.; Limburg, K.; Naeem, S.; O’neill, R.V.; Paruelo, J. The value of the world’s ecosystem services and natural capital. Nature 1997, 387, 253–260. [Google Scholar] [CrossRef]
- Gómez-Baggethun, E.; Barton, D.N. Classifying and valuing ecosystem services for urban planning. Ecol. Econ. 2013, 86, 235–245. [Google Scholar] [CrossRef]
- Doyal, L.; Gough, I. A theory of human needs. Crit. Soc. Policy 1984, 4, 6–38. [Google Scholar] [CrossRef]
- Gasper, D. Conceptualising Human Needs and Wellbeing, in Wellbeing in developing countries: From theory to research. In Wellbeing in Developing Countries: From Theory to Research; Cambridge University Press: Cambridge, UK, 2007; pp. 1–29. [Google Scholar]
- Ekins, P.; Max-Neef, M. Real Life Economics; Routledge: London, UK, 2006. [Google Scholar]
- Tay, L.; Diener, E. Needs and subjective well-being around the world. J. Personal. Soc. Psychol. 2011, 101, 354. [Google Scholar] [CrossRef]
- Braybrooke, D. Meeting Needs; Princeton University Press: Princeton, NJ, USA, 2014; Volume 70. [Google Scholar]
- Wiggins, D. An Idea we Cannot do Without: What difference will it make (eg. to moral, political and environmental philosophy) to recognize and put to use a substantial conception of need? R. Inst. Philos. Suppl. 2005, 57, 25–50. [Google Scholar] [CrossRef]
- Bai, Y.; Wang, M.; Li, H.; Huang, S.; Alatalo, J. Ecosystem service supply and demand: Theory and management application. Acta Ecol. Sin. 2017, 17. [Google Scholar] [CrossRef]
- Vita, G.; Hertwich, E.G.; Stadler, K.; Wood, R. Connecting global emissions to fundamental human needs and their satisfaction. Environ. Res. Lett. 2019, 14, 014002. [Google Scholar] [CrossRef]
- Cardoso, R.; Sobhani, A.; Meijers, E. The cities we need: Towards an urbanism guided by human needs satisfaction. Urban Stud. 2022, 59, 2638–2659. [Google Scholar] [CrossRef]
- Leech, R.M.; Worsley, A.; Timperio, A.; McNaughton, S.A. Understanding meal patterns: Definitions, methodology and impact on nutrient intake and diet quality. Nutr. Res. Rev. 2015, 28, 1–21. [Google Scholar] [CrossRef] [PubMed]
- Feng, Y.; Tian, Y.; Zhu, J.; Xiao, W.; Li, Q. Evaluation of forest carbon fixation and oxygen release service value and heterotrophic respiration loss. Acta Ecol. Sin. 2020, 40, 5044–5054. [Google Scholar]
- Yuhua, Z.; Xuefang, W. Development of water pollutant discharge standards in China for more than 40 years. Environ. Pollut. Control 2016, 38, 99–104+110. [Google Scholar] [CrossRef]
- Shao, Q.; Liu, S.; Ning, J.; Liu, G.; Yang, F.; Zhang, X.; Niu, L.; Huang, H.; Fan, J.; Liu, J. Assessment of ecological benefits of key national ecological projects in China in 2000–2019 using remote sensing. Acta Geogr. Sin. 2022, 77, 2133–2153. [Google Scholar]
- Bureau, H.C.N.R. Hechi City Land Space Ecological Restoration Plan 2021–2035; Sino-German Cooperation on Climate Change: Beijing, China, 2021. [Google Scholar]
- Cui, F.Q.; Tang, H.P.; Zhang, Q.; Wang, B.J.; Dai, L.W. Integrating ecosystem services supply and demand into optimized management at different scales: A case study in Hulunbuir, China. Ecosyst. Serv. 2019, 39, 17. [Google Scholar] [CrossRef]
- Xie, G.; Zhang, C.; Zhang, C.; Xiao, Y.; Lu, C. The value of ecosystem services in China. Resour. Sci. 2015, 37, 1740–1746. [Google Scholar]
- Xie, G.; Zhang, C.; Zhang, L.; Chen, W.; Li, S. Improvement of the Evaluation Method for Ecosystem Service Value Based on Per Unit Area. J. Nat. Resour. 2015, 30, 1243–1254. [Google Scholar]
- Ni, W.; Zhang, X.; Yang, L.; He, Y.; Chen, W. Study on the Scale Effect of Ecosystem Service Value Estimation Based on Land Use. Ecol. Econ. 2022, 38, 170–178. [Google Scholar]
- Ito, K.; Zhang, S. Willingness to pay for clean air: Evidence from air purifier markets in China. J. Political Econ. 2020, 128, 1627–1672. [Google Scholar] [CrossRef]
- Xue, M.; Xing, L.; Wang, X. Spatial Correction and Evaluation of Ecosystem Services in China. China Land Sci. 2018, 32, 81–88. [Google Scholar]
- Li, J. Value Assessment is the Key of Environmental Assessment. China Popul. Resour. Environ. 2002, 3, 13–19. [Google Scholar]
- Wei, X.; Xin, S.; Zhang, Y.; Long, Y.; Zhang, X. Spatial difference of ecological services and its influencing factors under different scales:Taking the Nanchang Urban Agglomeration as an example. Acta Ecol. Sin. 2023, 43, 7585–7597. [Google Scholar] [CrossRef]
- Guo, H.; Wang, X.; Wu, B.; Li, X. Cognizing Population Density Demarcative Line (Hu Huanyong-Line) Based on Space Technology. Bull. Chin. Acad. Sci. 2016, 31, 1385–1394. [Google Scholar]
- Dabasinskas, G.; Sujetoviene, G. Spatial and Temporal Changes in Supply and Demand for Ecosystem Services in Response to Urbanization: A Case Study in Vilnius, Lithuania. Land 2024, 13, 454. [Google Scholar] [CrossRef]
- Luo, C.; Yu, H.T.; Liu, Y.; Yang, W. Supply and demand assessment of physical activity services provided by urban green spaces: A case study of Chongqing, China. Urban For. Urban Green. 2024, 95, 13. [Google Scholar] [CrossRef]
- Pinto, L.V.; Inácio, M.; Bogdzevic, K.; Gomes, E.; Pereira, P. Factors affecting the use of cultural ecosystem services in Lithuanian coastal area. Ocean. Coast. Manag. 2024, 251, 13. [Google Scholar] [CrossRef]
- Wang, Z.; Sun, X.Y.; Shan, R.F.; Wang, B.Y. Mapping and assessing supply-demand matching of recreational ecosystem services in Shandong province, China. Ecol. Indic. 2024, 160, 11. [Google Scholar] [CrossRef]
- Jiang, Y.C.; Ouyang, B.; Yan, Z.G. Spatial Correlation between the Changes in Supply and Demand for Water-Related Ecosystem Services. ISPRS Int. J. Geo Inf. 2024, 13, 68. [Google Scholar] [CrossRef]
- Brander, L.M.; de Groot, R.; Schägner, J.P.; Guisado-Goñi, V.; van’t Hoff, V.; Solomonides, S.; McVittie, A.; Eppink, F.; Sposato, M.; Do, L.; et al. Economic values for ecosystem services: A global synthesis and way forward. Ecosyst. Serv. 2024, 66, 13. [Google Scholar] [CrossRef]
- Meng, X.; Wu, Y. Supply-demand bundles and ecological function management of urban ecosystem services: Taking central urban area of Qigihar as an example. Chin. J. Appl. Ecol. 2023, 34, 3393–3403. [Google Scholar] [CrossRef]
- Jiang, M. Study on the Spatiotemporal Variation and Asscoiated Driving Factors of Ecosystem Services in the Southwest Karst of China. Doctoral Thesis, Huazhong Agricultural University, Wuhan, China, 2022. [Google Scholar]
- Huppert, H.E.; Neufeld, J.A. The fluid mechanics of carbon dioxide sequestration. Annu. Rev. Fluid Mech. 2014, 46, 255–272. [Google Scholar] [CrossRef]
- Zhu, X.C.; Ma, M.G.; Tateno, R.; He, X.H.; Shi, W.Y. Effects of vegetation restoration on soil carbon dynamics in Karst and non-karst regions in Southwest China: A synthesis of multi-source data. Plant Soil 2022, 475, 45–59. [Google Scholar] [CrossRef]
- Kaikai, H.; Qingming, C.; Xing, C.; Zhiguo, Y.; Jing, H.; Jiangtao, C.; Hao, A.; Wenshuo, Z. Progress of Research on Karst Desertification in Southwest China and Qinba Area of Shaanxi Province. Carslolgica Sin. 2024, 43, 147–162. [Google Scholar] [CrossRef]
- Shuai, N.; Hu, Y.C.; Gao, M.W.; Guo, Z.L.; Bai, Y.P. Construction and optimization of ecological networks in karst regions based on multi-scale nesting: A case study in Guangxi Hechi, China. Ecol. Inform. 2023, 74, 14. [Google Scholar] [CrossRef]
- Deng, Q.C.; Liu, Y.Q.; Wei, Y.P.; Liang, W.; Zhu, K.X.; Li, Y.H.; Zhang, L.H. Understanding the coupled relationship between regional longevity and physical geographical environment in Hechi, Guangxi, China. Sci. Rep. 2024, 14, 15. [Google Scholar] [CrossRef]
- Deng, Q.C.; Chen, L.J.; Wei, Y.P.; Li, Y.H.; Han, X.R.; Liang, W.; Zhao, Y.J.; Wang, X.F.; Yin, J. Understanding the Association between Environmental Factors and Longevity in Hechi, China: A Drinking Water and Soil Quality Perspective. Int. J. Environ. Res. Public Health 2018, 15, 2272. [Google Scholar] [CrossRef] [PubMed]
- Yong, L.; Jingfeng, F.; Quan, W.; Shuxi, L.; Binyong, L. Primary exploration of ecological theories and technologies for delineation of ecological redline zones. Acta Ecol. Sin. 2016, 36, 1244–1252. [Google Scholar]
- Zou, C.; Xu, M.; Ling, N.; Xu, D. Analysis on the Connotation of Ecological Protection Redline and Suggestions on Ecological Protection Redline Drawing. Environ. Prot. 2015, 43, 54–57. [Google Scholar]
- de Groot, R.S.; Wilson, M.A.; Boumans, R.M.J. A typology for the classification, description and valuation of ecosystem functions, goods and services. Ecol. Econ. 2002, 41, 393–408. [Google Scholar] [CrossRef]









| Human Needs | Services for Human Needs | Ecosystem Provisions | |
|---|---|---|---|
| Vital needs | Basic survival | Personal safety | Habitat |
| Material needs | Means of subsistence | Cereals, fruits, vegetables, and other means of subsistence | Means of subsistence |
| Means of production | Demand for means of production such as electricity, fuel, and water | Means of production | |
| Security needs | Oxygen security | Oxygen supply, atmospheric regulation | Gas regulate |
| Climatic regulate | |||
| Water security | Water supply, water purification | Hydrology regulate | |
| Water supply | |||
| Soil security | Soil conservation, erosion mitigation | Soil conservation | |
| Spiritual needs | Art and culture | Landscape culture | Aesthetic landscape |
| Aesthetic landscape | Landscape recreation | ||
| Awareness of knowledge | Scientific research and education | ||
| Data Name | Data Format | Year | Resolution | Source |
|---|---|---|---|---|
| Land use data | Raster | 2000, 2005, 2015, 2020 | 30 × 30 m | Chinese Academy of Sciences Resource and Environmental Science Data Center (http://www.resdc.cn/) |
| Slope data | Raster | 2020 | 30 × 30 m | The National Geospatial-Intelligence Agency (NGA) |
| Net primary productivity (NPP) | Raster | 2000, 2005, 2015, 2020 | 30 × 30 m | Processed via the Google Earth Engine (GEE) to obtain average values (https://earthengine.google.com/) |
| Rocky desertification data | Raster | 2020 | 30 × 30 m | The National Ecosystem Science Data Center, National Science and Technology Infrastructure of China (http://www.nesdc.org.cn) |
| GDP data | Raster | 2000, 2005, 2015, 2020 | 30 × 30 m | The Chinese Academy of Sciences Resource and Environmental Science Data Center |
| First Type | Secondary Type | Arable Land | Forest | Grass | Water |
|---|---|---|---|---|---|
| Supply service | Means of subsistence | 1.11 | 0.25 | 0.23 | 0.8 |
| Means of production | 0.25 | 0.58 | 0.34 | 0.23 | |
| Water supply | −1.31 | 0.3 | 0.19 | 8.29 | |
| Reconciliation andsupport services | Gas regulation | 0.89 | 1.91 | 1.21 | 0.77 |
| Climatic regulation | 0.47 | 5.71 | 3.19 | 2.29 | |
| Hydrology regulation | 1.5 | 3.74 | 2.34 | 102.24 | |
| Soil conservation | 0.52 | 2.32 | 1.47 | 0.93 | |
| Cultural service | Aesthetic landscape | 0.08 | 0.93 | 0.59 | 1.89 |
| Region | 2005 | 2010 | 2015 | 2020 |
|---|---|---|---|---|
| Jingchengjiang | 568.42 | 762.42 | 2634.33 | 2435.29 |
| Nandan | 628.81 | 779.93 | 2222.96 | 1896.57 |
| Tiane | 400.66 | 487.36 | 1301.68 | 1171.24 |
| Fengshan | 425.74 | 554.00 | 1491.45 | 1300.26 |
| Donglan | 395.49 | 548.21 | 1412.54 | 1265.70 |
| Luocheng | 563.06 | 805.33 | 2161.17 | 1875.44 |
| Huanjiang | 572.79 | 823.37 | 2430.06 | 2106.29 |
| Bama | 513.07 | 737.18 | 1871.52 | 1628.20 |
| Duan | 322.86 | 507.43 | 1550.37 | 1157.69 |
| Dahua | 335.25 | 499.58 | 1241.61 | 1115.55 |
| Yizhou | 807.44 | 1133.15 | 3139.31 | 2782.61 |
Disclaimer/Publisher’s Note: The statements, opinions and data contained in all publications are solely those of the individual author(s) and contributor(s) and not of MDPI and/or the editor(s). MDPI and/or the editor(s) disclaim responsibility for any injury to people or property resulting from any ideas, methods, instructions or products referred to in the content. |
© 2025 by the authors. Licensee MDPI, Basel, Switzerland. This article is an open access article distributed under the terms and conditions of the Creative Commons Attribution (CC BY) license (https://creativecommons.org/licenses/by/4.0/).
Share and Cite
Wang, J.; Fu, M.; Han, X.; Wu, Y.; Wen, H. Research on Human Needs and the Valorization of Supply–Need Relationships in Ecosystem Services—A Case Study of the Southwest Karst Region. Land 2025, 14, 588. https://doi.org/10.3390/land14030588
Wang J, Fu M, Han X, Wu Y, Wen H. Research on Human Needs and the Valorization of Supply–Need Relationships in Ecosystem Services—A Case Study of the Southwest Karst Region. Land. 2025; 14(3):588. https://doi.org/10.3390/land14030588
Chicago/Turabian StyleWang, Jingheng, Meichen Fu, Xiangxue Han, Yuting Wu, and Hongyan Wen. 2025. "Research on Human Needs and the Valorization of Supply–Need Relationships in Ecosystem Services—A Case Study of the Southwest Karst Region" Land 14, no. 3: 588. https://doi.org/10.3390/land14030588
APA StyleWang, J., Fu, M., Han, X., Wu, Y., & Wen, H. (2025). Research on Human Needs and the Valorization of Supply–Need Relationships in Ecosystem Services—A Case Study of the Southwest Karst Region. Land, 14(3), 588. https://doi.org/10.3390/land14030588

