Abstract
Cultivated land plays a crucial role as the basis of grain production, and it is essential to effectively manage the unregulated expansion of non-grain production (NGP) on cultivated land in order to safeguard food security. The study of NGP has garnered significant attention from scholars, but the prediction of NGP trends is relatively uncommon. Therefore, we focused on Jiangsu Province, a significant grain production region in China, as the study area. We extracted data on cultivated land for non-grain production (NGPCL) in 2000, 2005, 2010, 2015, and 2019, and calculated the ratio of non-grain production (NGPR) for each county unit in the province. On this basis, Kernel Density Estimation (KDE) and spatial autocorrelation analysis tools were utilized to uncover the spatio-temporal evolution of NGP in Jiangsu Province. Finally, the Patch-Generating Land Use Simulation (PLUS) model was utilized to predict the trend of NGP in Jiangsu Province in 2038 under the three development scenarios of natural development (NDS), cultivated land protection (CPS), and food security (FSS). After analyzing the results, we came to the following conclusions:(1) During the period of 2000–2019, the NGPCL area and NGPR in Jiangsu Province exhibited a general decreasing trend. (2) The level of NGP displayed a spatial distribution pattern of being “higher in the south and central and lower in the north”. (3) The results of multi-scenario simulation show that under the NDS, the area of NGPCL and cultivated land for grain production (GPCL) decreases significantly; under the CPS, the decrease in NGPCL and GPCL is smaller than that of the NDS. Under the FSS, NGPCL decreases, while GPCL increases. These results can provide reference for the implementation of land use planning, the delineation of the cultivated land protection bottom line, and the implementation of thee cultivated land use control system in the study area.
1. Introduction
Food security is a critical global issue that intersects with economies and people’s livelihoods. It serves as a fundamental pillar of national security [1]. The foundation of food production lies in cultivated land, making it imperative to ensure the stability of both its quantity and quality to guarantee food security. However, China has witnessed a decline in the quantity and quality of cultivated land in recent years, primarily due to the increasing level of urbanization [2,3]. Meanwhile, various factors, such as the low efficiency of grain production, changes in dietary patterns, land property rights transfers, and the influx of industrial and commercial capital into rural areas, have compelled certain agricultural entities to prioritize maximizing their own profits. Consequently, they selectively choose crops based on profitability, leading to a significant portion of cultivated land being allocated for non-grain production (NGP) [4]. This disorderly expansion of NGP not only threatens food security by causing shortages and imbalances in grain supply, but also contributes to the degradation of cultivated land quality and environmental issues resulting from changes in land utilization practices [5,6,7,8]. Recognizing the implications of NGP, the Chinese Government has acknowledged its significance. In November 2020, the General Office of the State Council issued the “Opinions on Preventing the Non-Grain Production of Cultivated Land and Stabilizing Grain Production”. This document summarized the manifestations of the “non-grain” use of cultivated land into three categories: “some localities have unilaterally interpreted agricultural structural adjustment as a reduction in grain production”, “business entities have illegally planted trees and dug ponds on basic farmland”, and “industrial and commercial capital has transferred cultivated land on a large scale to cultivate non-grain crops”. It also emphasized that the use of cultivated land should not be determined purely on the basis of economic benefits and that limited cultivated land resources must be prioritized for grain production. Specifically, the government aims to stabilize the area allocated for grain production, with particular attention to safeguarding the planting area of the three major grains: rice, wheat, and maize.
Research concerning NGP dates back to the beginning of the 21st century [9]. Scholars at the time raised concerns about this pursuit of economic efficiency at the expense of food security. In recent years, with the widespread concern for food security, scholars have been studying NGP in further depth. Currently, there is no universally accepted definition of “non-grain” within the academic community. Some scholars define “non-grain” as the utilization of cultivated land for non-grain purposes by agricultural operators, including the cultivation of cash crops such as fruit trees and flowers, as well as the development of livestock and poultry breeding [10,11]. Others consider “non-grain” as the process of converting cultivated land that previously grew grain crops into land that now produces non-grain crops [12,13]. Regarding the measurement of NGP, various approaches have been used by scholars. Some calculate the level of NGP based on statistical data or sectoral surveys, using indicators like the ratio of non-grain crop area to total agricultural crop area [14,15]. Alternatively, remote sensing and GIS technologies have been employed by other researchers to identify NGP phenomena [16,17,18].Studies about the trends in land use change to NGP [19,20] and the drivers [21,22] and driving mechanisms [21,22] of NGP provide valuable insights into understanding its causes and mitigating its effects. These studies found that factors such as natural resources [23,24], socio-economics [21], transportation location [23], and policy considerations [21,25,26] may contribute to NGP. Considering previous research and the current agricultural production landscape in this study area, we defined NGP as the cultivation of crops other than rice, wheat, and maize on cultivated land. NGPCL is identified through the analysis of land use data and the spatial distribution of the three major grain cultivars. The ratio of NGP (NGPR) was then utilized to assess the level of NGP in the region. Subsequently, we analyzed the spatio-temporal evolution of the NGP. Finally, the evolution of the NGP under multiple development scenarios was projected. This study not only contributes to the theoretical and methodological aspects of NGP research but also offers insights into future developments, providing recommendations and counter measures for the sustainable use of cultivated land and the assurance of food security.
In order to reveal the issue of NGP and its implications for food security, this study focused on Jiangsu Province, a significant grain-producing province in China, which has consistently ranked among the top provinces in China in terms of grain sown, total grain output, and total output value. Based on the analysis of the spatial and temporal evolution of NGP in Jiangsu Province from 2000 to 2019, the Patch-Generating Land Use Simulation (PLUS) model [27], which is widely followed by scholars in the field of land simulation and is used to conduct a multi-scenario simulation to reveal the pattern of NGP under different development scenarios in 2038. The results of the study will provide a basis and reference for land managers to formulate policies, scientifically set the bottom line of NGP, and practically control the behavior of NGP in order to promote the rational use of cultivated land resources and guarantee food security.
2. Materials and Methods
2.1. Study Area
Jiangsu Province is situated in the eastern coastal region of mainland China, with latitude ranging from 30°45′ to 35°08′ N and longitude ranging from 116°21′ to 121°56′ E (Figure 1). As of 2020, the province had a total area of 102,521.20 km2, with a cultivated land area of 62,773.09 km2, accounting for 61.22% of the total area. Known for its flat terrain, favorable climate, and abundant water resources, Jiangsu Province is well-suited for agricultural production. Between 2000 and 2022, the sown area of grain in Jiangsu Province varied from 53,043.1 km2 to 54,444.4 km2. During this period, the total grain output is expected to change from 31,066,300 tons to 37,691,300 tons, and the total output value is anticipated to shift from USD 4379 million to USD 19,884 million. However, in recent years, rapid socio-economic development and increasing urbanization have led to the conversion of some of Jiangsu Province’s cultivated land into artificial surfaces (ASs) like urban and rural residential land [28]. This, along with the prominent issue of NGP, has posed a serious challenge to food security in the region. Protecting cultivated land resources and ensuring stable grain production in Jiangsu Province are of utmost importance for national food security and the sustainable development of the national economy.
Figure 1.
Location of the study area.
2.2. Data Sources and Pre-Processing
The data used in this paper include county-level administrative boundary data in Jiangsu Province, land use/land cover (LULC) data, grain cultivation spatial distribution data, meteorological data, DEM data, soil type data, road data, POI data, population density data, and GDP data (Table 1).
Table 1.
Data sources.
Given the extensive time span under consideration, the modifications to administrative divisions during the study period, and the presence of small-sized municipal districts, this study adopts the approach proposed by Li et al. [29,30] to merge these municipal districts and ultimately create 54 consolidated study units. Taking into account the situation of the study area and data availability, land use data from the Resource and Environment Science and Data Center (RESDC) were selected for five time points: 2000, 2005, 2010, 2015, and 2020; the spatial distribution data of grain cultivation at the five time points were obtained from the National Ecosystem Science Data Center (NESDC), which originated from Luo’s study, which was based on cultivated land data and determined the spatial distribution of the cultivation of the three major grain crops in China according to the climatic characteristics of rice, maize, and wheat for the period of 2000–2019. The spatial distribution of cultivation of the three major grain crops in China was proved to be highly consistent with agricultural statistics (R2 > 0.8) [31]; the meteorological dataset comprises annual precipitation (PRE), annual mean temperature (TEM), annual evaporation (EVP), and annual sunshine duration (SSD). This dataset was derived from daily observations collected at the meteorological element stations and utilizes the smoothing spline function integrated in the Anusplin 4.4 interpolation software to generate spatially interpolated data for each year’s meteorological element [32]. We utilized Digital Elevation Model (DEM) data obtained from the US National Geological Survey (USGS). The slope and slope direction analysis functions in ArcGIS 10.7 software were employed to generate raster data representing slope and slope direction. Road data, including highways, primary roads, secondary roads, and railroad data, were sourced from Openmap. The Euclidean distance analysis function in ArcGIS was used to calculate distance data to all levels of roads. Government site data were derived from point-of-interest (POI) data collected by AMap, with distance data to government sites generated using the Euclidean distance analysis function in ArcGIS. Subsequently, all datasets were transformed into raster data and resampled to a resolution of 30 m.
2.3. Methods
We analyzed the spatial and temporal evolution of NGP in Jiangsu Province from 2000 to 2019 and predicted the pattern of NGP under different scenarios for 2038. First, the spatial location of NGPCL was identified and the NGPR was calculated for each county. Then, land use transfer matrix, kernel density estimation (KDE), and spatial autocorrelation analysis were used to reveal the spatio-temporal evolution pattern of NGP. Finally, the PLUS model was used to simulate the different future scenarios of the NGP pattern. The general framework of the study is shown in Figure 2.
Figure 2.
Study framework.
2.3.1. NGPR
The grain crops involved in this study include the three major categories of rice, wheat, and maize, and the cultivated land outside the three major categories of grain crops was defined as NGPCL. It should be noted that in identifying the 2019 NGPCL, we used 2020 land use data as a substitute due to the lack of 2019 land use data. The degree of regional non-grain was measured in terms of the NGPR with the following formula:
where NGPR is the ratio of non-grain production; is the sum of the area of wheat, corn, and rice; is the total area of cultivated land.
2.3.2. Land Use Transfer Matrix
We categorized cultivated land into GPCL and NGPCL, and the land use maps of different time periods were spatially superimposed by using ArcGIS to derive the transfer matrix of the land use types in order to characterize the conversion between the land use types. The mathematical expression is as follows [33,34]:
where P denotes the area of each LULC type; i and j denote the area of LULC types at the beginning and end of the study period, respectively; and n denotes the total number of LULC types. Each row and column represents the outflow and inflow areas, respectively.
2.3.3. Kernel Density Estimate
Kernel Density Estimation (KDE) is a nonparametric method used to estimate the probability density function, which can effectively identify the spatial variability and continuity of the distribution of NGPCL and observe the agglomeration of their spatial distribution. In this paper, the raster data of NGPCL were converted to point data, and the kernel density value of NGPCL in Jiangsu Province was calculated with a kernel density bandwidth of 10 km [35]. The calculation formula is:
where f(x) is an estimate of the NGPCL kernel density, n is the number of NGPCL point data in the bandwidth range, h is the bandwidth, k () is the kernel density equation, and is the distance from the NGPCL point x to the sample point .
2.3.4. Spatial Autocorrelation Analysis
We employed global spatial autocorrelation and local spatial autocorrelation to explore the spatial correlation of NGP.
Global spatial autocorrelation analyzes and describes the overall spatial characteristics of geographic elements within a study area and can visually represent the degree of spatial interdependence of geographic variables. A commonly used measure of global spatial autocorrelation is the global Moran’s I, which has a value range of [−1,1]. A positive value indicates the existence of positive spatial correlation, i.e., the same trend between the research object and the neighboring objects; a negative value indicates the existence of negative spatial correlation, i.e., the opposite trend between the research object and the neighboring objects; and a value equal to zero indicates no spatial correlation. We took the NGPR of the Jiangsu county-level administrative units as an observational variable and used the global Moran’s I to determine its overall spatial characteristics. Its calculation formula is:
where I is the global spatial autocorrelation coefficient; and are the observed values of NGPR at the location of objects i and j in the study area; N is the number of county units; and is the spatial weight matrix.
Local spatial autocorrelation explores spatial correlation features from the local scale to identify spatial clustering or spatial anomalies of geographic elements. In this paper, local Moran’s I was used to identify the spatial association patterns of NGPR, which is calculated by the expression:
where is the local spatial autocorrelation coefficient at location i in the study area; and are the observed values of NGPR at the locations of objects i and j in the study area; is the mean value of x; is the variance of x; is the spatial weighting matrix; and the range of values of is the same as that of the global Moran’ s I.
Local spatial autocorrelation involves four distinct patterns: high–high agglomeration (H-H), low–high agglomeration (L-H), low–low agglomeration (L-L), and high–low agglomeration (H-L). H-H and L-L signify positive spatial correlation, indicating clustering of similar high or low values, whereas H-L and L-H suggest negative spatial correlation, reflecting dissimilar neighboring values. We utilized Moran scatter plots and LISA clustering diagrams to provide a comprehensive analysis of the local spatial correlation attributes in the context of NGP.
2.3.5. NGP Simulation
- PLUS model. The PLUS model, introduced by the HPSCIL@CUG laboratory team at China University of Geosciences (Wuhan, China) in 2020 [27], is a patch-based land-use change simulation model that operates on raster data. This model effectively identifies the driving forces behind land expansion and landscape modifications, enabling a more accurate simulation of the progression of land-use patches. The PLUS model comprises two key components:
- Land Expansion Analysis Strategy (LEAS): This strategy involves extracting various land use expansion areas between two stages of land use change. It then selects from the expanded areas, using the Random Forest algorithm to identify the influencing factors and driving forces behind each type of land use expansion individually. This process allows for the determination of development probabilities and the contribution of driving factors for all types of land use expansion during the specified period.
- Cellular Automata based on multiple random patch seeds (CARS) model: The PLUS model integrates random seed generation and a threshold-decreasing mechanism to dynamically simulate the automatic generation of patches in space under specific development probability constraints.
In the study, the land use expansion between the years 2000 and 2019 was extracted, and the expansion areas were sampled in the LEAS module. The parameters of the LEAS module were set as follows: 50 decision trees, a sampling rate of 0.01, 15 training features, and the outputs include the probability of development for each class and the contribution of driving factors to the expansion of the site. We selected 15 driving factors from natural and socio-economic factors based on previous research (Table 2). These factors were used to determine the probability of development and the contribution of each factor to the expansion of the land. The PLUS model requires that the interval between the projection year and the end year should be the same as, or an integer multiple of, the interval between the start year and the end year. The time interval for this study was 19 years, so we used CARS to predict the 2038 landscape based on the information and analysis obtained from the LEAS module.
Table 2.
Driving factors.
Pontious et al. [41,42] found that the Figure of Merit (FoM) index is superior to the Kappa coefficient in evaluating the accuracy of the simulated changes, so the FoM index was used for the accuracy evaluation of the simulations. Its calculation formula is:
where A represents the number of pixels that are predicted not to change and actually change; B represents the number of rasters that are accurately predicted; C represents the number of pixels that are predicted incorrectly for the land-use type; and D represents the number of pixels that are predicted to change and actually do not change. According to previous studies, when the calculated value of FoM is small, it indicates that the simulation accuracy is low. Conversely, when its value is larger, it suggests that the simulation accuracy is higher. An FoM value greater than 0.1 can be considered indicative of good simulation accuracy.
We set the neighborhood weights according to the proportion of the expansion area of different land types to the total area. After repeated debugging, the attenuation threshold was set to 0.9, the diffusion coefficient was set to 0.1, and the probability of random seeds was set to 0.001. At this time, the FoM index reached 0.29, indicating that the simulated 2019 NGPCL was highly consistent with the real situation and was able to meet the research needs.
- 2.
- Scenario analysis. Based on the documents “Jiangsu Province Land Spatial Planning (2021–2035)” and “Jiangsu Province 14th Five-Year Plan Grain Industry Development Plan”, as well as drawing insights from previous studies [43,44,45], the study established three development scenarios as follows:
- Natural development scenario (NDS): Based on the change rule of land use in Jiangsu Province from 2000 to 2019, the distribution of NGPCL under the natural growth scenario in 2038 was simulated without any constraints.
- Cultivated land protection scenario (CPS): Considering the requirements of “stabilizing the amount of cultivated land, optimizing the layout of cultivated land, and strictly controlling the occupation of cultivated land by non-agricultural construction” mentioned in the land space planning of Jiangsu Province (2021–2035), this scenario reduced the probability of transferring cultivated land to construction land, forest land, grassland and water by 30% and 100% to unutilized land based on the probability of the natural development scenario to simulate the protection of cultivated land by land managers.
- Food security scenario (FSS): Considering the requirements of “Strictly controlling non-grain production and guaranteeing food security” mentioned in the “Jiangsu Province Land Space Planning (2021–2035)” and the “14th Five-Year Plan for the Development of Grain Industry in Jiangsu Province”, this scenario reduced the probability of transferring GPCL to NGPCL by 30% based on the probability of the CPS to simulate the control measures taken by the land managers on the NGP.
3. Results
3.1. Timing Evolution of NGP in Jiangsu Province
Between 2000 and 2019, the cultivated land area in Jiangsu Province decreased from 69,910.29 km² to 62,777.79 km². The NGPCL decreased by 18.67% from the initial year, while the NGPR decreased from 51.48% to 46.63% (Figure 3). The temporal evolution characteristics of NGP suggest two phases during the study period.
Figure 3.
Temporal changes in NGPCL area and NGPR in Jiangsu Province.
- From 2000 to 2010, the province’s NGPR declined by 6.59%. This decline can be attributed to China’s active implementation of agricultural policies and reforms in the grain circulation system after 2003. In addition, in 2004, Jiangsu Province introduced supportive policies such as grain subsidy policies and agricultural tax reductions and exemptions. This has boosted grain production and increased farmers’ incentives to cultivate grain. Consequently, the dominance of grain production increased, leading to a decline in the NGPR during this period.
- In the period from 2010 to 2019, the NGPR in Jiangsu Province experienced a slight increase, primarily due to declining grain prices. The continuous decrease in grain prices, particularly rice prices, exhibited a downward trend from 2012, reaching CNY 2.4/kg in 2019. This decline in the profitability of grain cultivation prompted some farmers to shift towards planting cash crops with higher economic returns. The average annual increase in the NGPCL rate in Jiangsu Province during this period was 0.17%, with an average annual increment in the area of NGPCL amounting to 51.32 km².
During the study period, both the area of GPCL and NGPCL experienced a decrease, with the reduction in NGPCL surpassing that of GPCL. This led to a decline in the NGPR, aligning with the conclusions drawn by Wang et al. [46]. This observation indicated that despite the decrease in NGPR in Jiangsu Province, concerns regarding food security persist, particularly given the rising demand for grain within the province [47,48].
The data presented in Figure 4 indicate that the mutual transformation between NGPCL and GPCL was a common occurrence across all time periods studied. The data from Table 3 reveal that during the period of 2000–2019, NGPCL accounted for 76.33% of the transfer out of GPCL to other land categories, while the conversion of NGPCL to GPCL represented 63.18% of the outward transfers from NGPCL. Additionally, the conversion of cultivated land to AS constituted a significant proportion, with 20.69% of GPCL outward transfers and 30.86% of NGPCL outward transfers resulting in AS. These findings suggested that the expansion of AS during the study period led to a common occurrence of cultivated land being converted, with NGPCL being more prone to transformation into AS compared to GPCL.
Figure 4.
Land use transfer Sankey map of Jiangsu Province, 2000–2019.
Table 3.
Land use transfer matrix for Jiangsu Province, 2000–2019.
3.2. Spatial Evolution of NGP in Jiangsu Province
The spatial distribution of NGPCL in Jiangsu Province is depicted in Figure 5. Across all counties in Jiangsu Province, NGPCL distribution exhibited clear spatial differentiation characteristics. Southern Jiangsu emerged as a focal point for NGPCL concentration throughout the study period, boasting the highest NGPR in the province. Central Jiangsu has experienced a notable increase in NGPCL from 2000 to 2019, accompanied by a rise in the NGPR. Conversely, northern Jiangsu has witnessed a decline in NGPCL and a corresponding decrease in NGPR, alongside a resurgence in grain cultivation activities. By 2019, Jiangsu Province had established a spatial pattern characterized by a “high prevalence of NGP in the central and southern regions, with lower levels in the northern areas”.
Figure 5.
Spatial variation map of NGPCL in Jiangsu Province.
As shown in Figure 6, the patches with decreasing NGPCL were mainly located in Lianyungang, Guanyun, and Gunnan in northeastern Jiangsu and Nanjing, Suzhou, and Wuxi in the south, while the areas with increasing NGPCL were mainly located in Rugao, Taixing, and Xinghua in central Jiangsu and Fengxian, Peixian, and Pizhou in the northwest.
Figure 6.
Distribution of transfer-in and transfer-out for NGPCL in Jiangsu Province.
3.2.1. Spatial Clustering Analysis of NGPCL
We utilized KDE to quantitatively illustrate the aggregation of NGPCL, as depicted in Figure 7. The results are segmented into three levels based on the natural breakpoint method: the low-value zone (0–22.84/km2), the medium-value zone (22.84–43.78/km2), and the high-value zone (43.78–97.08/km2).
Figure 7.
Spatial variation in KDE grade of NGPCL in Jiangsu Province.
Over the study period, the spatial distribution of NGPCL underwent a gradual transition from being “dense in the northeast and south and sparse in the center” to “dense in the middle of the south and sparse in the north”. Initially, high-value areas were predominantly concentrated in Nanjing, Wuxi, and Suzhou in the south, as well as Lianyungang, Guanyun, and Gunnan in northeastern Jiangsu Province, indicating a high degree of NGPCL concentration in these regions.
Throughout the study period, the high-value zones in northeastern Jiangsu experienced a contraction, with low-value zones expanding and a decrease in NGPCL concentration. In central Jiangsu, high-value zones expanded, particularly in areas like Haian and Taizhou, indicating an increase in NGPCL concentration in the central region over time. In southern Jiangsu, high-value zones decreased, leading to the dominance of medium-density and high-density zones by the end of the study period, maintaining a relatively high level of NGPCL concentration.
3.2.2. Spatial Evolution of the NGPR
The county NGPR was used to classify the 54 county units into low-value areas (40% ≤ NGPR), medium-value areas (40% ≤ NGPR ≤ 58%), and high-value areas (NGPR ≥ 58%) based on the natural breakpoint method, as shown in Figure 8. Throughout the study period, the high-value zones decreased from 24 in 2000 to 15 in 2019, while the medium-value zones increased by 6, and the low-value zones increased by 3. In terms of spatial distribution, Jiangsu Province underwent a shift from “high NGPR in the north and south and lower in the center” to “high NGPR in the south and center and lower in the north”. Across the entire study period, the southern part of Jiangsu exhibited a higher degree of NGP, primarily concentrated in the high-value areas. Cities like Nanjing and Suzhou remained in the high-value area for an extended period. In central Jiangsu, the NGPR was lower in 2000 but increased over time. Cities such as Taizhou and Taixing transitioned from the low-value area to the middle-value area, while Xinghua and Haian shifted from the middle-value area to the high-value area. In the northern part of Jiangsu, the NGPR was higher in 2000 but experienced a decline over time. Locations like Donghai, Guanyun, and Gunnan shifted from being high-value areas to low-value areas during this period.
Figure 8.
Spatial evolution of county NGPR in Jiangsu Province.
The spatial evolution of the NGPR in Jiangsu Province highlighted a clear development trend where the NGP level was higher in the southern regions and lower in the northern areas, which is consistent with the findings of previous studies conducted by Li et al. [46,49]. This pattern was influenced by the diverse geographic locations and variations in social and economic factors between the north and south of Jiangsu. The higher levels of urbanization and economic development in southern Jiangsu drove a greater demand for NGP crops, especially cash crops. Farmers in the southern region were more inclined towards NGP practices due to economic incentives. The process of urbanization in these areas created more job opportunities in secondary and tertiary industries, reducing the dependence of farmers solely on agriculture for their livelihoods and leading to a higher prevalence of NGP. The central region of Jiangsu benefited from its proximity to the well-developed southern part of the province, underwent rapid urbanization and economic growth, and resulted in an increasing trend in NGP levels over the study period. On the contrary, the northeast, although it had a high degree of NGP in 2000, had a relatively low potential return on NGP due to relatively lagging social and economic development. As a result, the region experienced an increase in the status of grain cultivation and a decrease in the NGPR during the study period.
3.2.3. Spatial Correlation of NGP
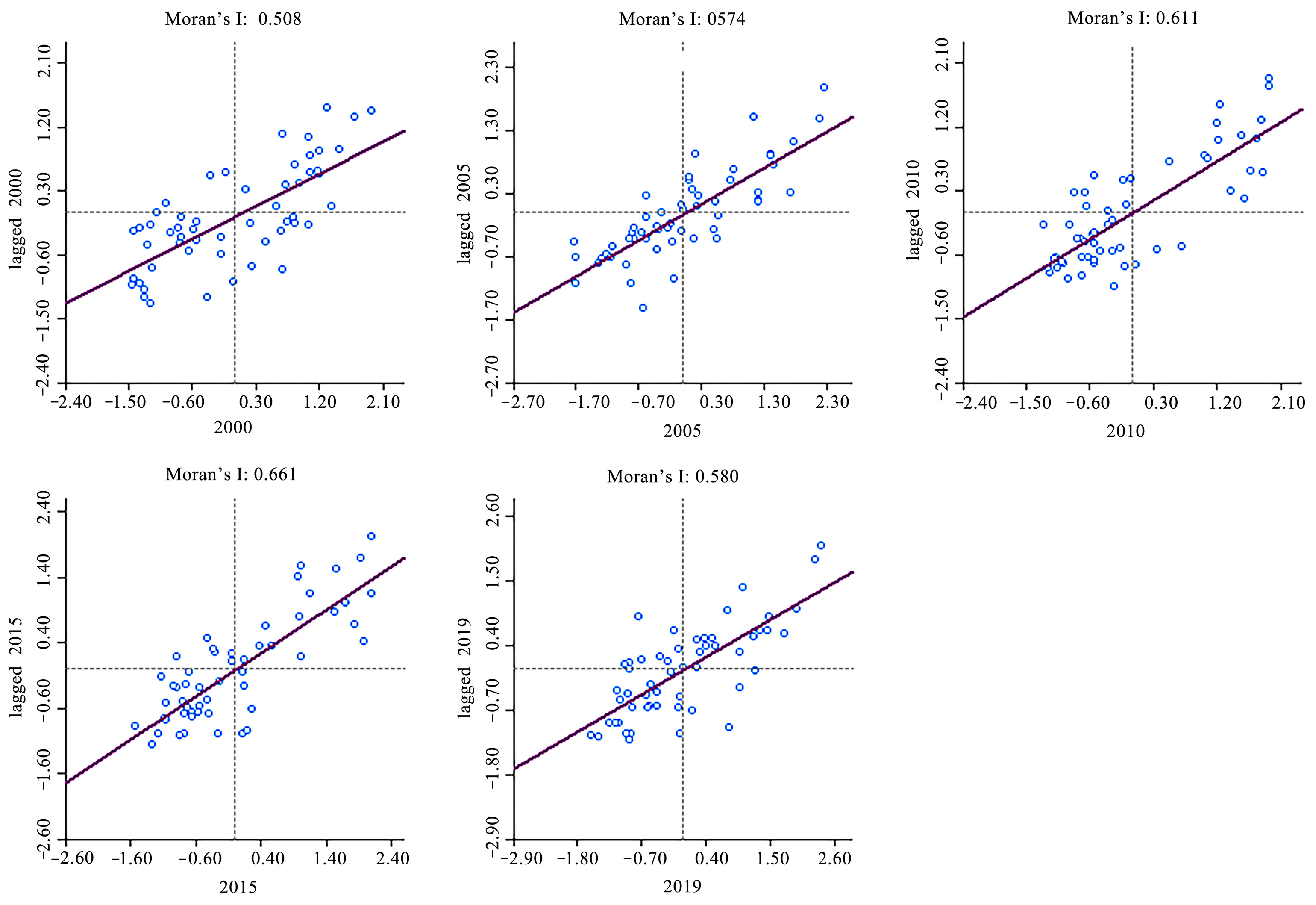
The analysis presented in Figure 9 demonstrates that the global Moran’s I for each year in Jiangsu Province was consistently greater than 0 and passes the 99% confidence test. This indicates a strong positive correlation in the spatial distribution pattern of the NGPR over the five years under study. The small change in Moran’s I suggests that the global characteristics exhibit a relatively smooth transition over time. The results of the global spatial autocorrelation analysis point towards a strong radiation effect in the NGPR distribution, indicating that the trend of NGP in one area drove NGP in neighboring regions.
Figure 9.
Moran scatterplot of NGPR in Jiangsu Province.
The spatial correlation pattern of the NGPR in Jiangsu Province, as illustrated in Figure 10, was characterized by a prevalence of H-H agglomeration and L-L agglomeration. High H-H agglomerations were predominantly situated in the southern region of the study area, while L-L agglomerations tend to concentrate gradually in the northeastern part of the province. The number of H-H agglomerations remained constant from 2000 to 2019, primarily clustered in the economically developed southern Jiangsu Province, where urbanization and agricultural diversity contribute to a high NGPR. In contrast, the number of L-L agglomerations increased and shifted towards the northeast of Jiangsu, an area marked by slower economic growth but favorable agricultural conditions conducive to grain crop production, resulting in a lower NGPR.
Figure 10.
LISA clustering map of NGPR in Jiangsu Province.
3.3. Multi-Scenario Simulation Results for NGP in Jiangsu Province
The contribution of the drivers of NGPCL could be derived from LEAS (Figure 11). EVP, SSD, TEM, GDP, PRE, and population density had a high contribution to NGPCL, while distance to government departments, soil types and distance to roads at all levels also had a certain influence on NGPCL, and topographic factors had the lowest driving force for NGPCL.
Figure 11.
Distribution of contributions to driving factors of NGPCL.
The significant difference in the development trend of the NGP in Jiangsu Province under different scenarios is depicted in Figure 12 and Figure 13.
Figure 12.
Spatial distribution of NGPCL under multi-scenario simulation.
Figure 13.
Area statistics of GPCL and NGPCL under multi-scenario simulation.
Under the NDS, the constraints imposed by land managers on the reduction in cropland and the NGP were not considered, and only the future development of NGPCL driven by a combination of socio-economic and natural factors was considered. Under this scenario, the area of cultivated land will decrease by 5569.77 km2, with NGPCL decreasing by 12.96% and GPCL decreasing by 5.31% from 2019. Spatially, the distribution of NGPCL continued the characteristics of 2019, with more densely populated economically developed areas in central and southern Jiangsu and new NGPCL. Fengxian and Suining counties in northwestern Jiangsu have relatively poor conditions for grain production due to the limitations of precipitation, evaporation, and average temperature and also had some new NGPCL. In addition, there will be a clear mutual transformation between GPCL and NGPCL, which will be consistent with the trend of change from 2000 to 2019.
Under the CPS, land managers will rigorously enforce the compensation system for cultivated land occupation and the fundamental farmland protection system. They enhance cultivated land protection through the development of high-standard basic farmland and regulate the conversion of cultivated land to other land uses. In comparison to the NDS, the decline in cultivated land will diminish significantly, particularly as the encroachment of AS on cultivated land shows a notable decrease. In this scenario, the reduction in cultivated land amounts to 1915.27 km2, with a 6.4% decrease in NGPCL and a 39.19 km2 decrease in GPCL. Spatially, NGPCL will be predominantly concentrated in economically developed and urbanized areas such as Taicang, Changshu, Dongtai, and Haian in the southern and central regions of Jiangsu Province.
Under the FSS, land managers will not only impose restrictions on the conversion of cultivated land to other land types but also control the transformation of GPCL into NGPCL through various policies like cultivated land use control, NGP monitoring, and grain cultivation subsidies. This approach will lead to a decrease in the addition of new NGPCL and a reversal in the declining trend of GPCL. Cultivated land will diminish by 1931.08 km2 in this scenario, with NGPCL decreasing by 16.40% and GPCL increasing by 2868.68 km2. Notably, regions like Lianyungang, Guanyun County, and Xiangshui will witness substantial growth in new GPCL, aligning with local initiatives such as the grain industry development plan and the promotion of high-standard farmland construction. In addition, this is in line with the requirements of strengthening the construction of grain bases in the northern part of Jiangsu Province and steadily increasing the grain capacity, as mentioned in the Jiangsu Province Territorial Spatial Planning (2021–2035). Overall, this scenario will effectively maintain the quantity of GPCL, ensuring food security by slowing down the conversion of GPCL to NGPCL while safeguarding cultivated land.
The NGPR under the three scenarios was divided according to the previous grading (Figure 14). The distribution of the NGPR in Jiangsu Province under the three scenarios will maintain the overall distributional characteristics of 2019, with higher NGPR in the south and center and lower in the north.
Figure 14.
NGPR for counties in multi-scenario simulations.
Under the NDS, the overall NGPR will decrease, which is due to the fact that the rate of decrease in NGPCL will be larger than that of GPCL. The high-value areas of the NGPR are Taizhou, Taixing, and Kunshan, while the medium-value areas will mainly be located in Dongtai and Yangzhou, and the low-value area areas are Lianyungang and Guanyun.
Under the CPS, the reduction in both GPCL and NGPCL is mitigated. In this scenario, the high NGPR zones will mainly be located in Changshu and Kunshan, the medium zones will mainly be located in Yangzhou and Dongtai, and the mild NGPR zones will mainly be located in Guannan and Guanyun.
Under the FSS, the conversion of GPCL to NGPCL is limited and the NGPR will be further reduced. The high-value areas of the NGPR in this scenario will be Suzhou and Taicang, the medium-value areas are mainly distributed in Yangzhou and Gaoyou, and the low-value areas will be Lianyungang and Guanyun.
4. Discussion
4.1. Research Significance
NGP has a negative impact on the stabilization of grain output. NGP takes away the cultivated land for grain production, which may lead to a shortage of grain planting areas and thus trigger a decline in grain production and quality [14]. Furthermore, the shift to non-grain crops can alter the irrigation and drainage systems [6], making them more suitable for the growth of non-grain crops or even causing complete destruction. Some non-grain crops, like fast-growing poplar and eucalyptus, can contribute to soil infertility and acidification [10]. If there is a need to revert to planting grains in the future, significant economic investment may be required to restore the irrigation and drainage systems and address soil degradation issues caused by non-grain crop cultivation.
The decline in grain output caused by the NGP may lead to a decline in per capita grain availability, as well as an increase in grain prices, threatening human health and the stability of society [50]. While dietary adjustments, such as increasing the consumption of meat and meat products, can alleviate some dependence on grains, the demand for grain crops for human consumption and livestock feed will persist over the long term [51,52]; cross-border and inter-provincial grain trade can support the demand for grain up to a certain extent, but it is unstable due to transportation costs, market price fluctuations, adjustments in policy factors, and changes in international relations [10]. Therefore, it is crucial to control the unregulated expansion of NGP to stabilize grain yields.
The evolution of NGP is a complex and dynamic process, and it is difficult to comprehensively characterize the evolution of NGP by relying on the analysis of historical data only, and it lacks the consideration of multiple development scenarios in the future. The NGPCL prediction under multi-scenario simulation can complement the understanding of the spatial and temporal evolution characteristics of NGPCL. Meanwhile, the simulation of different future NGPCL distribution patterns based on different development goals such as cultivated land protection and food security also provide an important reference for the current land management and cropland utilization in the region.
4.2. Exploration of Driving Mechanisms
We found that climatic factors contributed more to NGP, probably because grain production requires better water and heat conditions, and areas with poorer water and heat conditions tend to favor NGP. Jiangyan, Rugao, and Taixing had higher EVPs and lower PREs, and water resources were relatively scarce, leading to poorer conditions for grain production, so these counties experienced a significant trend of NGP change during the study period, with more newly added NGPCL. Soil types affects the suitability for grain production, which in turn affects the potential benefits of grain production and therefore also has an impact on the degree of NGP.
GDP and population density reveal the level of economic development and urbanization in the counties, and central and southern Jiangsu have a higher level of development than northern Jiangsu and therefore a higher degree of NGP. In developed regions, consumption tends to be more diverse, with a higher demand for cash crops. At the same time, increased employment opportunities in secondary and tertiary industries have shifted farmers’ focus away from viewing agricultural production as their sole livelihood. These reasons significantly reduced farmers’ incentives to produce grain, leading to a higher likelihood of NGP. The proximity to various levels of roads reflects the convenience of transportation. The enhancement of the transportation system has accelerated the integration of urban and rural areas, fostering stronger inter-regional exchanges and communication. This development has also provided transportation facilities for the movement of cash crops, particularly those with shorter storage times like vegetables and fruits. As a result, farmers are more inclined towards pursuing NGP due to the comparative advantages and economic interests associated with these cash crops.
4.3. Policy Implications
Jiangsu Province holds a crucial position as a significant grain-producing region in China. It is imperative to address the uncontrolled expansion of non-grain crops and stabilize grain yields to ensure food security in Jiangsu Province and the nation as a whole. To achieve this goal, the following suggestions were proposed:
- The AS has indeed resulted in the reduction of cultivated land in Jiangsu Province. Without effective restrictions, the trend of AS occupying a significant amount of cultivated land is likely to persist in the future. By enhancing the protection of cultivated land and imposing strict controls on the conversion of cultivated land to other land categories, such as, agricultural resources can be protected and a balance between urban development and agricultural production can be achieved. These measures are essential for ensuring food security, promoting sustainable land use practices, and preserving the long-term productivity of Jiangsu Province’s agricultural sector.
- The NGP is a result of farmers weighing various factors, including natural conditions, economic considerations, and other influences. To mitigate the impact of NGP, governmental intervention is crucial. Firstly, the government should implement financial policies such as subsidies and preferential loans for farmers and enhance the purchase price of grain crops to encourage their cultivation. Secondly, attention should be paid to guiding farming methods, and planting conditions should be improved by such means as strengthening the construction of water conservancy facilities. It should also build a production system that integrates grain processing, transportation, storage, and marketing in order to reduce production costs and increase income from grain production. Lastly, it is imperative to limit NGP through a comprehensive system of land use control.
4.4. Limitations and Future Prospects
- The grain cultivation spatial distribution data were extracted from the 1 km resolution land use data provided by RESDC, which came from the same data source as the 30 m resolution land use data we used and had the same decoding method and classification method (we validated the two sets of data and obtained an overall accuracy of 94.57% and a kappa coefficient of 0.90 [53,54]). But when defining the NGPCL and the GPCL, there is still a certain degree of error, and subsequent studies should improve the resolution of the spatial distribution data of grain cultivation in order to identify NGPCL more accurately.
- The evolution of NGPCL is affected by a variety of factors, including natural factors such as EVP and PRE, as well as socio-economic factors such as GDP and population density. In our study, we did not include factors that are difficult to quantify, especially policy factors, and due to the limitations of the PLUS model [27], we could only consider the driving factors as static factors. Future studies should aim to include policies as drivers and consider their dynamics.
5. Conclusions
Based on the spatio-temporal analysis of NGP in Jiangsu Province, we conducted a multi-scenario simulation of the pattern of NGP in 2038, and came up with the following conclusions.
- From 2000 to 2019, the degree of NGP in Jiangsu Province decreased, with NGPR decreasing by 4.85%, the area of NGPCL decreasing from 35,991.07 km2 to 20,270.21 km2, and GPCL decreasing from 33,916.99 km2 to 33,505.61 km2. Meanwhile, interconversion of NGPCL and GPCL was common in Jiangsu Province. In addition, the transformation of cultivated land to AS was also more common, and NGPCL was more likely to be transformed to AS than GPCL, which was a phenomenon that deserves the attention of land managers.
- During the study period, Jiangsu Province exhibited a pattern of high NGPCL densities in the central and southern regions, with lower densities in the northern areas. In this paper, the NGPR of county units in Jiangsu Province was measured, and the evolution of NGPR illustrated the tendency for the level of NGP to be greater in the south and central Jiangsu Province than in the north. The results of spatial autocorrelation illustrated the spatial correlation of NGPR in Jiangsu Province, and the tendency of NGP drove and influenced the NGP in the surrounding areas. The NGPR was dominated by H-H agglomerations and L-L agglomerations, and H-H agglomerations were located in the southern part of Jiangsu Province, where the economy and urbanization are high, while L-L agglomerations were gradually concentrating in the northeastern part of Jiangsu Province.
- Climatic factors, GDP, and population density contributed more to NGP in Jiangsu Province, while distance to government departments, soil types, and distance to all levels of highway also had some influence on NGP, and topographic factors drove NGP the least.
NGPCL will broadly maintain its current spatial pattern under the three scenarios, with denser concentrations in the south and center and sparser distribution of NGPCL in the north. In the NDS, there will be a large reduction in both NGPCL and GPCL; in the CPS, the reduction in NGPCL and GPCL will be somewhat suppressed; and in the FSS, the trend of reduction in GPCL will be reversed and the degree of NGP will be further suppressed.
Author Contributions
Conceptualization, L.W. and C.J.; methodology, L.W. and C.J.; software, C.J., A.L. and M.S.; validation, L.W. and C.J.; formal analysis, H.C., W.G. and H.O.; investigation, H.C. and W.G.; resources, C.J., L.W., H.C. and W.G.; data curation, C.J.; writing—original draft preparation, L.W., C.J. and X.L.; writing—review and editing, L.W. and C.J.; visualization, L.W., C.J. and M.S.; supervision, L.W.; project administration, L.W.; funding acquisition, L.W. All authors have read and agreed to the published version of the manuscript.
Funding
This research was funded by the National Natural Science Foundation of China, grant number 42101252.
Data Availability Statement
Data available in a publicly accessible repository that does not issue DOIs: Publicly available datasets were analyzed in this study. This data can be found here: http://www.nesdc.org.cn (accessed on 1 April 2023).
Conflicts of Interest
The authors declare no conflicts of interest.
References
- Liu, Z.; Zhong, H.; Li, Y.; Wen, Q.; Liu, X.; Jian, Y. Change in grain production in China and its impacts on spatial supply and demand distributions in recent two decades. J. Nat. Resour. 2021, 36, 1413–1425. [Google Scholar] [CrossRef]
- Zhang, C.; Wang, X.; Liu, Y. Changes in quantity, quality, and pattern of farmland in a rapidly developing region of China: A case study of the Ningbo region. Landsc. Ecol. Eng. 2019, 15, 323–336. [Google Scholar] [CrossRef]
- Wang, X.; Hao, J.; Dai, Z.; Haider, S.; Chang, S.; Zhu, Z.-Y.; Duan, J.; Ren, G.-X. Spatial-temporal characteristics of cropland distribution and its landscape fragmentation in China. Farming Syst. 2024, 2, 100078. [Google Scholar] [CrossRef]
- Wu, Y.; Zhang, P.; Yu, Y.; Xie, R. Progress Review on and Prospects for Non-grain Cultivated Land in China from the Perspective of Food Security. China Land Sci. 2021, 35, 116–124. [Google Scholar]
- Xie, Y.; Wang, Z.; Wang, Y.; Zheng, J.; Xiang, S.; Gao, M. Spatial-temporal variation and driving types of non-grain cultivated land in hilly and mountainous areas of Chongqing. J. Agric. Resour. Environ. 2024, 41, 15–26. (In Chinese) [Google Scholar]
- Cheng, X.; Tao, Y.; Huang, C.; Yi, J.; Yi, D.; Wang, F.; Tao, Q.; Xi, H.; Ou, W. Unraveling the Causal Mechanisms for Non-Grain Production of Cultivated Land: An Analysis Framework Applied in Liyang, China. Land 2022, 11, 1888. [Google Scholar] [CrossRef]
- Li, T.; Hao, D. Current situation of“non-grain production”of cultivated land in China and the research progress of retillage and fertilization technology. Chin. J. Appl. Ecol. 2023, 34, 1703–1712. [Google Scholar]
- Qiu, L.; Zhu, J.; Pan, Y.; Dang, Y.; Wu, S. Distribution Characteristics, Ecological Risks, and Source Identification of Heavy Metals in Cultivated Land Under Non-grain Production. Environ. Sci. 2023, 44, 2829–2837. [Google Scholar]
- Zhu, Z. The Causes and Countermeasures of Non-grain during the Process of Land Circulation. Rural Econ. 2009, 25, 13–14. [Google Scholar]
- Su, Y.; Li, C.L.; Wang, K.; Deng, J.S.; Shahtahmassebi, A.R.; Zhang, L.P.; Ao, W.J.; Guan, T.; Pan, Y.; Gan, M.Y. Quantifying the spatiotemporal dynamics and multi-aspect performance of non-grain production during 2000–2015 at a fine scale. Ecol. Indic. 2019, 101, 410–419. [Google Scholar] [CrossRef]
- Wang, Y.; Chen, Y.; Yi, X.; Xiao, B. The Non-Grain Problem In The Process Of Land Trabsfer And The Countermeasures. Chin. J. Agric. Resour. Reg. Plan. 2011, 32, 13–16. [Google Scholar]
- Xie, P. Research on Influencing Factors of Non-agriculturalization and Non-grainization of Cultivated Land in Villages and Towns. Master’s Thesis, Nanjing Agricultural University, Nanjing, China, 2021. [Google Scholar]
- Zhao, X.; Liu, Z. “Non-Grain” or “Grain-Oriented”: An Analysis of Trend of Farmland Management. J. South China Agric. Univ. 2021, 20, 78–87. [Google Scholar]
- Chen, Y.; Li, M.; Zhang, Z. Does the Rural Land Transfer Promote the Non-Grain Production of Cultivated Land in China? Land 2023, 12, 688. [Google Scholar] [CrossRef]
- Zhang, Y.; Feng, Y.; Wang, F.; Chen, Z.; LI, X. Spatiotemporal differentiation and driving mechanism of cultivated land non- grain conversion in Guangdong Province. Resour. Sci. 2022, 44, 480–493. [Google Scholar] [CrossRef]
- Chen, H.; Tan, Y.; Deng, X.; Xiao, W. Progress and prospects on information acquisition methods of abandoned farmland. Trans. Chin. Soc. Agric. Eng. 2020, 36, 258–268. [Google Scholar]
- Su, Y.; Qian, K.; Lin, L.; Wang, K.; Guan, T.; Gan, M. Identifying the driving forces of non-grain production expansion in rural China and its implications for policies on cultivated land protection. Land Use Policy 2020, 92, 104435. [Google Scholar] [CrossRef]
- Xu, G.; Lu, L.; Yang, C.; Huang, L.; Wan, C. Identification and driving mechanisms of non-grain cultivated land in hilly and mountainous areas based on multi-temporal Sentinel-1A images. Trans. Chin. Soc. Agric. Eng. 2023, 39, 236–245. [Google Scholar]
- Hao, Q.; Zhang, T.; Cheng, X.; He, P.; Zhu, X.; Chen, Y. GIS-based non-grain cultivated land susceptibility prediction using data mining methods. Sci. Rep. 2024, 14, 4433. [Google Scholar] [CrossRef] [PubMed]
- Li, Q.; Chen, W.; Shi, H.; Zhang, S. Assessing the environmental impact of agricultural production structure transformation-Evidence from the non-grain production of cropland in China. Environ. Impact Assess. Rev. 2024, 106, 107489. [Google Scholar] [CrossRef]
- Ran, D.; Zhang, Z.; Jing, Y. A Study on the Spatial–Temporal Evolution and Driving Factors of Non-Grain Production in China’s Major Grain-Producing Provinces. Int. J. Environ. Res. Public Health 2022, 19, 16630. [Google Scholar] [CrossRef]
- Tang, C.; Yi, Y.; Kuang, Y. Research on Spatio-Temporal Complexity Evolution and Influencing Factors of “Nongrain” in Guangxi. Discrete Dyn. Nat. Soc. 2022, 2022, 1181108. [Google Scholar] [CrossRef]
- Chen, F.; Liu, J.; Chang, Y.; Zhang, Q.; YU, H.; Zhang, S. Spatial Pattern Differentiation of Non-grain Cultivated Land and Its Driving Factors in China. China Land Sci. 2021, 35, 33–43. [Google Scholar]
- Liang, X.; Jin, X.; Liu, J.; Yin, Y.; Gu, Z.; Zhang, J.; Zhou, Y. Formation mechanism and sustainable productivity impacts of non-grain croplands: Evidence from Sichuan Province, China. Land Degrad. Dev. 2023, 34, 1120–1132. [Google Scholar] [CrossRef]
- Chen, W.; Liao, Y.; Kong, X. Characteris, Drivers and Control of Non-grain Production on Permanent Basic Farmland Based on Plot Scale. Trans. Chin. Soc. Agric. Mach. 2023, 54, 114–124. [Google Scholar]
- Zhang, O.; Jiang, C. Analysis on Differences of “Non-Grain” of Different Types Farmers in Transfer-In Farmland. Finance Trade Res. 2016, 27, 24–31. [Google Scholar]
- Liang, X. Understanding the drivers of sustainable land expansion using a patch-generating land use simulation (PLUS) model: A case study in Wuhan, China. Comput. Environ. Urban Syst. 2021, 85, 101569. [Google Scholar] [CrossRef]
- Liu, X.; Li, X.; Zhang, Y.; Wang, Y.; Chen, J.; Geng, Y. Spatiotemporal evolution and relationship between construction land expansion and territorial space conflicts at the county level in Jiangsu Province. Ecol. Indic. 2023, 154, 110662. [Google Scholar] [CrossRef]
- Wang, L.; Liang, A.; Li, X.; Jiang, C.; Wu, J.; Omrani, H. Understanding Recessive Transition of Cultivated Land Use in Jilin Province, China (1990–2020): From Perspective of Productive-Living-Ecological Functions. Land 2023, 12, 1758. [Google Scholar] [CrossRef]
- Li, X.; Wang, L.; Pijanowski, B.; Pan, L.; Omrani, H.; Liang, A.; Qu, Y. The Spatio-Temporal Pattern and Transition Mode of Recessive Cultivated Land Use Morphology in the Huaibei Region of the Jiangsu Province. Land 2022, 11, 1978. [Google Scholar] [CrossRef]
- Luo, Y.; Zhang, Z.; Li, Z.; Chen, Y.; Zhang, L.; Cao, J.; Tao, F. Identifying the spatiotemporal changes of annual harvesting areas for three staple crops in China by integrating multi-data sources. Environ. Res. Lett. 2020, 15, 074003. [Google Scholar] [CrossRef]
- Li, X.; Wu, K.; Yang, Q.; Hao, S.; Feng, Z.; Ma, J. Quantitative assessment of cultivated land use intensity in Heilongjiang Province, China, 2001–2015. Land Use Policy 2023, 125, 106505. [Google Scholar] [CrossRef]
- Zhang, M.; Wang, J.; Feng, Y. Temporal and spatial change of land use in a large-scale opencast coal mine area: A complex network approach. Land Use Policy 2019, 86, 375–386. [Google Scholar] [CrossRef]
- Qiao, F.; Zhang, Y.J.; Gu, Z.Y.; Wang, J.; Zhang, G.Y. Grid Task Scheduling Algorithm Based on Non-Conflict Degree. Appl. Mech. Mater. 2012, 239–240, 1497–1500. [Google Scholar] [CrossRef]
- Xiang, H.; Ma, Y.; Zhang, R.; Chen, H.; Yang, Q. Spatio-Temporal Evolution and Future Simulation of Agricultural Land Use in Xiangxi, Central China. Land 2022, 11, 587. [Google Scholar] [CrossRef]
- Zhu, Z.; Duan, J.; Li, R.; Feng, Y. Spatial Evolution, Driving Mechanism, and Patch Prediction of Grain-Producing Cultivated Land in China. Agriculture 2022, 12, 860. [Google Scholar] [CrossRef]
- Jiang, Z. Spatial-temporal Change and Multi-scenario Prediction of Land Use in Urumqi. Master’s Thesis, Xinjiang Normal University, Xinjiang, China, 2022. [Google Scholar]
- Wang, Y. Study on Varation Mechanism of Land Use Pattern and its Optimization Model in Songnen High Plain. Ph.D. Thesis, Northeastern University, Shenyang, China, 2017. [Google Scholar]
- Wu, N.; Wei, Y.; Li, L.; Yang, H. Spatial distribution of non-grain crops and formation mechanism: Empirical analysis of Ningling County, Henan Province. Prog. Geogr. 2023, 42, 1298–1310. [Google Scholar] [CrossRef]
- Peng, H.; Song, J.; Yin, W. Multi scenario simulation of cultivated land landscape pattern in Western Hubei mountainous area based on PLUS model. Hubei Agric. Sci. 2023, 62, 51–59. [Google Scholar]
- Pontius, R.G.; Boersma, W.; Castella, J.-C.; Clarke, K.; De Nijs, T.; Dietzel, C.; Duan, Z.; Fotsing, E.; Goldstein, N.; Kok, K.; et al. Comparing the input, output, and validation maps for several models of land change. Ann. Reg. Sci. 2008, 42, 11–37. [Google Scholar] [CrossRef]
- Pontius, R.G.; Millones, M. Death to Kappa: Birth of quantity disagreement and allocation disagreement for accuracy assessment. Int. J. Remote Sens. 2011, 32, 4407–4429. [Google Scholar] [CrossRef]
- Yu, Z.; Zhao, M.; Gao, Y.; Wang, T.; Zhao, Z.; Wang, S. Multiscenario Simulation and Prediction of Land Use in Huaibei City Based on CLUE-S and PLUS Models. Appl. Sci. 2023, 13, 7142. [Google Scholar] [CrossRef]
- Li, J.; Yang, D.; Wu, F.; Chen, R.; He, W. Dynamic Simulation of Land Use Chnages and Assessment of Carbon Storage in Kunming Citu Based on Plus and InVEST Models. Bull. Soil Water Conserv. 2023, 43, 378–387. [Google Scholar]
- Zhu, W.; Zhang, J.; Cui, Y.; Zheng, H.; Zhu, L. Assessment of territorial ecosystem carbon storage based on land use change scenario: A case study in Qihe River Basin. Acta Geogr. Sin. 2019, 74, 446–459. [Google Scholar]
- Wang, C.; Zhi, X. “Grain-oriented” or “Non-grain-oriented”: Spatial-temporal analysis of the agricultural planting structure in Jiangsu Province at county level. Hubei Agric. Sci. 2023, 62, 64–70. [Google Scholar]
- Tan, Y. Study on food demand and availability of cultivated land resource based on a balanced diet in Jiangsu Province. Master’s Thesis, Nanjing University, Nanjing, China, 2020. [Google Scholar]
- Liu, X. Research on Grain Supply-Demand Balance in Jiangsu Province. Master’s Thesis, Nanjing Agricultural University, Nanjing, China, June 2012. [Google Scholar]
- Li, Y.; Xia, C.; Xia, Y.; Huang, Z.; Hua, C. The Evolution of the Spatio-temporal Pattern of “Non-grain” Cultivated Land in Jiangsu Province and Its Enlightenment to Rural Revitalization. Sci. Technol. Ind. 2023, 23, 229–238. [Google Scholar]
- Chen, Y.; Wang, J.; Zhang, F. New patterns of globalization and food security. J. Nat. Resour. 2021, 36, 1362–1380. [Google Scholar] [CrossRef]
- Zhou, Y.; Liu, Z. A social-ecological network approach to quantify the supply-demand-flow of grain ecosystem service. J. Clean. Prod. 2024, 434, 139896. [Google Scholar] [CrossRef]
- Li, J.; Xiao, Q.; Wu, H.; Li, J. Unpacking the Global Rice Trade Network: Centrality, Structural Holes, and the Nexus of Food Insecurity. Foods 2024, 13, 604. [Google Scholar] [CrossRef]
- Cohen, J. A coefficient of agreement for nominal scales. Educ. Psychol. Meas. 1960, 20, 37–46. [Google Scholar] [CrossRef]
- Landis, J.; Koch, G. The measurement of observer agreement for categorical data. Biometrics 1977, 33, 159–174. [Google Scholar] [CrossRef]
Disclaimer/Publisher’s Note: The statements, opinions and data contained in all publications are solely those of the individual author(s) and contributor(s) and not of MDPI and/or the editor(s). MDPI and/or the editor(s) disclaim responsibility for any injury to people or property resulting from any ideas, methods, instructions or products referred to in the content. |
© 2024 by the authors. Licensee MDPI, Basel, Switzerland. This article is an open access article distributed under the terms and conditions of the Creative Commons Attribution (CC BY) license (https://creativecommons.org/licenses/by/4.0/).













