Abstract
Land-use conflicts (LUCs) are pivotal in assessing human–land interaction, reflecting the intricate interplay between natural and anthropogenic drivers. However, existing studies often overlook nuanced non-linear responses and critical threshold recognition, focusing solely on linear correlations between isolated factors and LUCs. This study, situated in Xinjiang, China’s arid and semiarid region, introduces a novel analytical framework and threshold application model for LUCs. Integrating land-use and socioeconomic data, we quantified LUCs using Fragstats, correlation analysis, and restricted cubic spline (RCS) regression. Exploring non-linear dynamics between LUCs and 14 potential drivers, including natural and anthropogenic factors, we identified critical thresholds. LUC zones were delineated using a four-quadrant method, allowing tailored mitigation strategies. Our findings reveal Xinjiang’s distinct LUC spatial pattern, with intense conflicts surrounding mountainous areas and milder conflicts in basin regions, showing marked diminishment from 2000 to 2020. RCS effectively identifies LUC thresholds, indicating persisting severity pre- or post-specific thresholds. Xinjiang’s LUCs are categorized into key control areas, urgent regulation zones, elastic development territories, and moderate optimization regions, each with significant regional disparities. Tailored optimization suggestions mitigate linear analysis limitations, providing a fresh perspective on land zoning optimization. This research supports comprehensive land management and planning in Xinjiang, China.
1. Introduction
In the context of societal advancement and progress, the ever-growing human aspiration for wealth accumulation and the pressing need for development exert considerable pressure on finite land resources. This escalation intensifies tensions within the human–land interaction, exacerbating conflicts between humanity and the land. Since the Industrial Revolution, these contradictions and conflicts have rapidly transcended local boundaries to a global scale. Common challenges such as climate change, energy crises, and food shortages underscore the imbalance in the human–land system. Land-use conflicts (LUCs), arising from disparities in interests and needs among different stakeholders, epitomize the concentrated manifestation of these contradictions. Defined as spatial disputes and rights conflicts among stakeholders engaged in land resource utilization, LUCs encompass disputes arising from differences in land-use modes and the natural environment [1]. As a scarce resource integrating economic, social, and ecological values, land becomes a focal point of conflicts when stakeholders, driven by diverse value orientations and interest demands, engage in the land utilization process. These conflicts manifest as economic disputes among land-use subjects and as conflicts between economic interests, ecological protection, and social development [2]. LUC is a complex process characterized by the “land–land” conflict (imbalance between land-use quantity and function), with the “man–land” conflict (mismatch between land-use subject and function) at its core, and the “man–man” conflict (mismatch between land-use subject and spatial benefit distribution) as its essence. The “man–land” conflict originates from the evolution of regional human–land relationships influenced by external factors such as systems and markets. Throughout this evolution, the spatial interest game among various stakeholders forms a “man–man” conflict, aiming to achieve coordinated human–land relationships. However, constrained by external policies, systems, and internal economic and social factors, the evolution often falls short of achieving coordinated human–land relationships, resulting in a “land–land” conflict. This cyclic process persists. In essence, the root cause of LUC lies in the imbalance of the human–land relationship, a consequence of the structural and inherent spatial competition stemming from the ever-growing demand for limited land. This demand arises from the interplay between human activities, various land-use modes, and natural ecological processes [3]. Consequently, implementing appropriate control measures becomes imperative to effectively mitigate LUC [4]. Exploring the complex mechanisms influencing LUC, such as urbanization–ecological environment interactions [5], the economy–environment relationship [6], and the population–land–industry interplay [7], along with coordinating multiple land-use functions [8], optimizing and controlling the spatial pattern of the national territory [9,10], are essential measures that can contribute to the alleviation of LUC.
LUCs stand as a sensitive indicator of the intricate interaction between humans and the land. The continual escalation of human activities amplifies the conflict between economic growth and the natural environment, resulting in heightened competition and LUCs across diverse regions [11]. These conflicts manifest through the conversion of ecological land into cultivated or construction areas and the frequent mismatch and overlap between agricultural or industrial zones and ecological conservation spaces [12,13]. These competitions and contradictions represent complex disputes that, if not addressed promptly, often give rise to challenging environmental and social problems, potentially diminishing economic, ecological, or social benefits [14]. Furthermore, they pose a substantial hazard to sustainable development [15]. The occurrence and development of LUCs result from multi-dimensional internal and external factors, encompassing the natural environment, economy, society, and policy system. This intricate interplay shapes a complex mechanism driving the development and evolution of LUCs. As natural and human factors jointly exert their influence, the scope and intensity of LUCs gradually expand and intensify [16]. Firstly, as LUCs stem from the scarcity and multiple suitability of resources, natural environmental conditions significantly impact conflicts by determining the scarcity and multiple suitability of land resources. Hence, natural conditions serve as long-term factors influencing the formation of conflicts [17,18]. Secondly, LUCs are closely linked to economic and social factors. In the realm of socioeconomics, the burgeoning population and its demands act as primary catalysts for conflict development [19]. The overlapping interests of land-use subjects, shaped by human personality characteristics and group behavior, and the ensuing contradictions in land-use objectives are commonly regarded as the root causes of conflicts [20,21]. Thirdly, the noteworthy influence of policy and institutional environments on LUC is indirect and reliant. Essentially, it primarily exerts its influence indirectly by regulating the process of regional economic and social development [22,23]. This holds great significance for a thorough scientific exploration and effective comprehension of the role played by policy and institutional factors in LUC. To mitigate LUC more effectively and prevent its negative effects from spreading further, a clear understanding of the impact of natural and anthropogenic drivers on LUC is essential.
Certain studies have emphasized that LUC can be construed as the outcome of the interplay between economic driving forces, policy and institutional influences, and social and cultural factors [24]. Consequently, both natural and human factors exert an influence on LUC [19,21]. Typically, the intensity of regional LUC hinges on local background conditions and the extent of human development and land resource utilization in subsequent stages. The level of urbanization among dynamic drivers and terrain constraints among static factors have been identified as significant drivers affecting LUC [25]. Specifically, a high degree of coupling and coordination has been observed between the level of urbanization, terrain relief, and LUC. Notably, the intensity of LUC undergoes changes when the urbanization level and topographic relief index reach a certain threshold [26]. This implies that natural and anthropogenic drivers affecting LUC exhibit non-linearity, suggesting the potential for a threshold effect between LUC and these drivers. In recent decades, the proliferation of studies related to LUC has been evident with current research focusing on understanding conflicts between different subjects of interest through participatory surveys [27,28]. Quantitative identification of the effects of regional urbanization levels, population density, and topographic conditions on LUC has also been a key aspect of contemporary research [26,29]. In conclusion, existing studies have primarily centered on examining the effect of a single driver on LUC, lacking the analysis of the integrated impact of multiple factors on LUC. Moreover, there is a dearth of studies considering the nonlinear effects of different drivers on LUC intensity and the potential existence of thresholds, and where these thresholds might be applied. The diversity and complexity inherent in LUC are often overlooked since they result from a combination of anthropogenic activities [25], potentially leading to a lack of specificity in proposing control measures to mitigate LUC. Restricted cubic splines (RCS) have proven effective for modeling nonlinear relationships between explanatory variables and outcomes [30]. However, limited research has been conducted on the application of RCS in the environmental field, with most existing studies focused on other areas, such as virology research and family business science [31,32]. Consequently, more research is warranted to explore the potential application of RCS in other studies.
To effectively bridge this research gap, we applied RCS to the study of LUC and investigated their nonlinear relationship in Xinjiang. Positioned in the heartland of the Asia-Europe continent and located within the arid zone of northwestern China, this region represents a distinctive natural geographic unit. It features interspersed mountain ranges and basins, with coexisting oases and deserts that together form a unique mountain-oasis-desert ecosystem. The region contends with harsh natural conditions and relatively fragile ecosystems, influenced by climatic and hydrological factors. Xinjiang faces substantial challenges related to water resources and ecology, acting as impediments to economic development and posing threats to ecological health [33,34]. Furthermore, uncertainties such as rising temperatures and soil erosion impact the regional ecosystem [35]. In conjunction with these challenges, the rapid expansion of the Silk Road Economic Belt has escalated the demand for land resources in the region [36]. Consequently, human activities’ impact on the environment has intensified gradually, accentuating the conflict between the scarcity of land resources and unrefined land-use practices. This paradoxical relationship between people and the land emerges as a critical constraint on the regional ecosystem and sustainable societal development [37], further exacerbating LUC [38]. Regional land construction and development have become primary concerns [39]. However, current research on LUC in Xinjiang primarily focuses on specific oasis areas, such as Urumqi city and the Ili River Valley [3], with less attention paid to LUC on the overall Xinjiang scale. Therefore, investigating the drivers of LUC in arid and semi-arid regions and zoning of land-use patterns hold significant importance. This research aims to support the rational development and utilization of land resources, protection of the ecological environment, optimization of the spatial pattern of the national territory, harmonization of human–land relations, and achievement of sustainable development. In this article, we quantitatively measured the intensity of LUC in Xinjiang from 2000 to 2020, analyzed its spatial and temporal pattern characteristics, conducted a correlation analysis of 14 typical natural and anthropogenic driving factors on LUC, and, based on threshold recognition results, classified the land-use pattern in Xinjiang into four types using an LUC pattern optimization model. Suggestions were then presented. In summary, the scientific issues addressed in this study include the following:
- (1)
- Do different natural and anthropogenic drivers exhibit thresholds that influence LUC in Xinjiang?
- (2)
- If thresholds exist, how can we effectively identify them?
- (3)
- How can the defined thresholds be used practically for land management zoning?
2. Theoretical Framework
2.1. Threshold Analysis of Drivers of Land-Use Conflicts (LUCs)
From a general understanding, assuming no human intervention, nature will form an orderly natural pattern and maintain the relative stability of the ecosystem [38]. When human development is taken into account, the initial natural pattern often fails to meet human demand for production and living space, and human beings are bound to carry out long-term and cyclical management and governance activities on land in accordance with a certain pursuit of interests and development goals, forming land-use behavior [40]. With the concentration of population and industry in a given area, the entire layout of natural ecosystems is often disrupted by the intrusion of human activities, including the expansion of land for construction and agriculture and a reduction in ecological land. Furthermore, the increasing frequency of land development intensifies the conflict in land utilization. It has been found that human activities have both positive and negative impacts on land resources [41,42]. Since the 1980s, the concept of sustainable development has gradually spread globally, and people have begun to take action to protect the ecological environment. Consequently, by considering their available resources and development objectives, LUCs are continuously mitigated, ultimately giving rise to a spatial arrangement of land utilization that aligns with the local natural resources and socio-economic conditions.
The emergence and progression of LUCs stem from the interplay of multidimensional endogenous and exogenous factors, with the natural environment and human activities as primary components [24]. On one hand, land resources, influenced by their inherent conditions such as topography, distinct spatial characteristics (e.g., parcel geometry, etc.), and their own physical conditions (soil texture, etc.), as well as unexpected changes in LUCs due to sea level fluctuations triggered by climate change and natural disasters like heavy rainfall and drought disrupt the harmony of the LUC structure, consequently inciting and intensifying LUCs [43,44]. On the other hand, LUCs are closely linked to human factors. Previous research indicates that population growth and associated demands are primary drivers of conflict development [11,13,19,45]. Conflicts often arise from overlapping interests among land-use stakeholders due to individual and collective behavior traits, resulting in land-use goal conflicts [20,21]. Cultural differences, diverse political viewpoints within communities, and variations in education levels may also exacerbate LUCs [46]. Urbanization, as a core process in contemporary socioeconomic development, profoundly influences LUCs. Disorderly urban expansion, accelerated reduction in agricultural land, and deterioration of land ecological environments contribute to a decrease in arable land quantity and quality, land degradation, sudden changes in land use, and increased likelihood of conflict occurrence. In summary, the root cause of LUC lies in the imbalance between human–land relationships, resulting from the escalating demand for limited land resources, structural and elemental contradictions formed by spatial competition, and interactions among natural ecological processes, human activities, and different land-use practices [47]. Natural conditions determine the bottom line of LUC intensity, and human factors determine the upper limit of conflict intensity [24]. Based on this, we make an assumption that there are thresholds for the drivers of LUC, and the thresholds of natural drivers are called natural thresholds, and the thresholds of anthropogenic drivers are called anthropogenic thresholds. When the natural threshold and the anthropogenic threshold intersect at a certain point, there will be a turning point in the evolution of LUC; this pivotal moment marks a shift in the impact of human activities on land use, with a transition from negative to positive impacts. In addition, land-use patterns have experienced a shift from structural imbalance to pattern optimization [18]. Simultaneously, the dynamic between individuals and the land experiences a transition from a state characterized by LUC to a state of coordination (Figure 1a).
Figure 1.
Theoretical analysis and the four-quadrant diagram approach. (a) Macroscopic evolution of temporal dimension; (b) types of optimized zoning in the spatial dimension.
2.2. Threshold Application of Drivers of LUC
The evolution of LUC is a dynamic process, and the overall parabola shows an inverted “U-shape”, which is in line with the characteristics of the conflict curve model [48] (Figure 1a). With the passage of time, when the conflict breaks through the critical value of the controllable level, the invisible conflict will be transformed into an open conflict, and all kinds of conflict problems are becoming more and more prominent, and the controllability level of the conflict can be categorized into four levels, namely, stable and controllable, basically controllable, basically out of control, and seriously out of control [49]. In the stable and controllable stage, regional development will not suffer from LUC. With the gradual escalation of the conflict, the intensity of its role is increasing, and it begins to gradually affect the sustainable coordination of the region, and the conflict is upgraded to the basic controllable level, but its negative effects are not yet obvious, and this stage is the most critical period for the regulation of the conflict. When the conflict breaks through the critical value of the controllable level, the stability of the region begins to be broken, the conflict develops to the basic uncontrolled level, and the impact effect of the conflict tends to be unstable, with all kinds of conflict problems becoming more and more prominent. If the conflict further deteriorates, the negative effects of the conflict will have a great impact on regional development, and if favorable measures are not taken to curb the conflict at this time, the critical value of the regional crisis will be broken, and regional development will be imbalanced, and the conflict will rise to the level of serious out of control, and the conflict will completely break out [25]. After the outbreak of the conflict, all stakeholders will be harmed to different degrees, and all kinds of compulsory regulatory measures begin to intervene to curb the adverse effects of spatial conflict, and then gradually resolve the conflict, so that the regional development is able to restore stability [3,10,11]. From the analysis of the conflict curve model, different conflict control strategies should be adopted at different stages of conflict development, and the latent stage is an important stage of spatial conflict control, where efforts should be made to maintain the level of spatial conflict at a controllable level in order to avoid regional imbalance.
In view of this, in order to identify the inflection point of the dynamic evolution of LUC under the influence of anthropogenic and natural factors on the inverted “U” curve in a specific region, and the role of this inflection point in the regulation of LUC, we drew a four-quadrant map using the identified critical threshold as the origin, natural conditions as the horizontal coordinates, and anthropogenic influences as the vertical coordinates. We drew a four-quadrant diagram from the perspective of the dynamic evolution of LUC, taking the identified critical threshold as the origin, the natural conditions as the horizontal coordinate, and the anthropogenic influences as the vertical coordinate. Since the background conditions of the natural environment are the result of the long-term and stable formation of nature, while the anthropogenic factors can be changed through policy guidance and human behavior, the anthropogenic factors are more controllable than the natural conditions. Combining the identification results of natural and anthropogenic thresholds, the land-use pattern can be classified into four categories based on the four-quadrant method, and corresponding regulatory measures can be taken (Figure 1b).
Quadrant I is the area that exceeds the natural and anthropogenic thresholds, where the risk of conflict is serious and timely intervention is needed to contain the adverse effects of the conflict, which is defined as the key control area. Quadrant II is the area that does not exceed the natural thresholds, but exceeds the anthropogenic thresholds, where favorable measures are needed to contain the conflict, which is defined as the urgent remediation area. Quadrant III is an area that has not exceeded the natural and anthropogenic thresholds, and the land pattern remains stable, and is defined as elastic development zone. Quadrant IV is an area that has exceeded the natural thresholds but has not exceeded the anthropogenic thresholds, and the conflict has escalated to a basically controllable level due to the restricted natural conditions of the region’s background, but its negative effects are not yet obvious, and can be appropriately controlled. Negative effects are not yet obvious, and human development activities can be moderately optimized. This stage is the most critical period for conflict regulation, and this zone is defined as the moderate optimization zone (Note: When spatial overlap occurs, the higher the risk, the more attention should be paid to the overlapping area, and the overlapping area is defined as the priority control area, such as the moderate optimization zone and urgent remediation zone overlapping with the urgent remediation zone, thus the overlapping zone is preferentially defined as the urgent remediation zone). Here, Quadrant III and Quadrant IV are considered sustainable, while Quadrant I and Quadrant II are unsustainable and need to be controlled and optimized in time.
3. Materials and Methods
3.1. Study Area
Xinjiang (73°40′ E–96°23′ E, 34°25′ N–49°10′ N) is located on China’s northwestern border and shares borders with China’s provinces, namely Tibet, Qinghai, and Gansu, in addition to eight neighboring countries: Russia, India, Kazakhstan, Mongolia, Tajikistan, Pakistan, Afghanistan, and Kyrgyzstan. This vast province covers an expansive area of approximately 166.49 × 104 square kilometers, which represents about one-sixth of China’s total land area. Consequently, Xinjiang stands as the largest province in China, characterized by its extensive land borders and its diverse range of neighboring countries (Figure 2). Xinjiang boasts a distinctive mountain and basin landscape, characterized by what can be described as a three mountain peaks and two basins’ topography. This geographic configuration includes the Altai Mountains, Junggar Basin, Tianshan Mountains, Tarim Basin, and Kunlun Mountains, listed in descending order of prominence. Xinjiang’s geographical location, distant from the sea and surrounded by mountains, poses a challenge for oceanic air currents to reach the region. This results in an average annual precipitation of merely 130 mm, while annual evaporation surpasses 1000 mm [50]. This climatic condition characterizes Xinjiang as a typical arid and semi-arid region, fraught with ecological and environmental issues, including drought, soil erosion, and land desertification. Over the past two decades, Xinjiang has witnessed significant changes in Land Use and Land Cover (LULC) due to the intensification of human activities [51,52]. The ecological environment can face significant pressure due to the unsustainable development of land [53]. As Xinjiang experiences rapid urbanization, there is a rapid expansion of construction land, accompanied by a gradual decline in grassland area [54]. The expanding built-up area and the increasing conflicts between various land-use types introduce substantial stress and challenges to regional land use, ultimately posing a severe threat to the sustainable development of socio-economic elements in the region. In addition, Xinjiang, an autonomous region of the People’s Republic of China, has historically been a multi-ethnic region with unique strategic significance and challenges. Previous studies have indicated that such borderland regions, due to facing multiple “border exclusion” predicaments [55], exhibit relatively complex land-use conflict issues, making them focal areas of spatial governance disorder and spatial contradictions [56]. Therefore, conducting research on land-use conflicts in Xinjiang is of paramount importance for comprehensive regional land management.
Figure 2.
Study area. (a) Geographical location of Xinjiang in China; (b) elevation distribution; (c) land-use types in 2020.
3.2. Research Framework
This study mainly includes four main steps in Figure 3: (1) Diagnosing LUC intensity. Constructing LUC measurements by utilizing the risk source–risk receptor–risk effect theory. (2) Correlation analysis. Correlation analysis and curve fitting are utilized to identify the main drivers and drivers with nonlinear relationships. (3) Threshold identification. Natural factor thresholds and human factor thresholds affecting LUC are identified separately by RCS regression. (4) Threshold application. The intersection area identified by the natural and anthropogenic threshold conditions is delineated as potential high-risk areas of land use and is discussed in relation to zoning of land-use patterns.
Figure 3.
The research framework.
3.3. Data Processing
In terms of their mode and intensity of influence, natural factors represent long-term influencing factors in the formation of LUCs [17,47], whereas human factors exhibit a more pronounced impact on regional land-use conflicts in the short term and at large spatial scales [53,57], with the policy and institutional environment demonstrating indirect and dependent characteristics in its influence on LUCs [22,23]. Drawing on relevant studies [11,19,25,29,44,54], and based on the theoretical framework outlined in Section 2 and data availability, a total of seven natural drivers and seven anthropogenic drivers were selected, all of which are theoretically and empirically known to influence LUCs [24]. Natural drivers include elevation (abbreviated as ELE), slope (abbreviated as SLO), temperature (abbreviated as TEM), precipitation (abbreviated as PRE), evaporation (abbreviated as EVA), soil erosion (abbreviated as SE), and distance from water systems (abbreviated as Water). Anthropogenic drivers included human influence index (abbreviated as HII), human footprint (abbreviated as HF), GDP, population (abbreviated as POP), distance from roads (abbreviated as Road), distance from railroads (abbreviated as Rail), and distance from residents (abbreviated as Resident). The specifics of the data are outlined in Table 1. All data underwent rigorous preprocessing, with spatialization conducted for metrics such as GDP and POP using ArcGIS software.
Table 1.
Overview of the data, resolution, and data source.
3.4. Evaluation Model for LUC
In accordance with the theory of human–land relationship, the issue of LUC emerges as a spatial competition and a clash of rights and interests between people and land. The resulting imbalance in land-use pattern and spatial relationship is a crucial reflection of the level of coordination within the human–land system [18]. Although the essence of the conflict lies in the interest game of many subjects, it is an objective geographical phenomenon manifested by conflicting elements (the contradiction between the quantity of land-use allocation and the allocation structure). In this paper, an ecological risk evaluation model was established to measure the LUC. This model is grounded in the conceptual framework of ecological risk assessment and incorporates key principles from landscape ecology [19,49]. The complexity index, vulnerability index, and fragmentation index of the landscape were used as three indicators reflecting the risk sources, risk receptors, and risk effects in ecological risk, respectively, and thus diagnosing the intensity of LUC. We chose to select this model because it treats land use as a complex system including natural geosystems and socioeconomics, which allows us to analyze the causal relationships among the elements affecting the system [58], while the results of this study can be presented in more detail at the grid scale.
3.4.1. Risk Sources
Landscape complexity is a vital risk source (S) indicator, gauging the extent of neighboring landscapes to the target landscape unit. It is defined by the area-weighted average patch fractal index, expressed by the following formula:
where CI is the complex index; pij signifies the patch perimeter; aij represents the patch area; and A stands for the total landscape area. This index has been shown to be effective in describing the degree of anthropogenic disturbance in the context of landscape pattern complexity [59]. The index has proved to be effective to describe the complexity of landscape pattern under human disturbances [36]. A larger value often indicates more complex landscape patterns, and more intense land-use conflict interfered by human activities [10,48].
3.4.2. Risk Receptors
The landscape vulnerability reflects the risk receptors (R), and is used to describe the capability of land system to external disturbances. It is often intricately linked to land use. Based on prior research and data [60], the vulnerability of land-use types was determined by considering the natural characteristics and diversion rates in Xinjiang from 2000 to 2020. Specifically, the diversion rates of cropland, woodland, grassland, water, construction land, and unused land during the study period were 0.52%, 0.28%, 0.01%, 0.33%, 1.07%, and 0.02%, respectively. The vulnerability scores order of landscape types in this study, from weak to strong, was as follows: grassland, unused land, woodland, water, cropland, and construction land. Then, we calculated the landscape vulnerability using the following formula [10,11]:
where VI is the vulnerability index, Fi represents the vulnerability score of land-use type i, ai stands for the area of land-use type i, and S indicates the total area. In our research, a high vulnerability score of an assessment unit indicated the weaker ability of land-use structure to resist human disturbances, and then LUC tends to be more intense.
3.4.3. Risk Effects
The landscape fragmentation, an indicator of the risk response (E), reflects how spatial units react to disturbances such as urbanization and land reclamation. The more fragmented landscape suggests high competition among different land-use stakeholders and intense LUC. Here we characterized landscape fragmentation with patch density which was calculated as shown below:
where FI is the fragmentation index, ni stands for the number of patches in landscape unit i, and A represents the area of the landscape unit. The higher the index value, the more fragmented the landscape. The fragmented land-use structure often indicates the lack of land-use stability, which tends to increase land-use conflict.
3.4.4. Land-Use Conflict Index
The intensity of the LUC is characterized using the land-use conflict index (LUCI), which is calculated by summing the risk source, risk receptor, and risk response using the following formula:
Considering the scale of the study area and data accessibility, by comparing the scale effects of 6 km, 8 km, and 10 km, conflict effects were most fully and effectively demonstrated at the 8 km scale. Therefore, we finally selected the 8 km fishing net as the basic spatial analysis unit, and set the image size of all raster data to 8 km × 8 km, resulting in a division of the study area into a total of 26,062 grids. In addition, all three indicators and the final calculated LUC were normalized to the range of 0 to 1 in order to allow aggregation of the indicators. Larger index indicates more intense LUC.
3.5. Correlation Analysis of Drivers
The strength of the correlation between LUC and drivers was tested by the Pearson correlation coefficient (r). To determine whether there is a threshold between the response variable (LUC) and the independent variable (driver) and what the threshold is, we constructed a correlation analysis between the response variable and the independent variable based on a scattered point cloud. To minimize the effect of outliers [61], we applied a local density-based approach to detect and eliminate them [62]. Subsequently, the potential relationship between LUC and drivers was analyzed by performing curve fitting, focusing on optimizing the regression model’s performance (p < 0.05). Curve-fitting analysis is a powerful tool for representing the nonlinear relationship of variables and gaining insights into their intrinsic links [63].
3.6. Threshold Recognition and Detection
In addressing the non-linear association between independent and dependent variables, we employ restricted cubic spline (RCS) for the purpose of characterizing this intricate relationship and ascertaining potential thresholds [64,65]. To maintain a smooth curve, these splines, resembling segmented polynomials, must be continuous and exhibit second-order differentiability at each threshold point [66]. The conditions under which splines are applicable include the following: (1) the relationship between the data x and y does not satisfy the linear or generalized linear premise; (2) the data multivariate regression R2 is low; and (3) the trend changes significantly before and after a knot. RCS conforms to the spline function, RCS (X), which renders a smooth curve of a continuous variable, X, over the entire range of values by choosing the location and number of nodes. When visualizing curvilinear relationships using RCS, it is essential to set the number and position of the spline function nodes. Typically, the placement of nodes exerts minimal influence on the fit of the restricted cubic spline, whereas the number of nodes determines the curve’s shape and quantity [67]. In our study, we determined the number of nodes for variable X after evaluating different options. We performed RCS regression analysis using R software, version 4.2.2, along with the use of rms package [68] and MSTATA software.
3.7. Four-Quadrant Method
The four-quadrant method, also known as the two-dimensional quadrant method, is a time management theory proposed by Stephen R. Covey, an American management scientist. In the process of analysis, the evaluation unit is analyzed and weighed by two attributes, and then the evaluation unit is filled into each quadrant box one by one, and finally the four quadrants are sorted according to different goal orientation.
3.8. Threshold Application
Thresholds were determined by constructing an RCS between the drivers and LUC. Most of the drivers can cause the LUC maximally within specific ranges. LUC intensity remained consistently high within these threshold limits. Drawing upon the results of threshold identification for both LUC and driver factors, the four-quadrant method was used to combine the threshold values to determine the partition of LUC.
4. Results
4.1. Spatial-Temporal Patterns of LUC
From 2000 to 2020, landscape complexity in Xinjiang shows a trend of first decreasing and then increasing, with CI having increased by 0.1353% overall (Table 2). The spatial CI distribution of different regions in 2000 shows that high-value areas are near the northern slope of Tianshan Mountain city cluster, the southern Xinjiang city cluster, and the core urban areas of various cities. Conversely, the low-value CI areas are distributed in the Tarim Basin in the south of Xinjiang, the Junggar Basin in the north of Xinjiang, and the eastern region, which includes the three major deserts of Xinjiang, namely Gurbantunggut Desert, Taklamakan Desert, and Kumutage Desert (Figure 4a1). In 2020, the distribution pattern of CI high-value areas is basically the same as that in 2000, and they are concentrated in the central region of Xinjiang, with dense distribution of construction land and large population, industry, and human disturbance (Figure 4a3). Analyzing the trends over the past two decades, counties experiencing increased CI value are mainly located in the built-up areas around the three mountains, the areas with decreased CI value are mainly scattered in the areas with increased CI value, and the CI value remains unchanged in the desert areas near the Tarim Basin and Junge Basin. In general, the spatial complexity of Xinjiang in the past two decades shows the characteristics of higher spatial pattern around three mountains and lower spatial pattern around two basins.
Table 2.
Index value of land-use conflicts (LUCs) in Xinjiang from 2000 to 2020.
Figure 4.
The spatial distribution of land-use conflicts (LUCs) from 2000 to 2020. (a1–a3) Risk sources (S); (b1–b3) risk receptors (R); (c1–c3) risk effects (E); (d1–d3) land-use conflicts index (LUCI).
From 2000 to 2020, landscape vulnerability in Xinjiang also shows a trend of first decreasing and then increasing, with VI having been down 0.1498% overall (Table 2). The spatial distribution of the fragility of the land system shows that the distribution of vulnerability in the recent 20 years has exhibited a consistent pattern, characterized by higher values in the northwest and lower values in the southeast. The VI high-value areas in both 2000 and 2020 are concentrated in the centers of cities in various states, and the vulnerability in 2020 is significantly higher than in 2000. Low-value areas of VI were distributed in Hami City, Turpan City, and Bayingol Mongol Autonomous Prefecture (Figure 4b1–b3). From the trend change in the past 20 years, we have noted increased VI in many districts and counties across Xinjiang, mainly situated along the urban development axis, such as the Urumqi–Altai development axis, the Lanzhou–Xin Line development axis, the southern Xinjiang railway development axis, and the Kashi–Hotan–Ruoqiang development axis. As a result, production and living space encroachment on ecological space and agricultural space leads to a gradual increase in the landscape vulnerability.
The spatial distribution of landscape fragmentation reveals a consistent pattern over the past two decades, with the high-value and low-value regions exhibiting an inverse relationship to spatial stability. High FI value areas were primarily situated in urban development areas in central, northern, and southern Xinjiang (Figure 4c1), while areas with low FI value were predominantly found in Tarim Basin in southern Xinjiang, Junggar Basin in northern Xinjiang, and desert areas in eastern Xinjiang (Figure 4c3). The FI value was related to the fragmentation degree of landscape patches, and increased human activities tend to elevate this fragmentation degree, leading to a decrease in stability. According to the trend of change in the past two decades, counties witnessing an increase in FI values primarily clustered around the three mountains, exhibiting a trend analogous to the changes observed in CI values. Meanwhile, landscape fragmentation remained relatively constant in the desert areas near the Tarim Basin and the Junge Basin.
From 2000 to 2020, the spatial distribution patterns of landscape complexity and fragmentation in Xinjiang were basically consistent (Figure 4a1–a3,c1–c3). Regions with higher levels of human activity exhibited greater patch fragmentation consistent with previous spatial analysis. High-value areas of LUC are distributed on a certain scale in the northern, central, and southern parts of Xinjiang, mainly in the oasis areas near the Altai Mountains, Tian Shan, and Kunlun Mountains. In contrast, low-value regions are primarily found near the Junggar Basin and Tarim Basin, resulting in a clear spatial distribution pattern that extends from northwest to southeast. The distribution of landscape vulnerability followed a similar pattern, with high-value regions clustering near the urban agglomeration in the northern slope of the Tianshan Mountain and the northern and southern Tarim Basin, while the low-value regions were scattered around the three mountains (Figure 4b1–b3).
The assessment of LUC in Xinjiang was conducted through a comprehensive approach involving the integration of complexity, vulnerability, and landscape fragmentation indices. By applying the natural break point method, supported by ArcGIS, the study area was categorized into mild conflicts area, moderate conflicts area, intense conflicts area, and severe conflicts area. The average LUC values of Xinjiang in 2000, 2010, and 2020 were 2.3673, 2.3276, and 2.3315, respectively, reflecting an overarching declining trend, with LUCI as a whole down 1.5123% (Table 2). The area of mild conflicts increased from 13.58% in 2000 to 14.35% in 2020, and the area of intense and above conflict areas decreased from 70.59% in 2000 to 69.74% in 2020, indicating that Xinjiang has embarked on addressing the issue of LUC over the past two decades, implementing effective mitigation measures. Severe conflict areas in Xinjiang were primarily distributed in the oasis areas along the northern foothills of the Tianshan Mountains and at the northern edge of the Tarim Basin during the study period. In contrast, intense conflict areas were prevalent in the vicinity of the Junggar Basin, Tarim Basin, and Tuha Basin, attributed to their relative landscape vulnerability despite lower levels of anthropogenic impact. Meanwhile, mild and moderate conflict areas were dispersed across regions marked by high-covered grasslands and woodlands surrounding the three mountains (Figure 4d1–d3). In general, from 2000 to 2020, the LUC in Xinjiang presented a spatial pattern of “strong conflicts around the three mountains and weak conflicts around the two basins”, which was the result of the comprehensive impact of the regional geographic environment and human activities on the ecosystem.
4.2. Relationship between LUC and Key Drivers
By employing the Spearman correlation coefficient, we delved into the connection between LUCs and their driving factors, as illustrated in Figure 5a. As a whole, the correlation between LUCs and anthropogenic driving factors was stronger than that of natural driving factors. Notably, significant positive correlations were observed with POP, HII, HF, and GDP, while there were marked negative correlations with ELE and SLO. To further examine the degree of fit between LUCs and the drivers, we conducted a curve-fitting analysis through the mean values of LUCs and the key drivers for 2000, 2010, and 2020 (Figure 5b1–c7), and the results of the fitted curves showed a potential pattern between LUCs and the key drivers (p < 0.01). The correlation between LUCs and EVP, ERO, Water, Rail, Road, and Resident drivers showed a linear monotonic trend. However, not all relationships between LUCs and other factors were linear and the best-fit curve was significantly quadratic (p < 0.05). The fitted curves had significant Inverted U or U-shaped trends alongside monotonic relationships. In the study area, the fitted curves of LUCs with ELE, SLO, TEM, PRE, HII, and HF all exhibited a U-shaped pattern, whereas the fitted curves with GDP and POP were an Inverted U. This further indicates a nonlinear relationship between LUCs and natural and anthropogenic drivers.
Figure 5.
(a) Correlation analysis of LUC and its driving factors in Xinjiang from 2000 to 2020; (b) scatter plots of LUC versus different key drivers (b1–c7). The data used for curve fitting are averages for 2000, 2010, and 2020.
4.3. Thresholds of LUC
4.3.1. The Natural Key Drivers and Their Thresholds
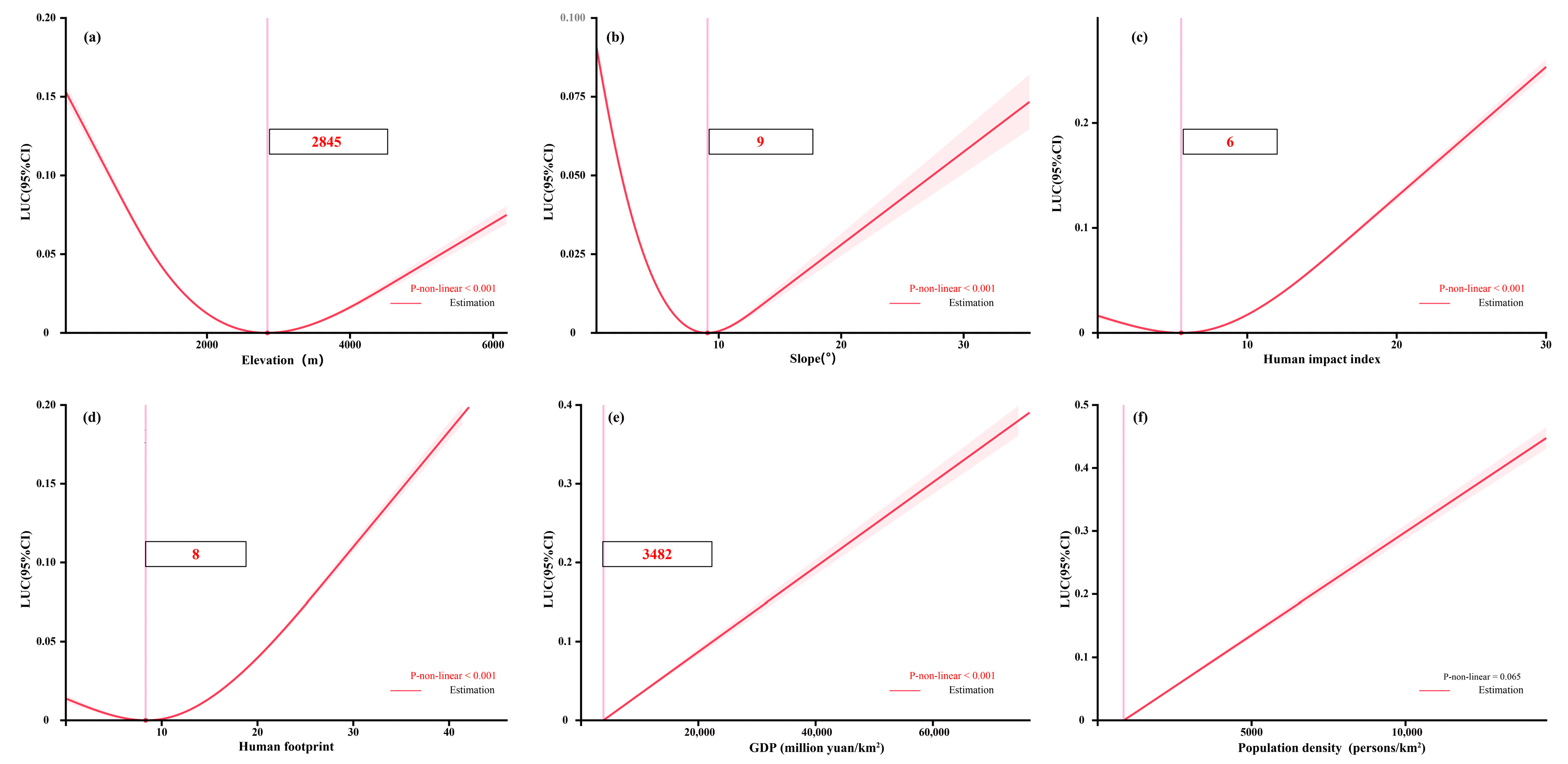
The combination of LUC and natural driver correlation analysis and curve fitting showed that LUC had strong correlation with ELE and SLO, some correlation with TEM, PRE, and EVA climatic factors, and no correlation with distance from water. Figure 4 clearly illustrates that some driving factors have relatively small R2 values, such as distance to water, distance to rail, and distance to resident (R2 < 0.01). In our study, considering the suitability of RCS curves for polynomial regression with low R2 values in the data [67,68], we ultimately selected natural drivers with relatively good fit (R2 > 0.1) for RCS curve analysis to identify thresholds. The results show that the intensity of LUC varies greatly due to different elevations and slopes (Figure 5b1–b7). The smaller the slope and the flatter the terrain, the more severe the LUC intensity, i.e., low elevation and low slope areas are the key areas for LUC occurrence. Concerning the specific values of thresholds, in Xinjiang, areas with ELE < 2845 m and slope < 9° tend to have higher LUC (Figure 6a,b), and the trend of LUC change gradually slows down when ELE and slope exceed the thresholds.
Figure 6.
Restricted cubic splines for predicted LUC according to driving factors. (a) Elevation; (b) slope; (c) human impact index; (d) human footprint; (e) GDP; (f) population density.
4.3.2. The Anthropogenic Key Drivers and Their Thresholds
The combination of LUC and anthropogenic driver correlation analysis and curve fitting unveiled that LUC was positively correlated (albeit somewhat negatively correlated within the threshold range) with all anthropogenic drivers as a whole (Figure 5c1–c7). Among them, the highest correlation with LUC is with HII and HF, followed by POP and GDP, and weakly correlated with the distance to rail, road, and resident. LUC increases with the intensity of human activities and land-use intensity (Figure 6c–6f). Regarding the specific values of thresholds, LUC intensity gradually increases when HII exceeds 6 (Figure 6c). The LUC intensity gradually increases when HF exceeds 8 (Figure 6d).The effects of GDP and POP on the LUC are generally consistent. With the economic development and population growth, the LUC rises sharply. When GDP exceeds CNY 3482 million/km2, the intensity of LUC gradually increases (Figure 6e). Although the R2 >0.1 between LUC and POP, the two did not show a nonlinear relationship, i.e., the P for non-linear was 0.065 (Figure 6f), so the threshold was not significant.
In conclusion, the LUC in Xinjiang shows an environmental gradient effect, and the analysis of the RCS curve shows that the LUC and the driving factors such as ELE, SLO, HII, and HF show a “U-shaped” trend. With the increase in the driving altitude, the trend is decreasing and then increasing, but when the ELE exceeds 2845 m and the slope reaches about 9°, the increasing trend gradually slows down. From the relationship between LUC and HII and HF, LUC increases slowly at the beginning, but when HII exceeds 6 and HF exceeds 8, the increase speed is gradually accelerated. The LUC and GDP are in “L-shape”, and when GDP exceeds CNY 3482 million/km2, the LUC rises sharply.
4.4. Zoning of Land-Use Patterns Identified by Thresholds
Utilizing the identified thresholds, areas characterized by ELE ≤ 2845 m, Slope ≤ 9°, HII ≥ 6, HF ≥ 8, and GDP ≥ CNY 3482 million/km2 were identified as potentially high-risk areas of land use (Table 3). Figure 7a,b show the spatial distribution of areas in Xinjiang that exceed the natural and anthropogenic thresholds for LUC, respectively. The natural thresholds for LUC are exceeded in most regions of Xinjiang, except for the central and southern fringe regions, which account for about 70% of the area of Xinjiang. The area exceeding the anthropogenic threshold for LUC accounts for about 12% of the area of Xinjiang, mainly distributed in the built-up areas of the four prefectures in the center and south. According to the four-quadrant diagram of Figure 1b, these threshold combinations were classified, and the resulting land-optimization zoning is shown in Figure 7c. Quantitatively (Figure 7d), the area ratio of moderate optimization zone is the largest, followed by elastic development zone, and the area ratio of urgent remediation area is the smallest; the key control area is the one that exceeds both the natural threshold and the anthropogenic threshold determined by the intersection area, with a cumulative area of 172,800 km2, equivalent to about 10% of Xinjiang. In terms of spatial distribution, the key control area is mainly distributed in urban agglomeration in the northern slope of Tianshan Mountains and the agricultural development belt on the southern slope of Tianshan Mountain, including Urumqi metropolitan area, Kashgar urban area, Ili River Valley, Aksu Prefecture, etc., which are densely populated areas in Xinjiang where economic and social development are more centralized, these areas are all densely populated areas with more concentrated economic and social development in Xinjiang. The urgent remediation area is mainly distributed in the central cities of Xinjiang, such as Urumqi City, Khorgos City, Hami City, Kuqa county, etc. And the elastic development zone is mainly distributed in the fringe areas in the central and southern parts of Xinjiang, including the Altai Mountains, Tian Shan mountains, and Kunlun mountains, which are the three main areas of Xinjiang. The elastic development area is mainly distributed in the edge area of central and southern Xinjiang, including the Altai Mountains, Tian Shan mountains, and Kunlun mountains. The moderate optimization zone is mainly distributed around Junggar Basin, Turpan-Hami Basin, and Tarim Basin.
Table 3.
Natural and anthropogenic thresholds used for identifying areas with potential high land-use risk.
Figure 7.
The potential LUC areas that are identified by threshold and pattern zoning. (a) Natural threshold; (b) anthropogenic threshold; (c) zoning of LUC pattern; (d) area and proportion.
5. Discussion
5.1. Critical Thresholds between LUC and Drivers
Our study provided a comprehensive analysis of the threshold identification of natural and anthropogenic drivers on the LUCs in Xinjiang, China. Overall, among the selected 14 drivers, factors such as elevation, human influence index, and human footprint were found to have significant impacts on LUCs, while factors like distance to water, resident, and rail had relatively smaller impacts. However, due to the regional variability of LUC, the influence of these drivers may vary across different areas [48,58]. This study shows that by considering these factors and using RCS, it is possible to determine thresholds between the various drivers of LUCs, substantiating the validity of the hypothesis proposed in Section 2.1. Within our investigation, we found the presence of pivotal impact thresholds among these drivers. Notably, the RCS spline function plot shows that, in terms of natural drivers, LUCs exhibit a decline as terrain slope increases, with the acceleration of LUCs subsiding when the ELE exceeds 2845 m and the slope reaches about 9° above; the increase in LUCs gradually slows down. This phenomenon may be explained by the fact that the oasis plain in the center concentrates most of the cropland and construction land in the study area, which is characterized by flatter terrain and relatively abundant water resources. The high coverage rate of cultivated land and the rapid expansion of construction land in this area inevitably contribute to a higher likelihood of LUCs. Consequently, the distinctive geomorphological characteristics of the study area play a crucial role in shaping the spatial pattern of LUCs, aligning with previous findings that highlight the significant negative influence of ELE on LUCs, with higher elevations corresponding to reduced intensity [19]. The preference for lower, flatter locales for urban development, industrial expansion, and agricultural utilization amplifies the demand for diverse land-use types, thereby compounding the challenges posed by LUCs in these areas [69]. Regarding anthropogenic drivers, LUCs increase with the increase in human influence, and gradually rise when HII exceeds 6, HF exceeds 8, and GDP exceeds CNY 3482 million/km2. These findings are consistent with prior research demonstrating the positive correlation between population density and LUCs [70]. Furthermore, they support that social advancement contributes to the encroachment of land-use types [71]. Regions exhibiting high land-use change correspond to areas of intensified LUCs, a consequence of elevated human activities that induce significant fragmentation of landscape patches and pattern instability. These outcomes align with the conclusions of previous studies [9]. We also found that the risk of LUC is more pronounced in northern Xinjiang than in its southern counterpart. This is likely due to the substantial growth in regional economic co-operation over the past two decades, predominantly concentrated in the northern areas [72]. The rapid economic growth in the north has led to an increase in population and land for construction, accelerating the urbanization process. This, in turn, has resulted in the appropriation of the regional ecological land, thus exacerbating LUCs. In contrast, southern Xinjiang, characterized by challenging natural conditions and slower economic development, exhibits a relatively lower risk of LUCs. Once again, it shows that the spatial pattern of LUC is the result of a combination of natural and socio-economic factors, consistent with previous research [73]. Therefore, there is an imperative need to comprehensively consider the combination of multiple thresholds when delineating potential conflicts areas of land use. Therefore, we use RCS to explore the nonlinear characteristics of LUC in this paper, which can better reflect its nonlinear relationship and provide a new perspective for the previous research on the driving factors of LUC.
5.2. Optimal Zoning of Land-Use Pattern
In this study, a threshold detection method was employed to identify potential high-risk areas of land-use conflicts (LUCs), where changes in LUC intensity occur only when driving factors reach specific thresholds. Our threshold identification method, incorporating multiple natural and anthropogenic thresholds, effectively captures the dynamic processes of natural and anthropogenic drivers on LUC. To further validate the effectiveness of applying LUC thresholds, we compared the optimized land-use pattern zoning map (Figure 6d) with Xinjiang Uygur Autonomous Region Territorial Spatial Planning (2021–2035). As a guideline for national spatial development and a blueprint for sustainable development, the land spatial planning strictly adheres to the principles of the “Three zones and Three lines” (Three Zones represent ecological space, agricultural space, and urban space; Three Lines represent ecological conservation redline, permanent capital farmland, and urban development boundary) [53], aiming to rationalize land resource allocation, meet diverse human needs, and mitigate land-use conflicts. The comparison results demonstrate a high degree of consistency between the land-use pattern delineated by conflict thresholds and the land spatial development and protection pattern and “Three zones and Three lines.” On one hand, the zoning pattern aligns closely with the overall pattern of “two belts, two rings, and three barriers”. For instance, the “two belts” (agricultural development belts on the northern and southern slopes of the Tianshan Mountains) correspond to Key Control Areas, the “two rings” (two oasis ecological rings distributed along the Tarim Basin and Junggar Basin) correspond to Moderate Optimization Zones, and the “three barriers “ (ecological barriers formed by the Altai Mountains, Tianshan Mountains, and Kunlun Mountains–Alataw Mountains) correspond to Elastic Development Zones. Additionally, Urgent Remediation Areas are primarily located within the planned urban centers, such as the central city of Urumqi and the sub-central city of Yining. On the other hand, overlaying the “three control lines” on the optimized land-use zoning map (Figure 6d) reveals extensive permanent basic farmland in Key Control Areas, where land-use conflicts primarily stem from competition between residential and agricultural land uses. Urgent Remediation Areas encompass most urban development boundaries, highlighting the conflict between human land demand and baseline constraints, necessitating urgent rectification. Elastic Development Zones contain large areas of ecological protection redlines, with concentrated distribution of woodland, grassland, and other ecological lands, posing relatively low risks of land-use conflicts and thus conducive to flexible development. In summary, the comparison with existing planning demonstrates the scientific validity of the land-use pattern optimization zoning based on thresholds. Moreover, this zoning approach complements planning schemes, particularly facilitating the validation or optimization of delineation outcomes.
5.3. Recommendations for Mitigating LUC through Pattern Zoning
Identifying potential high-risk areas becomes crucial for effectively warning against LUC and enabling decision makers to preemptively address risks. However, the geographical variations in the extent of LUC necessitate the implementation of differentiated policies and measures for land-use planning and management in Xinjiang. This targeted approach aims to address conflicts effectively and promote sustainable regional development. Based on the outcomes of the four types of zoning for land-use pattern optimization (Figure 8) and in alignment with current regional planning, the following recommendations are proposed:
Figure 8.
Land-use spatial optimization zone and typical cases in Xinjiang.
(1) Key control area. The optimization suggestion for this region is a focus on control, emphasizing the need to reasonably manage city scale, promote the consolidation of inefficient construction land, enhance construction land-use efficiency, and optimize the spatial layout within the national territory. Taking the urban agglomeration in the northern slope of Tianshan Mountains as an example (Figure 8a), this area plays a pivotal role in supporting Xinjiang’s economic growth. Policy and financial support should prioritize revitalizing existing land, strictly controlling construction land expansion, and implementing measures such as renovating the old city and optimizing land layouts in built-up areas. Simultaneously, strict protection of arable land and permanent basic farmland is crucial to maintain both quantity and quality.
(2) Urgent regulation area. The optimization suggestion for this region emphasizes the need for urgent regulation, vigilance against urban sprawl, and rational adjustment of land-use patterns for living, production, and ecology. Taking the Ili River Valley as an example (Figure 8b), with the implementation of the “Two Ho and Two yi” integration development strategy, the regional population has increased, and the demand for land resources has increased, especially in Yining City and Horgos City as the two core cities in the region. The influence of human factors on land-use changes has deepened gradually, and the built-up areas of the cities will continue to spread outward, encroaching on the agricultural and ecological land in the vicinity of them. The urban built-up areas will continue to spread and expand outward, encroaching upon nearby agricultural and ecological land. Consequently, it becomes imperative to strictly enforce the restriction known as the “Three Zones and Three Lines” policy, which pertains to ecological, agricultural, and urban functions. The “three lines” consist of the permanent basic farmland, urban development boundary line, and ecological protection red line [53], to coordinate the arrangement of the three spaces, control the scale of urban expansion, reduce the load pressure on the land and ecological environment caused by overpopulation and overgathering, alleviate the pressure on the bearing of land resources, and promote the optimal matching of population size, economic development, and land resources in the region. Simultaneously, it becomes essential to control the direction of urban expansion and preserve the continuity and integrity of the remaining natural land. By doing so, the degradation of the ecosystem can be mitigated to some extent, facilitating sustainable socio-economic development.
(3) Elastic development zone. The optimization proposal for this region is elastic development, acting as a “blank zone” for transferring excess land-use demand to ensure regional land space security and stability. Mainly located near ecological barriers such as the Altai Mountains, Tianshan Mountains, and Kunlun Mountains, this region requires a stringent ecological protection system. Illustrated by Kashgar Prefecture (Figure 8c), strengthening ecological construction, protection, and conversion of farmland to forests can alleviate ecological pressures. This approach supports the development of cities, towns, and agriculture, maximizing ecological benefits for social and economic advancement.
(4) Moderate optimization zone. The optimization proposal for the land-use pattern in this region is to moderately optimize, coordinate, and harmonize agricultural land use, and control and slow down land sanding. This type of zone is predominantly distributed around Xinjiang’s basins. Taking Bortala Mongol Autonomous Prefecture as an example (Figure 8d), the region is mainly a large homogeneous territory of arable land and waters, which can strengthen the development and transformation of barren and unutilized land, improve the utilization of land resources, and gradually change the land-use mode from rough to fine. At the same time, the region is an ecological protection zone, so it is necessary to reasonably avoid permanent basic farmland and the ecological protection red line, strengthen ecological monitoring, protect and repair ecological corridors, and reduce the crowding out of ecological and agricultural land by human development activities.
5.4. Limitations and Future Research Directions
While our study provides novel insights, we acknowledge several limitations that warrant consideration. Firstly, we evaluated the LUCs using a landscape ecological model, and although this method is currently a common method for LUC evaluation [25,48,49] and its effectiveness has been demonstrated by relevant studies [73], the method still has some limitations. For example, in addition to altering landscape patterns, LUC leads to the generation of social, economic, and ecological negative effects [3], and it is necessary to consider multiple dimensions in the assessment of LUCs. Secondly, our focus on constructing correlations between LUCs and the identified 14 drivers, while informative, may not capture the full array of influences contributing to LUCs. Land suitability, resource scarcity [17], and socio-economic elements such as urban expansion, policies, and institutions [23] play crucial roles in shaping LUCs. In Xinjiang, where water resources are intricately linked to land-use patterns [73], coupled with the region’s developmental complexity and strategic importance, our study, regrettably, did not delve into the impact of water resources, policies, and historical factors. Additionally, while all driving factors may exhibit linear relationships with LUCs [26,73], our consideration was limited to nonlinear impacts, which could potentially affect the research outcomes. Future research endeavors should strive for a more comprehensive inclusion of these factors, ensuring a holistic understanding of the key drivers of LUCs in Xinjiang. Moreover, our study, while providing a valuable perspective on delineating potential LUC areas, does not prescribe specific development and protection strategies for these identified conflict zones. Addressing this gap requires refining and expanding our recommendations in future research endeavors. In forthcoming studies, we plan to explore the nonlinear relationships of additional factors, including policies, history, and institutions, on LUCs. Our intention is to integrate the thresholds of both natural and anthropogenic drivers into land-use monitoring practices. By doing so, we aim to enhance the precision of our control suggestions for potential conflict zones, contributing to effective mitigation strategies for regional LUCs.
6. Conclusions
In conclusion, this study employed a comprehensive LUC analysis framework and a threshold application model to quantitatively assess LUCs in Xinjiang, China, spanning the period from 2000 to 2020. Spatial and temporal patterns of LUCs were analyzed, and correlation analyses and RCS curves were employed to identify key natural and anthropogenic drivers as well as critical thresholds affecting LUCs. Incorporating the results of conflicts threshold recognition, this study applied a four-quadrant method to partition the LUC pattern. Differentiated land comprehensive regulation strategies were subsequently proposed based on this partitioning. This study revealed a distinct spatial pattern of LUCs in Xinjiang, characterized by “strong conflicts around the three mountains and weak conflicts around the two basins.” Significantly, the extent of LUCs exhibited a noticeable mitigation trend from 2000 to 2020. The application of RCS proved effective in capturing the nonlinear effects of both natural and anthropogenic drivers on LUCs, unveiling critical thresholds such as ELE (2845 m), slope (9°), human influence index (6), human footprint (8), and Gross Domestic Product (CNY 3482 million/km2). Furthermore, based on threshold recognition results, the land-use pattern in Xinjiang was categorized into key control areas, urgent remediation areas, elastic development zones, and moderate optimization zones. Notably, key control areas were predominantly situated in urban agglomeration in the northern slope of Tianshan Mountains and the south slope of the Tianshan agricultural development belt, constituting approximately 10% of Xinjiang’s total area. This study introduces an innovative and pragmatic framework for identifying potential LUC areas, particularly in response to evolving natural and anthropogenic conditions. The identified potential LUCs serve as early warning indicators for land-use planning, contribute valuable information for spatial development initiatives, and guide the comprehensive integration and zoning of land use in Xinjiang, China.
Author Contributions
Conceptualization, J.W.; data curation, J.W. and C.W.; formal analysis, J.W. and C.W.; investigation, X.H.; methodology, J.W.; resources, C.Z. and H.W.; software (ArcGIS 10.8), J.W. and C.W.; validation, C.Z. and H.W.; visualization, C.Z. and H.W.; writing—original draft, J.W. and C.W.; writing—review and editing, J.W. and X.H. All authors have read and agreed to the published version of the manuscript.
Funding
This research was supported by the Ministry of Science and Technology of the People’s Republic of China under the Third Xinjiang Scientific Expedition Program (No. 2021xjkk0902).
Data Availability Statement
The data presented in this study are available on request from the corresponding author. The data are designed to be used in other ongoing research and should be protected before official publication.
Acknowledgments
Thanks to all the reviewers and editors.
Conflicts of Interest
The authors declare no conflicts of interest.
References
- Stanley, T.A.; David, N.B.; Keith, W.; Kristen, C.N. Diagnostic reframing of intractable environmental problems: Case of a contested multiparty public land-use conflict. J. Environ. Manag. 2012, 108, 108–119. [Google Scholar]
- Andrew, J.S. Potential application of mediation to land use conflicts in small-scale mining. J. Clean. Prod. 2003, 11, 117–130. [Google Scholar] [CrossRef]
- Wang, C.; Wang, H.; Wu, J.; He, X.; Luo, K.; Yi, S. Identifying and warning against spatial conflicts of land use from an ecological environment perspective: A case study of the Ili River Valley, China. J. Environ. Manag. 2024, 351, 119757. [Google Scholar] [CrossRef] [PubMed]
- Hong, W.; Guo, R.; Wang, W. A diagrammatic method for the identification and resolution of urban spatial conflicts. J. Environ. Manag. 2022, 316, 115297. [Google Scholar] [CrossRef] [PubMed]
- Zhang, Y.; Liu, Y.; Zhang, Y.; Liu, Y.; Zhang, G.; Chen, Y. On the spatial relationship between ecosystem services and urbanization: A case study in Wuhan, China. Sci. Total Environ. 2018, 780, 637–638. [Google Scholar] [CrossRef] [PubMed]
- Bertinelli, L.; Strobl, E.; Zou, B. Economic development and environmental quality: A reassessment in light of nature’s self. Ecol. Econ. 2008, 66, 371–378. [Google Scholar] [CrossRef]
- Yang, R.; Liu, Y.; Long, H. The study on non-agricultural transformation coevolution characteristics of “population-land- industry”: Case study of the Bohai Rim in China. Geogr. Res. 2015, 34, 475–486. [Google Scholar]
- de Groot, R. Function-analysis and valuation as a tool to assess land use conflicts in planning for sustainable, multi-functional landscapes. Landsc. Urban Plan. 2006, 75, 175–186. [Google Scholar] [CrossRef]
- Li, S.; Zhao, X.; Pu, J.; Miao, P.; Wang, Q.; Tan, K. Optimize and control territorial spatial functional areas to improve the ecological stability and total environment in karst areas of Southwest China. Land Use Pol. 2021, 100, 104940. [Google Scholar] [CrossRef]
- Zhou, D.; Xu, J.; Lin, Z. Conflict or coordination? Assessing land use multi-functionalization using production-living-ecology analysis. Sci. Total Environ. 2016, 577, 136–147. [Google Scholar] [CrossRef]
- Zou, L.; Liu, Y.; Wang, J.; Yang, Y.; Wang, Y. Land use conflict identification and sustainable development scenario simulation on China’s southeast coast. J. Clean. prod. 2019, 238, 117899. [Google Scholar] [CrossRef]
- Shan, L.; Yu, A.T.W.; Wu, Y. Strategies for risk management in urban-rural conflict: Two case studies of land acquisition in urbanizing China. Habitat Int. 2017, 59, 90e100. [Google Scholar] [CrossRef] [PubMed]
- Yu, A.T.W.; Wu, Y.; Zheng, B.; Zhang, X.; Shen, L. Identifying risk factors of urban-rural conflict in urbanization: A case of China. Habitat Int. 2014, 44, 177–185. [Google Scholar] [CrossRef]
- Godschalk, D.R. Land use planning challenges: Coping with conflicts in visions of sustainable development and livable communities. J. Am. Plan. Assoc. 2004, 70, 5–13. [Google Scholar] [CrossRef]
- Zhang, Y.; Long, H.; Tu, S.; Ge, D.; Ma, L.; Wang, L. Spatial identification of land use functions and their tradeoffs/synergies in China: Implications for sustainable land management. Ecol. Ind. 2019, 107, 105550. [Google Scholar] [CrossRef]
- Zhang, Y.; Hu, Y.; Zhang, B.; Li, Y.; Zhang, X.; Xie, Y. Conflict between nature reserves and surrounding communities in China: An empirical study based on a social and ecological system framework. Glob. Ecol. Convers. 2020, 21, e00804. [Google Scholar] [CrossRef]
- Yu, B.; Lv, C. The progress and prospect of land use conflicts. Prog. Geogr. 2006, 25, 106–115. [Google Scholar]
- Wang, J.; Liu, X. Recognizing and measuring spatial conflict of land use via “risk-effect”. Trans. Chin. Soc. Agric. Eng. 2022, 38, 291–300. [Google Scholar]
- Zhou, D.; Lin, Z.; Lim, S. Spatial characteristics and risk factor identification for land use spatial conflicts in a rapid urbanization region in China. Environ. Monit. Assess. 2019, 191, 677.1–677.22. [Google Scholar] [CrossRef]
- Henderson, S.R. Managing land-use conflict around urban centres: Australian poultry farmer attitudes towards relocation. Appl. Geogr. 2005, 25, 97–119. [Google Scholar] [CrossRef]
- Brown, G.; Raymond, C.M. Methods for identifying land use conflict potentialusing participatory mapping. Landsc. Urban Plann. 2014, 122, 196–208. [Google Scholar] [CrossRef]
- Dominika, M.; Katarzyna, Z. Land-use conflicts and the common agricultural policy: Evidence from Poland. Land Use Pol. 2018, 73, 423–433. [Google Scholar]
- Campbell, D.J.; Gichohi, H.; Mwangi, A.; Chege, L. Land use conflict in kajiado district, Kenya. Land Use Pol. 2000, 17, 337–348. [Google Scholar] [CrossRef]
- Tian, J.; Wang, B.; Wang, S. The paradigms and main content of land use conflict research. Resour. Sci. 2023, 45, 465–479. [Google Scholar] [CrossRef]
- Ma, W.; Jiang, G.; Chen, Y.; Qu, Y.; Zhou, T.; Li, W. How feasible is regional integration for reconciling land use conflicts across the urban-rural interface?—Evidence from Beijing-Tianjin-Hebei metropolitan region in China. Land Use Pol. 2020, 92, 104433. [Google Scholar] [CrossRef]
- Bao, W.; Yang, Y.; Zou, L. How to reconcile land use conflicts in mega urban agglomeration? A scenario-based study in the Beijing-Tianjin-Hebei region, China. A scenario-based study in the Beijing-Tianjin-Hebei region, China. J. Environ. Manag. 2021, 296, 113168. [Google Scholar] [CrossRef] [PubMed]
- Álvarez De Andrés, E.; Fernández Güell, J.M.; Smith, H. Instruments for analysing urban conflicts in the global south: The case of urban transformation processes in Dakar. Habitat Int. 2015, 49, 187–196. [Google Scholar] [CrossRef]
- Chitonge, H.; Mfune, O. The urban land question in Africa: The case of urban land conflicts in the City of Lusaka, 100 years after its founding. Habitat Int. 2015, 48, 209–218. [Google Scholar] [CrossRef]
- Cieslak, I. Identification of areas exposed to land use conflict with the use of multiple-criteria decision-making methods. Land Use Pol. 2019, 89, 104225. [Google Scholar] [CrossRef]
- Lara, L.; Ahlin, C. Restricted cubic splines for modelling periodic data. PLoS ONE 2020, 15, e0241364. [Google Scholar]
- Akshay, K.; Ammothum, K.; Eddie, W.; Bálint, A.; Peter, B.; Jolla, K. Curvature Constrained Splines for DFTB Repulsive Potential Parametrization. J. Chem. Theory Comput. 2021, 17, 1771–1781. [Google Scholar]
- Aris, P.; Willi, S.; Michal, A.; Matthias, S. A review of spline function procedures in R. BMC Medical Res. Methodol. 2019, 19. [Google Scholar]
- Xu, C.; Chen, Y.; Yang, Y.; Hao, X.; Shen, Y. Hydrology and water resources variation and its response to regional climate change in Xinjiang. J. Geogr. Sci. 2010, 20, 599–612. [Google Scholar] [CrossRef]
- Liu, Y.; Yuan, X.; Li, J.; Qian, K.; Yan, W.; Yang, X.; Ma, X. Trade-offs and synergistic relationships of ecosystem services under land use change in Xinjiang from 1990 to 2020: A Bayesian network analysis. Sci. Total Environ. 2023, 858, 160015. [Google Scholar] [CrossRef]
- Ishida, K.; Ohara, N.; Ercan, A.; Jang, S.; Trinh, T.; Kavvas, M.L.; Carr, K.; Anderson, M.L. Impacts of climate change on snow accumulation and melting processes over mountainous regions in Northern California during the 21st century. Sci. Total Environ. 2019, 685, 104–115. [Google Scholar] [CrossRef] [PubMed]
- Zhou, C.; Wang, S.; Wang, J. Examining the influences of urbanization on carbon dioxide emissions in the Yangtze River Delta, China: Kuznets curve relationship. Sci. Total Environ. 2019, 675, 472–482. [Google Scholar] [CrossRef]
- Evans, G.W.; Kantrowitz, E. Socioeconomic status and health: The potential role of environmental risk exposure. Annu. Rev. Publ. Health. 2002, 23, 303–331. [Google Scholar] [CrossRef]
- Fan, J. The scientific foundation of major function oriented zoning in China. Acta Geogr. Sin. 2007, 62, 339–350. [Google Scholar] [CrossRef]
- Liu, H.; Willems, P.; Bao, A.; Wang, L.; Chen, X. Effect of climate change on the vulnerability of a socio-ecological system in an arid area. Glob Planet Chang. 2016, 137, 1–9. [Google Scholar] [CrossRef]
- Fu, B.; Zhang, L. Land-use change and ecosystem services: Concepts, methods and progress. Prog. Phys. Geogr. 2014, 33, 441–446. [Google Scholar]
- Chi, Y.; Liu, D.; Wang, J.; Wang, E. Human negative, positive, and net influences on an estuarine area with intensive human activity based on land covers and ecological indices: An empirical study in Chongming Island, China. Land Use Pol. 2020, 99, 104846. [Google Scholar] [CrossRef]
- Huimin, L. The impact of human behavior on ecological threshold: Positive or negative? Grey relational analysis of ecological footprint, energy consumption and environmental protection. Energy Policy 2013, 56, 711–719. [Google Scholar] [CrossRef]
- Cieślak, I. Spatial conflicts: Analyzing a burden created by differing land use. Acta Geogr. Sin. 2019, 59, 44–57. [Google Scholar] [CrossRef]
- Von der Dunk, A.; Grêt-Regamey, A.; Dalang, T.; Hersperger, A.M. Defining a typology of peri-urban land-use conflicts—A case study from Switzerland. Landsc. Urban Plann. 2011, 101, 149–156. [Google Scholar] [CrossRef]
- Zong, S.; Hu, Y.; Bai, Y.; Guo, Z.; Wang, J. Analysis of the distribution characteristics and driving factors of land use conflict potentials in the Bohai Rim coastal zone. Ocean Coast. Manag. 2022, 226, 106260. [Google Scholar] [CrossRef]
- Dietz, K.; Engels, B. Analysing land conflicts in times of global crises. Geoforum 2020, 111, 208–217. [Google Scholar] [CrossRef]
- Wang, Y.; Li, W.; Zeng, X.; Li, P.; Xue, B. The spatial multi-scale mechanism of land use elemental conflicts in Shenyang economic zone. Econ. Geogr. 2022, 42, 231–239. [Google Scholar]
- Zhou, G.; Peng, J. The evolution characteristics and influence effect of spatial conflict: A case study of Changsha-Zhuzhou-Xiangtan urban agglomeration. Prog. Phys. Geogr. 2012, 31, 717–723. [Google Scholar]
- Peng, J.; Zhou, G.; Tang, C.; He, Y. The analysis of spatial conflict measurement in fast urbanization region based on ecological security: A case study of Changsha-Zhuzhou-Xiangtan urban agglomeration. Agric. Nat. Resour. 2012, 27, 1507–1519. [Google Scholar]
- Gao, F.; Zhang, Y.; Chen, Q.; Wang, P.; Yang, H.; Yao, Y.; Cai, W. Comparison of two long-term and high-resolution satellite precipitation datasets in Xinjiang, China. Atmos. Res. 2018, 212, 150–157. [Google Scholar] [CrossRef]
- Zhang, F.; Kung, H.; Johnson, V.C. Assessment of land-cover/land-use change and landscape patterns in the two national nature reserves of Ebinur Lake Watershed, Xinjiang, China. Sustainability 2017, 9, 724. [Google Scholar] [CrossRef]
- Zhao, R.; Chen, Y.; Shi, P.; Zhang, L.; Pan, J.; Zhao, H. Land use and land cover change and driving mechanism in the arid inland river basin: A case study of Tarim River, Xinjiang, China. Environ. Earth Sci. 2013, 68, 591–604. [Google Scholar] [CrossRef]
- Wang, Y.; Fan, J.; Zhou, K. Territorial function optimization regionalization based on the integration of “double evaluation”. Geogr. Res. 2019, 38, 2415–2429. [Google Scholar]
- Liu, Q.; Yang, Z.; Wang, C.; Han, F. Temporal-spatial variations and influencing factor of land use change in Xinjiang, central Asia, from 1995 to 2015. Sustainability 2019, 11, 696. [Google Scholar] [CrossRef]
- Chen, L. Study on the predicament in boundary exclusion and cross- border linkage mechanism of regional governance of the urban agglomeration. Inn. Mong. Soc. Sci. 2019, 40, 55–62. [Google Scholar]
- Wang, Z.; Yang, Q.; Li, J.; Wang, Y.; Shixuan, E.; Yang, H. Optimization strategy of rural settlement layout in mountainous urban fringe area: A case study of Sichuan Town in Yubei District of Chongqing. Econ. Geogr. 2019, 39, 182–190. [Google Scholar]
- Jiang, S.; Meng, J.; Zhu, L. Spatial and temporal analyses of potential land use conflict under the constraints of water resources in the middle reaches of the Heihe River. Land Use Pol. 2020, 97, 104773. [Google Scholar] [CrossRef]
- Jiang, S.; Meng, J. Process of land use conflict research: Contents and methods. Arid. Land Geogr. 2021, 44, 877–887. [Google Scholar]
- Hu, S.; Cheng, Q.; Wang, L.; Xie, S. Multifractal characterization of urban residential land price in space and time. Appl. Geogr. 2012, 34, 161–170. [Google Scholar] [CrossRef]
- Liao, L.; Dai, W.; Chen, J.; Huang, W.; Jiang, F.; Hu, Q. Spatial conflict between ecological-production-living spaces on Pingtan Island during rapid urbanization. Resour. Sci. 2017, 39, 1823–1833. [Google Scholar]
- Fearnhead, P.; Rigaill, G. Change point detection in the presence of outliers. J. Am. Stat. Assoc. 2019, 114, 169–183. [Google Scholar] [CrossRef]
- Tang, B.; He, H. A local density-based approach for outlier detection. Neurocomputing 2017, 241, 171–180. [Google Scholar] [CrossRef]
- Chen, W.; Gu, T.; Zeng, J. Urbanisation and ecosystem health in the Middle Reaches of the Yangtze River urban agglomerations, China: A U-curve relationship. J. Environ. Manag. 2022, 318, 115565. [Google Scholar] [CrossRef] [PubMed]
- Dahlgren, J.P.; García, M.B.; Ehrl’en, J. Nonlinear relationships between vital rates and state variables in demographic models. J. Ecol. 2011, 92, 1181–1187. [Google Scholar] [CrossRef] [PubMed]
- Bhaskaran, K.; dos-Santos-Silva, I.; Leon, D.A.; Douglas, I.J.; Smeeth, L. Association of BMI with overall and cause-specific mortality: A population-based cohort study of 3.6 million adults in the UK. Lancet Diabetes Endo. 2018, 6, 944–953. [Google Scholar] [CrossRef] [PubMed]
- Li, D.; Cao, W.; Dou, Y.; Wu, S.; Liu, J.; Li, S. Non-linear effects of natural and anthropogenic drivers on ecosystem: Services: Integrating thresholds into conservation planning. J. Environ. Manag. 2022, 321, 116047. [Google Scholar] [CrossRef]
- Stone, C.J. generalized additive models: Comment. Stat. Sci. 1986, 1, 312–331. [Google Scholar] [CrossRef]
- Fong, Y.; Huang, Y.; Gilbert, P.B.; Permar, S. chngpt: Threshold regression model estimation and inference. BMC Bioinf. 2017, 18, 454. [Google Scholar] [CrossRef] [PubMed]
- Huang, C.; Huang, X.; Peng, C.; Zhou, Z.; Teng, M.; Wang, P. Land use/cover change in the Three Gorges Reservoir area, China: Reconciling the land use conflicts between development and protection. Catena 2021, 175, 388–399. [Google Scholar] [CrossRef]
- Jang, S.; Meng, J.; Zhu, L.; Cheng, H. Spatial-temporal pattern of land use conflict in China and its multilevel driving mechanisms. Sci. Total Environ. 2021, 801, 149697. [Google Scholar] [CrossRef]
- Zhou, C.; Jin, W.; Zhang, G.; Li, M. Spatio-temporal characteristics and influencing factors of state-owned construction land supply in China. Acta Geogr. Sin. 2019, 74, 16–31. [Google Scholar]
- Han, C.; Zheng, J.; Guan, J.; Yu, D.; Lu, B. Evaluating and simulating resource and environmental carrying capacity in arid and semiarid regions: A case study of Xinjiang, China. semiarid regions: A case study of Xinjiang, China. J. Clean. Prod. 2022, 338, 130646. [Google Scholar] [CrossRef]
- Guo, H.; Ling, H.; Xu, H.; Guo, B. Study of suitable oasis scales based on water resource availability in an arid region of China: A case study of Hotan River Basin. Environ. Earth Sci. 2016, 75, 984. [Google Scholar] [CrossRef]
Disclaimer/Publisher’s Note: The statements, opinions and data contained in all publications are solely those of the individual author(s) and contributor(s) and not of MDPI and/or the editor(s). MDPI and/or the editor(s) disclaim responsibility for any injury to people or property resulting from any ideas, methods, instructions or products referred to in the content. |
© 2024 by the authors. Licensee MDPI, Basel, Switzerland. This article is an open access article distributed under the terms and conditions of the Creative Commons Attribution (CC BY) license (https://creativecommons.org/licenses/by/4.0/).







