Regionalization Research of Mountain-Hazards Developing Environments for the Eurasian Continent
Abstract
:1. Introduction
2. Theoretical Construction of Root Factor Selecting for Mountain-Hazards Developing Environments
3. Study Area and Materials
3.1. Study Area
3.2. Representative Significance of PPR on Mountain-Hazards Developing Environments
- (1)
- Peak ground acceleration (PGA) represents the intensity of seismic activities and is an important index to measure the intensity of seismic actions [40]. Seismic activities can make rock and soil produce cracks and even faults, which can create conditions for the developing of mountain-hazards [41,42]. For geological factors, PGA, which represents the strength of seismic activity, may be more representative than other related indicators, such as lithology, faults, rock strength, distance from faults and etc.
- (2)
- Temperature and precipitation are two elements that reflect the characteristics of the climate [43]. For mountain hazards, precipitation could provide water conditions for the developing of mountain hazards [44]. The formation of hazards-developing environments is the result of the interaction of geographical elements over a long time. With the impact of precipitation on hazards-developing environments on a long-time scale, its effect on vegetation growth and soil development could be better explained [45,46]. Based on the above considerations, the annual average precipitation was selected to characterize the impact of climate factors on the formation of hazards-developing environments of mountain hazards.
- (3)
- The most important role of geomorphic factors in the formation of hazards-developing environments of mountain hazards is to provide potential energy conditions for the developing of mountain hazards (such as absolute height) and the transformation conditions from potential energy to kinetic energy (such as slope or topographic relief). In contrast, the transformation condition from potential energy to kinetic energy is particularly important for the developing of mountain hazards [47,48]. For this condition, topographic relief emphasizes the difference between the highest and lowest altitude in a certain area, which can reflect the characteristics of elevation change [49]. Compared with the slope emphasizing the steepness and flatness of the ground at a certain point, topographic relief can better show the regional characteristics of the landform, so it may be more suitable to be selected as a representative indicator to reflect the geomorphic elements of the hazards-developing environments.
3.3. Materials
3.3.1. PGA Data
3.3.2. Annual Average Precipitation
3.3.3. Elevation
4. Methods
4.1. Data Standardization
4.2. Geospatial Data Band Synthesis
4.3. Spatial Clustering Algorithm ISODATA
- ①
- Firstly, some initial values are selected as the clustering centers, and the pixels to be classified are allocated according to the index;
- ②
- Calculate the distance of various ground objects in the sample;
- ③
- The cluster group splits and merges to form a new cluster center;
- ④
- Continue to iterate and recalculate, then end the operation when the result converges. At present, this method has many applications in remote sensing image classification, image retrieval, voice conversion, multi-agent task allocation and other fields [57,58,59,60]. The method is also relatively mature.
4.4. Spatial Stratified Heterogeneity Analysis Using Geodetector
5. Results
5.1. Data Standardization and PPR Band Synthesis
5.2. PPR Automatic Classification of 3D Geo-Information Spatial Data
5.3. Cartographic Generalization and Regionalization Results
5.4. Analysis on the Ability of Hazards-Developing Environment Regionalization to Explain the Spatial Stratified Heterogeneity of PPR Factors
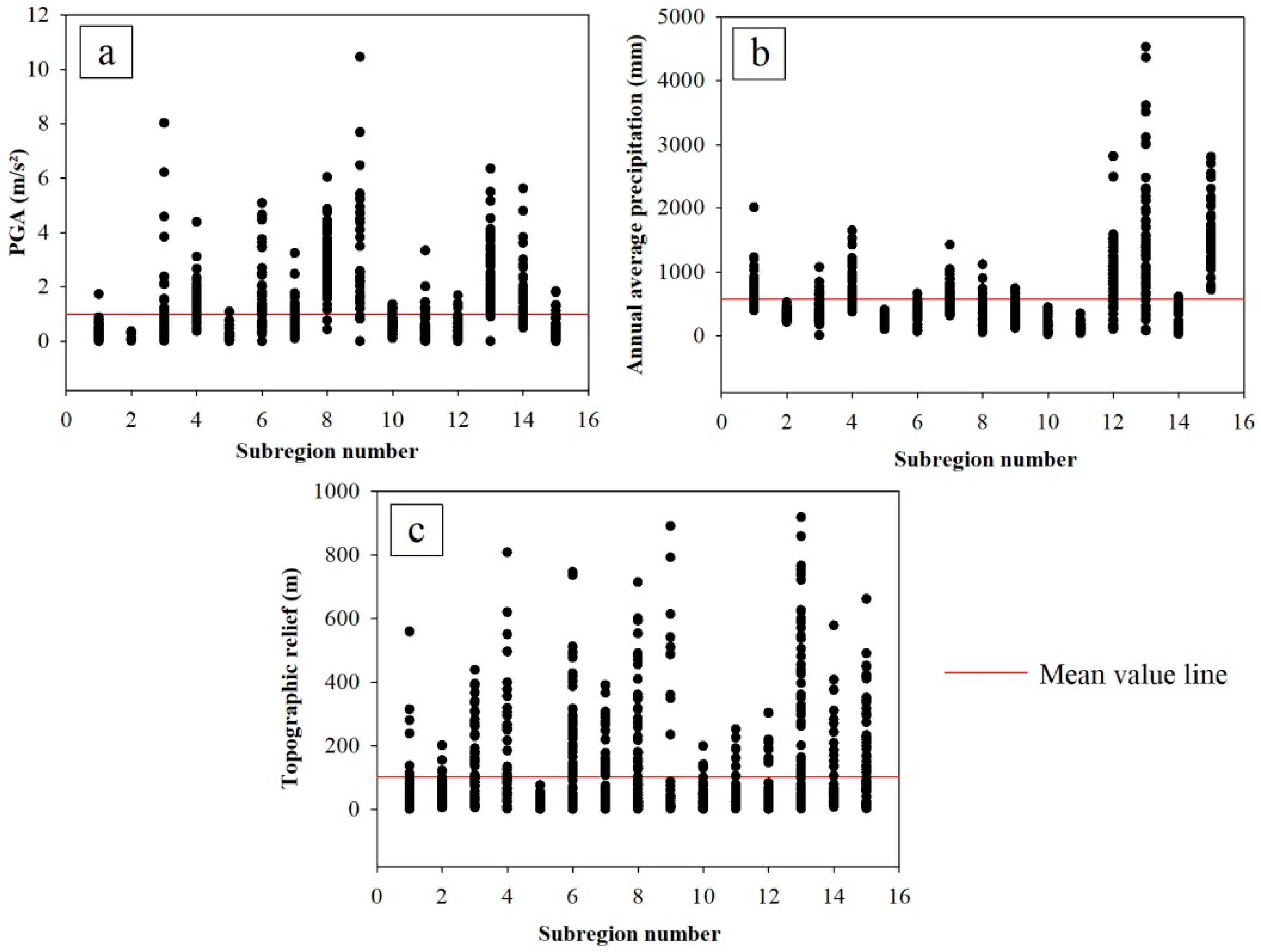
5.5. Characteristic Analysis of PPR Factors in Each Subregion
- (1)
- The subregion with higher PGA values (mainly distributing above the mean value) include 4 Alps–Mediterranean subregion, 6 Baikal–Altai subregion, 8 Iranian plateau subregion, 9 Pamirs subregion, 13 Himalayan–Hengduan subregion and 14 Tibetan Plateau subregion.
- (2)
- The subregions with high annual average precipitation (mainly distributing above the mean value) include 1 high-latitude plain subregion, 4 Alps–Mediterranean subregion, 7 Northeast Asia subregion, 12 Deccan Plateau subregion, 13 Himalayan–Hengduan subregion and 15 low-latitude monsoon subregion.
- (3)
- In terms of topographic relief, the areas with large variation range of topographic relief mainly include 3 East-Siberia mountainous subregion, 4 Alps–Mediterranean subregion, 6 Baikal–Altai subregion, 7 Northeast Asia subregion, 8 Iranian plateau subregion, 9 Pamirs subregion, 11 Arabian Peninsula subregion, 12 Deccan Plateau subregion, 13 Himalayan–Hengduan subregion, 14 Tibetan Plateau subregion, and 15 low-latitude monsoon subregion.
5.6. Analysis of Mountain-Hazards Susceptibility in Each Hazard-Developing Environment Subregion
- ①
- ②
- ③
- When there is only the relief condition or rainfall condition, or both conditions are not available, it is not conducive to the developing of mountain hazards;
- ④
- A certain amount of precipitation and a certain amount of relief are the favorable conditions for the developing of mountain hazards;
- ⑤
- Geological activities can break rocks and develop fissures, which are conducive to the infiltration of water, promote the developing of landslide hazards, and also provide material source conditions for debris flow hazards so as to form a good mountain-hazards developing environment in places with relief conditions but relatively little rainfall [76].
6. Discussion
- (1)
- Arid and active-geologic regions: this category includes the Baikal–Altai subregion, Iranian plateau subregion, Pamirs subregion and Tibetan Plateau subregion. The characteristics of such regions are that the PGA value and relief value are relatively high [82,83]. Although the precipitation value is relatively low, the active geological activities break the rocks and soil mass, which is conducive to the infiltration of precipitation along the cracks [84,85]. It is conducive to the developing of landslides and other mountain-hazards, and the broken rocks and soil mass also provides rich solid source conditions for the developing of debris flow hazards [86].
- (2)
- Humid and active-geologic regions: this category mainly includes the Alps–Mediterranean subregion and the Himalayan–Hengduan subregion. All PPR values of such regions are high. In these subregions, the active geological activities make the rocks and soil broken. The infiltration and softening for rocks and soil by abundant precipitation can reduce the strength of rocks and soil and provide rich water source conditions for the developing of mountain hazards, while the large relief provides basic potential energy transformation conditions for the developing of mountain hazards [87,88]. It can be seen that this kind of hazards-developing environments is most conducive to the developing of mountain hazards, compared with the other two types of hazard-developing environments [89].
- (3)
- Humid and inactive-geologic regions: the subregions involved in this category include the Northeast Asia subregion, Deccan Plateau subregion and low-latitude monsoon subregion. In terms of precipitation characteristics, the above subregions are affected by monsoons [90,91], and the precipitation is relatively rich. There is large topographic relief in these subregions, which can provide the most basic potential energy conversion conditions for the developing of mountain hazards. However, the geological activities in these areas are relatively weak, so the developing of rock and soil fissures in these subregions is weaker than the first two categories [92].
7. Conclusions
- (1)
- Based on unsupervised classification, small patch elimination and merging operations, 15 mountain-hazards developing environment subregions with their own characteristics were obtained.
- (2)
- The analysis based on geodetectors shows that the regionalization results have the best interpretation ability for PGA spatial stratified heterogeneity (q = 0.61), followed by the annual average precipitation spatial stratified heterogeneity (q = 0.58) and the topographic relief spatial stratified heterogeneity (q = 0.30). Overall, the regionalization results can reflect the spatial stratified heterogeneity of PPR to a certain extent and reflect the regional characteristics of mountain-hazards developing environments.
- (3)
- The strength characteristics of PPR values in 15 subregions were analyzed, and the susceptibility of mountain hazards in each subregion was preliminarily identified according to the listed judgment rules. Nine subregions, including Alps–Mediterranean subregion, Baikal–Altai subregion, Northeast Asia subregion, Iranian Plateau subregion, Pamirs subregion, Deccan Plateau subregion, Himalayan–Hengduan subregion, Tibetan Plateau sub-region, and low-latitude monsoon subregion, were preliminarily identified as the overall high susceptibility regions of mountain hazards.
- (4)
- Through the classification of nine mountain hazards’ overall high-susceptibility regions, three different types of areas were obtained. They are arid and active-geologic regions, humid and active-geologic regions, and humid and inactive-geologic regions.
Author Contributions
Funding
Institutional Review Board Statement
Informed Consent Statement
Data Availability Statement
Acknowledgments
Conflicts of Interest
References
- Buytaert, W.; Beven, K. Regionalization as a learning process. Water Resour. Res. 2009, 45, W11419. [Google Scholar] [CrossRef]
- Zheng, D.; Ou, Y.; Zhou, C. Understanding of and thinking over geographical regionalization methodology. Acta Geogr. Sin. 2008, 63, 563–573. [Google Scholar]
- Quesada-Román, A.; Mata-Cambronero, E. The geomorphic landscape of the barva volcano, Costa Rica. Phys. Geogr. 2021, 42, 265–282. [Google Scholar] [CrossRef]
- Franch-Pardo, I.; Napoletano, B.M.; Bocco, G.; Barrasa, S.; Cancer-Pomar, L. The role of geographical landscape studies for sustainable territorial planning. Sustainability 2017, 9, 2123. [Google Scholar] [CrossRef]
- Xu, B.; Ji, G.; Zhu, Y. A preliminary research of geographic regionalization of China land background and spectral reflectance characteristics of soil. Remote Sens. Environ. China 1991, 6, 142–151. [Google Scholar]
- Zhang, L.; Shi, P.; Wang, J.; Zhu, L. Regionalization of natural disasters in China. J. Beijing Normal Univ. 1995, 31, 415–421. [Google Scholar]
- Wang, P.; Shi, P.-J. Comprehensive regionalization of agricultural natural disaster in China. J. Nat. Disasters 2000, 9, 16–23. [Google Scholar]
- Wu, P.; Jia, Y. The regionalization and distribution types of the bryophytes in China. J. Plant Resour. Environ. 2006, 15, 1. [Google Scholar]
- Frankel, J.A. The Regionalization of the World Economy; University of Chicago Press: Chicago, IL, USA, 2007. [Google Scholar]
- Gao, J.; Huang, J.; Li, S.; Cai, Y. The new progresses and development trends in the research of physio-geographical regionalization in China. Prog. Geogr. 2010, 29, 1400–1407. [Google Scholar]
- Xu, H.; Zhu, H. Spatial change of China’s grain production based on geographical division of natural factors during 1990–2010. Acta Geogr. Sin. 2015, 70, 582–590. [Google Scholar]
- Badr, H.S.; Zaitchik, B.F.; Dezfuli, A.K. A tool for hierarchical climate regionalization. Earth Sci. Inform. 2015, 8, 949–958. [Google Scholar] [CrossRef]
- Zhang, T.; Peng, J.; Liu, Y.; Zhao, M. Eco-geographical regionalization in loess plateau based on the dynamic consistency of vegetation. Geogr. Res. 2015, 34, 1643–1661. [Google Scholar]
- Garnelo, L.; Sousa, A.B.L.; Silva, C.d.O.d. Health regionalization in amazonas: Progress and challenges. Ciênc. Saúde Coletiva 2017, 22, 1225–1234. [Google Scholar] [CrossRef] [PubMed]
- Morrone, J.J. The spectre of biogeographical regionalization. J. Biogeogr. 2018, 45, 282–288. [Google Scholar] [CrossRef]
- Zhu, J.; Zhou, Y.; Wang, S.; Wang, L.; Liu, W.; Li, H.; Mei, J. Ecological function evaluation and regionalization in baiyangdian wetland. Acta Ecol. Sin. 2020, 40, 459–472. [Google Scholar]
- Yu, H.; Guo, H.; Wang, J. Comprehensive regionalization of natural disaster risk—A case study of population and economic risk caused by typhoon in guangdong province. J. Catastrophol. 2022, 837, 131–137. [Google Scholar]
- Qiao, Y.; Li, M.; Zhang, W. Comprehensive evaluation on geological hazards and the environment of developing geological hazards in the northwest hebei on the basis of rs. Chin. J. Geol. Hazard Control 2002, 13, 83–87. [Google Scholar]
- Wang, D.; Wan, K.; Ma, W. Emergency decision-making model of environmental emergencies based on case-based reasoning method. J. Environ. Manag. 2020, 262, 110382. [Google Scholar] [CrossRef]
- Reichenbach, P.; Rossi, M.; Malamud, B.D.; Mihir, M.; Guzzetti, F. A review of statistically-based landslide susceptibility models. Earth-Sci. Rev. 2018, 180, 60–91. [Google Scholar] [CrossRef]
- Qin, Q.; Lin, X.; Tang, H.; Chen, H. Environment zoning of geological hazards developing of road flood in wanzhou. J. Chongqing Jiaotong Univ. 2011, 30, 89–94. [Google Scholar]
- Lin, X.-S.; Tang, H.-M.; Chen, H.-K.; Qin, Q.-M. Integrated zoning of developing hazards of geological disasters in chongqing city. Zhongguo Anquan Kexue Xuebao 2011, 21, 3–9. [Google Scholar]
- Kritikos, T.; Robinson, T.R.; Davies, T.R. Regional coseismic landslide hazard assessment without historical landslide inventories: A new approach. J. Geophys. Res. Earth Surf. 2015, 120, 711–729. [Google Scholar] [CrossRef]
- Vasu, N.N.; Lee, S.-R.; Pradhan, A.M.S.; Kim, Y.-T.; Kang, S.-H.; Lee, D.-H. A new approach to temporal modelling for landslide hazard assessment using an extreme rainfall induced-landslide index. Eng. Geol. 2016, 215, 36–49. [Google Scholar] [CrossRef]
- Dikshit, A.; Sarkar, R.; Pradhan, B.; Acharya, S.; Alamri, A.M. Spatial landslide risk assessment at phuentsholing, bhutan. Geosciences 2020, 10, 131. [Google Scholar] [CrossRef]
- Novellino, A.; Cesarano, M.; Cappelletti, P.; Martire, D.D.; Napoli, M.D.; Ramondini, M.; Sowter, A.; Calcaterra, D. Slow-moving landslide risk assessment combining machine learning and insar techniques. Catena 2021, 203, 105317. [Google Scholar] [CrossRef]
- Guzzetti, F.; Gariano, S.L.; Peruccacci, S.; Brunetti, M.T.; Marchesini, I.; Rossi, M.; Melillo, M. Geographical landslide early warning systems. Earth-Sci. Rev. 2020, 200, 102973. [Google Scholar] [CrossRef]
- Hidayat, R.; Sutanto, S.J.; Hidayah, A.; Ridwan, B.; Mulyana, A. Development of a landslide early warning system in Indonesia. Geosciences 2019, 9, 451. [Google Scholar] [CrossRef]
- Li, Y.; Xu, L.; Gu, F.; Su, N.; Zhang, L. Influence of disaster-pregnant factors on debris flow hazard. Earth Sci. 2022, 1–12. [Google Scholar] [CrossRef]
- Huang, L.; Xiang, L.-Y. Method for meteorological early warning of precipitation-induced landslides based on deep neural network. Neural Process. Lett. 2018, 48, 1243–1260. [Google Scholar] [CrossRef]
- Huggett, R.J. Soil chronosequences, soil development, and soil evolution: A critical review. Catena 1998, 32, 155–172. [Google Scholar] [CrossRef]
- Gray, J.M.; Bishop, T.F.; Wilford, J.R. Lithology and soil relationships for soil modelling and mapping. Catena 2016, 147, 429–440. [Google Scholar] [CrossRef]
- Jiang, Z.; Liu, H.; Wang, H.; Peng, J.; Meersmans, J.; Green, S.M.; Quine, T.A.; Wu, X.; Song, Z. Bedrock geochemistry influences vegetation growth by regulating the regolith water holding capacity. Nat. Commun. 2020, 11, 2392. [Google Scholar] [CrossRef] [PubMed]
- Ding, Y.; Li, Z.; Peng, S. Global analysis of time-lag and-accumulation effects of climate on vegetation growth. Int. J. Appl. Earth Obs. Geoinf. 2020, 92, 102179. [Google Scholar] [CrossRef]
- Sangireddy, H.; Carothers, R.A.; Stark, C.P.; Passalacqua, P. Controls of climate, topography, vegetation, and lithology on drainage density extracted from high resolution topography data. J. Hydrol. 2016, 537, 271–282. [Google Scholar] [CrossRef]
- Anselin, L. What is Special About Spatial Data? Alternative Perspectives on Spatial Data Analysis (89-4); UC Santa Barbara: National Center for Geographic Information and Analysis: Santa Barbara, CA, USA, 1989. [Google Scholar]
- Goodchild, M.F. The validity and usefulness of laws in geographic information science and geography. Ann. Assoc. Am. Geogr. 2004, 94, 300–303. [Google Scholar] [CrossRef]
- Peel, M.C.; Finlayson, B.L.; Mcmahon, T.A. Updated world map of the köppen-geiger climate classification. Hydrol. Earth Syst. Sci. 2006, 11, 259–263. [Google Scholar] [CrossRef]
- GSHAP. The Global Seismic Hazard Map Online. Available online: http://gmo.gfz-potsdam.de/ (accessed on 5 November 2020).
- Suzuki, A.; Iervolino, I. Italian vs. Worldwide history of largest pga and pgv. Ann. Geophys. 2017, 60, S0551. [Google Scholar] [CrossRef]
- Ayonghe, S.; Mafany, G.; Ntasin, E.; Samalang, P. Seismically activated swarm of landslides, tension cracks, and a rockfall after heavy rainfall in bafaka, cameroon. Nat. Hazards 1999, 19, 13–27. [Google Scholar] [CrossRef]
- Xu, C.; Xu, X. Controlling parameter analyses and hazard mapping for earthquake-triggered landslides: An example from a square region in Beichuan county, Sichuan province, China. Arab. J. Geosci. 2013, 6, 3827–3839. [Google Scholar] [CrossRef]
- Alexander, L.V.; Zhang, X.; Peterson, T.C.; Caesar, J.; Gleason, B.; Tank, A.K.; Haylock, M.; Collins, D.; Trewin, B.; Rahimzadeh, F. Global observed changes in daily climate extremes of temperature and precipitation. J. Geophys. Res. Atmos. 2006, 111, 1042–1063. [Google Scholar] [CrossRef]
- Chleborad, A.F. Preliminary evaluation of a precipitation threshold for anticipating the occurrence of landslides in the seattle, washington, area. US Geol. Surv. Open-File Rep. 2003, 3, 39. [Google Scholar]
- Zhu, L.; Gong, H.; Dai, Z.; Xu, T.; Su, X. An integrated assessment of the impact of precipitation and groundwater on vegetation growth in arid and semiarid areas. Environ. Earth Sci. 2015, 74, 5009–5021. [Google Scholar] [CrossRef]
- Khormali, F.; Kehl, M. Micromorphology and development of loess-derived surface and buried soils along a precipitation gradient in northern iran. Quat. Int. 2011, 234, 109–123. [Google Scholar] [CrossRef]
- Korup, O.; Montgomery, D.R.; Hewitt, K. Glacier and landslide feedbacks to topographic relief in the himalayan syntaxes. Proc. Natl. Acad. Sci. USA 2010, 107, 5317–5322. [Google Scholar] [CrossRef] [Green Version]
- Korup, O.; Clague, J.J.; Hermanns, R.L.; Hewitt, K.; Strom, A.L.; Weidinger, J.T. Giant landslides, topography, and erosion. Earth Planet. Sci. Lett. 2007, 261, 578–589. [Google Scholar] [CrossRef]
- Chang, K.-T.; Antes, J.; Lenzen, T. The effect of experience on reading topographic relief information: Analyses of performance and eye movements. Cartogr. J. 1985, 22, 88–94. [Google Scholar] [CrossRef]
- Shedlock, K.M.; Giardini, D.; Grunthal, G.; Zhang, P. The gshap global seismic hazard map. Seismol. Res. Lett. 2000, 71, 679–686. [Google Scholar] [CrossRef]
- GSHAP. Global seismic hazard assessment program. Ann. Geofis. 1999, 42, 115–201. [Google Scholar]
- Giardini, D.; Grünthal, G.; Shedlock, K.M.; Zhang, P. The gshap global seismic hazard map. Ann. Geofis. 1999, 42, 1225–1230. [Google Scholar] [CrossRef]
- Fick, S.E.; Hijmans, R.J. Worldclim 2: New 1-km spatial resolution climate surfaces for global land areas. Int. J. Climatol. 2017, 37, 4302–4315. [Google Scholar] [CrossRef]
- Danielson, J.J.; Gesch, D.B. Global Multi-Resolution Terrain Elevation Data 2010 (Gmted2010); US Department of the Interior, US Geological Survey: Washington, DC, USA, 2011.
- Zhang, H.; Qiu, B.; Zhang, K. A new risk assessment model for agricultural products cold chain logistics. Ind. Manag. Data Syst. 2017, 117, 1800–1816. [Google Scholar] [CrossRef]
- Cheng, D.; Gao, C.; Zhao, M.; Cheng, Y. Research on the enhanced expression of terrace information based on dem and remote sensing image. J. Arid. Land Resour. Environ. 2016, 30, 124–130. [Google Scholar]
- Memarsadeghi, N.; Mount, D.M.; Netanyahu, N.S.; Moigne, J.L. A fast implementation of the isodata clustering algorithm. Int. J. Comput. Geom. Appl. 2007, 17, 71–103. [Google Scholar] [CrossRef]
- Abbas, A.W.; Minallh, N.; Ahmad, N.; Abid, S.A.R.; Khan, M.A.A. K-means and isodata clustering algorithms for landcover classification using remote sensing. Sindh Univ. Res. J.-SURJ 2016, 48. [Google Scholar]
- Dunn, J.C. A fuzzy relative of the isodata process and its use in detecting compact well-separated clusters. J. Cybern. 1973, 3, 32–57. [Google Scholar] [CrossRef]
- Gunderson, R. Application of fuzzy isodata algorithms to star tracker pointing systems. IFAC Proc. Vol. 1978, 11, 1319–1323. [Google Scholar] [CrossRef]
- Wang, J.; Xu, C. Geodetector: Principle and prospective. Acta Geogr. Sin. 2017, 72, 116–134. [Google Scholar]
- Xu, C.; Li, Y.; Wang, J.; Xiao, G. Spatial-temporal detection of risk factors for bacillary dysentery in Beijing, Tianjin and Hebei, China. BMC Public Health 2017, 17, 743. [Google Scholar] [CrossRef] [Green Version]
- Yuan, X.; Han, J.; Shao, Y.; Li, Y.; Wang, Y. Geodetection analysis of the driving forces and mechanisms of erosion in the hilly-gully region of northern Shaanxi province. J. Geogr. Sci. 2019, 29, 779–790. [Google Scholar] [CrossRef]
- Chen, J.; Wang, D.; Li, G.; Sun, Z.; Wang, X.; Zhang, X.; Zhang, W. Spatial and temporal heterogeneity analysis of water conservation in beijing-tianjin-hebei urban agglomeration based on the geodetector and spatial elastic coefficient trajectory models. GeoHealth 2020, 4, e2020GH000248. [Google Scholar] [CrossRef]
- Zhao, R.; Zhan, L.; Yao, M.; Yang, L. A geographically weighted regression model augmented by geodetector analysis and principal component analysis for the spatial distribution of pm2.5. Sustain. Cities Soc. 2020, 56, 102106. [Google Scholar] [CrossRef]
- Zhou, X.; Wen, H.; Zhang, Y.; Xu, J.; Zhang, W. Landslide susceptibility mapping using hybrid random forest with geodetector and rfe for factor optimization. Geosci. Front. 2021, 12, 101211. [Google Scholar] [CrossRef]
- Dzemyda, G.; Kurasova, O.; Zilinskas, J. Multidimensional data visualization. Methods Appl. Ser. Springer Optim. Appl. 2013, 75, 10.5555. [Google Scholar]
- Pastizzo, M.J.; Erbacher, R.F.; Feldman, L.B. Multidimensional data visualization. Behav. Res. Methods Instrum. Comput. 2002, 34, 158–162. [Google Scholar] [CrossRef] [PubMed]
- Nickerson, B.G. Automated cartographic generalization for linear features. Cartogr. Int. J. Geogr. Inf. Geovis. 1988, 25, 15–66. [Google Scholar] [CrossRef]
- Chunliu, G.; Deqiang, C.; Kewei, L. Study on color landscape area from the perspective of the fifth facade. J. Cent. China Norm. Univ. 2016, 50, 770–776. [Google Scholar]
- Iwahashi, J.; Pike, R.J. Automated classifications of topography from dems by an unsupervised nested-means algorithm and a three-part geometric signature. Geomorphology 2007, 86, 409–440. [Google Scholar] [CrossRef]
- Guo, F.F.; Yang, N.; Meng, H.; Zhang, Y.Q.; Ye, B.Y. Application of the relief amplitude and slope analysis to regional landslide hazard assessments. Geol. China 2008, 35, 131–143. [Google Scholar]
- Su, X.; Wei, W.; Guo, W.; Wang, S.; Wang, G.; Wu, W.; Ye, W. Analyzing the impact of relief amplitude to loess landslides based on srtm dem in tianshui prefecture. J. Glaciol. Geocryol. 2017, 39, 616–622. [Google Scholar]
- Zhu, W.; Liu, B. Forming and development process of soil landslide during rainfall. Chin. J. Rock Mech. Eng. 2002, 21, 509–512. [Google Scholar]
- Caine, N. The rainfall intensity-duration control of shallow landslides and debris flows. Geogr. Ann. Ser. A Phys. Geogr. 1980, 62, 23–27. [Google Scholar]
- Margielewski, W.; Urban, J. Crevice-type caves as initial forms of rock landslide development in the flysch carpathians. Geomorphology 2003, 54, 325–338. [Google Scholar] [CrossRef]
- NASA. Global Landslide Catalog Export. Available online: https://data.nasa.gov/Earth-Science/Global-Landslide-Catalog-Export/dd9e-wu2v (accessed on 21 January 2022).
- Brakenridge, G.R. Global Active Archive of Large Flood Events. Available online: http://floodobservatory.colorado.edu/Archives/ (accessed on 21 January 2022).
- Liu, G.; Yan, Y.; Liu, J. Analysis of distribution character and background of geological hazards in western Qinghai-Tibet plateau. Geol. Surv. China 2017, 4, 37–45. [Google Scholar]
- Nepop, R.; Agatova, A. Estimating magnitudes of prehistoric earthquakes from landslide data: First experience in southeastern altai. Russ. Geol. Geophys. 2008, 49, 144–151. [Google Scholar] [CrossRef]
- Zhu, A.; Lv, G.; Zhou, C.; Qin, C. Geographic similarity: Third law of geography? J. Geo-Inf. Sci. 2020, 22, 04000673. [Google Scholar]
- Alimohammadlou, Y.; Najafi, A.; Gokceoglu, C. Estimation of rainfall-induced landslides using ann and fuzzy clustering methods: A case study in saeen slope, azerbaijan province, Iran. Catena 2014, 120, 149–162. [Google Scholar] [CrossRef]
- Asadi, M.; Goli Mokhtari, L.; Shirzadi, A.; Shahabi, H.; Bahrami, S. A comparison study on the quantitative statistical methods for spatial prediction of shallow landslides (case study: Yozidar-Degaga route in Kurdistan province, Iran). Environ. Earth Sci. 2022, 81, 51. [Google Scholar] [CrossRef]
- Lacroix, P.; Handwerger, A.L.; Bièvre, G. Life and death of slow-moving landslides. Nat. Rev. Earth Environ. 2020, 1, 404–419. [Google Scholar] [CrossRef]
- Nafarzadegan, A.R.; Talebi, A.; Malekinezhad, H.; Emami, N. Antecedent rainfall thresholds for the triggering of deep-seated landslides (case study: Chaharmahal & Bakhtiari province, Iran). Ecopersia 2013, 1, 23–39. [Google Scholar]
- Sharifi, F.; Samadi, S.Z.; Wilson, C.A. Causes and consequences of recent floods in the golestan catchments and caspian sea regions of iran. Nat. Hazards 2012, 61, 533–550. [Google Scholar] [CrossRef]
- Zhao, J.; Zhang, Q.; Wang, D.; Wu, W.; Yuan, R. Machine learning-based evaluation of susceptibility to geological hazards in the Hengduan mountains region, China. Int. J. Disaster Risk Sci. 2022, 13, 305–316. [Google Scholar] [CrossRef]
- Liu, S.; Wei, L.; Hu, K. Topographical and geological variation of effective rainfall for debris-flow occurrence from a large-scale perspective. Geomorphology 2020, 358, 107134. [Google Scholar] [CrossRef]
- Lin, Q.; Wang, Y. Spatial and temporal analysis of a fatal landslide inventory in China from 1950 to 2016. Landslides 2018, 15, 2357–2372. [Google Scholar] [CrossRef]
- Meena, S.R.; Ghorbanzadeh, O.; van Westen, C.J.; Nachappa, T.G.; Blaschke, T.; Singh, R.P.; Sarkar, R. Rapid mapping of landslides in the western ghats (India) triggered by 2018 extreme monsoon rainfall using a deep learning approach. Landslides 2021, 18, 1937–1950. [Google Scholar] [CrossRef]
- Chandrasekaran, S.; Sayed Owaise, R.; Ashwin, S.; Jain, R.M.; Prasanth, S.; Venugopalan, R. Investigation on infrastructural damages by rainfall-induced landslides during november 2009 in Nilgiris, India. Nat. Hazards 2013, 65, 1535–1557. [Google Scholar] [CrossRef]
- Wang, P.; Bai, X.; Wu, X.; Yu, H.; Hao, Y.; Hu, B.X. Gis-based random forest weight for rainfall-induced landslide susceptibility assessment at a humid region in southern China. Water 2018, 10, 1019. [Google Scholar] [CrossRef]
- Titti, G.; Borgatti, L.; Zou, Q.; Cui, P.; Pasuto, A. Landslide susceptibility in the belt and road countries: Continental step of a multi-scale approach. Environ. Earth Sci. 2021, 80, 630. [Google Scholar] [CrossRef]
- Lin, L.; Lin, Q.; Wang, Y. Landslide susceptibility mapping on a global scale using the method of logistic regression. Nat. Hazards Earth Syst. Sci. 2017, 17, 1411–1424. [Google Scholar] [CrossRef] [Green Version]












| Subregion Name | PGA | Precipitation | Relief | Susceptibility Characteristics | Rules |
|---|---|---|---|---|---|
| 1 High-latitude plain subregion | Local high value | Local high value | Overall low susceptibility, local high susceptibility | ③, ④ | |
| 2 Mid-Siberia plateau subregion | Local high value | Overall low susceptibility | ③ | ||
| 3 East-Siberia mountainous subregion | Local high value | Local high value | Overall low susceptibility, local high susceptibility | ③, ④ | |
| 4 Alps-Mediterranean subregion | Overall high susceptibility | ④ | |||
| 5 Central Asia subregion | Overall low susceptibility | ③ | |||
| 6 Baikal-Altai subregion | Overall high susceptibility | ⑤ | |||
| 7 Northeast Asia subregion | Local high value | Overall high susceptibility | ④ | ||
| 8 Iranian plateau subregion | Local high value | Overall high susceptibility | ⑤ | ||
| 9 Pamirs subregion | Local high value | Overall high susceptibility | ⑤ | ||
| 10 Mongolia-Xinjiang subregion | Local high value | Overall low susceptibility | ③ | ||
| 11 Arabian Peninsula subregion | Local high value | Overall low susceptibility, local high susceptibility | ③, ⑤ | ||
| 12 Deccan Plateau subregion | Local high value | Overall high susceptibility | ④ | ||
| 13 Himalayan-Hengduan subregion | Overall high susceptibility | ④ | |||
| 14 Tibetan Plateau subregion | Overall high susceptibility | ⑤ | |||
| 15 Low latitude monsoon subregion | Local high value | Overall high susceptibility | ④ |
| Model Type | Applicability |
|---|---|
| Arid and active-geologic region model | Areas with low precipitation and high PGA |
| Humid and active-geologic region model | Areas with high precipitation and PGA values |
| Humid and inactive-geologic region model | Areas with low PGA value but relatively abundant precipitation |
Publisher’s Note: MDPI stays neutral with regard to jurisdictional claims in published maps and institutional affiliations. |
© 2022 by the authors. Licensee MDPI, Basel, Switzerland. This article is an open access article distributed under the terms and conditions of the Creative Commons Attribution (CC BY) license (https://creativecommons.org/licenses/by/4.0/).
Share and Cite
Cheng, D.; Gao, C. Regionalization Research of Mountain-Hazards Developing Environments for the Eurasian Continent. Land 2022, 11, 1519. https://doi.org/10.3390/land11091519
Cheng D, Gao C. Regionalization Research of Mountain-Hazards Developing Environments for the Eurasian Continent. Land. 2022; 11(9):1519. https://doi.org/10.3390/land11091519
Chicago/Turabian StyleCheng, Deqiang, and Chunliu Gao. 2022. "Regionalization Research of Mountain-Hazards Developing Environments for the Eurasian Continent" Land 11, no. 9: 1519. https://doi.org/10.3390/land11091519
APA StyleCheng, D., & Gao, C. (2022). Regionalization Research of Mountain-Hazards Developing Environments for the Eurasian Continent. Land, 11(9), 1519. https://doi.org/10.3390/land11091519

