Identification of Regional Drought Processes in North China Using MCI Analysis
Abstract
:1. Introduction
2. Materials and Methods
2.1. Method Steps to Follow
2.2. Application of Identification and Evaluation Techniques of Regional Drought Process in China
2.2.1. Data Description
2.2.2. Regional Drought Processes
2.2.3. Regional Daily Drought Intensity
2.2.4. Determination of Drought Process
2.2.5. Regional Cumulative Drought Intensity
2.2.6. Intensity of Regional Drought Process
2.3. Frequency of Drought
3. Result
3.1. Spatial and Temporal Characteristics of Drought Days with Different Intensity
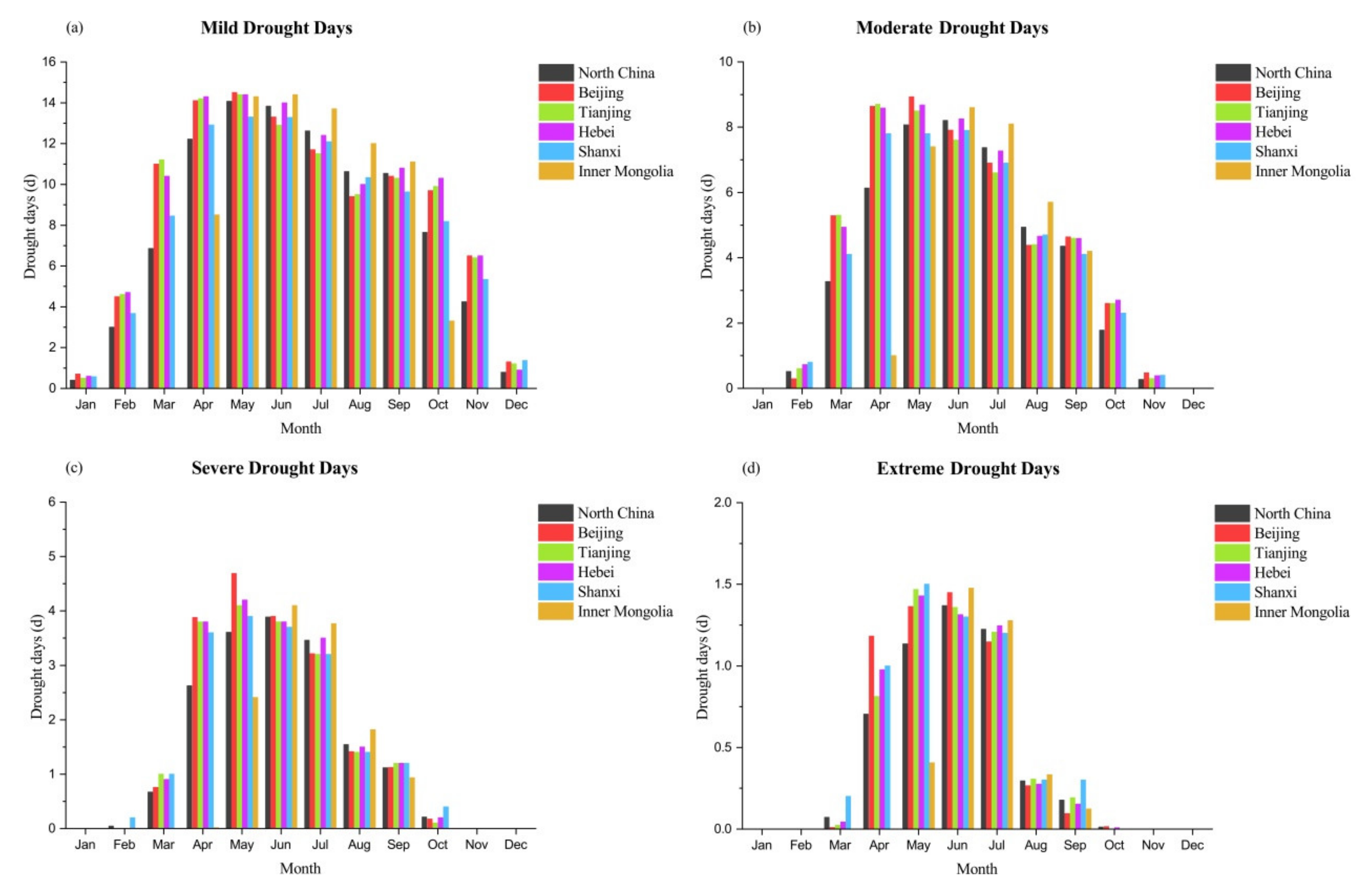
3.2. Monthly Distribution Characteristics
3.3. Drought Days and Linear Change Trend
3.4. Interdecadal Change and Linear Trend
3.5. Identification and Change Analysis of Drought Process in North China
3.5.1. Identification of Regional Drought Process
3.5.2. Variation Characteristics of Regional Drought Process
4. Discussion
5. Conclusions
Author Contributions
Funding
Institutional Review Board Statement
Informed Consent Statement
Data Availability Statement
Acknowledgments
Conflicts of Interest
Abbreviations
| 6.1 | Days·annual (d·a) |
| 6.2 | Compound Index of meteorological drought (CI) |
| 6.3 | the Extreme Intensity with both the Duration and the Region (EIDR) |
| 6.4 | Relative Moisture Index (MI) |
| 6.5 | Meteorological drought Composite Index (MCI) |
| 6.6 | Objective Identification Technique for Regional Extreme Events (OITREE) |
| 6.7 | Percentage of Precipitation anomaly (Pa) |
| 6.8 | Palmer Drought Severity Index (PDSI) |
| 6.9 | Potential Evapotranspiration (PET) |
| 6.10 | Reconnaissance Drought Index (RDI) |
| 6.11 | Standardized Precipitation Index (SPI) |
| 6.12 | Standardized Precipitation Evapotranspiration Index (SPEI) |
| 6.13 | Standardized Weighted Precipitation Index (SPIW) |
| 6.14 | Precipitation Z index (Z) |
References
- Mishra, A.K.; Singh, V.P. A review of drought concepts. J. Hydrol. 2010, 391, 202–216. [Google Scholar] [CrossRef]
- Gumbel, E.J. Statistical forecast of droughts. Bull. Int. Assoc. Sci. Hydrol. 1963, 8, 5–23. [Google Scholar] [CrossRef] [Green Version]
- Karl, T.R. Some spatial characteristics of drought duration in the United Stated. J. Clim. Appl. Meteorol. 1983, 22, 1356–1366. [Google Scholar] [CrossRef] [Green Version]
- Agnew, C.T.; Svoboda, M.D.; Wilhite, D.A.; Vanyarkho, O.V. Monitoring the 1996 drought using the standardized precipitation index. Bull. Am. Meteorol. Soc. 1999, 80, 429–438. [Google Scholar] [CrossRef]
- Banzragch, N.; Masato, S. Assessment of drought frequency, duration, and severity and its impact on pasture production in Mongolia. Nat. Hazards 2013, 66, 995–1008. [Google Scholar] [CrossRef]
- Marambanyika, T.; Mupfifiga, U.N.; Musasa, T.; Ngwenya, K. Local Perceptions on the Impact of Drought on Wetland Ecosystem Services and Associated Household Livelihood Benefifits: The Case of the Driefontein Ramsar Site in Zimbabwe. Land 2021, 10, 587. [Google Scholar] [CrossRef]
- Ma, Z.G.; Fu, C.B. Some evidence of dryingtrend over northern China from 1951 to 2004. Chin. Sci. Bull. 2006, 51, 2429–2439. [Google Scholar] [CrossRef]
- Zou, X.K.; Ren, G.Y.; Zhang, Q. Droughts variations in China based on a compound index of meteorological drought. Clim. Environ. Res. 2010, 15, 371–378. [Google Scholar] [CrossRef]
- Ren, G.Y.; Wang, T.; Guo, J.; Hao, Z.X.; Zhan, Y.J. Characteristics of precipitation variations in Haihe River Basin in modern times. Adv. Sci. Technol. Water Resour. 2015, 103–111. [Google Scholar] [CrossRef]
- Ren, F.M.; Gong, Z.Q.; Wang, Y.J.; Zou, X.K.; Li, Y.P. China’s Regional Extreme Events-Droughts, Intense Precipitations, Heatwaves and Low Temperature; China Meteorological Press: Beijing, China, 2015. [Google Scholar]
- Zhang, Q.; Yao, Y.B.; Li, Y.H.; Huang, J.P.; Ma, Z.G.; Wang, Z.L. Progress and prospect on the study of causes and variation regularity of droughts in China. Acta Meteor Sin. 2020, 78, 500–521. [Google Scholar] [CrossRef]
- Zhang, Q.; Xie, W.S.; Chen, X.Y.; Zhai, P.M.; Wu, B.W.; Duan, J.Q. Regional drought process and its variation characteristics in the Middle-lower Reaches of the Yangtze River from 1961 to 2019. Acta Meteor Sin. 2021, 79, 1–12. [Google Scholar] [CrossRef]
- Wu, Y.J.; Li, W.; Wang, W.J.; Quan, Q.; Chen, X.J.; Yin, H. Drought Characteristics in Inner Mongolia Based on Precipitation Anomaly Percentage. Arid. Zone Res. 2019, 36, 943–952. [Google Scholar] [CrossRef]
- Hu, G.H.; Li, T.; Sheng, F.; Shao, Q.X.; Gu, Q.F. Characteristics and adaptation of drought in Xiangjiang River based on the percentage of precipitation anomalies. J. Chang. Univ. Sci. Technol. 2020, 17, 74–82,91. [Google Scholar] [CrossRef]
- Yuan, F.; Zhang, Y.Q.; Liu, Y.; Ma, M.W.; Zhang, L.M.; Shi, J.Y. Drought assessment of Xijiang River Basin based on standardized Palmer drought index. Water Resour. Prot. 2021, 37, 46–52. [Google Scholar] [CrossRef]
- Li, H.J.; Jiang, Z.H.; Bai, Y.G. Evaluation and Improvement on Palmer Index of Tarim River Basin. Plateau Meteorol. 2015, 34, 1057–1064. [Google Scholar] [CrossRef]
- Yuan, W.P.; Zhou, G.S. Comparison Between Standardiaed Precipitation Index and Z-Index and Index in China. Acta Phytoecol. Sineca 2004, 28, 523–529. [Google Scholar]
- Ren, J.C.; Zhang, T.T. Evolution Characteristics of Drought and Flood in Shandong Province in Recent 45 Years Based on Standardized Precipitation Index. Res. Soil Water Conserv. 2021, 28, 149–154, 162. [Google Scholar]
- Wang, Z.W.; Zhai, P.M. Climate Change in Drought over Northern China during 1950–2000. Acta Geogr. Sin. 2003, 58, 61–68. [Google Scholar] [CrossRef]
- Zhang, Q.W.; Cui, N.B.; Zhao, L.S.H.; Xu, Y.; Li, Q.; Liu, F.P. Seasonal drought characteristics based on relative moisture index in Yunnan Province. Agric. Res. Arid. Areas 2020, 38, 278–284. [Google Scholar] [CrossRef]
- Ding, Y.B.; Xu, J.T.; Li, L.; Cai, H.J.; Sun, Y.N. Analysis of Drought Characteristics and Its Trend Change in Shaanxi Province Based on SPEI and MI. Sci. Agric. Sin. 2019, 52, 4296–4308. [Google Scholar] [CrossRef]
- Luo, N.; Mao, D.; Wen, B.; Liu, X. Climate Change Affected Vegetation Dynamics in the Northern Xinjiang of China: Evaluation by SPEI and NDVI. Land 2020, 9, 90. [Google Scholar] [CrossRef] [Green Version]
- Dubrovsky, M.; Svoboda, M.D.; Trnka, M.; Hayes, M.J.; Wilhite, D.A.; Zalud, Z.; Hlavinka, P. Application of relative drought indices in assessing climate-change impacts on drought conditions in Czechia. Theor. Appl. Clim. 2009, 96, 155–171. [Google Scholar] [CrossRef] [Green Version]
- Tsakiris, G.; Vangelis, H. Establishing a drought index incorporating evapotranspiration. Eur. Water 2005, 10, 3–11. [Google Scholar]
- Vangelis, H.; Tigkas, D.; Tsakiris, G. The effect of PET method on Reconnaissance Drought Index (RDI) calculation. J. Arid. Environ. 2013, 88, 130–140. [Google Scholar] [CrossRef]
- Zhao, H.Y.; Zhang, W.Q.; Zou, X.K.; Zhang, Q.; Shen, Z.Q.; Mei, P. Temporal and Spatial Characteristics of Drought in China under Climate Change. Chin. J. Agrometeorol. 2021, 42, 69–79. [Google Scholar] [CrossRef]
- Xie, W.S.; Zhang, Q.; Li, W.; Wu, B.W. Analysis of the Applicability of Drought Indexes in the Northeast, Southwest and Middle-lower Reaches of Yangtze River of China. Plateau Meteorol. 2021, 41. [Google Scholar] [CrossRef]
- Liao, Y.M.; Zhang, C.J. Spatio-temporal distribution character- istics and disaster change of drought in China based on meteorological drought composite index. Meteorol. Mon. 2017, 43, 1402–1409. [Google Scholar] [CrossRef]
- Li, Y.P.; Li, Y.H. Advances in adaptability of meteorological drought indices in China. J. Arid. Meteor 2017, 35, 709–723. [Google Scholar] [CrossRef]
- Ren, F.; Cui, D.; Gong, Z.; Wang, Y.; Zou, X.; Li, Y.; Wang, S.; Wang, X. An Objective Identification Technique for Regional Extreme Events. J. Clim. 2012, 25, 7015–7027. [Google Scholar] [CrossRef]
- Li, Y.J.; Ren, F.M.; Li, Y.P.; Wang, P.L.; Yan, H.M. A study of the characteristics of the southwestern China regional meteorological drought events during 1960–2010. Acta Meteor Sin. 2014, 72, 266–276. [Google Scholar] [CrossRef]
- Jin, Y.; Kuang, X.Y.; Yan, H.M.; Wan, Y.X.; Wang, P. Studies on distribution characteristics and variation trend of the regional drought events over Yunnan in recent 55 years. Meteor Mon. 2018, 44, 1169–1178. [Google Scholar] [CrossRef]
- An, L.J.; Ren, F.M.; Li, Y.J. Study on characteristics of regional drought events over North China during the past 50 years. Meteor Mon. 2014, 40, 1097–1105. [Google Scholar] [CrossRef]
- Zhang, Y.J.; Wang, C.Y.; Zhang, J.Q. Analysis of the spatial and temporal characteristics of drought in the North China plain based on standardized precipitation evaporation index. Acta Ecol. Sin. 2015, 35, 7097–7107. [Google Scholar] [CrossRef]
- Zhou, D.; Zhang, B.; Luo, J.; Zhang, C.L.; An, M.L.; Wang, D. SPEI-based intensity characteristics and cause analysis of drought in north China during recent 50 years. J. Nat. Disasters 2014, 23, 193–202. [Google Scholar] [CrossRef]
- Ni, S.H.; Gu, Y.; Peng, Y.J.; Liu, J.N.; Wang, H.L. Spatio-temporal pattern and evolution trend of drought disaster in China in recent seventy years. J. Nat. Disasters 2019, 28, 176–181. [Google Scholar] [CrossRef]
- Li, Z.H.; Wang, H.M.; Han, G.D.; Han, J.W.; Gao, J.X. Review on the flow-break in the lower reaches of Yellow River. Ecol. Environ. 2007, 16, 686–690. [Google Scholar] [CrossRef]
- Kong, Z.J.; Deng, M.J.; Ling, H.B.; Wang, G.Y.; Xu, S.W.; Wang, Z.R. Ecological security assessment and ecological restoration countermeasures in the dry-up area of the lower Tarim River. Arid. Zone Res. 2021, 38, 1128–1139. [Google Scholar] [CrossRef]
- Lu, E.; Zhao, W.; Zou, X.; Ye, D.; Zhao, C.; Zhang, Q. Temporal–Spatial Monitoring of an Extreme Precipitation Event: Determining Simultaneously the Time Period It Lasts and the Geographic Region It Affects. J. Clim. 2017, 30, 6123–6132. [Google Scholar] [CrossRef]
- Liao, Y.M.; Zhang, C.J.; Zou, X.K.; Ye, D.X.; Wang, X.F.; Li, W. QX/T 597-2021, Monitoring and Assessment Method of Regional Drought Process; China Meteorological Press: Beijing, China, 2021. [Google Scholar]
- Zhang, C.J.; Liu, H.B.; Song, Y.L.; Liao, Y.M.; Duan, J.Q.; Cai, W.Y. Grades of Meteorological Drought: GB/T 20481-2017; China Standards Press: Beijing, China, 2017. [Google Scholar]
- Xu, Y.; Tang, G.L.; Zhang, Q. Analysis of the Variation of the Air Temperature over China During the Global Warming Hiatus Period. Acta Meteor. Sin. 2017, 13, 569–577. [Google Scholar] [CrossRef]
- Ma, Z.G. The aridification over North China associated with the Pacific decadal oscillation. Chin. Sci. Bull. 2007, 52, 1199–1206. [Google Scholar] [CrossRef]
- Yao, N.; Zhao, H.; Li, Y.; Biswas, A.; Feng, H.; Liu, F.; Pulatov, B. National-Scale Variation and Propagation Characteristics of Meteorological, Agricultural, and Hydrological Droughts in China. Remote Sens. 2020, 12, 3407. [Google Scholar] [CrossRef]
- Zhang, C.J.; Ren, Y.Y.; Cao, L.J.; Zhang, S.Q.; Hu, C.Y.; Wu, X.L. Characteristics of Dry-Wet Climate Change in China during the Past 60 Years and Its Trends Projection. Clim. Chang. Res. Lett. 2021, 10, 728–741. [Google Scholar] [CrossRef]
- Ren, G.Y.; Wu, H.; Chen, Z.H. Spatial pattens of changes trend in rainfall of China. Q. J. Appl. Meteorol. 2000, 11, 322–330. [Google Scholar]
- Jiang, Z.H.; Chen, W.L.; Song, J.; Wang, J. Projeetion and evaluation of the precipitation extremes indices over China based on seven LPCC AR4 coupled climate models. Chin. J. Atmos. Sci. 2009, 33, 109–120. [Google Scholar] [CrossRef]
- Hu, Q.; Dong, B.; Pan, X.B.; Wang, X.X.; Wei, P.; Zhao, H.H. Spatiotemporal Variation and Causes Analysis of Dry-wet Climate at Different Time Scales in North China Plain. Chin. J. Agrometeorol. 2017, 38, 267–277. [Google Scholar] [CrossRef]









| Grade | No Drought | Mild Drought | Moderate Drought | Severe Drought | Extreme Drought |
|---|---|---|---|---|---|
| MCI | −0.5 < MCI | −1.0 < MCI ≤ −0.5 | −1.5 < MCI ≤ −1.0 | −2.0 < MCI ≤ −1.5 | MCI ≤ −2.0 |
| 1960–1969 | 1970–1979 | 1980–1989 | 1990–1999 | 2000–2009 | 2010–2019 | Linear Trend/d (10a)−1 | |
|---|---|---|---|---|---|---|---|
| North China | 72.0 | 92.7 | 105.6 | 106.4 | 110.6 | 93.8 | 4.6 |
| Beijing | 90.9 | 87.3 | 119.2 | 110.2 | 126.3 | 107.6 | 5.4 |
| Tianjing | 78.9 | 83.8 | 101.1 | 128.1 | 124.4 | 115.3 | 9.4 |
| Hebei | 72.0 | 107.8 | 123.6 | 120.8 | 119.0 | 112.6 | 6.6 |
| Shanxi | 62.8 | 93.6 | 106.4 | 124.3 | 115.0 | 92.7 | 6.6 |
| Inner Mongolia | 92.8 | 127.0 | 147.1 | 174.1 | 163.2 | 142.6 | 10.9 |
| 1960–1969 | 1970–1979 | 1980–1989 | 1990–1999 | 2000–2009 | 2010–2019 | Linear Trend/d (10a)−1 | |
|---|---|---|---|---|---|---|---|
| North China | 37.7 | 45.5 | 45.6 | 52.2 | 49.2 | 39.2 | 0.72 |
| Beijing | 47.5 | 45.2 | 54.0 | 55.1 | 55.4 | 43.0 | 0.26 |
| Tianjing | 43.0 | 39.7 | 43.9 | 66.9 | 53.6 | 48.1 | 2.58 |
| Hebei | 39.7 | 56.3 | 52.0 | 60.5 | 49.5 | 46.7 | 0.66 |
| Shanxi | 33.2 | 47.5 | 44.8 | 62.4 | 53.4 | 39.1 | 1.85 |
| Inner Mongolia | 37.2 | 31.7 | 37.4 | 30.8 | 43.3 | 28.9 | −0.38 |
| 1960–1969 | 1970–1979 | 1980–1989 | 1990–1999 | 2000–2009 | 2010–2019 | Linear Trend/d (10a)−1 | |
|---|---|---|---|---|---|---|---|
| North China | 16.9 | 18.9 | 15.5 | 21.1 | 18.3 | 12.3 | −0.56 |
| Beijing | 20 | 22.4 | 20.3 | 21.7 | 17.6 | 12.8 | −1.4 |
| Tianjing | 21.2 | 15.2 | 14.8 | 27.5 | 16.6 | 15.8 | −0.29 |
| Hebei | 18.9 | 24.8 | 16.9 | 24.0 | 16.5 | 13.5 | −1.28 |
| Shanxi | 14.7 | 20.4 | 15.1 | 27.2 | 22 | 12.4 | 0.15 |
| Inner Mongolia | 15.6 | 10.5 | 13.5 | 11.2 | 17.4 | 10.1 | −0.26 |
| 1960–1969 | 1970–1979 | 1980–1989 | 1990–1999 | 2000–2009 | 2010–2019 | Linear Trend/d (10a)−1 | |
|---|---|---|---|---|---|---|---|
| North China | 5.6 | 6.5 | 3.5 | 6.4 | 5.4 | 2.4 | −0.47 |
| Beijing | 5.9 | 9.4 | 6 | 6.1 | 4.2 | 1.6 | −1.06 |
| Tianjing | 6.8 | 5.4 | 3 | 8.1 | 5.4 | 3.4 | −0.34 |
| Hebei | 6.3 | 9.6 | 3.5 | 6.8 | 4.2 | 2.3 | −0.94 |
| Shanxi | 5.3 | 6.5 | 3.3 | 9.1 | 7.7 | 2.6 | −0.12 |
| Inner Mongolia | 4.9 | 2.6 | 3.4 | 3.2 | 5.1 | 2.5 | −0.13 |
Publisher’s Note: MDPI stays neutral with regard to jurisdictional claims in published maps and institutional affiliations. |
© 2021 by the authors. Licensee MDPI, Basel, Switzerland. This article is an open access article distributed under the terms and conditions of the Creative Commons Attribution (CC BY) license (https://creativecommons.org/licenses/by/4.0/).
Share and Cite
Cai, X.; Zhang, W.; Fang, X.; Zhang, Q.; Zhang, C.; Chen, D.; Cheng, C.; Fan, W.; Yu, Y. Identification of Regional Drought Processes in North China Using MCI Analysis. Land 2021, 10, 1390. https://doi.org/10.3390/land10121390
Cai X, Zhang W, Fang X, Zhang Q, Zhang C, Chen D, Cheng C, Fan W, Yu Y. Identification of Regional Drought Processes in North China Using MCI Analysis. Land. 2021; 10(12):1390. https://doi.org/10.3390/land10121390
Chicago/Turabian StyleCai, Xiuhua, Wenqian Zhang, Xiaoyi Fang, Qiang Zhang, Cunjie Zhang, Dong Chen, Chen Cheng, Wenjie Fan, and Ying Yu. 2021. "Identification of Regional Drought Processes in North China Using MCI Analysis" Land 10, no. 12: 1390. https://doi.org/10.3390/land10121390
APA StyleCai, X., Zhang, W., Fang, X., Zhang, Q., Zhang, C., Chen, D., Cheng, C., Fan, W., & Yu, Y. (2021). Identification of Regional Drought Processes in North China Using MCI Analysis. Land, 10(12), 1390. https://doi.org/10.3390/land10121390
