Next Article in Journal
Distribution Characteristics of Soil Organic Carbon and Active Carbon Components in the Peat Swamp Wetlands of the Altai Mountains, China
Next Article in Special Issue
Energy–Environment–Industry Intersection: Rural and Urban Inequity and Approach to Just Transition
Previous Article in Journal
Enhancing Ecological Network Connectivity Through Urban–Rural Gradient Zoning Optimization of Ecological Process Flow
 
 
Font Type:
Arial Georgia Verdana
Font Size:
Aa Aa Aa
Line Spacing:
Column Width:
Background:
Article

Assessing Environmental, Social, and Governance Risks in the Water, Energy, Land, and Food Nexus, Towards a Just Transition to Sustainable Energy in China

1
School of Mathematics, Statistics and Mechanics, Beijing University of Technology, Beijing 100124, China
2
Institute of Food and Strategic Reserves, Nanjing University of Finance & Economics, Nanjing 210003, China
*
Author to whom correspondence should be addressed.
Land 2025, 14(4), 669; https://doi.org/10.3390/land14040669
Submission received: 28 February 2025 / Revised: 18 March 2025 / Accepted: 20 March 2025 / Published: 21 March 2025

Abstract

The transition to sustainable energy in China is closely intertwined with environmental, social, and governance (ESG) risks within the water–energy–land–food (WELF) nexus. This study examines the complex interdependencies among these resources and evaluates the ESG challenges that may hinder or accelerate the energy transition. By integrating policy analysis and quantitative risk assessment, this research identifies key ESG risks, such as water scarcity, land-use conflicts, food security concerns, and social equity issues. The findings highlight the need for holistic governance frameworks and cross-sectoral strategies to mitigate ESG risks while ensuring a resilient and just energy transition. This study provides policy recommendations for aligning energy development with sustainable resource management, contributing to China’s long-term climate and economic goals.

1. Introduction

The global shift towards sustainable energy is essential for tackling climate change, strengthening energy security, and fostering economic resilience [1,2]. Nations around the world are working to lower carbon emissions and transition to renewable energy sources, in line with global initiatives like the Paris Agreement and the United Nations Sustainable Development Goals (SDGs) [3,4]. However, this transition presents significant challenges, especially in managing the interconnected relationships among vital resources, including water, energy, land, and food [5,6]. The water–energy–land–food (WELF) nexus is a critical system where the management and consumption of one resource directly affect the others, resulting in complex sustainability trade-offs [7,8]. As the demand for clean energy continues to rise, ensuring an equitable and balanced transition requires addressing the environmental, social, and governance (ESG) risks associated with this nexus [9].
China, as the world’s largest energy consumer and carbon emitter, plays a pivotal role in shaping the global energy landscape [10]. The country has made ambitious commitments to peak carbon emissions by 2030 and achieve carbon neutrality by 2060, signaling a major transformation of its energy system [11,12,13]. However, China’s transition to low-carbon energy is deeply entangled with ESG risks related to resource constraints, biodiversity loss, and social equity concerns [14,15]. Large-scale renewable energy projects, such as hydropower, solar farms, and bioenergy, require significant land and water resources, which can disrupt ecosystems and compete with food production [16,17]. Additionally, the extraction and processing of critical minerals essential for clean energy technologies, such as lithium and rare earth elements, raise concerns about environmental degradation and human rights violations [18].
Given these challenges, a comprehensive assessment of ESG risks within the WELF nexus is crucial to ensuring a resilient and equitable energy transition [19,20]. This study examines the ESG implications of China’s energy transition through the lens of the WELF nexus, highlighting key environmental, economic, and governance risks. By integrating policy analysis, risk assessment, and case studies, this research identifies potential trade-offs and synergies in resource management [21,22]. The findings offer insights supporting policymakers, businesses, and stakeholders to develop holistic strategies that balance energy security, sustainability, and social well-being, ultimately contributing to both China’s national goals and global climate commitments [23]. China’s rapid industrialization and urbanization have intensified competition for water, land, and food resources, exacerbating ESG risks that could hinder sustainable energy progress [24,25]. For example, large-scale renewable energy projects such as hydropower and bioenergy require extensive water and land resources, raising concerns about ecosystem disruption and agricultural displacement [26,27]. Similarly, the expansion of lithium and rare earth mining, essential for clean energy technologies, poses governance challenges related to environmental degradation and social justice [28,29]. As China accelerates its shift toward renewable energy, a comprehensive understanding of ESG risks within the WELF nexus is necessary to ensure a just and resilient energy transition [30,31,32].
This paper is structured into four sections following this introduction. The methodology and data sources are outlined in Section 2. Section 3 presents the findings, covering the distribution of ESG risks and the effects of energy transition policy on ESG risks within the water–energy–land–food nexus. Section 4 explores discussions and implications, while Section 5 concludes the paper.

2. Materials and Methods

2.1. Conceptualization of ESG Risks in the WELF Nexus

The WELF nexus represents the interconnectedness of critical resources—water, energy, land, and food—which are deeply integrated in shaping both environmental sustainability and human well-being. Within this nexus, ESG risks emerge as interconnected factors that affect sustainable development across these domains. A clear understanding of ESG risks in the WELF nexus requires a conceptual breakdown of each type of risk and their interrelationships.
Environmental risk (E): In the WELF nexus, environmental risks arise from the depletion, contamination, or mismanagement of natural resources, impacting water, energy, land, and food systems [3]. For example, over-extraction of water for energy production or agricultural use can lead to water scarcity, while land degradation can disrupt food production. Social risk (S): Social risks within the WELF nexus relate to the human and community impacts of how water, energy, land, and food resources are managed and distributed [10,11]. These risks include issues of equity, access, and social justice—such as the unequal distribution of energy or water resources, the displacement of communities due to land-use changes, or the health and livelihood consequences of poor environmental practices [4,5,6]. Governance risk (G): Governance risks are tied to the management and regulation of the water, energy, land, and food systems within a region. In the WELF nexus, governance risks manifest when policies, regulations, or institutional frameworks are weak, inefficient, or poorly implemented [26,27]. Poor governance can exacerbate environmental degradation, worsen social inequalities, and lead to ineffective responses to crises like resource shortages or climate change impacts [30].

2.2. Principal Component Analysis and Comprehensive Index Evaluation Method

When evaluating regional ESG risks in the WELF nexus, the first step is to use the range standardization method to standardize the original data, and then use the principal component analysis method to redesign the dimensionality and obtain the weights of the main variables (Figure 1). For details, please see Appendix A.

Variable Standardization Processing

Considering that the dimensions of different indicators are different and cannot be directly compared, the indicators need to be standardized first.
Positive   indicators :   X i j = x i j x m i n x m a x x m i n
Negative   indicators :   X i j = x m a x x i j x m a x x m i n

2.3. Principal Component Analysis

Assuming there are n regions and p evaluation indicators; if the original indicators are denoted as x p , and their principal components after dimensionality reduction are denoted as y m ( m p ), we can define the following:
y 1 = β 11 x 1 + β 12 x 2 + . . . + β 1 p x p y 2 = β 21 x 1 + β 22 x 2 + . . . + β 2 p x p . . . y m = β m 1 x 1 + β m 2 x 2 + . . . + β m p x p
Then, the basic calculation process of principal component analysis is as follows.
First, set the original estimation matrix X = ( x i j ) n × p , where x i j represents the standardized data of indicator j for region i. At the same time, calculate the covariance matrix for each variable.
Next, based on the covariance matrix R i j , calculate the eigenvalues λ j , variance contribution rate σ j , and cumulative variance contribution rate α j . According to the principle that eigenvalues should be greater than 1 and the cumulative variance contribution rate should be greater than 70%, select the first m variables y 1 , y 2 y m that meet the criteria as principal components to replace the original p series variables:
σ j = λ j / p = 1 p λ j
α j = j = 1 m λ j / j = 1 p λ j
Subsequently, the initial factor loading matrix a m j is determined based on the correlation coefficient between the principal component y m and the initial index x j   to explain the degree of correlation between the principal component and each evaluation index, and further obtain the principal component coefficient matrix γ m j = a m j / λ j with each principal component score y m = γ j m T x j .
Finally, based on the ratio of the variance contribution rate of each principal component to the cumulative variance contribution rate of each principal component, the weight θ j of each principal component is calculated.
Calculate ESG index risks:
E S G i t = y t i j × θ j

2.4. Three-Dimensional Kernel Density Estimation

This paper employs the three-dimensional kernel density estimation method to model ESG risk data across various provinces in China, analyzing distribution patterns and evolutionary trends from 2007 to 2022. Assuming f x , y represents the joint kernel density estimation function of the two-dimensional random variables ( X , Y ) , where the random variables X = ( x 1 , x 2 , . . . x m ) and Y = ( y 1 , y 2 , . . . y n ) follow independent distributions, the specific formula is as follows:
f x , y = 1 n h x h y i = 1 n K x x i x ¯ h x K y y i y ¯ h y
where K x ( x i x ¯ ) h x K y ( y i y ¯ ) h y are kernel functions, and h represents the bandwidth of the kernel density function, determining the smoothness of the kernel density curve and the estimation accuracy.

2.5. Baseline Regression Model

In order to explore the impact of energy transition policies on regional ESG risks in the WELF nexus, a double-difference method is employed, with provincial ESG risk indices as the dependent variables. The construction involves creating interaction terms between pilot reforms in energy use rights and virtual variables before and after policy implementation. These are then utilized as explanatory variables of ESG risks. The pilot scheme outlined in the Pilot Scheme for Compensated Use and Trading System of Energy Use Rights issued by the National Development and Reform Commission (NDRC) is regarded as a quasi-natural experiment. Provinces implementing pilot programs for energy transition policies, such as Zhejiang, Fujian, Henan, and Sichuan, are designated as the experimental group, while other regions serve as the control group. Moreover, the policy release year of 2016 is designated as the shock time point. Empirical testing is conducted to examine whether energy transition policies are conducive to enhancing regional ESG risks in WELF nexus indices. The specific model is as follows:
E S G i t = β 0 + β 1 T i m e t × T r e a t i + β 2 l n p g d p i t + β 3 l n i n d u s i t + β 4 l n u r b a n i t + β 5 l n m a r k e t i t + β 6 l n o p e n i t + β 6 l n e r i t + ε i t
In the equation, i represents provinces and t denotes years; ESG stands for the ESG risk index of each region; p g d p i t represents the economic development level of province i in year t; i n d u s i t denotes the level of industrialization in province i in year t; u r b a n i t represents the urbanization rate of province i; m a r k e t i t indicates the level of marketization in province i during year t; O p e n i t represents the degree of openness of province i; e r i t denotes the level of environmental regulation in province i; T r e a t i is a virtual variable, where if province i is part of the pilot reform for energy use rights, T r e a t i t = 1 , and otherwise, T r e a t i t = 0 ; T i m e t is a time dummy variable. Its value is 0 before the introduction of the energy transition policy, and 1 in the year of policy implementation and thereafter.

2.6. Mediating Effect Model

To further investigate how energy transition policies influence regional ESG risks within the WELF nexus, empirical tests are conducted to examine the mediating effects of technological progress, industrial structure upgrading, and resource endowment dependence. The constructed model is as follows:
Q i t = α 0 + β 1 T i m e t × T r e a t i + n = 1 6 γ n Z n i t + μ i + v t + ε i t
E S G i t = α 0 + β 1 T i m e t × T r e a t i + β 2 Q i t + n = 1 6 γ n Z n i t + μ i + v t + ε i t
In this equation, Q i t represents the mediating variables, including technological progress, industrial structural upgrading, and resource endowment dependence. Other symbols have the same meanings as in Equation (8).

2.7. Data Sources and Variables

The dependent variable is the ESG risk index (ESG). Drawing from the conceptual framework of ESG risks and considering data availability, a regional ESG risk evaluation system for the WELF nexus is developed. This system includes 15 indicators encompassing environmental, social, and governance dimensions (see Table 1). The ESG risk index for each region is calculated using principal component analysis and comprehensive index evaluation methods. The data for this study cover 30 provinces and municipalities in mainland China (excluding Hong Kong, Macau, Taiwan, and Tibet). The main sources of data are the China Statistical Yearbook from 2008 to 2023, as well as various provincial statistical yearbooks and development statistical bulletins from different years (Table 2).
The primary explanatory variables include an interaction term between the policy implementation timeline (Time) and the policy participation indicator (Treat), denoted as (Time × Treat). The Treat variable is a binary indicator, taking a value of 1 for pilot regions (Zhejiang, Fujian, Henan, and Sichuan) and 0 for non-pilot regions.
The energy transition policy, launched in 2016 by the National Development and Reform Commission (NDRC) under the Pilot Scheme for Compensated Use and Trading System of Energy Use Rights, requires pilot regions to cap energy consumption and allocate initial energy use rights per unit. This initiative is designed to regulate demand and reduce environmental impact. The Time variable, also binary, is assigned 0 for years before 2016 and 1 for 2016 and later, signifying the policy’s rollout and expansion.
Several control variables are incorporated to account for regional differences. These include the economic development level (pgdp), measured by per capita GDP; industrialization level (indus), captured by the share of industrial value added in GDP; urbanization rate (urban), reflected by the proportion of the urban population; marketization level (market), based on the marketization index from the Fan Gang research group; degree of openness (open), determined by the ratio of total trade to GDP; and environmental regulation intensity (er), assessed through an index incorporating industrial wastewater discharge, industrial SO₂ emissions, and industrial smoke emissions, where higher values indicate weaker regulatory enforcement.
Additionally, three mediating variables are considered: technological progress (tec), industrial structural upgrading (upi), and resource endowment dependence (red). Technological progress is quantified by the number of domestic patent approvals. Industrial structural upgrading is evaluated through the ratio of tertiary to secondary industry output. Resource endowment dependence is represented by the number of urban employees per mining unit.

3. Results

3.1. Temporal Evolution Trend of ESG Risks in the WELF Nexus

Figure 2 presents the three-dimensional kernel density estimation and heatmap of regional ESG risks in the WELF nexus from 2007 to 2022, enabling the assessment of spatial distribution and temporal evolution trends of ESG risks during the study period.
From 2007 to 2022, the ESG risk index displayed a consistent upward trajectory, indicating an overall improvement in environmental, social, and governance aspects of energy management across China. However, it is noteworthy that in 2022, there was a slight dip in the ESG risk index, suggesting a potential deviation from the upward trend, which warrants further investigation into the factors contributing to this decrease.
Significant regional disparities exist in ESG risks across China. Certain regions such as Beijing, Hainan, and Qinghai demonstrate notably higher ESG risk indices compared to the national average. These regions likely benefit from favorable environmental policies, advanced infrastructure, and proactive governance strategies. On the other hand, regions like Shanxi, Inner Mongolia, Guizhou, and Shaanxi exhibit considerably lower ESG risk indices, indicating potential challenges related to environmental degradation, social inequalities, and governance deficiencies. Understanding these regional variations is crucial for targeted policy interventions and resource allocation to address disparities and promote balanced development across the country.
China’s ESG risk landscape reflects substantial internal differences and strong agglomeration effects. While the overall trend suggests a gradual convergence of ESG risk indices among different regions over the years, significant disparities persist. The observed fluctuations in regional differences underscore the complex interplay of factors influencing energy management practices, including regional economic structures, resource endowments, policy frameworks, and socio-environmental conditions. Efforts to mitigate these disparities and enhance overall ESG risk performance require comprehensive policy approaches tailored to the unique challenges and opportunities within each region, along with concerted efforts to promote collaboration, knowledge sharing, and capacity-building across the country.

3.2. Spatial–Temporal Distribution of ESG Risks in the WELF Nexus

From 2007 to 2022, the average ESG risk outcomes exhibited a notable upward trajectory, indicating a positive trend in environmental, social, and governance aspects of energy management over the years. The average ESG risk outcomes increased from −0.8032 in 2007 to 0.5750 in 2022, representing a significant improvement. By 2021, the ESG risk outcomes had nearly doubled relative to 2007, underscoring the substantial progress in energy sustainability practices (Figure 3).
Across the period spanning from 2007 to 2022, the average ESG risks remained relatively stable at 0.0000. However, there were noticeable fluctuations in annual averages, with the highest recorded in 2021 (0.6170) and the lowest in 2007 (−0.8032), indicating varying levels of energy sustainability performance over time.
An examination of yearly ESG indices from 2007 to 2022 reveals distinct patterns. The years with the highest ESG indices were 2021 (0.6170), 2022 (0.5750), 2020 (0.5567), 2019 (0.4800), and 2018 (0.4365). Notably, 43.75% of the years had ESG indices above the mean, while 56.25% fell below the mean, highlighting the variability in energy sustainability performance across different years. Conversely, the years with the lowest ESG indices were 2007 (−0.8032), 2008 (−0.6869), 2009 (−0.6125), 2010 (−0.3848), and 2011 (−0.2416), indicating periods of relatively lower energy sustainability performance.
Analyzing ESG risks across the 30 provinces and municipalities reveals significant disparities. For instance, Beijing exhibited the highest ESG risk index (1.7058), followed by Hainan (1.5094), Zhejiang (1.2309), Guangdong (1.2123), and Shanghai (1.1275). Conversely, Shanxi had the lowest ESG risk index (−2.2785), followed by Inner Mongolia (−1.6724), Ningxia (−1.1453), Hebei (−0.9155), and Guizhou (−0.7414). This disparity underscores the diverse energy sustainability performance among different regions, necessitating targeted interventions to address the underlying challenges and promote balanced development across the country.

3.3. Impact of Energy Transition Policy on ESG Risks in the WELF Nexus

The findings suggest that prior to 2016, there was no discernible gap in the growth trajectories of ESG risks between regions designated as pilot areas and those not included in the pilot program. This indicates that, in the pre-implementation phase, both pilot and non-pilot regions experienced similar trends in ESG risk development.
However, following the implementation of the policy during the period from 2016 to 2022, all key explanatory variables exhibited statistically significant positive coefficients. This implies that subsequent to policy enactment, differences emerged in the ESG risk indices between pilot provinces and non-pilot provinces. The positive coefficients suggest that the policy intervention had a notable impact on energy sustainability outcomes, indicating that the energy transition policy effectively stimulated changes in the energy structure of pilot provinces.
Furthermore, verifying the parallel trend assumption is crucial for assessing the model’s reliability. The results indicate that before policy implementation, ESG risk trends in both pilot and non-pilot regions were comparable. This supports the appropriateness of the difference-in-differences model, reinforcing the credibility of the analytical approach and strengthening the robustness of findings on the energy transition policy’s impact on energy sustainability (Figure 4).
The implementation of energy transition policies represents a pivotal step in bolstering the regional energy environmental, social, and governance (ESG) standards. These policies are designed to facilitate the transition towards cleaner and more sustainable energy practices, thereby fostering improvements in various aspects of energy management, including environmental protection, social equity, and governance efficiency. By implementing these policies, governments can effectively elevate the overall ESG risk performance within their jurisdictions, ensuring a more sustainable and resilient energy landscape for future generations.
It is observed that an increase in development level, marketization level, openness to foreign markets, and environmental regulation intensity correlates positively with an augmentation in ESG risk outcomes. This suggests that regions experiencing higher levels of economic development, market liberalization, international engagement, and stringent environmental regulations tend to exhibit better ESG risk outcomes. These factors contribute to fostering a conducive environment for sustainable energy practices, promoting investments in renewable energy, enhancing energy efficiency measures, and mitigating environmental risks associated with energy production and consumption.
Conversely, increases in industrialization level and urbanization rate may exert a downward pressure on ESG risks. As regions undergo rapid industrialization and urban expansion, they often face challenges such as increased energy consumption, higher emissions levels, environmental degradation, and social disparities. These factors can undermine the overall sustainability of energy systems, leading to lower ESG risk scores. Hence, policymakers need to implement targeted measures to address these challenges, such as promoting cleaner production technologies, implementing urban planning strategies that prioritize energy efficiency and environmental sustainability, and enhancing social inclusion initiatives to ensure equitable access to clean energy resources and benefits (Table 3).

3.4. Robustness Test

The energy transition policy, launched in 2016, designated four pilot regions as the experimental group, with the remaining provinces serving as the control group. To ensure comparability, six observable variables—economic development level, industrialization level, urbanization rate, marketization level, openness to foreign markets, and environmental regulation intensity—were used for matching. The effectiveness of this matching process is demonstrated in Table 4 and Figure 5.
The results indicate that, considering self-selection bias, the implementation of the energy transition policy significantly enhances the regional ESG risk outcomes in WELF nexus levels, consistent with the benchmark regression results. This underscores the robustness and reliability of the findings, providing evidence of the policy’s effectiveness in improving energy sustainability outcomes (Table 4 and Table 5).

3.5. Regional Inequity: Impact of Energy Transition Policy in the WELF Nexus

Recognizing that regional disparities in resource endowments may affect the impact of energy rights on ESG risks, this study categorizes the sample into eastern, central, and western regions based on varying economic development levels. The detailed results are provided in Table 6.
The observed increase of 0.657 units in ESG risk outcomes for the eastern regions and 0.410 units for the central and western regions following the implementation of the energy transition policy underscores the policy’s positive impact on energy sustainability outcomes. This indicates that the policy intervention has effectively contributed to enhancing ESG risk outcome levels across all regions, albeit to varying degrees.
Furthermore, when comparing the effects of the energy transition policy on ESG risks across different regions, it becomes apparent that the policy has a more pronounced promoting effect on ESG risk outcomes in the eastern regions compared to the central and western regions. This discrepancy could be attributed to several factors, including variations in regional economic structures, industrial compositions, resource endowments, and policy implementation effectiveness.
Eastern regions, typically characterized by more developed economies, higher levels of industrialization, and greater access to advanced technologies and resources, may have been better positioned to leverage the benefits of the energy transition policy. Additionally, these regions may have had more robust governance mechanisms and institutional frameworks in place to facilitate policy implementation and enforcement, leading to a more significant improvement in ESG risk outcomes.
On the other hand, central and western regions, which often face challenges such as resource constraints, lower levels of economic development, and infrastructural limitations, may have experienced a slightly lesser impact from the policy implementation. Nonetheless, the observed positive effect on ESG risks in these regions highlights the policy’s potential to contribute to energy sustainability improvements nationwide, albeit with varying magnitudes across different regional contexts.

3.6. Driving Factors of Energy Transition Policy on ESG Risks in the WELF Nexus

To further examine how the energy transition policy influences ESG risks, an empirical analysis was conducted using the intermediate effect model, as specified in Equations (9) and (10). The results, presented in Table 7, reveal the following key findings.
The energy transition policy plays a pivotal role in enhancing regional ESG risk outcomes in the WELF nexus through various mechanisms. Firstly, by promoting technological progress, the policy encourages the adoption of cleaner and more efficient energy technologies, which in turn reduces environmental impacts and improves energy sustainability. Additionally, the policy facilitates industrial structural upgrading by incentivizing the transition towards cleaner and more sustainable industrial processes and practices. This shift towards cleaner industries leads to reduced emissions and resource consumption, contributing to improved ESG risk outcomes. Moreover, the policy helps mitigate resource endowment dependency by diversifying energy sources and promoting renewable energy adoption. This reduces reliance on finite and environmentally damaging resources, further enhancing ESG risk outcomes.
Regions that experience faster technological progress, higher levels of industrial structural upgrading, and weaker dependency on resource endowments are likely to exhibit higher ESG risk outcomes. This is because advancements in technology enable the adoption of cleaner and more efficient energy solutions, while industrial structural upgrading promotes the transition towards cleaner production processes and industries. Additionally, regions with weaker resource endowment dependency are better positioned to adopt sustainable energy practices and diversify their energy sources, thereby improving ESG risk outcomes.
To further enhance regional ESG outcomes in the WELF nexus, interventions should prioritize strategies that foster technological progress and industrial structural upgrading while simultaneously reducing the reliance on resource endowments. This could involve investing in research and development initiatives to promote innovation in clean energy technologies, providing incentives for industries to adopt cleaner production processes, and implementing policies that encourage energy diversification and sustainability practices.
Overall, the implementation of the energy transition policy serves as a catalyst for facilitating technological progress and industrial structural upgrading while reducing the reliance on resource endowments. By addressing these key aspects, the policy contributes significantly to the elevation of ESG risk outcomes in different regions, ultimately promoting sustainable energy development and environmental conservation.

3.7. Dynamic Effect of Energy Transition Policy on ESG Risks in the WELF Nexus

We explored the dynamic marginal effects of the energy transition policy on regional ESG risks within the WELF nexus, and dummy variables for each year were included in the analysis. The detailed results are presented in Table 8.
The implementation of the energy transition policy continues to have a sustained promoting effect on regional ESG risk outcomes in the WELF nexus. This implies that the policy’s impact persists over time, contributing to ongoing improvements in energy sustainability across regions.
The year 2021 stands out as having the most significant promoting effect of the energy transition policy on regional ESG risk outcomes in the WELF nexus. This suggests that the policy’s effectiveness reached its peak in 2021, resulting in the most substantial improvements in energy sustainability outcomes during that year. These findings underscore the importance of continued policy support and implementation in fostering positive changes in energy sustainability, with 2021 representing a particularly noteworthy period of heightened effectiveness for the energy transition policy in enhancing regional ESG risk outcomes in the WELF nexus.

4. Discussion

The discussion of ESG risks and driving factors in the context of energy transition policies at the provincial level in China illuminates the intricate dynamics shaping the trajectory of sustainable development in one of the world’s largest economies. This section delves into key insights gleaned from the analysis, highlighting the implications for policy, governance, and stakeholder engagement [44,45,46].
The analysis reveals the interconnected nature of ESG risks, underscoring the need for a holistic approach to energy transition policymaking [47,48]. Environmental risks, ranging from air pollution to water scarcity, pose immediate threats to public health and ecological integrity, necessitating stringent regulatory measures and technological interventions [49,50]. Social risks, such as land acquisition conflicts and community opposition, underscore the importance of inclusive decision-making processes and meaningful stakeholder engagement [51,52,53]. Governance risks, including regulatory capture and policy inertia, highlight the challenges of institutional capacity-building and the imperative of transparent and accountable governance mechanisms [54,55,56].
This Discussion elucidates the significance of regional disparities and contextual specificities in shaping energy transition policies across different provinces in China. While coastal provinces with higher levels of economic development may prioritize renewable energy deployment and emissions reduction targets, inland provinces with abundant coal resources may face greater challenges in transitioning away from fossil fuels [57,58,59]. Moreover, provinces with a heavy reliance on energy-intensive industries may confront social and economic disruptions during the transition process, necessitating targeted policy interventions and support measures [60,61]. Central to the effectiveness of energy transition policies is the role of government and institutional capacity in steering the transition process. The analysis highlights the importance of proactive policy leadership, regulatory enforcement, and capacity-building efforts at the provincial level to ensure the implementation of national energy and environmental objectives [62]. Moreover, enhancing coordination and collaboration between government agencies, industry stakeholders, and civil society actors is essential for fostering synergy and overcoming administrative silos and bureaucratic hurdles [63,64].
Technological innovation and market dynamics emerge as critical drivers shaping the energy transition landscape in China. The rapid advancements in renewable energy technologies, coupled with declining costs and supportive government policies, offer unprecedented opportunities for scaling up clean energy deployment and reducing the reliance on fossil fuels [50,51]. Furthermore, market incentives, such as carbon pricing mechanisms and renewable energy subsidies, play a pivotal role in incentivizing investment in clean energy projects and driving market competitiveness [22]. This Discussion underscores the importance of public awareness and stakeholder engagement in fostering societal support for energy transition policies. Public participation in decision-making processes, access to information, and mechanisms for redress are essential for building trust, legitimacy, and social acceptance of energy projects [45,46]. Moreover, fostering partnerships with local communities, indigenous groups, and grassroots organizations can enhance the effectiveness and sustainability of energy transition initiatives by incorporating local knowledge, values, and preferences into policy design and implementation [56,57].
Finally, this Discussion emphasizes the significance of international cooperation and knowledge exchange in advancing energy transition goals in China. Collaborative initiatives, such as joint research projects, technology transfer programs, and capacity-building partnerships, can facilitate the exchange of best practices, lessons learned, and innovative solutions to common challenges [65,66,67]. Moreover, participation in multilateral forums and global initiatives, such as the Paris Agreement and the United Nations Sustainable Development Goals, underscores China’s commitment to addressing climate change and promoting sustainable development on the global stage [68,69,70].
Implementing energy transition and ESG policies at the regional level faces several barriers, including political resistance, budget constraints, and limited institutional capacity. Political resistance can arise from competing priorities, ideological differences, and lack of political will, especially in regions dependent on traditional energy sectors. Budget constraints hinder the necessary investments in clean energy infrastructure and technology, with many regions facing difficulties in allocating resources due to fiscal challenges. Institutional capacity issues, such as weak governance frameworks, a lack of technical expertise, and poor coordination between various stakeholders, can delay or complicate policy execution. Economic and structural barriers, such as regional dependence on fossil fuels and disparities in resources, further complicate the transition, with less developed areas facing greater difficulties. Social and cultural barriers, including limited public awareness, concerns about equity, and resistance from affected communities, can undermine policy acceptance and implementation. Additionally, global market dynamics, fluctuating energy prices, and international pressures can impact the feasibility of regional policies, adding another layer of complexity. Overcoming these barriers requires strong leadership, adequate financial resources, capacity-building, and coordinated efforts to address equity concerns and ensure the transition is inclusive and effective.
The discussion underscores the complexity and urgency of addressing ESG risks and driving factors in China’s provincial-level energy transition policies. By adopting a comprehensive and integrated approach that takes into account environmental protection, social equity, and good governance principles, China can chart a more sustainable and inclusive path towards energy security, economic prosperity, and environmental resilience. Through concerted efforts to enhance policy coherence, institutional capacity, stakeholder engagement, and international cooperation, China can emerge as a global leader in driving the transition towards a low-carbon and resilient energy future.

5. Conclusions

China’s energy transition is a critical component of global efforts to combat climate change and achieve sustainable development. However, the complex interdependencies within the water–energy–land–food (WELF) nexus present significant environmental, social, and governance (ESG) risks that must be carefully managed. This study highlights the need for a holistic governance framework that incorporates cross-sectoral collaboration, improved policy coordination, and stronger ESG risk management strategies. Sustainable energy policies should not only focus on decarbonization but also ensure responsible resource allocation, equitable distribution of benefits, and long-term environmental resilience. Moreover, advancements in technology, circular economy principles, and innovative financing mechanisms can help mitigate ESG risks while fostering a just and inclusive energy transition.
In conclusion, while this study provides valuable insights into the impact of energy transition policies on regional ESG risks, there are several areas that could be strengthened for greater clarity and depth. Limitations in the data, challenges facing during policy implementation, and the causal mechanisms involved are factors impacting the robustness of the findings. Addressing these factors would not only improve the validity but also increase its practical utility for policymakers and researchers, providing a more comprehensive framework for understanding and addressing the complexities of energy transition and ESG risks.

Author Contributions

Conceptualization, H.C. and C.W.; methodology, H.C.; software, C.W.; validation, H.C. and C.W.; formal analysis, H.C. and C.W.; investigation, H.C.; resources, C.W.; data curation, H.C.; writing—original draft preparation, H.C. and C.W.; writing—review and editing, H.C. and C.W.; visualization, C.W.; supervision, C.W.; project administration, H.C. and C.W. All authors have read and agreed to the published version of the manuscript.

Funding

This study was supported by the National Natural Science Foundation of China (grant no.72304134) and The Ministry of Education of China (grant no.22YJCZH165).

Data Availability Statement

The raw data supporting the conclusions of this article will be made available by the authors on request.

Conflicts of Interest

The authors declare no conflicts of interest.

Appendix A

Based on the constructed ESG evaluation index system, the main steps of using principal component analysis (PCA) to measure ESG in various regions over the years are as follows:
1. Standardize data in the same direction.
2. Test whether the data are suitable for the principal component analysis method (see Table A1). The partial correlation test was performed on the homogeneous normalized data, and the Kaiser–Meyer–Olkin (KMO) result was 0.682, which was greater than 0.5, indicating that there was a strong correlation between the indicators. At the same time, the p-value of Bartlett’s spherical multivariate correlation test was 0.000, which was less than 0.01. In summary, these data are suitable for principal component analysis.
Table A1. Test results.
Table A1. Test results.
Test MethodIndexOutcome
KMO testKOM value0.682
Bartlett spherical testχ2 value6179.750
degree of freedom105
p-value0.000
3. Calculate the covariance matrix V of the data.
4. Calculate the eigenroot λi and eigenvector ai of the covariance matrix V of the correlation panel data, and calculate the variance contribution rate and cumulative variance contribution rate of the eigenroot λi (Table A2).
Table A2. Results of variance decomposition analysis for principal component extraction.
Table A2. Results of variance decomposition analysis for principal component extraction.
ComponentEigenvalueDifferenceProportionCumulative
Comp14.8802.2770.3250.325
Comp22.6030.4320.1740.499
Comp32.1720.7410.1450.644
Comp41.4300.2570.0950.739
Comp51.1730.5590.0780.817
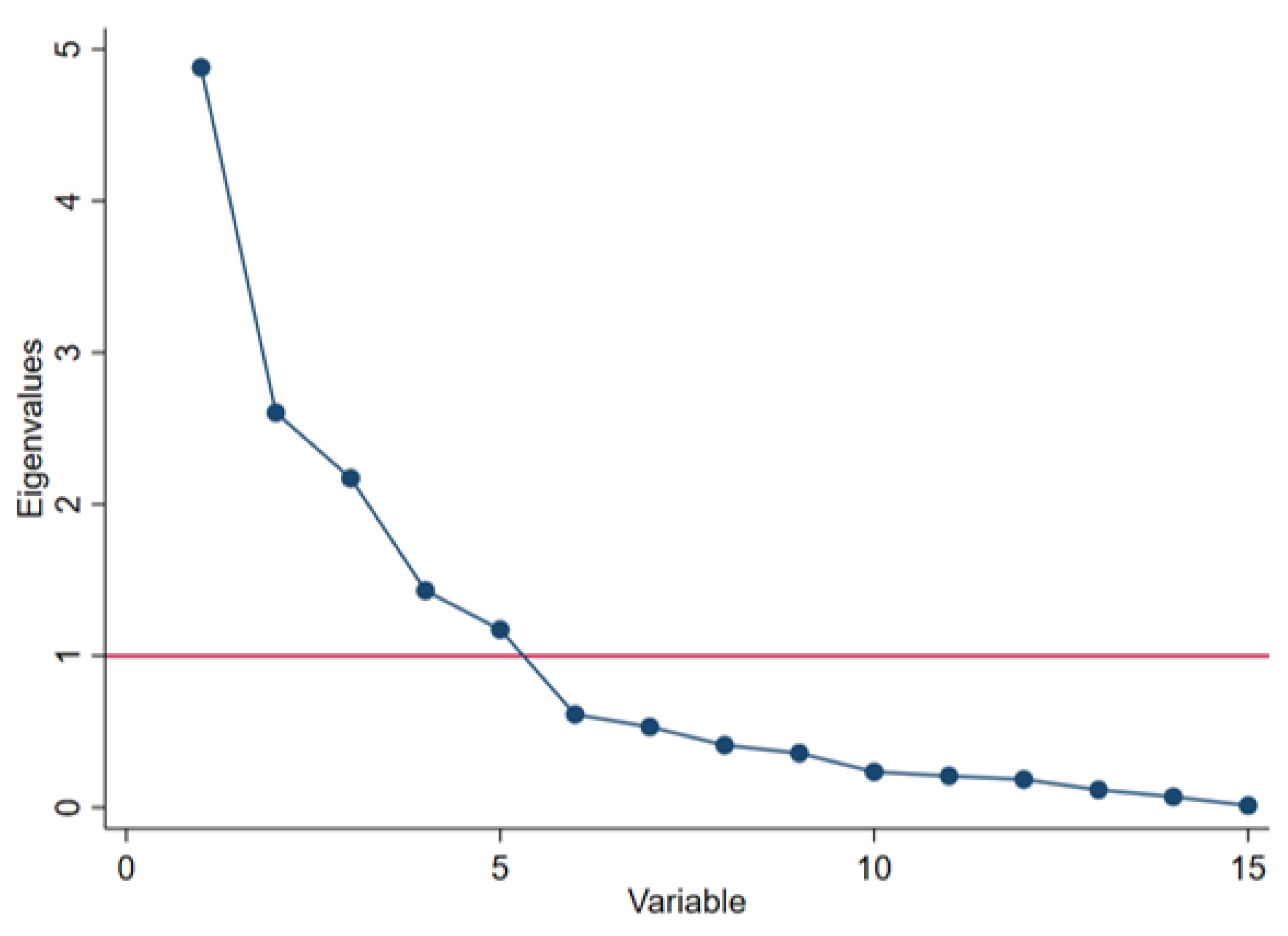
Table A2 extracts the results of variance decomposition analysis for the main components. As shown in Table A2, the eigenvalues of the first five principal components were all greater than 1, and the cumulative contribution rate was 81.70%. According to the principle of principal component eigenvalue extraction, the principal components with an eigenvalue greater than 1 are selected in this paper, that is, the first five principal components are selected. In addition, the gravel diagram (Figure A1) also shows that the first five principal components should be selected.
Figure A1. Gravel diagram. Note: Blue line represents the eigenvalue of each principal component. Red line represents the cumulative explained percentage of variance.
Figure A1. Gravel diagram. Note: Blue line represents the eigenvalue of each principal component. Red line represents the cumulative explained percentage of variance.
Land 14 00669 g0a1
5. Calculate the principal component index. According to the correlation coefficient between the principal component and the initial index, the initial factor loading matrix y m x j a m j (see Table A3) was determined to explain the correlation between the principal component and each evaluation index, and the principal component coefficient matrix and the score of each principal component could be further obtained: γ m j = a m j / λ j y m = γ j m T x j .
Table A3. Factorial load matrix.
Table A3. Factorial load matrix.
VariableComp1Comp2Comp3Comp4Comp5Uniqueness
Sulfur dioxide emissions per unit of energy consumed0.836−0.031−0.3000.0280.2180.161
Smoke (dust) emissions per unit of energy consumption0.6130.4410.247−0.2790.1180.278
Nitrogen oxide emissions per unit of energy consumed0.788−0.055−0.3590.1090.3120.137
Index of the level of low-carbon energy consumption structure0.866−0.1560.267−0.034−0.0750.147
Water resources per capita (cubic meters per person)−0.008−0.4420.2230.7580.1270.164
Energy consumption per capita−0.1290.7770.2610.371−0.0670.170
Growth rate of energy consumption (%)0.3040.175−0.4340.164−0.6290.266
The extent to which clean energy consumption contributes to employment−0.6100.6150.0380.3270.0990.131
The extent to which clean energy consumption contributes to the economy0.4050.676−0.3330.1960.1950.192
Energy consumption structure (coal in total consumption)0.829−0.0950.4760.015−0.1380.058
The degree of concentration of clean energy consumption0.658−0.0640.685−0.053−0.2260.041
The ratio of local fiscal expenditure on environmental protection to GDP−0.158−0.7360.0320.468−0.0190.213
Coal reserves (100 million tons)−0.348−0.377−0.427−0.412−0.0670.380
The rate of increase in total primary energy consumption−0.306−0.0840.439−0.1850.6390.264
Energy efficiency0.655−0.111−0.5750.1690.2480.138
6. Calculate the weights of each principal component. The weights of each principal component were calculated according to the ratio of the variance contribution rate of each principal component to the cumulative variance contribution rate of each principal component θ j (see Table A4).
Table A4. Weights of each principal component.
Table A4. Weights of each principal component.
Principal ComponentWeight
Comp10.398
Comp20.213
Comp30.177
Comp40.116
Comp50.095
7. Measure the ESG index.
E S G i t = y t i j × θ j

References

  1. Chen, S.; Song, Y.; Gao, P. Environmental, social, and governance (ESG) performance and financial outcomes: Analyzing the impact of ESG on financial performance. J. Environ. Manag. 2023, 345, 118829. [Google Scholar] [CrossRef] [PubMed]
  2. Plastun, A.; Makarenko, I.; Khomutenko, L.; Osetrova, O.; Shcherbakov, P. SDGs and ESG disclosure regulation: Is there an impact? Evidence from Top-50 world economies. Probl. Perspect. Manag. 2020, 18, 231–245. [Google Scholar] [CrossRef]
  3. Wu, R.; Lin, B. Environmental regulation and its influence on energy-environmental performance: Evidence on the Porter Hypothesis from China’s iron and steel industry. Resour. Conserv. Recycl. 2022, 176, 105954. [Google Scholar] [CrossRef]
  4. Chen, X.; Chen, M. Energy, environment and industry: Instrumental approaches for environmental regulation on energy efficiency. Environ. Impact Assess. Rev. 2024, 105, 107439. [Google Scholar] [CrossRef]
  5. Liu, M.; Luo, X.; Lu, W.-Z. Public perceptions of environmental, social, and governance (ESG) based on social media data: Evidence from China. J. Clean. Prod. 2023, 387, 135840. [Google Scholar] [CrossRef]
  6. Daugaard, D. Emerging new themes in environmental, social and governance investing: A systematic literature review. Account. Financ. 2020, 60, 1501–1530. [Google Scholar] [CrossRef]
  7. Wang, Z.; Feng, C. The impact and economic cost of environmental regulation on energy utilization in China. Appl. Econ. 2014, 46, 3362–3376. [Google Scholar] [CrossRef]
  8. Ouyang, X.; Li, Q.; Du, K. How does environmental regulation promote technological innovations in the industrial sector? Evidence from Chinese provincial panel data. Energy Policy 2020, 139, 111310. [Google Scholar] [CrossRef]
  9. Pelosi, N.; Adamson, R. Managing the “S” in ESG: The Case of Indigenous Peoples and Extractive Industries. J. Appl. Corp. Financ. 2016, 28, 87–95. [Google Scholar] [CrossRef]
  10. Dong, Y.; Zhang, Y.; Liu, S. The impacts and instruments of energy transition regulations on environmental pollution. Environ. Impact Assess. Rev. 2024, 105, 107448. [Google Scholar] [CrossRef]
  11. Popescu, C.; Hysa, E.; Kruja, A.; Mansi, E. Social Innovation, Circularity and Energy Transition for Environmental, Social and Governance (ESG) Practices—A Comprehensive Review. Energies 2022, 15, 9028. [Google Scholar] [CrossRef]
  12. Guo, R.; Yuan, Y. Different types of environmental regulations and heterogeneous influence on energy efficiency in the industrial sector: Evidence from Chinese provincial data. Energy Policy 2020, 145, 111747. [Google Scholar] [CrossRef]
  13. Baldini, M.; Maso, L.D.; Liberatore, G.; Mazzi, F.; Terzani, S. Role of Country- and Firm-Level Determinants in Environmental, Social, and Governance Disclosure. J. Bus. Ethics 2018, 150, 79–98. [Google Scholar] [CrossRef]
  14. Weber, O. Environmental, Social and Governance Reporting in China. Bus. Strategy Environ. 2014, 23, 303–317. [Google Scholar] [CrossRef]
  15. Chen, Y.; Ren, Y.-S.; Narayan, S.; Huynh, N.Q.A. Does climate risk impact firms’ ESG performance? Evidence from China. Econ. Anal. Policy 2024, 81, 683–695. [Google Scholar] [CrossRef]
  16. Liu, X.; Cifuentes-Faura, J.; Zhao, S.; Wang, L. The impact of government environmental attention on firms’ ESG performance: Evidence from China. Res. Int. Bus. Financ. 2024, 67, 102124. [Google Scholar] [CrossRef]
  17. Cort, T.; Esty, D. ESG Standards: Looming Challenges and Pathways Forward. Organ. Environ. 2020, 33, 491–510. [Google Scholar] [CrossRef]
  18. Barko, T.; Cremers, M.; Renneboog, L. Shareholder Engagement on Environmental, Social, and Governance Performance. J. Bus. Ethics 2022, 180, 777–812. [Google Scholar] [CrossRef]
  19. Zhang, Y.; Zhang, C.; Zhang, S.; Yang, Y.; Lan, K. Insight into the risk-resistant function of ESG performance: An organizational management perspective. Chin. Manag. Stud. 2023, 18, 818–846. [Google Scholar] [CrossRef]
  20. Wu, H.; Hao, Y.; Ren, S. How do environmental regulation and environmental decentralization affect green total factor energy efficiency: Evidence from China. Energy Econ. 2020, 91, 104880. [Google Scholar] [CrossRef]
  21. Bi, G.-B.; Song, W.; Zhou, P.; Liang, L. Does environmental regulation affect energy efficiency in China’s thermal power generation? Empirical evidence from a slacks-based DEA model. Energy Policy 2014, 66, 537–546. [Google Scholar] [CrossRef]
  22. Cek, K.; Eyupoglu, S. Does environmental, social and governance performance influence economic performance? J. Bus. Econ. Manag. 2020, 21, 1165–1184. [Google Scholar] [CrossRef]
  23. Lu, S.; Cheng, B. Does environmental regulation affect firms’ ESG performance? Evidence from China. Manag. Decis. Econ. 2023, 44, 2004–2009. [Google Scholar] [CrossRef]
  24. Zhou, X.; Feng, C. The impact of environmental regulation on fossil energy consumption in China: Direct and indirect effects. J. Clean. Prod. 2017, 142, 3174–3183. [Google Scholar] [CrossRef]
  25. Hamman, P. Local governance of energy transition: Sustainability, transactions and social ties. A case study in Northeast France. Int. J. Sustain. Dev. World Ecol. 2019, 26, 1–10. [Google Scholar] [CrossRef]
  26. Pan, X.; Ai, B.; Li, C.; Pan, X.; Yan, Y. Dynamic relationship among environmental regulation, technological innovation and energy efficiency based on large scale provincial panel data in China. Technol. Forecast. Soc. Change 2019, 144, 428–435. [Google Scholar] [CrossRef]
  27. Lokuwaduge, C.S.D.S.; Heenetigala, K. Integrating Environmental, Social and Governance (ESG) Disclosure for a Sustainable Development: An Australian Study. Bus. Strategy Environ. 2017, 26, 438–450. [Google Scholar] [CrossRef]
  28. Zhao, X.; Yin, H.; Zhao, Y. Impact of environmental regulations on the efficiency and CO2 emissions of power plants in China. Appl. Energy 2015, 149, 238–247. [Google Scholar] [CrossRef]
  29. Zou, Y.; Wang, M. Does environmental regulation improve energy transition performance in China? Environ. Impact Assess. Rev. 2024, 104, 107335. [Google Scholar] [CrossRef]
  30. Wu, H.; Xu, L.; Ren, S.; Hao, Y.; Yan, G. How do energy consumption and environmental regulation affect carbon emissions in China? New evidence from a dynamic threshold panel model. Resour. Policy 2020, 67, 101678. [Google Scholar] [CrossRef]
  31. Pei, Y.; Zhu, Y.; Liu, S.; Wang, X.; Cao, J. Environmental regulation and carbon emission: The mediation effect of technical efficiency. J. Clean. Prod. 2019, 236, 117599. [Google Scholar] [CrossRef]
  32. He, X.; Jing, Q.; Chen, H. The impact of environmental tax laws on heavy-polluting enterprise ESG performance: A stakeholder behavior perspective. J. Environ. Manag. 2023, 344, 118578. [Google Scholar] [CrossRef]
  33. Zhang, Y.; Xiong, Y.; Li, F.; Cheng, J.; Yue, X. Environmental regulation, capital output and energy efficiency in China: An empirical research based on integrated energy prices. Energy Policy 2020, 146, 111826. [Google Scholar] [CrossRef]
  34. Hong, X.; Ning, M.; Chen, Q.; Shi, C.; Wang, N. How does command-and-control environmental regulation impact firm value? A study based on ESG perspective. Environ. Dev. Sustain. 2024. [Google Scholar] [CrossRef]
  35. Zhao, X.; Mahendru, M.; Ma, X.; Rao, A.; Shang, Y. Impacts of environmental regulations on green economic growth in China: New guidelines regarding renewable energy and energy efficiency. Renew. Energy 2022, 187, 728–742. [Google Scholar] [CrossRef]
  36. Huang, D.Z.X. Environmental, social and governance (ESG) activity and firm performance: A review and consolidation. Account. Financ. 2021, 61, 335–360. [Google Scholar] [CrossRef]
  37. Jiang, T.; Zhang, R.; Zhang, F.; Shi, G.; Wang, C. Assessing provincial coal reliance for just low-carbon transition in China. Environ. Impact Assess. Rev. 2023, 102, 107198. [Google Scholar] [CrossRef]
  38. Karwowski, M.; Raulinajtys-Grzybek, M. The application of corporate social responsibility (CSR) actions for mitigation of environmental, social, corporate governance (ESG) and reputational risk in integrated reports. Corp. Soc. Responsib. Environ. Manag. 2021, 28, 1270–1284. [Google Scholar] [CrossRef]
  39. Lèbre, É.; Stringer, M.; Svobodova, K.; Owen, J.R.; Kemp, D.; Côte, C.; Arratia-Solar, A.; Valenta, R.K. The social and environmental complexities of extracting energy transition metals. Nat. Commun. 2020, 11, 4823. [Google Scholar] [CrossRef]
  40. Zhang, Y.; Song, Y. Environmental regulations, energy and environment efficiency of China’s metal industries: A provincial panel data analysis. J. Clean. Prod. 2021, 280, 124437. [Google Scholar] [CrossRef]
  41. Liu, Y.; Li, Z.; Yin, X. Environmental regulation, technological innovation and energy consumption—A cross-region analysis in China. J. Clean. Prod. 2018, 203, 885–897. [Google Scholar] [CrossRef]
  42. Mandal, S.K. Do undesirable output and environmental regulation matter in energy efficiency analysis? Evidence from Indian Cement Industry. Energy Policy 2010, 38, 6076–6083. [Google Scholar] [CrossRef]
  43. Lin, B.; Zhang, A. Can government environmental regulation promote low-carbon development in heavy polluting industries? Evidence from China’s new environmental protection law. Environ. Impact Assess. Rev. 2023, 99, 106991. [Google Scholar] [CrossRef]
  44. Miller, C.A.; Iles, A.; Jones, C.F. The Social Dimensions of Energy Transitions. Sci. Cult. 2013, 22, 135–148. [Google Scholar] [CrossRef]
  45. Martiny, A.; Taglialatela, J.; Testa, F.; Iraldo, F. Determinants of environmental social and governance (ESG) performance: A systematic literature review. J. Clean. Prod. 2024, 456, 142213. [Google Scholar] [CrossRef]
  46. Pinheiro, A.B.; Dos Santos, J.I.A.S.; Cherobim, A.P.M.S.; Segatto, A.P. What drives environmental, social and governance (ESG) performance? The role of institutional quality. Manag. Environ. Qual. Int. J. 2024, 35, 427–444. [Google Scholar] [CrossRef]
  47. Qi, X.; Sun, L.; Hu, Z.; Li, E.; Ning, Z. An applied framework to assess sustainability awareness and corporate misconduct considering just transition. Environ. Impact Assess. Rev. 2023, 103, 107261. [Google Scholar] [CrossRef]
  48. Wang, C.; Wang, J.; Ai, W. Do urbanization, environmental regulation and GDP affect agricultural land use efficiency? Implications for just transition. Environ. Impact Assess. Rev. 2024, 105, 107421. [Google Scholar] [CrossRef]
  49. Sadiq, M.; Ngo, T.Q.; Pantamee, A.A.; Khudoykulov, K.; Thi Ngan, T.; Tan, L.P. The role of environmental social and governance in achieving sustainable development goals: Evidence from ASEAN countries. Econ. Res. -Ekon. Istraživanja 2023, 36, 170–190. [Google Scholar] [CrossRef]
  50. Shu, H.; Tan, W. Does carbon control policy risk affect corporate ESG performance? Econ. Model. 2023, 120, 106148. [Google Scholar] [CrossRef]
  51. Singhania, M.; Saini, N. Quantification of ESG Regulations: A Cross-Country Benchmarking Analysis. Vision: J. Bus. Perspect. 2022, 26, 163–171. [Google Scholar] [CrossRef]
  52. Xu, B.; Xu, R. Assessing the role of environmental regulations in improving energy efficiency and reducing CO2 emissions: Evidence from the logistics industry. Environ. Impact Assess. Rev. 2022, 96, 106831. [Google Scholar] [CrossRef]
  53. Wang, L.; Le, Q.; Peng, M.; Zeng, H.; Kong, L. Does central environmental protection inspection improve corporate environmental, social, and governance performance? Evidence from China. Bus. Strategy Environ. 2023, 32, 2962–2984. [Google Scholar] [CrossRef]
  54. Xue, Q.; Wang, H.; Ji, X.; Wei, J. Local government centralization and corporate ESG performance: Evidence from China’s county-to-district reform. China J. Account. Res. 2023, 16, 100314. [Google Scholar] [CrossRef]
  55. Yang, C.; Yang, R.; Zhou, Y.; Liu, Z. E, S, and G, not ESG: Heterogeneous effects of environmental, social, and governance disclosure on green innovation. Corp. Soc. Responsib. Environ. Manag. 2024, 31, 1220–1238. [Google Scholar] [CrossRef]
  56. Wang, X.; Zhang, R.; Jiang, T. Energy justice and decarbonization: A critical assessment for just energy transition in China. Environ. Impact Assess. Rev. 2024, 105, 107420. [Google Scholar] [CrossRef]
  57. Sinha, A.; Bekiros, S.; Hussain, N.; Nguyen, D.K.; Khan, S.A. How social imbalance and governance quality shape policy directives for energy transition in the OECD countries? Energy Econ. 2023, 120, 106642. [Google Scholar] [CrossRef]
  58. Wang, Y.; Deng, X.; Zhang, H.; Liu, Y.; Yue, T.; Liu, G. Energy endowment, environmental regulation, and energy efficiency: Evidence from China. Technol. Forecast. Soc. Change 2022, 177, 121528. [Google Scholar] [CrossRef]
  59. Xie, J.; Nozawa, W.; Yagi, M.; Fujii, H.; Managi, S. Do environmental, social, and governance activities improve corporate financial performance? Bus. Strategy Environ. 2019, 28, 286–300. [Google Scholar] [CrossRef]
  60. Yin, J.; Zheng, M.; Chen, J. The effects of environmental regulation and technical progress on CO2 Kuznets curve: An evidence from China. Energy Policy 2015, 77, 97–108. [Google Scholar] [CrossRef]
  61. Yuan, B.; Ren, S.; Chen, X. Can environmental regulation promote the coordinated development of economy and environment in China’s manufacturing industry?—A panel data analysis of 28 sub-sectors. J. Clean. Prod. 2017, 149, 11–24. [Google Scholar] [CrossRef]
  62. Zhang, D.; Meng, L.; Zhang, J. Environmental subsidy disruption, skill premiums and ESG performance. Int. Rev. Financ. Anal. 2023, 90, 102862. [Google Scholar] [CrossRef]
  63. Li, Y.; Zhang, R. A Review of Water-Energy-Food Nexus Development in a Just Energy Transition. Energies 2023, 16, 6253. [Google Scholar] [CrossRef]
  64. Bainton, N.; Kemp, D.; Lèbre, E.; Owen, J.R.; Marston, G. The energy-extractives nexus and the just transition. Sustain. Dev. 2021, 29, 624–634. [Google Scholar] [CrossRef]
  65. Zhang, R.; Worden, S.; Xu, J.; Owen, J.R.; Shi, G. Social stability risk assessment and economic competitiveness in China. Humanit. Soc. Sci. Commun. 2022, 9, 309. [Google Scholar] [CrossRef]
  66. Cao, Y.; Mi, W.; Zhang, R. Provincial ESG performance in China: Evolution trends and the role of environmental regulation. Environ. Impact Assess. Rev. 2024, 107, 107570. [Google Scholar] [CrossRef]
  67. Svobodova, K.; Owen, J.R.; Kemp, D.; Moudrý, V.; Lèbre, É.; Stringer, M.; Sovacool, B.K. Decarbonization, population disruption and resource inventories in the global energy transition. Nat. Commun. 2022, 13, 7674. [Google Scholar] [CrossRef]
  68. Garcia-Zavala, C.; Ordens, C.M.; Pagliero, L.; Lèbre, É.; Aitken, D.; Stringer, M. An approach for prioritising environmental, social and governance (ESG) water-related risks for the mining industry: The case of Chile. Extr. Ind. Soc. 2023, 14, 101259. [Google Scholar] [CrossRef]
  69. Long, H.; Feng, G. Does national ESG performance curb greenhouse gas emissions? Innov. Green Dev. 2024, 3, 100138. [Google Scholar] [CrossRef]
  70. Lawley, C.J.M.; Haynes, M.; Chudasama, B.; Goodenough, K.; Eerola, T.; Golev, A.; Zhang, S.E.; Park, J.; Lèbre, E. Geospatial Data and Deep Learning Expose ESG Risks to Critical Raw Materials Supply: The Case of Lithium. Earth Sci. Syst. Soc. 2024, 4, 10109. [Google Scholar] [CrossRef]
Figure 1. Research framework.
Figure 1. Research framework.
Land 14 00669 g001
Figure 2. Three-dimensional kernel density estimation and heatmap of ESG risks. Above: Three-dimensional kernel density (note: over time, the level of ESG has gradually increased, but the differences between ESGs in different regions show a trend of decreasing fluctuations). Below: Heatmap (note: Beijing, Tianjin, Shanghai, Zhejiang, Fujian, Guangdong, and Hainan with blue lines show the absolute high for ESG).
Figure 2. Three-dimensional kernel density estimation and heatmap of ESG risks. Above: Three-dimensional kernel density (note: over time, the level of ESG has gradually increased, but the differences between ESGs in different regions show a trend of decreasing fluctuations). Below: Heatmap (note: Beijing, Tianjin, Shanghai, Zhejiang, Fujian, Guangdong, and Hainan with blue lines show the absolute high for ESG).
Land 14 00669 g002
Figure 3. Spatial–temporal evolution of provincial ESG risks over the past 16 years.
Figure 3. Spatial–temporal evolution of provincial ESG risks over the past 16 years.
Land 14 00669 g003aLand 14 00669 g003b
Figure 4. Parallel trend test results.
Figure 4. Parallel trend test results.
Land 14 00669 g004
Figure 5. Density function diagram of propensity score values before and after matching. Left: Before; Right: After. Note: The meaning of Figure 4 is that compared with before matching, the treatment group and the control group are closer after matching, which also shows that the matching is effective.
Figure 5. Density function diagram of propensity score values before and after matching. Left: Before; Right: After. Note: The meaning of Figure 4 is that compared with before matching, the treatment group and the control group are closer after matching, which also shows that the matching is effective.
Land 14 00669 g005
Table 1. ESG risk evaluation index system.
Table 1. ESG risk evaluation index system.
TargetDimensionsDefinitionIndicatorsPositive/NegativeSources
ESG risksEnvironmental systemPotential negative impacts of human activities on the natural environment within a specific region.Sulfur dioxide emissions per unit of energy consumptionNegative[33,34]
Smoke (powder) dust emissions per unit of energy consumptionNegative[35]
Nitrogen oxide emissions per unit of energy consumptionNegative[36,37,38]
Energy consumption low-carbonization indexPositive[39,40]
Per-capita water resource stockPositive[10,11]
Social systemSocietal impacts that can arise from economic, political, and environmental actions at the regional level.Energy consumption per capitaNegative[20]
Energy consumption growth rateNegative[33,34]
Contribution of clean energy consumption to employmentPositive[2,3]
Contribution of clean energy consumption to the economyPositive[5]
Coal energy consumption shareNegative[16,17]
Governance systemPotential for weak or ineffective governance structures to negatively affect the region’s economic and social outcomes in the WELF nexus.The degree of agglomeration of clean energy consumptionPositive[18,19]
Government investment in environmental protectionPositive[41,42]
Coal reservesPositive[33,36]
Growth rate of total primary energy consumptionPositive[22,35]
Energy efficiencyPositive[43]
Table 2. Descriptive statistics of core variables.
Table 2. Descriptive statistics of core variables.
Variable SymbolVariable MeaningSample SizeMeanStandard DeviationMinimumMaximum
ESGESG risks4800.0000.994−3.2522.537
lntecTechnology improvement4809.9031.6275.40713.895
lnupiIndustrial structural upgrade4801.2160.0371.1421.344
lnredResource endowment dependence4802.3471.0720.0954.644
lnpgdpEconomic development level48010.6610.5888.96712.158
lnindusIndustrialization level4800.2970.0640.0950.453
lnurbanUrbanization rate4804.0450.2273.3764.506
lnmarketMarketization level4802.1490.2241.4722.595
lnopenLevel of openness to the outside world4801.8140.8120.5706.661
lnerIntensity of environmental regulation4800.3620.3040.0001.277
Table 3. Baseline regression results.
Table 3. Baseline regression results.
VariablesDependent Variable: ESG Risks
(1)(2)(3)(4)
Treat × Time0.547 ***0.707 ***0.422 ***0.372 ***
(0.146)(0.123)(0.112)(0.105)
lnpgdp 0.748 ***0.878 ***1.117 ***
(0.096)(0.153)(0.143)
lnindus −6.199 ***−7.667 ***−4.884 ***
(0.493)(0.452)(0.508)
lnurban −1.484 ***−2.595 ***
(0.282)(0.285)
lnmarket 1.935 ***1.877 ***
(0.189)(0.177)
lnopen 0.135 ***
(0.050)
lner −0.881 ***
(0.104)
Cons−0.136−5.722 ***−4.945 ***−3.601 ***
(0.138)(0.989)(0.878)(0.824)
N480480480480
R20.4980.6550.7330.777
Year fixed effectsControlControlControlControl
Region fixed effectsControlControlControlControl
Note: *** indicates that they have passed the significance test at the 1% levels; the values in parentheses are robust standard errors.
Table 4. Balance test of each variable before and after propensity value matching.
Table 4. Balance test of each variable before and after propensity value matching.
VariableBefore and After Matching (BM/AM)Experimental GroupControl GroupDeviationDeviation Change Range (%)
lnpgdpBM10.77610.64323.200
AM10.84310.8213.80083.600
lnindusBM0.3290.29268.900
AM0.3250.3232.60096.200
lnurbanBM4.0134.050−16.800
AM4.0464.0364.40073.600
lnmarketBM2.2972.12694.500
AM2.3112.3072.60097.200
lnopenBM1.7031.831−18.300
AM1.7771.7513.80079.300
lnerBM0.4770.34450.700
AM0.4670.468−0.60098.800
Table 5. PSM-DID estimation results.
Table 5. PSM-DID estimation results.
Variable(1)(2)
Treat × Time0.545 ***0.396 ***
(0.156)(0.111)
Cons−0.130−3.557 ***
(0.140)(0.833)
N480480
R20.4960.776
Control variablesNoYes
Year fixed effectsControlControl
Region fixed effectsControlControl
Note: *** indicates that they have passed the significance test at the 1% levels; the values in parentheses are robust standard errors.
Table 6. Heterogeneity analysis.
Table 6. Heterogeneity analysis.
VariableDependent Variable: ESG Risks
East (1)Middle and West (2)
Treat × Time0.657 ***0.410 ***
(0.144)(0.142)
Control variableYesYes
con−3.909 ***−2.482 *
(1.180)(1.315)
N176304
R20.8000.710
Note: *, and *** indicates that they have passed the significance test at the 10%, and 1% levels, respectively.
Table 7. Estimated path results of the impact of energy structure transformation policies on ESG risks.
Table 7. Estimated path results of the impact of energy structure transformation policies on ESG risks.
VariablelnteclnupilnredESGESGESG
(1)(2)(3)(4)(5)(6)
Treat × Time0.324 *0.014 **−0.499 ***0.529 ***0.612 ***0.347 ***
(0.173)(0.007)(0.178)(0.107)(0.141)(0.099)
lntec 0.247 ***
(0.041)
lnupi 1.993 ***
(0.317)
lnred −0.302 ***
(0.026)
Control variableYesYesYesYesYesYes
con−9.373 ***1.215 ***8.700 ***−3.402 ***−4.870 ***−2.469 ***
(1.366)(0.002)(1.381)(0.879)(0.764)(0.789)
N480480480480480480
R20.7550.5340.4330.7620.5380.803
Note: *, **, and *** indicates that they have passed the significance test at the 10%, 5%, and 1% levels, respectively.
Table 8. Dynamic effects of energy transition policies on ESG risks.
Table 8. Dynamic effects of energy transition policies on ESG risks.
VariableESG Risks
Treat * 20160.740 *
(0.414)
Treat * 20170.874 **
(0.414)
Treat * 20180.971 **
(0.414)
Treat * 20191.052 **
(0.414)
Treat * 20201.095 ***
(0.414)
Treat * 20211.112 ***
(0.414)
Treat * 20221.077 ***
(0.414)
CONS0.601 ***
(0.063)
R20.759
Control variableYes
N480
Note: *, **, and *** indicates that they have passed the significance test at the 10%, 5%, and 1% levels, respectively.
Disclaimer/Publisher’s Note: The statements, opinions and data contained in all publications are solely those of the individual author(s) and contributor(s) and not of MDPI and/or the editor(s). MDPI and/or the editor(s) disclaim responsibility for any injury to people or property resulting from any ideas, methods, instructions or products referred to in the content.

Share and Cite

MDPI and ACS Style

Chen, H.; Wang, C. Assessing Environmental, Social, and Governance Risks in the Water, Energy, Land, and Food Nexus, Towards a Just Transition to Sustainable Energy in China. Land 2025, 14, 669. https://doi.org/10.3390/land14040669

AMA Style

Chen H, Wang C. Assessing Environmental, Social, and Governance Risks in the Water, Energy, Land, and Food Nexus, Towards a Just Transition to Sustainable Energy in China. Land. 2025; 14(4):669. https://doi.org/10.3390/land14040669

Chicago/Turabian Style

Chen, Hongyu, and Chen Wang. 2025. "Assessing Environmental, Social, and Governance Risks in the Water, Energy, Land, and Food Nexus, Towards a Just Transition to Sustainable Energy in China" Land 14, no. 4: 669. https://doi.org/10.3390/land14040669

APA Style

Chen, H., & Wang, C. (2025). Assessing Environmental, Social, and Governance Risks in the Water, Energy, Land, and Food Nexus, Towards a Just Transition to Sustainable Energy in China. Land, 14(4), 669. https://doi.org/10.3390/land14040669

Note that from the first issue of 2016, this journal uses article numbers instead of page numbers. See further details here.

Article Metrics

Back to TopTop