Quantifying Land Subsidence Probability and Intensity Using Weighted Bayesian Modeling in Shanghai, China
Abstract
1. Introduction
2. Data and Methods
2.1. Study Area
2.2. Data
2.3. Data Preprocessing
2.3.1. Indicators and Independence Analysis
2.3.2. Indicator Rating
- [1]
- Confined Aquifers
- [2]
- Thickness of Soft Soil Layers
- [3]
- Intensity of Construction Activity
- [4]
- Land Reclamation Areas
- [5]
- Cumulative Land Subsidence
2.4. Methods
2.4.1. Defining the Scenarios
2.4.2. Weighted Bayesian Network Model
2.4.3. Weight Computation
2.4.4. Sensitivity Analysis
2.4.5. Land Subsidence Hazard Matrix
3. Results
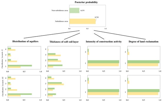
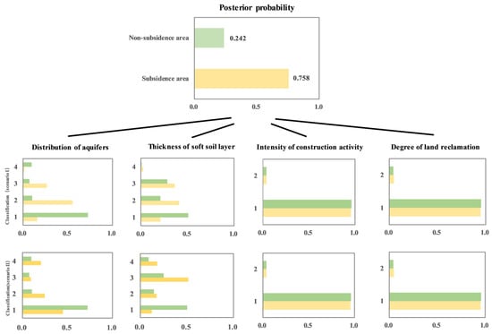
3.1. Probability ofIndicators Under Two Scenarios
3.2. Spatial Distribution of Land Subsidence Probability
3.3. Hazard Zoning of Land Subsidence
4. Discussion
4.1. Sensitivity Analysis
4.2. Uncertainties
4.3. Recommendations
5. Conclusions
Author Contributions
Funding
Data Availability Statement
Conflicts of Interest
References
- Bagheri-Gavkosh, M.; Hosseini, S.M.; Ataie-Ashtiani, B.; Sohani, Y.; Ebrahimian, H.; Morovat, F.; Ashrafi, S. Land subsidence: A global challenge. Sci. Total Environ. 2021, 778, 146193. [Google Scholar] [CrossRef] [PubMed]
- He, X.-C.; Yang, T.-L.; Shen, S.-L.; Xu, Y.-S.; Arulrajah, A. Land Subsidence Control Zone and Policy for the Environmental Protection of Shanghai. Int. J. Environ. Res. Public Health 2019, 16, 2729. [Google Scholar] [CrossRef]
- Wang, H.-M.; Wang, Y.; Jiao, X.; Qian, G.-R. Risk management of land subsidence in Shanghai. Desalination Water Treat 2014, 52, 1122–1129. [Google Scholar] [CrossRef]
- Gambolati, G.; Teatini, P. Geomechanics of subsurface water withdrawal and injection. Water Resour. Res. 2015, 51, 3922–3955. [Google Scholar] [CrossRef]
- Xu, Y.-S.; Ma, L.; Du, Y.-J.; Shen, S.-L. Analysis of urbanization induced land subsidence in Shanghai. Nat. Hazards 2012, 63, 1255–1267. [Google Scholar] [CrossRef]
- García, A.J.; Bakon, M.; Martínez, R.; Marchamalo, M. Evolution of urban monitoring with radar interferometry in Madrid City: Performance of ERS-1/ERS-2, ENVISAT, COSMO-SkyMed, and Sentinel-1 products. Int. J. Remote Sens. 2018, 39, 2969–2990. [Google Scholar] [CrossRef]
- Pratesi, F.; Tapete, D.; Del Ventisette, C.; Moretti, S. Mapping interactions between geology, subsurface resource exploitation and urban development in transforming cities using InSAR Persistent Scatterers: Two decades of change in Florence, Italy. Appl. Geogr. 2016, 77, 20–37. [Google Scholar] [CrossRef]
- Zhu, L.; Gong, H.; Li, X.; Wang, R.; Chen, B.; Dai, Z.; Teatini, P. Land subsidence due to groundwater withdrawal in the northern Beijing plain, China. Eng. Geol. 2015, 193, 243–255. [Google Scholar] [CrossRef]
- Zhang, Y.; Liu, Y.; Jin, M.; Jing, Y.; Liu, Y.; Liu, Y.; Sun, W.; Wei, J.; Chen, Y. Monitoring Land Subsidence in Wuhan City (China) using the SBAS-InSAR Method with Radarsat-2 Imagery Data. Sensors 2019, 19, 743. [Google Scholar] [CrossRef]
- Herrera-García, G.; Ezquerro, P.; Tomás, R.; Béjar-Pizarro, M.; López-Vinielles, J.; Rossi, M.; Mateos, R.M.; Carreón-Freyre, D.; Lambert, J.; Teatini, P.; et al. Mapping the global threat of land subsidence. Science 2021, 371, 34–36. [Google Scholar] [CrossRef] [PubMed]
- Nicholls, R.J.; Lincke, D.; Hinkel, J.; Brown, S.; Vafeidis, A.T.; Meyssignac, B.; Hanson, S.E.; Merkens, J.-L.; Fang, J. A global analysis of subsidence, relative sea-level change and coastal flood exposure. Nat. Clim. Change 2021, 11, 338–342. [Google Scholar] [CrossRef]
- Déguénon, S.D.D.M.; Adade, R.; Teka, O.; Aheto, D.W.; Sinsin, B. Sea-level rise and flood mapping: A review of models for coastal management. Nat. Hazards 2024, 120, 2155–2178. [Google Scholar] [CrossRef]
- Thiéblemont, R.; Le Cozannet, G.; Rohmer, J.; Privat, A.; Guidez, R.; Negulescu, C.; Philippenko, X.; Luijendijk, A.; Calkoen, F.; Nicholls, R.J. Sea-level rise induced change in exposure of low-lying coastal land: Implications for coastal conservation strategies. Anthr. Coasts 2024, 7, 8. [Google Scholar] [CrossRef]
- Shirzaei, M.; Freymueller, J.; Törnqvist, T.E.; Galloway, D.L.; Dura, T.; Minderhoud, P.S. Measuring, modelling and projecting coastal land subsidence. Nat. Rev. Earth Environ. 2021, 2, 40–58. [Google Scholar] [CrossRef]
- Ao, Z.; Hu, X.; Tao, S. A national-scale assessment of land subsidence in China’s major cities. Science 2024, 384, 301–306. [Google Scholar] [CrossRef] [PubMed]
- Pedretti, L.; Giarola, A.; Korff, M.; Lambert, J.; Meisina, C. Comprehensive database of land subsidence in 143 major coastal cities around the world: Overview of issues, causes, and future challenges. Front. Earth Sci. 2024, 12, 1351581. [Google Scholar] [CrossRef]
- Abidin, H.Z.; Gumilar, I.; Andreas, H.; Murdohardono, D.; Fukuda, Y. On causes and impacts of land subsidence in Bandung Basin, Indonesia. Environ. Earth Sci. 2013, 68, 1545–1553. [Google Scholar] [CrossRef]
- Calderhead, A.I.; Therrien, R.; Rivera, A.; Martel, R.; Garfias, J. Simulating pumping-induced regional land subsidence with the use of InSAR and field data in the Toluca Valley, Mexico. Adv. Water Resour. 2011, 34, 83–97. [Google Scholar] [CrossRef]
- Li, M.; Wu, W.; Wang, J.; Che, Z.; Xie, Y. Simulating and mapping the risk of surge floods in multiple typhoon scenarios: A case study of Yuhuan County, Zhejiang Province, China. Stoch. Environ. Res. Risk Assess 2017, 31, 645–659. [Google Scholar] [CrossRef]
- Ma, T.; Du, Y.; Ma, R.; Xiao, C.; Liu, Y. Review: Water–rock interactions and related eco-environmental effects in typical land subsidence zones of China. Hydrogeol. J. 2018, 26, 1339–1349. [Google Scholar] [CrossRef]
- Ye, S.; Xue, Y.; Wu, J.; Yan, X.; Yu, J. Progression and mitigation of land subsidence in China. Hydrogeol. J. 2016, 24, 685–693. [Google Scholar] [CrossRef]
- Modoni, G.; Darini, G.; Spacagna, R.L.; Saroli, M.; Russo, G.; Croce, P. Spatial analysis of land subsidence induced by groundwater withdrawal. Eng. Geol. 2013, 167, 59–71. [Google Scholar] [CrossRef]
- Xu, Y.-S.; Shen, S.-L.; Cai, Z.-Y.; Zhou, G.-Y. The state of land subsidence and prediction approaches due to groundwater withdrawal in China. Nat. Hazards 2008, 45, 123–135. [Google Scholar] [CrossRef]
- Cigna, F.; Tapete, D. Satellite InSAR survey of structurally-controlled land subsidence due to groundwater exploitation in the Aguascalientes Valley, Mexico. Remote Sens. Environ. 2021, 254, 112254. [Google Scholar] [CrossRef]
- Kim, J.; Kim, D.-J.; Kim, S.-W.; Won, J.-S.; Moon, W.M. Monitoring of urban land surface subsidence using PSInSAR. Geosci. J. 2007, 11, 59–73. [Google Scholar] [CrossRef]
- Zhao, C.Y.; Zhang, Q.; Ding, X.L.; Lu, Z.; Yang, C.S.; Qi, X.M. Monitoring of land subsidence and ground fissures in Xian, China 2005–2006: Mapped by SAR interferometry. Environ. Geol. 2009, 58, 1533–1540. [Google Scholar] [CrossRef]
- Hu, R.L.; Yue, Z.Q.; Wang, L.C.; Wang, S.J. Review on current status and challenging issues of land subsidence in China. Eng. Geol. 2004, 76, 65–77. [Google Scholar] [CrossRef]
- Fan, J.X. Zoning evaluation of land subsidence risk in Chengbei District of Xining City by hierarchical analysis method. Inn. Mong. Sci. Technol. Econ. 2020, 20, 103–105. (In Chinese) [Google Scholar]
- Sundell, J.; Haaf, E.; Norberg, T.; Alén, C.; Karlsson, M.; Rosén, L. Risk Mapping of Groundwater-Drawdown-Induced Land Subsidence in Heterogeneous Soils on Large Areas. Risk Anal. 2019, 39, 105–124. [Google Scholar] [CrossRef]
- Oh, H.-J.; Ahn, S.-C.; Choi, J.-K.; Lee, S. Sensitivity analysis for the GIS-based mapping of the ground subsidence hazard near abandoned underground coal mines. Environ. Earth Sci. 2011, 64, 347–358. [Google Scholar] [CrossRef]
- Bhattarai, R.; Kondoh, A. Risk Assessment of Land Subsidence in Kathmandu Valley, Nepal, Using Remote Sensing and GIS. Adv. Remote Sens. 2017, 6, 132–146. [Google Scholar] [CrossRef]
- Huang, J.; Shen, S.; Cheng, C.; Song, C. Prefecture-level health risk assessment for hot extremes in China. Int. J. Disaster Risk Reduct. 2024, 108, 104561. [Google Scholar] [CrossRef]
- Li, M.-G.; Chen, J.-J.; Xu, Y.-S.; Tong, D.-G.; Cao, W.-W.; Shi, Y.-J. Effects of groundwater exploitation and recharge on land subsidence and infrastructure settlement patterns in Shanghai. Eng. Geol. 2021, 282, 105995. [Google Scholar] [CrossRef]
- Yang, Y.; Zheng, F.; Liu, L.; Dou, Y.; Jia, S. Susceptibility zoning and control measures on land subsidence caused by groundwater exploitation. Geol. China 2013, 40, 653–658. [Google Scholar]
- Mohebbi Tafreshi, G.; Nakhaei, M.; Lak, R. Land subsidence risk assessment using GIS fuzzy logic spatial modeling in Varamin aquifer, Iran. GeoJournal 2021, 86, 1203–1223. [Google Scholar] [CrossRef]
- Dai, Z.; Viswanathan, H.; Middleton, R.; Pan, F.; Ampomah, W.; Yang, C.; Jia, W.; Xiao, T.; Lee, S.-Y.; McPherson, B.; et al. CO2 Accounting and Risk Analysis for CO2 Sequestration at Enhanced Oil Recovery Sites. Environ. Sci. Technol. 2016, 50, 7546–7554. [Google Scholar] [CrossRef] [PubMed]
- Liu, J.; Xu, X.; Zou, C.; Lin, N.; Zhang, K.; Shan, N.; Zhang, H.; Liu, R. A Bayesian network-GIS probabilistic model for addressing human disturbance risk to ecological conservation redline areas. J. Environ. Manag. 2023, 344, 118400. [Google Scholar] [CrossRef] [PubMed]
- Ren, J.; Jenkinson, I.; Wang, J.; Xu, D.L.; Yang, J.B. An Offshore Risk Analysis Method Using Fuzzy Bayesian Network. J. Offshore Mech. Arct. Eng. 2009, 131, 041101. [Google Scholar] [CrossRef]
- McDonald, K.S.; Tighe, M.; Ryder, D.S. An ecological risk assessment for managing and predicting trophic shifts in estuarine ecosystems using a Bayesian network. Environ. Model. Softw. 2016, 85, 202–216. [Google Scholar] [CrossRef]
- Gariano, S.L.; Brunetti, M.T.; Iovine, G.; Melillo, M.; Peruccacci, S.; Terranova, O.; Vennari, C.; Guzzetti, F. Calibration and validation of rainfall thresholds for shallow landslide forecasting in Sicily, southern Italy. Geomorphology 2015, 228, 653–665. [Google Scholar] [CrossRef]
- Jaiswal, P.; Van Westen, C.J. Estimating temporal probability for landslide initiation along transportation routes based on rainfall thresholds. Geomorphology 2009, 112, 96–105. [Google Scholar] [CrossRef]
- Peruccacci, S.; Brunetti, M.T.; Gariano, S.L.; Melillo, M.; Rossi, M.; Guzzetti, F. Rainfall thresholds for possible landslide occurrence in Italy. Geomorphology 2017, 290, 39–57. [Google Scholar] [CrossRef]
- Hanea, D.; Ale, B. Risk of human fatality in building fires: A decision tool using Bayesian networks. Fire Saf. J. 2009, 44, 704–710. [Google Scholar] [CrossRef]
- Han, S.; Coulibaly, P. Bayesian flood forecasting methods: A review. J. Hydrol. 2017, 551, 340–351. [Google Scholar] [CrossRef]
- Harris, M.J.; Stinson, J.; Landis, W.G. A Bayesian Approach to Integrated Ecological and Human Health Risk Assessment for the South River, Virginia Mercury-Contaminated Site. Risk Anal. 2017, 37, 1341–1357. [Google Scholar] [CrossRef] [PubMed]
- Wang, F.; Li, J.; Shi, P.; Shang, Z.; Li, Y.; Wang, H. The impact of sea-level rise on the coast of Tianjin-Hebei, China. China Geol. 2019, 2, 26–39. [Google Scholar] [CrossRef]
- Yang, T.; Yan, X.; Huang, X.; Wu, J. Integrated management of groundwater exploitation and recharge in Shanghai based on land subsidence control. Proc. Int. Assoc. Hydrol. Sci. 2020, 382, 831–836. [Google Scholar] [CrossRef]
- Shen, S.-L.; Xu, Y.-S. Numerical evaluation of land subsidence induced by groundwater pumping in Shanghai. Can. Geo. J. 2011, 48, 1378–1392. [Google Scholar] [CrossRef]
- Zhang, Z.; Hu, C.; Wu, Z.; Zhang, Z.; Yang, s.; Yang, W. Monitoring and analysis of ground subsidence in Shanghai based on PS-InSAR and SBAS-InSAR technologies. Sci. Rep. 2023, 13, 8031. [Google Scholar] [CrossRef] [PubMed]
- Bajjali, W. Map Classification and Layout. In ArcGIS for Environmental and Water Issues; Bajjali, W., Ed.; Springer International Publishing: Cham, Switzerland, 2018; pp. 25–40. [Google Scholar] [CrossRef]
- Johnson, K.; Depietri, Y.; Breil, M. Multi-hazard risk assessment of two Hong Kong districts. Int. J. Disaster Risk Reduct. 2016, 19, 311–323. [Google Scholar] [CrossRef]
- Liu, F.; Xu, E.; Zhang, H. Assessing typhoon disaster mitigation capacity and its uncertainty analysis in Hainan, China. Nat. Hazards 2024, 120, 9401–9420. [Google Scholar] [CrossRef]
- Totaro, F.; Alberico, I.; Di Martire, D.; Nunziata, C.; Petrosino, P. The key role of hazard indices and hotspot in disaster risk management: The case study of Napoli and Pozzuoli municipalities (Southern Italy). J. Maps 2020, 16, 68–78. [Google Scholar] [CrossRef]
- Zhao, L.; Wen, J.; Wan, C.; Li, L.; Chen, Y.; Zhang, H.; Liu, H.; Yan, J.; Liu, J.; Tian, T.; et al. Disaster loss index development and comprehensive assessment: A case study of Shanghai. Ecol. Indic. 2024, 166, 112497. [Google Scholar] [CrossRef]
- Gu, X.; Guo, J. A feature subset selection algorithm based on equal interval division and three-way interaction information. Soft Comput. 2021, 25, 8785–8795. [Google Scholar] [CrossRef]
- Korb, K.B.; Nicholson, A.E. Bayesian Artificial Intelligence; CRC Press: Boca Raton, FL, USA, 2003. [Google Scholar]
- García-Lapresta, J.L.; González Del Pozo, R. Using scoring functions in a group decision-making procedure with heterogeneous experts and qualitative assessments. Int. J. Approx. Reason. 2023, 161, 109004. [Google Scholar] [CrossRef]













| Soil Layer | Soil Types | Characterization | Thicknesses (m) |
|---|---|---|---|
| ① | Landfill | Low bearing capacity, uneven, suitable for farming but poor for engineering applications | 1–20 |
| ② | Silty clay | Highly compressible, highwater content, common near river channels | 1–20 |
| ③ + ④ | Silty clayey soil (Soft soil) | High compressibility, low permeability, a sensitive layer for land subsidence | 5–45 |
| ⑤ | Clayey soil | High compressibility, low permeability, some blockage of groundwater flow | 20–50 |
| ⑥ | Yellow clayey soil | Highly permeable, shallow pressurized aquifer | 2–60 |
| ⑦ | Sandy chalky soil | Low permeability, mainly in deeper strata | 5–10 |
| ⑧ | Grey clayey soil interbedded with chalky soil | Good permeability, abundant groundwater resources | 5–40 |
| ⑨ | Sandy soil | Acts as a protective underlying aquifer | 5–20 |
| Pressurized Aquifer I | High Water Storage Capacity, a Primary Extractive Layer, Vulnerable to Over-Extraction | Thicknesses (m) |
|---|---|---|
| Pressurized aquifer II | Deeply buried and protected by a water barrier | 10–50 |
| Pressurized aquifer III | High permeability, abundant water storage | 10–40 |
| Pressurized aquifer IV | Deeply buried, with limited water resource | 10–50 |
| Pressurized aquifer V | Controlled by bedrock, deeply buried | 20–50 |
| Pressurized aquifer I | High water storage capacity, a primary extractive layer, vulnerable to over-extraction | 20–50 |
Disclaimer/Publisher’s Note: The statements, opinions and data contained in all publications are solely those of the individual author(s) and contributor(s) and not of MDPI and/or the editor(s). MDPI and/or the editor(s) disclaim responsibility for any injury to people or property resulting from any ideas, methods, instructions or products referred to in the content. |
© 2025 by the authors. Licensee MDPI, Basel, Switzerland. This article is an open access article distributed under the terms and conditions of the Creative Commons Attribution (CC BY) license (https://creativecommons.org/licenses/by/4.0/).
Share and Cite
Jin, C.; Zhan, Q.; Shi, Y.; Wan, C.; Zhang, H.; Zhao, L.; Liu, J.; Tian, T.; Liu, Z.; Wen, J. Quantifying Land Subsidence Probability and Intensity Using Weighted Bayesian Modeling in Shanghai, China. Land 2025, 14, 470. https://doi.org/10.3390/land14030470
Jin C, Zhan Q, Shi Y, Wan C, Zhang H, Zhao L, Liu J, Tian T, Liu Z, Wen J. Quantifying Land Subsidence Probability and Intensity Using Weighted Bayesian Modeling in Shanghai, China. Land. 2025; 14(3):470. https://doi.org/10.3390/land14030470
Chicago/Turabian StyleJin, Chengming, Qing Zhan, Yujin Shi, Chengcheng Wan, Huan Zhang, Luna Zhao, Jianli Liu, Tongfei Tian, Zilong Liu, and Jiahong Wen. 2025. "Quantifying Land Subsidence Probability and Intensity Using Weighted Bayesian Modeling in Shanghai, China" Land 14, no. 3: 470. https://doi.org/10.3390/land14030470
APA StyleJin, C., Zhan, Q., Shi, Y., Wan, C., Zhang, H., Zhao, L., Liu, J., Tian, T., Liu, Z., & Wen, J. (2025). Quantifying Land Subsidence Probability and Intensity Using Weighted Bayesian Modeling in Shanghai, China. Land, 14(3), 470. https://doi.org/10.3390/land14030470

